Damage Assessment of Roadway Wall Caused by Dynamic and Static Load Action of Gas Explosion
Abstract
:1. Introduction
2. Theoretical Analyses on Damage Assessment of Roadway Wall Affected by Gas Explosion
2.1. Roadway Wall Damage Criteria
2.2. Damage Assessment Method of P-I Curve
3. Numerical Model Establishment of Roadway
3.1. Mathematical Model
3.2. Physical Model
3.3. Material Model
4. Results Analysis and Discussion
4.1. Establishment of Roadway Wall P-I Curve
4.1.1. Classification of Damage Degree
- (1)
- D = 0–0.2, slight damage. A small amount of plastic deformation has occurred on the roadway wall without obvious permanent damage. It can be used normally.
- (2)
- D = 0.2–0.5, moderate damage. The roadway wall has undergone a large amount of plastic deformation. After repair, it cannot bear the same gas explosion load.
- (3)
- D = 0.5–0.8, severe damage. The roadway wall has not completely failed, but most of it has been significantly deformed and cannot be repaired.
- (4)
- D = 0.8–1, the roadway wall is broken and collapsed.
4.1.2. Drawing of P-I Diagram
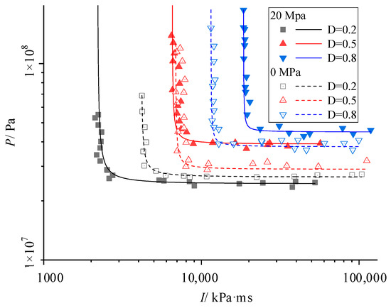
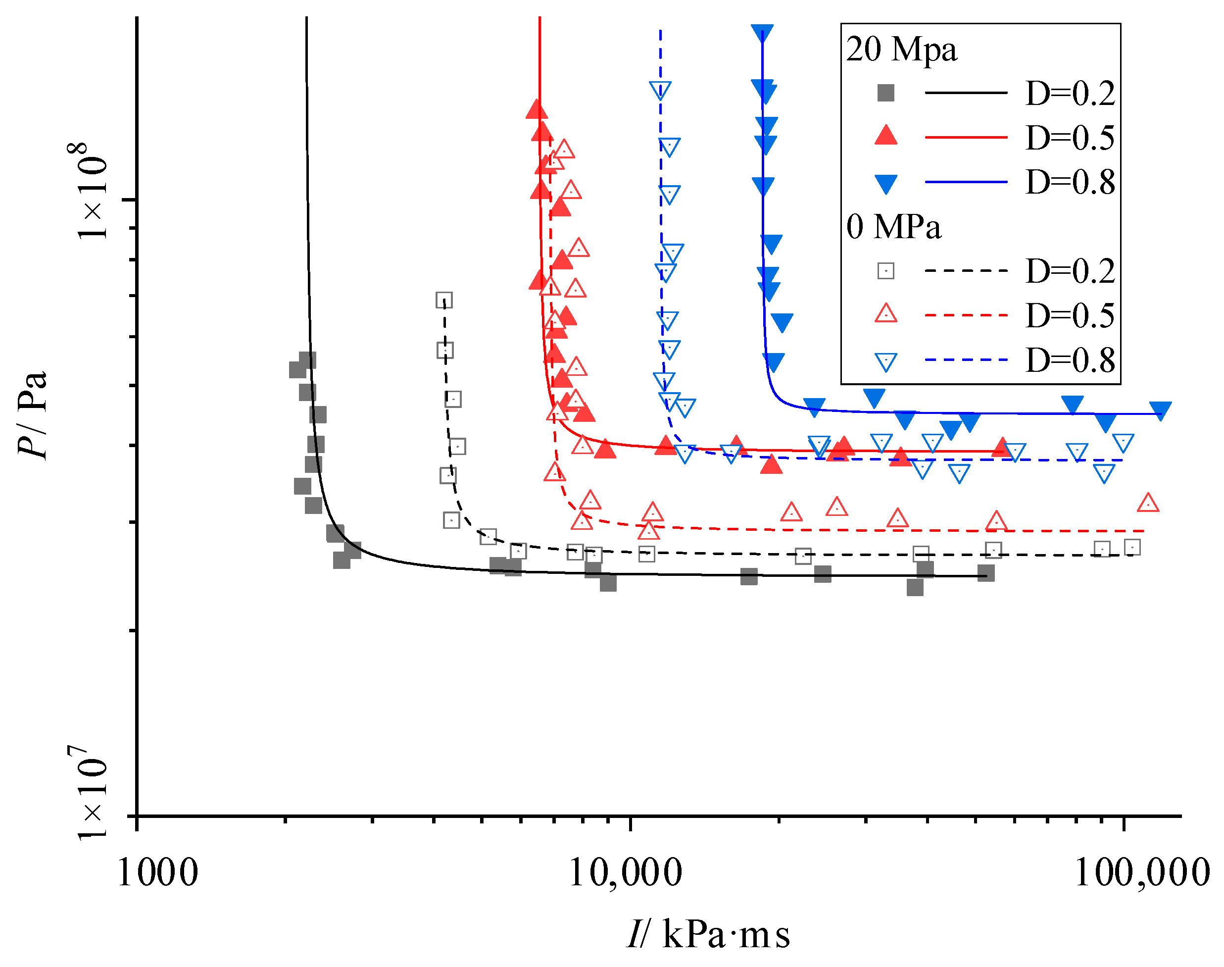
4.1.3. Effect of Geostress Load on P-I Curve
4.2. P-I Curve in Different Geostress States
4.2.1. P-I Curve of Roadway Wall under Geostress of 10 MPa
4.2.2. Prediction of P-I Curve of Roadway Wall under Different Geostress Conditions
5. Conclusions
Author Contributions
Funding
Institutional Review Board Statement
Informed Consent Statement
Data Availability Statement
Conflicts of Interest
References
- Zhou, J.; Zhu, C.; Ren, J.; Lin, B.; Si, R.; Lu, X. Damage mechanism of roadway surrounding rock under coupling of high Pre-stress and explosion. J. China Coal Soc. 2020, 45, 319–329. [Google Scholar]
- Ye, Q.; Jia, Z.; Wang, H.; Pi, Y. Characteristics and control technology of gas explosion in gob of coal mines. Disaster Adv. 2013, 6, 112–118. [Google Scholar]
- Jiang, B.; Liu, Z.; Tang, M.; Yang, K.; Lv, P.; Lin, B. Active suppression of premixed methane/airexplosion propagation by non-premixed suppressant with nitrogen and ABCpowder in asemi-confined duct. J. Nat. Gas Sci. Eng. 2016, 29, 141–149. [Google Scholar] [CrossRef]
- Ye, Q.; Wang, G.G.; Jia, Z.; Zheng, C. Experimental study on the influence of wall heat effect on gas explosion and its propagation. Appl. Therm. Eng. 2017, 118, 392–397. [Google Scholar] [CrossRef]
- Cui, C.; Shao, H.; Jiang, S.; Zhang, X. Experimental study on gas explosion suppression by coupling CO2 to a vacuum chamber. Powder Technol. 2018, 335, 42–53. [Google Scholar] [CrossRef]
- Yang, Z.; Ye, Q.; Jia, Z.; Li, H. Numerical simulation of pipeline-pavement damage caused by explosion of leakage gas in buried PE pipelines. Adv. Civ. Eng. 2020, 2020, 4913984. [Google Scholar]
