Operating Parameters Optimization for the Production of Liposomes Loaded with Antibodies Using a Supercritical Fluid-Assisted Process
Abstract
1. Introduction
2. Materials and Methods
2.1. Materials
2.2. Preparation of Ab-Loaded Liposomes
2.3. Liposome Characterization
2.3.1. Particle Size
2.3.2. Scanning Electron Microscopy
2.3.3. Entrapment Efficiency
2.3.4. Statistical Analysis
3. Results and Discussion
4. Conclusions
Author Contributions
Funding
Data Availability Statement
Conflicts of Interest
References
- Anselmo, A.C.; Mitragotri, S. An overview of clinical and commercial impact of drug delivery systems. J. Control. Release 2014, 190, 15–28. [Google Scholar]
- Chen, R.; Wang, T.; Song, J.; Pu, D.; He, D.; Li, J.; Yang, J.; Li, K.; Zhong, C.; Zhang, J. Antiviral drug delivery system for enhanced bioactivity, better metabolism and pharmacokinetic characteristics. Int. J. Nanomed. 2021, 16, 4959–4984. [Google Scholar] [CrossRef] [PubMed]
- Allen, T.M.; Cullis, P.R. Drug delivery systems: Entering the mainstream. Science 2004, 303, 1818–1822. [Google Scholar] [CrossRef] [PubMed]
- Liu, D.; Yang, F.; Xiong, F.; Gu, N. The smart drug delivery system and its clinical potential. Theranostics 2016, 6, 1306–1323. [Google Scholar] [CrossRef] [PubMed]
- Wang, J.; Li, Y.; Nie, G. Multifunctional biomolecule nanostructures for cancer therapy. Nat. Rev. Mater. 2021, 6, 766–783. [Google Scholar] [CrossRef]
- Goulet, D.R.; Atkins, W.M. Considerations for the design of antibody-based therapeutics. J. Pharm. Sci. 2020, 109, 74–103. [Google Scholar] [CrossRef]
- Manzari, M.T.; Shamay, Y.; Kiguchi, H.; Rosen, N.; Scaltriti, M.; Heller, D.A. Targeted drug delivery strategies for precision medicines. Nat. Rev. Mater. 2021, 6, 351–370. [Google Scholar] [CrossRef]
- Weiner, G.J. Building better monoclonal antibody-based therapeutics. Nat. Rev. Cancer 2015, 15, 361–370. [Google Scholar] [CrossRef]
- Samaranayake, H.; Wirth, T.; Schenkwein, D.; Räty, J.K.; Ylä-Herttuala, S. Challenges in monoclonal antibody-based therapies. Ann. Med. 2009, 41, 322–331. [Google Scholar] [CrossRef]
- Beck, A.; Goetsch, L.; Dumontet, C.; Corvaïa, N. Strategies and challenges for the next generation of antibody-drug conjugates. Nat. Rev. Drug Discov. 2017, 16, 315–337. [Google Scholar] [CrossRef]
- Joubert, N.; Beck, A.; Dumontet, C.; Denevault-Sabourin, C. Antibody-drug conjugates: The last decade. Pharmaceuticals 2020, 13, 245. [Google Scholar] [CrossRef] [PubMed]
- Kocbek, P.; Obermajer, N.; Cegnar, M.; Kos, J.; Kristl, J. Targeting cancer cells using PLGA nanoparticles surface modified with monoclonal antibody. J. Control. Release 2007, 120, 18–26. [Google Scholar] [CrossRef]
- Helmi, O.; Elshishiny, F.; Mamdouh, W. Targeted doxorubicin delivery and release within breast cancer environment using PEGylated chitosan nanoparticles labeled with monoclonal antibodies. Int. J. Biol. Macromol. 2021, 184, 325–338. [Google Scholar] [CrossRef] [PubMed]
- Shimizu, K.; Takeuchi, Y.; Otsuka, K.; Mori, T.; Narita, Y.; Takasugi, S.; Magata, Y.; Matsumura, Y.; Oku, N. Development of tissue factor-targeted liposomes for effective drug delivery to stroma-rich tumors. J. Control. Release 2020, 323, 519–529. [Google Scholar] [CrossRef] [PubMed]
