Residence Time Distribution: Literature Survey, Functions, Mathematical Modeling, and Case Study—Diagnosis for a Photochemical Reactor
Abstract
1. Introduction
2. RTD Development: Defining Moments in Time, Representative Works, Current Trends
3. Tracer Methodology Fundamentals
3.1. Tracer Selection
3.2. Tracer Insertion
3.3. System Boundaries
3.4. Practical Limitations
4. RTD Functions and Central Moments
4.1. Residence Time, Space-Time, Mean Residence Time, and Dimensionless Time
4.2. The C-Curve: C = f(t)
4.3. The E-Curve: E(t)
4.4. The F-Curve: F(t)
4.5. The I-Curve: I(t)
4.6. The λ-Curve: λ(t)
4.7. Dimensionless Representation of RTD
4.8. The RTD Central Moments
5. RTD Based Modelling
5.1. The Ideal Flow Models
5.1.1. The Plug Flow Model
5.1.2. The Complete Mixed Flow
5.2. The Ideal Mixing Models
5.2.1. The Segregation Model
5.2.2. The Maximum Mixedness Model
5.2.3. The Earliness and Lateness of Mixing
5.3. Flow and Mixing in Real Systems—Non-Ideal Flow
5.4. Dimensionless Numbers: Péclet, Bodenstein, Damköhler
5.5. Non-Ideal Flow and Mixing Models
5.6. Guidelines for Building Models for Non-Ideal Flow and Mixing Systems
6. Practical Application: RTD Diagnosis of Photochemical Reactor
6.1. Problem Statement
6.2. Materials and Methods
6.2.1. Tracer Method
6.2.2. Reactor Geometry and Working Position
6.2.3. UV-Lamp Arrangement
6.2.4. Inlet/Outlet Type
6.3. Results and Discussions
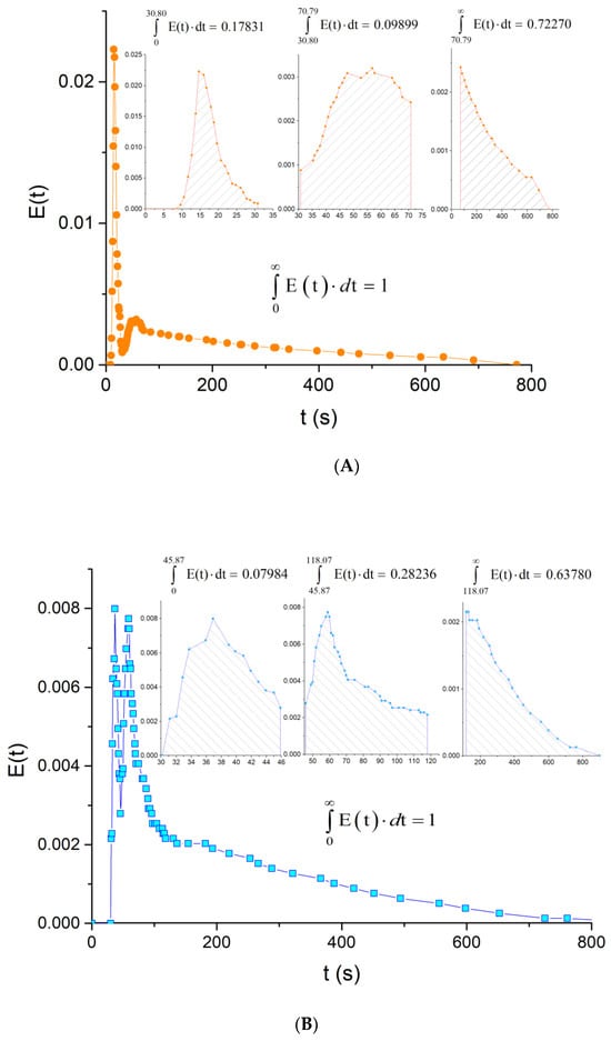
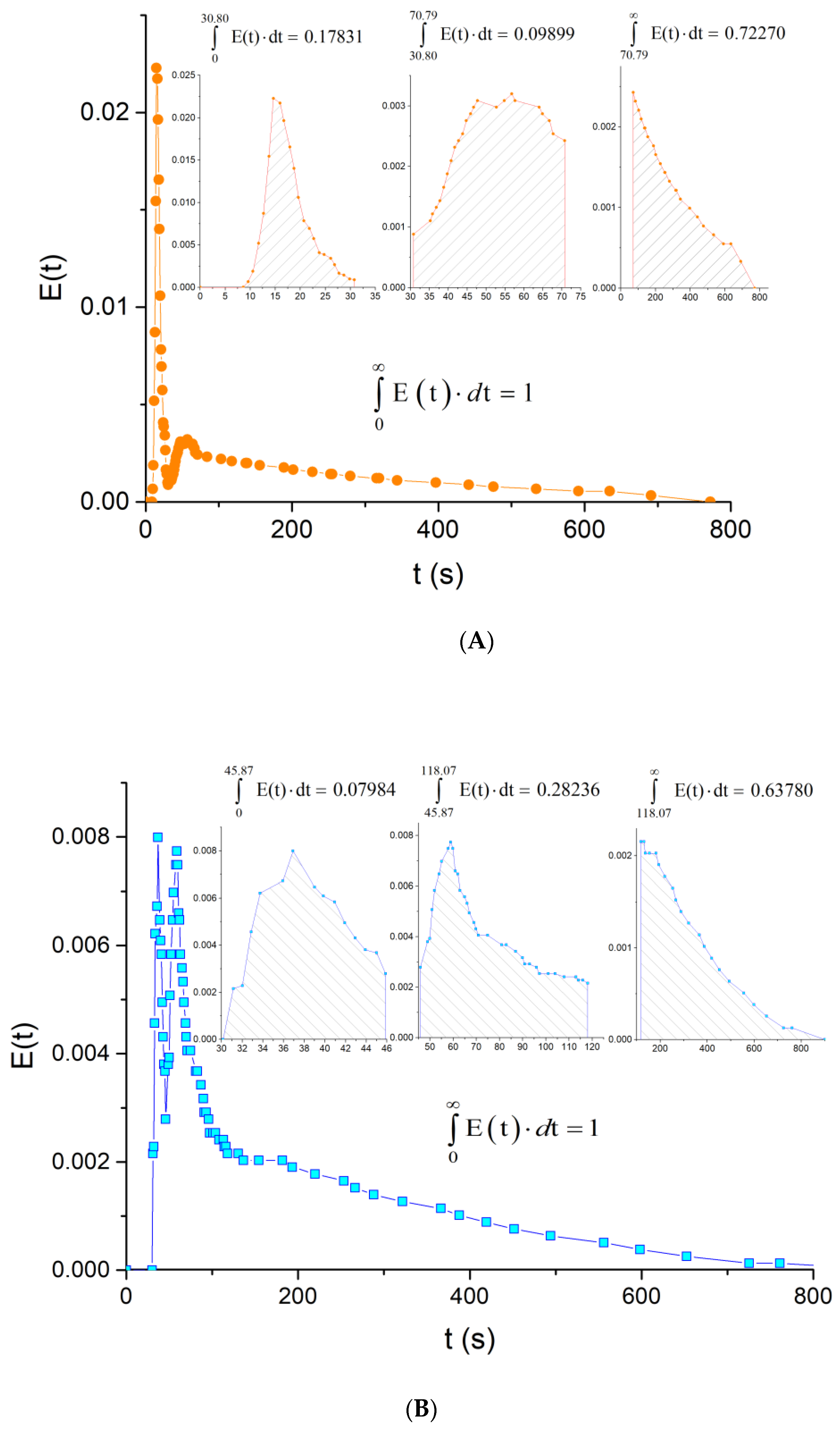
6.3.1. Characteristics and Profiles of RTD Functions