- Luo, Z.; Kang, X.; Wang, T.; Su, B.; Cheng, F.; Deng, J. Effects of an obstacle on the deflagration behavior of premixed liquefied petroleum gas-air mixtures in a closed duct. Energy 2021, 234, 121291. [Google Scholar] [CrossRef]
- Gao, K.; Liu, Z.; Wu, C.; Li, J.; Liu, K.; Liu, Y.; Li, S. Effect of low gas concentration in underground return tunnels on characteristics of gas Explosions. Process Saf. Environ. Prot. 2021, 152, 679–691. [Google Scholar] [CrossRef]
- Jiang, B.-Y.; Lin, B.-Q.; Shi, S.-L.; Zhu, C.-J.; Ning, J. Numerical simulation on the influences of initial temperature and initial pressure on attenuation characteristics and safety distance of gas explosion. Combustion. Sci. Technol. 2012, 184, 135–150. [Google Scholar] [CrossRef]
- Sun, J.; Li, G.; Lu, Y. Equivalent Single degree of freedom model of SRC columns under blast Loading. J. Vib. Shock. 2007, 26, 82–89. [Google Scholar]
- Sun, J.Y. Research on the Characteristics of SRC Columns Subjected to Blast Loading; Tongji University: Shanghai, China, 2006. [Google Scholar]
- Wei, J.; Jian, D.; Yin, L. Study on constitutive model of rock damage based on lognormal distribution. Chin. J. Undergr. Space Eng. 2010, 6, 1190–1194. [Google Scholar]
- Ye, Q.; Jia, Z.; Zheng, C. Study on hydraulic-controlled blasting technology for pressure relief and permeability improvement in a deep hole. J. Pet. Sci. Eng. 2017, 159, 433–442. [Google Scholar] [CrossRef]
- Yang, D.; Song, X.; Shi, Y. Failure criterion of steel columns under blast load based on maximum shear resistance. J. Beijing Univ. Technol. 2014, 8, 1151–1155. [Google Scholar]
- Li, Z.; Shi, Y.; Shi, X. Damage analysis and assessment of reinforced concrete slab under blast load. J. Build. Struct. 2009, 30, 60–66. [Google Scholar]
- Pan, J.; Chen, W.; Guo, Z.; Zhou, Z. Evaluation of fire and blast-damaged RPC-FST column based on pressure-impulse diagram. Prot. Eng. 2018, 5, 16–26. [Google Scholar]
- Wei, W. Study on Damage Effect and Evaluation Method of Reinforced Concrete Members under Explosion Load; University of National Defense Science and Technology: Changsha, China, 2012. [Google Scholar]
- Tian, Z.; Zhang, J.; Jiang, S. Damage assessment for steel-concrete composite beams subjected to blast loading. J. Vib. Shock. 2016, 35, 42–48. [Google Scholar]
- Shi, J.; Zhu, Y.; Chen, G.; Fu, J.; Liu, S. Assessment of blast resistance capacities of corrugated blast walls based on the P-I Model. J. Vib. Shock. 2017, 36, 188–195. [Google Scholar] [CrossRef]
- Li, T. Dynamic Response and Damage Assessment of Reinforced Concrete Slabs under Explosive Loading; Chang’an University: Xi’an, China, 2012. [Google Scholar]
- Dragos, J.; Wu, C.Q. Single-Degree-of-Freedom Approach to incorporate axial load effects on pressure impulse curves for steel columns. J. Eng. Mech. 2014, 141, 04014098. [Google Scholar] [CrossRef]