- Misra, S.K.; Pathak, K. Functionalized liposomes: A nanovesicular system. In Systems of Nanovesicular Drug Delivery; Academic Press: Cambridge, MA, USA, 2022; pp. 83–101. [Google Scholar]
- De Negri Atanasio, G.; Ferrari, P.F.; Baião, A.; Perego, P.; Sarmento, B.; Palombo, D.; Campardelli, R. Bevacizumab encapsula-tion into PLGA nanoparticles functionalized with immunouteroglobin-1 as an innovative delivery system for atherosclerosis. Int. J. Biol. Macromol. 2022, 221, 1618–1630. [Google Scholar] [CrossRef]
- Fu, Z.; Li, S.; Han, S.; Shi, C.; Zhang, Y. Antibody drug conjugate: The “biological missile” for targeted cancer therapy. Signal Transduct. Target. Ther. 2022, 7, 93. [Google Scholar] [CrossRef]
- Moulahoum, H.; Ghorbanizamani, F.; Zihnioglu, F.; Timur, S. Surface biomodification of liposomes and polymersomes for ef-ficient targeted drug delivery. Bioconjug. Chem. 2021, 32, 1491–1502. [Google Scholar] [CrossRef]
- Sivaram, A.J.; Wardiana, A.; Howard, C.B.; Mahler, S.M.; Thurecht, K.J. Recent advances in the generation of antibody-nano-material conjugates. Adv. Healthc. Mater. 2018, 7, 1700607. [Google Scholar] [CrossRef]
- Mitchell, M.J.; Billingsley, M.M.; Haley, R.M.; Wechsler, M.E.; Peppas, N.A.; Langer, R. Engineering precision nanoparticles for drug delivery. Nat. Rev. Drug Discov. 2021, 20, 101–124. [Google Scholar] [CrossRef]
- De Negri Atanasio, G.; Ferrari, P.F.; Campardelli, R.; Perego, P.; Palombo, D. Innovative nanotools for vascular drug delivery: The atherosclerosis case study. J. Mater. Chem. B 2021, 9, 8558–8568. [Google Scholar] [CrossRef]
- Bianco, A.; Kostarelos, K.; Prato, M. Applications of carbon nanotubes in drug delivery. Curr. Opin. Chem. Biol. 2005, 9, 674–679. [Google Scholar] [CrossRef] [PubMed]
- Kaur, R.; Badea, I. Nanodiamonds as novel nanomaterials for biomedical applications: Drug delivery and imaging systems. Int. J. Nanomed. 2013, 8, 203–220. [Google Scholar] [PubMed]
- Yu, D.G.; Zhu, L.M.; White, K.; Branford-White, C. Electrospun nanofiber-based drug delivery systems. Health 2009, 1, 67–75. [Google Scholar] [CrossRef]
- Maherani, B.; Arab-Tehrany, E.; Mozafari, M.R.; Gaiani, C.; Linder, M. Liposomes: A review of manufacturing techniques and targeting strategies. Curr. Nanosci. 2011, 7, 436–452. [Google Scholar] [CrossRef]
- Bigazzi, W.; Penoy, N.; Evrard, B.; Piel, G. Supercritical fluid methods: An alternative to conventional methods to prepare liposomes. Chem. Eng. J. 2020, 383, 123106. [Google Scholar]
- Homayoonfal, M.; Mousavi, S.M.; Kiani, H.; Askari, G.; Desobry, S.; Arab-Tehrany, E. Encapsulation of Berberis vulgaris an-thocyanins into nanoliposome composed of rapeseed lecithin: A comprehensive study on physicochemical characteristics and biocompatibility. Foods 2021, 10, 492. [Google Scholar] [CrossRef]
- Hanachi, A.; Bianchi, A.; Kahn, C.J.F.; Velot, E.; Arab-Tehrany, E.; Cakir-Kiefer, C.; Linder, M. Encapsulation of salmon peptides in marine liposomes: Physico-chemical properties, antiradical activities and biocompatibility assays. Mar. Drugs 2022, 20, 249. [Google Scholar] [CrossRef]
- Lakkadwala, S.; dos Santos Rodrigues, B.; Sun, C.; Singh, J. Dual functionalized liposomes for efficient co-delivery of anti-cancer chemotherapeutics for the treatment of glioblastoma. J. Control. Release 2019, 307, 247–260. [Google Scholar] [CrossRef]