The C-Curve
The RTD Functions
Space Time, First and Second Central Moments
The E-Curve Analysis
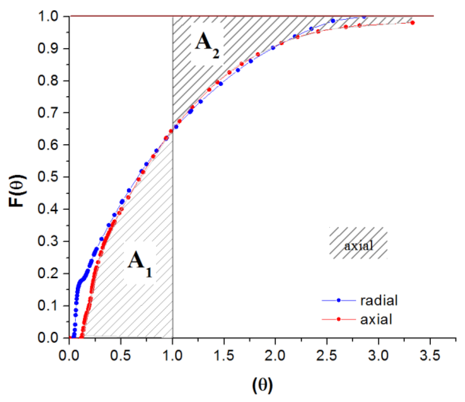
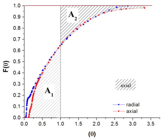
The F-Curve Analysis
6.3.2. Influence of Reactor Position
6.3.3. Influence of Inlet/Outlet Type
6.3.4. Practical Decisions following RTD Diagnosis
- (i)
- The PHR should be equipped with a recirculation pump that can be used to adjust the UV exposure time and to improve the mixing of chemical species;
- (ii)
- The radial inlet/outlet is recommended for several reasons: (1) it promotes the development of a helical motion of the fluid around the UV lamps, increasing the relative length to be traveled by the fluid inside the reactor and consequently increasing the UV exposure time; (2) the location of dead-zones tends to be shifted from the reactor’s “corners” to its central region, among the quartz sleeves, which increase both the exposure time and the intensity of the irradiation field for the fluid trapped in the stagnant region; (3) due to the flow orientation, the quartz sleeves act like baffles, improving the mixing inside the reactor;
- (iii)
- The reactor operating position should be horizontal since it does not significantly influence the UV-C exposure time or irradiation intensity. However, when specific reagents are used, the reactor position may be adjusted to consider their buoyancy;
- (iv)
- To diminish the effect of short-circuiting or channeling, it is recommended to use lower flow rates, possibly in the region of semi-turbulent jets.