- Ye, C. Study on Damage and Continuous Collapse of Steel Structures under Combined Action of Explosion and Secondary Fire; Tianjin University: Tianjin, China, 2016. [Google Scholar]
- Soh, T.B.; Krauthammer, T. Load-Impulse Diagrams of Reinforced Concrete Beams Subjected to Concentrated Transient Loading. Ph.D. Thesis, Protective Technology Center, Pennsylvania State University, State College, PA, USA, 2004. [Google Scholar]
- Wu, S. Study on Dynamic Response of Composite Concrete Filled Steel Tubular Columns under Explosive Loading; Chang’an University: Xi’an, China, 2012. [Google Scholar]
- Mutalib, A.A.; Hao, H. Development of P-I diagrams for columns. Int. J. Impact Eng. 2011, 38, 290–304. [Google Scholar] [CrossRef]
- Yan, Q.; Du, X. Damage evaluation for a column of a typical subway station subjectedto internal blast loading. J. Vib. Shock. 2017, 36, 1–7. [Google Scholar]
- Chen, J.; Gao, K.; Sun, A. Simplified calculation method for pressure-impulse curve of a structure under blast load. J. Vib. Shock. 2016, 35, 224–232. [Google Scholar] [CrossRef]
- Livermore Software Technology Corporation (LSTC). LS-DYNA Keyword User’s Manual R9.0; Livermore Software Technology Corporation (LSTC): Livermore, CA, USA, 2016. [Google Scholar]
- Xu, H.; Wen, H.M. A computational constitutive model for concrete subjected to dynamic loadings. Int. J. Impact Eng. 2016, 91, 45–55. [Google Scholar] [CrossRef]
- Lu, X. Study on Damage and Failure Mechanism of Roadway under Coupling Action of Gas Explosion Load and High Stress; China University of Mining and Technology: Xuzhou, China, 2019. [Google Scholar]
- Cheng, P. Study on Damage Characteristics of Roadway Surrounding Rock under Dynamic and Static Load Coupling; Anhui University of Technology: Ma’anshan, China, 2016. [Google Scholar]
- Li, X.; Dong, Q.; Liu, T.; Luo, Y.; Zhao, H.; Huang, J. Model test study on propagation law of explosive stress wave in jointed rock mass under different ground stresses. J. Rock Mech. Eng. 2016, 35, 2188–2196. [Google Scholar]
- Xuan, Y. Analysis of Lateral Deflection and Damage Evaluation of Concrete Filled Steel Tubular Columns under Explosive Loading; Guangzhou University: Guangzhou, China, 2019. [Google Scholar]
- Wu, Y. Analysis of Dynamic Response and Continuous Collapse of Steel Frame Structure under Indoor Gas Explosion; Northeast Forestry University: Harbin, China, 2012. [Google Scholar]
- Shi, Y. Dynamic Response Behavior and Damage Mechanism of Reinforced Concrete Structures under Explosive Loading; Tianjin University: Tianjin, China, 2009. [Google Scholar]
- DL/T5389–2007; Technical Code for Construction of Rock Foundation Excavation of Hydraulic Structures. China Electric Power Press: Beijing, China, 2007.