- Carneiro, A.L.; Santana, M.H.A. Production of liposomes in a multitubular system useful for scaling up of processes. Progr. Colloid Polym. Sci. 2004, 128, 273–277. [Google Scholar]
- Charcosset, C.; Juban, A.; Valour, J.-P.; Urbaniak, S.; Fessi, H. Preparation of liposomes at large scale using the ethanol injection method: Effect of scale-up and injection devices. Chem. Eng. Res. Des. 2015, 94, 508–515. [Google Scholar] [CrossRef]
- Bozzuto, G.; Molinari, A. Liposomes as nanomedical devices. Int. J. Nanomedicine 2015, 10, 975–999. [Google Scholar] [CrossRef] [PubMed]
- Meure, L.A.; Foster, N.R.; Dehghani, F. Conventional and dense gas techniques for the production of liposomes: A review. AAPS PharmSciTech 2008, 9, 798–809. [Google Scholar] [CrossRef] [PubMed]
- Trucillo, P.; Campardelli, C.; Reverchon, E. Liposomes: From Bangham to supercritical fluids. Processes 2020, 8, 1022. [Google Scholar] [CrossRef]
- Campardelli, C.; Trucillo, P.; Reverchon, E. Supercritical assisted process for the efficient production of liposomes containing antibiotics for ocular delivery. J. CO2 Util. 2018, 25, 235–241. [Google Scholar] [CrossRef]
- Trucillo, P.; Campardelli, C.; Reverchon, E. A versatile supercritical assisted process for the one-shot production of liposomes. J. Supercrit. Fluids 2019, 146, 136–143. [Google Scholar] [CrossRef]
- Lim, C.-b.; Abuzar, S.M.; Karn, P.R.; Cho, W.; Park, H.J.; Cho, C.-W.; Hwang, S.-J. Preparation, characterization, and in vivo pharmacokinetic study of the supercritical fluid-processed liposomal amphotericin B. Pharmaceutics 2019, 11, 589. [Google Scholar] [CrossRef]
- Tabernero, A.; González-Garcinuno, A.; Galán, M.A.; Martín del Valle, E.M. Survey of supercritical fluid techniques for pro-ducing drug delivery systems for a potential use in cancer therapy. Rev. Chem. Eng. 2016, 32, 507–532. [Google Scholar] [CrossRef]
- Campardelli, R.; Espirito Santo, I.; Albuquerque, E.C.; de Melo, S.V.; Della Porta, G.; Reverchon, E. Efficient encapsulation of proteins in submicro liposomes using a supercritical fluid assisted continuous process. J. Supercrit. Fluids 2016, 107, 163–169. [Google Scholar] [CrossRef]
- Palazzo, I.; Lamparelli, E.P.; Ciardulli, M.C.; Scala, P.; Reverchon, E.; Forsyth, N.; Maffulli, N.; Santoro, A.; Della Porta, G. Su-percritical emulsion extraction fabricated PLA/PLGA micro/nano carriers for growth factor delivery: Release profiles and cyto-toxicity. Int. J. Pharm. 2021, 592, 120108. [Google Scholar] [CrossRef]
- Trucillo, P.; Campardelli, R.; Scognamiglio, M.; Reverchon, E. Control of liposomes diameter at micrometric and nanometric level using a supercritical assisted technique. J. CO2 Util. 2019, 32, 119–127. [Google Scholar] [CrossRef]
- De Negri Atanasio, G.; Ferrari, P.F.; Campardelli, R.; Perego, P.; Palombo, D. Poly (lactic-co-glycolic acid) nanoparticles and nanoliposomes for protein delivery in targeted therapy: A comparative in vitro study. Polymers 2020, 12, 2566. [Google Scholar] [CrossRef] [PubMed]
- Honary, S.; Zahir, F. Effect of zeta potential on the properties of nano-drug delivery systems - A review (Part 2). Trop. J. Pharm. Res. 2013, 12, 265–273. [Google Scholar]

) 0, (
) 0.625, (
) 1.25, and (
) 2.50% (w/w). LSD: liposome size distribution Ab/Lipids: anti-body-to-lipid mass ratio, WFR: water flow rate.