7. Conclusions
Supplementary Materials
Author Contributions
Funding
Data Availability Statement
Conflicts of Interest
References
- Levenspiel, O. Chemical Reaction Engineering; John Wiley & Sons: Hoboken, NJ, USA, 1998. [Google Scholar]
- Guo, X.; Fan, Y.; Luo, L. Residence time distribution on flow characterisation of multichannel systems: Modelling and experimentation. Exp. Therm. Fluid Sci. 2018, 99, 407–419. [Google Scholar] [CrossRef]
- Bérard, A.; Blais, B.; Patience, G.S. Experimental methods in chemical engineering: Residence time distribution—RTD. Can. J. Chem. Eng. 2020, 98, 848–867. [Google Scholar] [CrossRef]
- Naor, P.; Shinnar, R. Representation and Evaluation of Residence Time Distributions. Ind. Eng. Chem. Fundam. 1963, 2, 278–286. [Google Scholar] [CrossRef]
- Bhalode, P.; Tian, H.; Gupta, S.; Razavi, S.M.; Roman-Ospino, A.; Talebian, S.; Singh, R.; Scicolone, J.V.; Muzzio, F.J.; Ierapetritou, M. Using residence time distribution in pharmaceutical solid dose manufacturing—A critical review. Int. J. Pharm. 2021, 610, 121248. [Google Scholar] [CrossRef] [PubMed]
- Mac Mullin, R.B. The Theory of Short Circuiting in Continuous-Flow Mixing Vessels in Series and the Kinetics of Chemical Reactions in Such Systems. Trans. Amer. Inst. Chem. Eng. 1935, 31, 409–458. [Google Scholar]
- Nauman, E.B. Residence Time Theory. Ind. Eng. Chem. Res. 2008, 47, 3752–3766. [Google Scholar] [CrossRef]
- Aris, R. Some Problems in the Analysis of Transient Behavior and Stability of Chemical Reactors. In Chemical Reaction Engineering; Advances in Chemistry; American Chemical Society: Washington, DC, USA, 1974; Volume 109, pp. 578–629. [Google Scholar]
- Langmuir, I. The velocity of reactions in gases moving through heated vessels and the effect of convection and diffusion. J. Am. Chem. Soc. 1908, 30, 1742–1754. [Google Scholar] [CrossRef]
- Rodrigues, A.E. Residence time distribution (RTD) revisited. Chem. Eng. Sci. 2021, 230, 116188. [Google Scholar] [CrossRef]
- Duduković, M.P. Tracer Methods in Chemical Reactors. Techniques and Applications. In Chemical Reactor Design and Technology: Overview of the New Developments of Energy and Petrochemical Reactor Technologies. Projections for the 90’s; de Lasa, H.I., Ed.; Springer: Dordrecht, The Netherlands, 1986; pp. 107–189. [Google Scholar]
- Gibilaro, L.G. Residence time distributions in regions of continuous flow systems. Chem. Eng. Sci. 1979, 34, 697–702. [Google Scholar] [CrossRef]
- Danckwerts, P.V. Continuous flow systems. Distribution of residence times. Chem. Eng. Sci. 1953, 2, 1–13. [Google Scholar] [CrossRef]
- Zwietering, T.N. The degree of mixing in continuous flow systems. Chem. Eng. Sci. 1959, 11, 1–15. [Google Scholar] [CrossRef]
- Danckwerts, P.V. The effect of incomplete mixing on homogeneous reactions. Chem. Eng. Sci. 1958, 8, 93–102. [Google Scholar] [CrossRef]
- Buffham, B.A.; Kropholler, H.W. The washout curve, residence-time distribution, and F curve in tracer kinetics. Math. Biosci. 1970, 6, 179–184. [Google Scholar] [CrossRef]
- Gibilaro, L.G. Mean residence times in continuous flow systems. Nature 1977, 270, 47–48. [Google Scholar] [CrossRef]
- Nauman, E.B. Residence time distribution theory for unsteady stirred tank reactors. Chem. Eng. Sci. 1969, 24, 1461–1470. [Google Scholar] [CrossRef]
- Shinnar, R. Residence-time distributions and tracer experiments in chemical reactor design: The power and usefulness of a “wrong” concept. Revce 1993, 9, 97. [Google Scholar] [CrossRef]
- Awasthi, R.C.; Vasudeva, K. On mean residence times in flow systems. Chem. Eng. Sci. 1983, 38, 313–319. [Google Scholar] [CrossRef]