| MAT_HIGH_EXPLOSIVE_BURN | |||||||||
|---|---|---|---|---|---|---|---|---|---|
| Density, ρ (kg/m3) | Velocity, V (m/s) | Pressure, PCJ (Pa) | A (Pa) | B (Pa) | R1 | R2 | ω | E (J/m3) | V |
| 1630 | 6930 | 27 × 109 | 3.71 × 1011 | 3.23 × 109 | 4.15 | 0.95 | 0.35 | 8 × 109 | 1 |
| ρ (kg/m3) | C0~C3 | C4 | C5 | C6 | E0 (J/m3) | V0 | |
|---|---|---|---|---|---|---|---|
| Gas | 1.234 | 0 | 0.274 | 0.274 | 0 | 3.4 × 106 | 1 |
| Air | 1.290 | 0 | 0.4 | 0.4 | 0 | 2.5 × 105 | 1 |
| Material Parameters | Parameter Value | Material Parameters | Parameter Value |
|---|---|---|---|
| 2700 | 0.001 | ||
| 1.486 × 1010 | 8 × 108 | ||
| A | 0.79 | 0.1 | |
| B | 1.6 | 8.5 × 1010 | |
| C | 0.007 | −1.71 × 1011 | |
| N | 0.61 | 2.08 × 1011 | |
| 4.8 × 107 | 1 | ||
| 0.04 | 0.01 | ||
| 1 | 4.8 × 107 | ||
| 4 × 106 | 1.6 × 107 |
| D | ||||
|---|---|---|---|---|
| 0.2 | 0.039 | 1.5 | 2.65 × 107 | 4155.6 |
| 0.5 | 2.90 × 107 | 6857.9 | ||
| 0.8 | 3.78 × 107 | 11,478.7 |
| D | ||||
|---|---|---|---|---|
| 0.2 | 0.039 | 1.5 | 2.45 × 107 | 2198.5 |
| 0.5 | 3.9 × 107 | 6518.3 | ||
| 0.8 | 4.42 × 107 | 18,470.1 |
| D | ||||
|---|---|---|---|---|
| 0.2 | 0.039 | 1.5 | 2.50 × 107 | 3169.2 |
| 0.5 | 3.40 × 107 | 6728.3 | ||
| 0.8 | 4.20 × 107 | 14,068.4 |
| /Pa | D = 0.2 | |
| D = 0.5 | ||
| D = 0.8 | ||
| /KPa·ms | D = 0.2 | |
| D = 0.5 | ||
| D = 0.8 |
Disclaimer/Publisher’s Note: The statements, opinions and data contained in all publications are solely those of the individual author(s) and contributor(s) and not of MDPI and/or the editor(s). MDPI and/or the editor(s) disclaim responsibility for any injury to people or property resulting from any ideas, methods, instructions or products referred to in the content. |
© 2023 by the authors. Licensee MDPI, Basel, Switzerland. This article is an open access article distributed under the terms and conditions of the Creative Commons Attribution (CC BY) license (https://creativecommons.org/licenses/by/4.0/).
Share and Cite
Jia, Z.; Ye, Q.; Li, H. Damage Assessment of Roadway Wall Caused by Dynamic and Static Load Action of Gas Explosion. Processes 2023, 11, 580. https://doi.org/10.3390/pr11020580
Jia Z, Ye Q, Li H. Damage Assessment of Roadway Wall Caused by Dynamic and Static Load Action of Gas Explosion. Processes. 2023; 11(2):580. https://doi.org/10.3390/pr11020580
Chicago/Turabian StyleJia, Zhenzhen, Qing Ye, and He Li. 2023. "Damage Assessment of Roadway Wall Caused by Dynamic and Static Load Action of Gas Explosion" Processes 11, no. 2: 580. https://doi.org/10.3390/pr11020580
APA StyleJia, Z., Ye, Q., & Li, H. (2023). Damage Assessment of Roadway Wall Caused by Dynamic and Static Load Action of Gas Explosion. Processes, 11(2), 580. https://doi.org/10.3390/pr11020580