) 0, (
) 0.625, (
) 1.25, and (
) 2.50% (w/w). LSD: liposome size distribution Ab/Lipids: anti-body-to-lipid mass ratio, WFR: water flow rate.

) 0.625, (
) 1.25, and (
) 2.50% (w/w). LSD: liposome size distribution, Ab/Lipids: antibody-to-lipid mass ratio, WFR: water flow rate.
) 0.625, (
) 1.25, and (
) 2.50% (w/w). LSD: liposome size distribution, Ab/Lipids: antibody-to-lipid mass ratio, WFR: water flow rate.

) 1, (
) 4, and (
) 12% (w/w). LSD: liposome size distribution, Ab/Lipids: antibody-to-lipid mass ratio, WFR: water flow rate.
) 1, (
) 4, and (
) 12% (w/w). LSD: liposome size distribution, Ab/Lipids: antibody-to-lipid mass ratio, WFR: water flow rate.
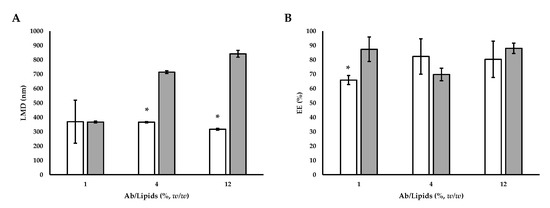
SuperLip process and
thin-layer hydration method. LMD: liposome mean diameter, Ab/Lipids: antibody-to-lipid mass ratio, EE: entrapment efficiency.
SuperLip process and
thin-layer hydration method. LMD: liposome mean diameter, Ab/Lipids: antibody-to-lipid mass ratio, EE: entrapment efficiency.
| Operative Parameter | Value |
|---|---|
| pressure | 100 bar |
| temperature | 40 °C |
| lipid solution flow rate | 3.5 mL/min |
| G/L | 2.4 (w/w) |
| WFR | 1 or 10 mL/min |
| Ab/Lipids | 0–12% (w/w) |
| Test | WFR (mL/min) | Ab/Lipids (%, w/w) | LMD ± SD (nm) | PDI | ζ-Potential (mV) | EE ± SD (%) |
|---|---|---|---|---|---|---|
| A0 | 1 | 0 | 169.61 ± 4.11 a | 0.39 ± 0.01 | −2.91 ± 0.47 a | --- |
| A1 | 1 | 0.625 | 345.95 ± 2.93 b | 0.33 ± 0.05 | −7.53 ± 0.54 b | 53.70 ± 5.59 a |
| A2 | 1 | 1.25 | 501.03 ± 36.70 c | 0.56 ± 0.22 | −3.84 ± 0.34 c | 62.54 ± 12.15 a |
| A3 | 1 | 2.50 | 464.55 ± 128.50 b,c | 0.68 ± 0.04 | −5.63 ± 2.98 a,b,c | 35.83 ± 4.93 b |
| A4 | 10 | 0.625 | 144.65 ± 1.73 a | 0.25 ± 0.02 | −12.53 ± 0.38 a | 93.62 ± 1.74 a |
| A5 | 10 | 1.25 | 319.90 ± 25.00 b | 0.52 ± 0.11 | −38.28 ± 3.85 b | 28.06 ± 0.52 b |
| A6 | 10 | 2.50 | 205.00 ± 2.34 c | 0.25 ± 0.02 | −14.30 ± 1.28 a | 48.03 ± 9.33 c |
| A7 | 10 | 1 | 369.58 ± 149.78 a | 0.58 ± 0.44 | −7.39 ± 0.53 a | 65.91 ± 3.13 a |
| A8 | 10 | 4 | 366.00 ± 4.50 a | 0.25 ± 0.02 | −7.49 ± 1.22 a | 82.36 ± 12.30 b |
| A9 | 10 | 12 | 317.07 ± 6.73 a | 0.27 ± 0.03 | −15.20 ± 1.53 b | 80.34 ± 12.63 a,b |
| Test | Ab/Lipids (%, w/w) | LMD ± SD (nm) | PDI | ζ-Potential (mV) | EE ± SD (%) |
|---|---|---|---|---|---|
| B0 | 0 | 483.63 ± 12.33 a | 0.60 ± 0.04 | −29.70 ± 1.42 a | --- |
| B1 | 1.25 | 575.87 ± 50.31 b | 0.72 ± 0.16 | −24.30 ± 0.82 b | 79.10 ± 1.01 a |