- Gottschalk, T.; Dehling, H.G.; Hoffmann, A.C. Danckwerts’ law for mean residence time revisited. Chem. Eng. Sci. 2006, 61, 6213–6217. [Google Scholar] [CrossRef]
- Nauman, E.B. Residence time distributions and micromixing. Chem. Eng. Commun. 1981, 8, 53–131. [Google Scholar] [CrossRef]
- Nauman, E.B. Chapter 1. Residence Time Distributions. In Handbook of Industrial Mixing; Paul, E.L., Atiemo-Obeng, V.A., Kresta, S.M., Eds.; John Wiley & Sons: Hoboken, NJ, USA, 2003; pp. 1–17. [Google Scholar]
- Gao, Y.; Muzzio, F.J.; Ierapetritou, M.G. A review of the Residence Time Distribution (RTD) applications in solid unit operations. Powder Technol. 2012, 228, 416–423. [Google Scholar] [CrossRef]
- Lv, H.; Wang, J.; Shu, Z.; Qian, G.; Duan, X.; Yang, Z.; Zhou, X.; Zhang, J. Residence time distribution and heat/mass transfer performance of a millimeter scale butterfly-shaped reactor. Chin. Chem. Lett. 2023, 34, 107710. [Google Scholar] [CrossRef]
- Odidi, M.D.; Fagan-Endres, M.A.; Harrison, S.T.L. Residence Time Distribution Analysis of Drip-Irrigated Beds—The Effect of Material and Fluid Properties with Implications for Heap Leaching Practice. Minerals 2023, 13, 267. [Google Scholar] [CrossRef]
- Wetchagarun, S.; Tippayakul, C.; Petchrak, A.; Sukrod, K.; Khoonkamjorn, P. A study of residence time distribution using radiotracer technique in the large scale plant facility. J. Phys. Conf. Ser. 2017, 860, 012015. [Google Scholar] [CrossRef]
- Eskey, C.J.; Wolmark, N.; McDowell, C.L.; Domach, M.M.; Jain, R.K. Residence Time Distributions of various Tracers in Tumors: Implications for Drug Delivery and Blood Flow Measurement. JNCI J. Natl. Cancer Inst. 1994, 86, 293–299. [Google Scholar] [CrossRef] [PubMed]
- Leray, S.; Engdahl, N.B.; Massoudieh, A.; Bresciani, E.; McCallum, J. Residence time distributions for hydrologic systems: Mechanistic foundations and steady-state analytical solutions. J. Hydrol. 2016, 543, 67–87. [Google Scholar] [CrossRef]
- Guo, J.; Liu, Y.; Zhao, S.; Li, H.; Li, W.; Xia, J.; Wu, J.; Zhang, J. Effects of stator and rotor geometry on inline high shear mixers: Residence time distribution, flow, and energy consumption. Chem. Eng. J. 2023, 452, 139235. [Google Scholar] [CrossRef]
- Dittrich, C.J.; Mutsers, S.M.P. On the residence time distribution in reactors with non-uniform velocity profiles: The horizontal stirred bed reactor for polypropylene production. Chem. Eng. Sci. 2007, 62, 5777–5793. [Google Scholar] [CrossRef]
- Aparicio-Mauricio, G.; Rodríguez, F.A.; Pijpers, J.J.H.; Cruz-Díaz, M.R.; Rivero, E.P. CFD modeling of residence time distribution and experimental validation in a redox flow battery using free and porous flow. J. Energy Storage 2020, 29, 101337. [Google Scholar] [CrossRef]
- Rivas, J.; Sadino-Riquelme, M.C.; Garcés, I.; Carvajal, A.; Donoso-Bravo, A. Spatial and Temporal Validation of a CFD Model Using Residence Time Distribution Test in a Tubular Reactor. Computation 2020, 8, 94. [Google Scholar] [CrossRef]
- Simcik, M.; Ruzicka, M.C.; Mota, A.; Teixeira, J.A. Smart RTD for multiphase flow systems. Chem. Eng. Res. Des. 2012, 90, 1739–1749. [Google Scholar] [CrossRef][Green Version]
- Zhang, B.; Cui, Y.; Luo, J.; Wang, J.; Liao, B.; Tang, C. Evaluation and improvement of residence time distribution analysis methods. J. Hydrol. 2023, 620, 129531. [Google Scholar] [CrossRef]
- Gyürkés, M.; Tacsi, K.; Pataki, H.; Farkas, A. Residence Time Distribution-Based Smith Predictor: An Advanced Feedback Control for Dead Time–Dominated Continuous Powder Blending Process. J. Pharm. Innov. 2023. [Google Scholar] [CrossRef]
- Ding, C.; Lei, H.; Chen, S.; Zhang, H.; Zhao, Y.; Zou, Z. Challenge of Residence Time Distribution Curve in Tundish for Continuous Casting of Steel. Steel Res. Int. 2022, 93, 2200187. [Google Scholar] [CrossRef]
- Hurley, S.; Tantuccio, A.; Escotet-Espinoza, M.S.; Flamm, M.; Metzger, M. Development and Use of a Residence Time Distribution (RTD) Model Control Strategy for a Continuous Manufacturing Drug Product Pharmaceutical Process. Pharmaceutics 2022, 14, 355. [Google Scholar] [CrossRef] [PubMed]
- Safaei, H.; Falamaki, C.; Sohrabi, M. Applying a new approach to predict the residence time distribution in impinging streams reactors. Energy Sources Part A Recovery Util. Environ. Eff. 2023, 45, 9569–9576. [Google Scholar] [CrossRef]
- Goswami, S.; Kshirsagar, V.S.; Aswini, V.; Sharma, V.K.; Samantray, J.S.; Gupta, R.; Pawar, P.M.; Pant, H.J. Evaluation of mixing performance and validation of CFD simulations in baffled anaerobic digesters using radiotracer technique. Appl. Radiat. Isot. 2023, 192, 110570. [Google Scholar] [CrossRef]
- Mayer, F.; Cserjan-Puschmann, M.; Haslinger, B.; Shpylovyi, A.; Sam, C.; Soos, M.; Hahn, R.; Striedner, G. Computational fluid dynamics simulation improves the design and characterization of a plug-flow-type scale-down reactor for microbial cultivation processes. Biotechnol. J. 2023, 18, 2200152. [Google Scholar] [CrossRef]
- Carreño-López, F.; Moreno-Casas, P.A.; Scott, F.; Iza, J.; Sierra-Pallares, J.; Muñoz, R.; Vergara-Fernández, A. A convenient method to validate the gas flow of a CFD-CT simulation applied on a packed bed used in gas biofiltration through residence time distributions. Chem. Eng. J. 2023, 451, 138795. [Google Scholar] [CrossRef]
- Levenspiel, O. Mixed models to represent flow of fluids through vessels. Can. J. Chem. Eng. 1962, 40, 135–138. [Google Scholar] [CrossRef]
- Levenspiel, O. Chapter 1. The Tracer Method. In Tracer Technology: Modeling the Flow of Fluids; Springer Science & Business Media: Berlin/Heidelberg, Germany, 2011; Volume 96, pp. 1–4. [Google Scholar]
- Sebastian Escotet-Espinoza, M.; Moghtadernejad, S.; Oka, S.; Wang, Y.; Roman-Ospino, A.; Schäfer, E.; Cappuyns, P.; Van Assche, I.; Futran, M.; Ierapetritou, M.; et al. Effect of tracer material properties on the residence time distribution (RTD) of continuous powder blending operations. Part I of II: Experimental evaluation. Powder Technol. 2019, 342, 744–763. [Google Scholar] [CrossRef]
- Sarkar, M.; Sangal, V.K.; Pant, H.J.; Sharma, V.K.; Bhunia, H.; Bajpai, P.K. Application of tracer technology in wastewater treatment processes: A review. Chem. Eng. Commun. 2023, 210, 16–33. [Google Scholar] [CrossRef]
- Khatoon, B.; Kamil, S.; Babu, H.; Siraj Alam, M. Experimental analysis of Cascade CSTRs with step and pulse inputs. Mater. Today Proc. 2022, 78, 40–47. [Google Scholar] [CrossRef]
- Stephenson, R.; Sheridan, C. Review of experimental procedures and modelling techniques for flow behaviour and their relation to residence time in constructed wetlands. J. Water Process Eng. 2021, 41, 102044. [Google Scholar] [CrossRef]
- Wang, Z.; Yang, Z.; Wang, X.; Yue, Q.; Xia, Z.; Xiao, H. Residence Time Distribution (RTD) Applications in Continuous Casting Tundish: A Review and New Perspectives. Metals 2022, 12, 1366. [Google Scholar] [CrossRef]
- Peterwitz, M.; Jodwirschat, J.; Loll, R.; Schembecker, G. Tracking raw material flow through a continuous direct compression line Part I of II: Residence time distribution modeling and sensitivity analysis enabling increased process yield. Int. J. Pharm. 2022, 614, 121467. [Google Scholar] [CrossRef] [PubMed]