| B2 | 2.5 | 284.67 ± 4.74 c | 0.44 ± 0.01 | −28.43 ± 2.07 a | 64.12 ± 0.63 b |
| B3 | 5.0 | 600.53 ± 20.30 b | 0.56 ± 0.06 | −20.67 ± 0.86 b | 61.80 ± 0.98 c |
| Test | Ab/Lipids (%, w/w) | LMD ± SD (nm) | PDI | EE ± SD (%) |
|---|---|---|---|---|
| B4 | 1 | 367.27 ± 6.37 a | 0.57 ± 0.01 | 87.39 ± 8.52 a |
| B5 | 4 | 714.27 ± 9.64 b | 0.55 ± 0.18 | 69.81 ± 4.35 a |
| B6 | 12 | 842.17 ± 23.96 c | 0.31 ± 0.17 | 88.01 ± 3.60 a |
Disclaimer/Publisher’s Note: The statements, opinions and data contained in all publications are solely those of the individual author(s) and contributor(s) and not of MDPI and/or the editor(s). MDPI and/or the editor(s) disclaim responsibility for any injury to people or property resulting from any ideas, methods, instructions or products referred to in the content. |
© 2023 by the authors. Licensee MDPI, Basel, Switzerland. This article is an open access article distributed under the terms and conditions of the Creative Commons Attribution (CC BY) license (https://creativecommons.org/licenses/by/4.0/).
Share and Cite
Ferrari, P.F.; Trucillo, P.; De Negri Atanasio, G.; Bufalini, C.; Campardelli, R.; Perego, P.; Palombo, D.; Reverchon, E. Operating Parameters Optimization for the Production of Liposomes Loaded with Antibodies Using a Supercritical Fluid-Assisted Process. Processes 2023, 11, 663. https://doi.org/10.3390/pr11030663
Ferrari PF, Trucillo P, De Negri Atanasio G, Bufalini C, Campardelli R, Perego P, Palombo D, Reverchon E. Operating Parameters Optimization for the Production of Liposomes Loaded with Antibodies Using a Supercritical Fluid-Assisted Process. Processes. 2023; 11(3):663. https://doi.org/10.3390/pr11030663
Chicago/Turabian StyleFerrari, Pier Francesco, Paolo Trucillo, Giulia De Negri Atanasio, Chiara Bufalini, Roberta Campardelli, Patrizia Perego, Domenico Palombo, and Ernesto Reverchon. 2023. "Operating Parameters Optimization for the Production of Liposomes Loaded with Antibodies Using a Supercritical Fluid-Assisted Process" Processes 11, no. 3: 663. https://doi.org/10.3390/pr11030663
APA StyleFerrari, P. F., Trucillo, P., De Negri Atanasio, G., Bufalini, C., Campardelli, R., Perego, P., Palombo, D., & Reverchon, E. (2023). Operating Parameters Optimization for the Production of Liposomes Loaded with Antibodies Using a Supercritical Fluid-Assisted Process. Processes, 11(3), 663. https://doi.org/10.3390/pr11030663