- Kim, I.-Y.; Park, S.; Kim, Y.; Kim, H.-J.; Wolfe, R.R. Tracing metabolic flux in vivo: Basic model structures of tracer methodology. Exp. Mol. Med. 2022, 54, 1311–1322. [Google Scholar] [CrossRef] [PubMed]
- Pant, H.J. Applications of the radiotracers in the industry: A review. Appl. Radiat. Isot. 2022, 182, 110076. [Google Scholar] [CrossRef]
- Torres, A.P.; Oliveira, F.A.R. Residence time distribution studies in continuous thermal processing of liquid foods: A review. J. Food Eng. 1998, 36, 1–30. [Google Scholar] [CrossRef]
- Grayman, W.M.; Rossman, L.A.; Deininger, R.A.; Smith, C.D.; Arnold, C.N.; Smith, J.F. Mixing and aging of water in distribution system storage facilities. J. -AWWA 2004, 96, 70–80. [Google Scholar] [CrossRef]
- Razavi, S.M.; Román-Ospino, A.D.; Bhalode, P.; Scicolone, J.; Callegari, G.; Dubey, A.; Koolivand, A.; Krull, S.; Tian, G.; Xu, X.; et al. Selection of an appropriate tracer to measure the residence time distribution (RTD) of continuous powder blending operations. Powder Technol. 2023, 429, 118864. [Google Scholar] [CrossRef]
- Robinson, B.A.; Tester, J.W.; Brown, L.F. Reservoir Sizing Using Inert and Chemically Reacting Tracers. SPE Form. Eval. 1988, 3, 227–234. [Google Scholar] [CrossRef]
- Sierra-Pallares, J.; Méndez, C.; García-Carrascal, P.; Castro, F. Spatial distribution of mean age and higher moments of unsteady and reactive tracers: Reconstruction of residence time distributions. Appl. Math. Model. 2017, 46, 312–327. [Google Scholar] [CrossRef]
- Kashid, M.N.; Renken, A.; Kiwi-Minsker, L. (Eds.) Chapter 3. Real Reactors and Residence Time Distribution (RTD). In Microstructured Devices for Chemical Processing; Wiley-VCH Verlag GmbH & Co.: Weinheim, Germany, 2014; pp. 89–128. [Google Scholar]
- Wojewódka, P.; Aranowski, R.; Jungnickel, C. Residence time distribution in rapid multiphase reactors. J. Ind. Eng. Chem. 2019, 69, 370–378. [Google Scholar] [CrossRef]
- Missen, R.W. Mims C.A., Saville B.A. Introduction to Chemical Reaction Engineering and Kinetics; John Wiley & Sons: New York, NY, USA, 1999. [Google Scholar]
- Danckwerts, P.V. Continuous flow systems. Distribution of residence times. Chem. Eng. Sci. 1995, 50, 3857–3866. [Google Scholar] [CrossRef]
- Fogler, H.S. Elements of Chemical Reaction Engineering; Prentice Hall: Upper Saddle River, NJ, USA, 2016. [Google Scholar]
- Li, S.; Xin, F.; Li, L. Reaction Engineering; Butterworth-Heinemann: Oxford, UK, 2017. [Google Scholar]
- Liu, S. Chapter 4—Batch Reactor. In Bioprocess Engineering, 2nd ed.; Liu, S., Ed.; Elsevier: Amsterdam, The Netherlands, 2017; pp. 139–178. [Google Scholar]
- Gorzalski, A.S.; Harrington, G.W.; Coronell, O. Assessing flow segregation and mixing by modeling residual disinfectant conversion. AWWA Water Sci. 2019, 1, e1154. [Google Scholar] [CrossRef]
- Levenspiel, O.; Bischoff, K.B. Patterns of Flow in Chemical Process Vessels. In Advances in Chemical Engineering; Drew, T.B., Hoopes, J.W., Vermeulen, T., Eds.; Academic Press: Cambridge, MA, USA, 1964; Volume 4, pp. 95–198. [Google Scholar]
- Ravi, R. Chapter 2—Flow Characteristics of Reactors—Flow Modeling. In Coulson and Richardson’s Chemical Engineering, 4th ed.; Ravi, R., Vinu, R., Gummadi, S.N., Eds.; Butterworth-Heinemann: Oxford, UK, 2017; pp. 103–160. [Google Scholar]
- Yablonsky, G.S.; Constales, D.; Marin, G.B. A new approach to diagnostics of ideal and non-ideal flow patterns: I. The concept of reactive-mixing index (REMI) analysis. Chem. Eng. Sci. 2009, 64, 4875–4883. [Google Scholar] [CrossRef]
- Bodner, K.; Brimacombe, C.; Chenery, E.S.; Greiner, A.; McLeod, A.M.; Penk, S.R.; Vargas Soto, J.S. Ten simple rules for tackling your first mathematical models: A guide for graduate students by graduate students. PLoS Comput. Biol. 2021, 17, e1008539. [Google Scholar] [CrossRef]
- Rizzuti, L.; Brucato, A. Photochemical Reactors Engineering Fundamentals. In Photocatalysis and Environment: Trends and Applications; Schiavello, M., Ed.; Springer: Dordrecht, The Netherlands, 1988; pp. 623–636. [Google Scholar]
- Sambiagio, C.; Noël, T. Flow photochemistry: Shine some light on those tubes! Trends Chem. 2020, 2, 92–106. [Google Scholar] [CrossRef]
- Alfano, O.M.; Cassano, A.E. Photoreactor Modeling: Applications to Advanced Oxidation Processes. Int. J. Chem. React. Eng. 2008, 6, 1–19. [Google Scholar] [CrossRef]
- Van Gerven, T.; Mul, G.; Moulijn, J.; Stankiewicz, A. A review of intensification of photocatalytic processes. Chem. Eng. Process. Process Intensif. 2007, 46, 781–789. [Google Scholar] [CrossRef]
- Bonfield, H.E.; Knauber, T.; Lévesque, F.; Moschetta, E.G.; Susanne, F.; Edwards, L.J. Photons as a 21st century reagent. Nat. Commun. 2020, 11, 804. [Google Scholar] [CrossRef] [PubMed]
- Zondag, S.D.A.; Mazzarella, D.; Noël, T. Scale-Up of Photochemical Reactions: Transitioning from Lab Scale to Industrial Production. Annu. Rev. Chem. Biomol. Eng. 2023, 14, 283–300. [Google Scholar] [CrossRef] [PubMed]
- Oppenländer, T. Photochemical Purification of Water and Air: Advanced Oxidation Processes (AOPs)-Principles, Reaction Mechanisms, Reactor Concepts; John Wiley & Sons: Hoboken, NJ, USA, 2007. [Google Scholar]
- de Lasa, H.; Serrano, B.; Salaices, M. (Eds.) Novel Photocatalytic Reactors for Water and Air Treatment. In Photocatalytic Reaction Engineering; Springer: Boston, MA, USA, 2005; pp. 17–47. [Google Scholar]
- Kowalska, E.; Rau, S. Photoreactors for Wastewater Treatment: A Review. Recent Pat. Eng. 2010, 4, 242–266. [Google Scholar] [CrossRef]
- McCullagh, C.; Skillen, N.; Adams, M.; Robertson, P.K.J. Photocatalytic reactors for environmental remediation: A review. J. Chem. Technol. Biotechnol. 2011, 86, 1002–1017. [Google Scholar] [CrossRef]
- Coenen, T.; Van de Moortel, W.; Logist, F.; Luyten, J.; Van Impe, J.F.M.; Degrève, J. Modeling and geometry optimization of photochemical reactors: Single- and multi-lamp reactors for UV–H2O2 AOP systems. Chem. Eng. Sci. 2013, 96, 174–189. [Google Scholar] [CrossRef]
- Alfano, O.M.; Cassano, A.E. Scaling-Up of Photoreactors: Applications to Advanced Oxidation Processes. In Advances in Chemical Engineering; de Lasa, H.I., Serrano Rosales, B., Eds.; Academic Press: Cambridge, MA, USA, 2009; Volume 36, pp. 229–287. [Google Scholar]
- Mukherjee, P.S.; Ray, A.K. Major Challenges in the Design of a Large-Scale Photocatalytic Reactor for Water Treatment. Chem. Eng. Technol. 1999, 22, 253–260. [Google Scholar] [CrossRef]
- Ray, A.K.; Beenackers, A.A.C.M. Development of a new photocatalytic reactor for water purification. Catal. Today 1998, 40, 73–83. [Google Scholar] [CrossRef]
- Wols, B.A.; Harmsen, D.J.H.; van Remmen, T.; Beerendonk, E.F.; Hofman-Caris, C.H.M. Design aspects of UV/H2O2 reactors. Chem. Eng. Sci. 2015, 137, 712–721. [Google Scholar] [CrossRef]
- Gandhi, V.N.; Roberts, P.J.W.; Kim, J.-H. Visualizing and Quantifying Dose Distribution in a UV Reactor Using Three-Dimensional Laser-Induced Fluorescence. Environ. Sci. Technol. 2012, 46, 13220–13226. [Google Scholar] [CrossRef]
- Xu, C.; Rangaiah, G.P.; Zhao, X.S. A computational study of the effect of lamp arrangements on the performance of ultraviolet water disinfection reactors. Chem. Eng. Sci. 2015, 122, 299–306. [Google Scholar] [CrossRef]
- Moreira, F.C.; Bocos, E.; Faria, A.G.F.; Pereira, J.B.L.; Fonte, C.P.; Santos, R.J.; Lopes, J.C.B.; Dias, M.M.; Sanromán, M.A.; Pazos, M.; et al. Selecting the best piping arrangement for scaling-up an annular channel reactor: An experimental and computational fluid dynamics study. Sci. Total Environ. 2019, 667, 821–832. [Google Scholar] [CrossRef] [PubMed]
- Coenen, T.; Logist, F.; Van de Moortel, W.; Luyten, J.; Van Impe, J.; Degrève, J. Geometry optimization of photochemical reactors for advanced oxidation processes. In Computer Aided Chemical Engineering; Kraslawski, A., Turunen, I., Eds.; Elsevier: Amsterdam, The Netherlands, 2013; Volume 32, pp. 829–834. [Google Scholar]
- Moreira, R.M.; Pinto, A.M.F.; Mesnier, R.; Leclerc, J.-P. Influence of inlet positions on the flow behavior inside a photoreactor using radiotracers and colored tracer investigations. Appl. Radiat. Isot. 2007, 65, 419–427. [Google Scholar] [CrossRef] [PubMed]
- Poliński, M.; Stęgowski, Z. Influence of Inlet Positions on the Flow Behavior Inside a Photoreactor. In Proceedings of the Information Technology and Computational Physics, Krakow, Poland, 18–20 December 2016; Springer: Cham, Switzerland, 2017; pp. 217–232. [Google Scholar]
- Peres, J.C.G.; Silvio, U.d.; Teixeira, A.C.S.C.; Guardani, R.; Vianna, A.d.S., Jr. Study of an Annular Photoreactor with Tangential Inlet and Outlet: I. Fluid Dynamics. Chem. Eng. Technol. 2015, 38, 311–318. [Google Scholar] [CrossRef]
- Peres, J.C.G.; Tambani, P.C.; Teixeira, A.C.S.C.; Guardani, R.; Vianna, A.d.S., Jr. Study of an Annular Photoreactor with Tangential Inlet and Outlet. II. The UV/H2O2 Reactive Flow. Chem. Eng. Technol. 2019, 42, 316–326. [Google Scholar] [CrossRef]
- Suditu, G.D.; Nechita, M.T.; Puițel, A.C.; Drăgoi, E.N. Wastewater Treatment System by Photo-Sono-Chemical Methods. Patent Application RO/135064/A2/30.06.2021, 30 June 2021. [Google Scholar]
- Lawryshyn, Y.A.; Cairns, B. UV disinfection of water: The need for UV reactor validation. Water Supply 2003, 3, 293–300. [Google Scholar] [CrossRef]
- Sahle-Demessie, E.; Bekele, S.; Pillai, U.R. Residence time distribution of fluids in stirred annular photoreactor. Catal. Today 2003, 88, 61–72. [Google Scholar] [CrossRef]
- Malayeri, M.; Lee, C.-S.; Haghighat, F.; Klimes, L. Modeling of gas-phase heterogeneous photocatalytic oxidation reactor in the presence of mass transfer limitation and axial dispersion. Chem. Eng. J. 2020, 386, 124013. [Google Scholar] [CrossRef]
- Levenspiel, O. Chapter 2. The Mean and Variance of a Tracer Curve. In Tracer Technology: Modeling the Flow of Fluids; Levenspiel, O., Ed.; Springer: New York, NY, USA, 2012; pp. 5–10. [Google Scholar]
- Espíndola, J.C.; Cristóvão, R.O.; Araújo, S.R.F.; Neuparth, T.; Santos, M.M.; Montes, R.; Quintana, J.B.; Rodil, R.; Boaventura, R.A.R.; Vilar, V.J.P. An innovative photoreactor, FluHelik, to promote UVC/H2O2 photochemical reactions: Tertiary treatment of an urban wastewater. Sci. Total Environ. 2019, 667, 197–207. [Google Scholar] [CrossRef]
- Danckwerts, P.V. Local residence-times in continuous-flow systems. Chem. Eng. Sci. 1958, 9, 78–79. [Google Scholar] [CrossRef]
- Danckwerts, P.V.; Jenkins, J.W.; Place, G. The distribution of residence-times in an industrial fluidised reactor. Chem. Eng. Sci. 1954, 3, 26–35. [Google Scholar] [CrossRef]
- Danckwerts, P.V.; Wilson, R.A.M. Flow-visualization by means of a time-reaction. J. Fluid Mech. 1963, 16, 412–416. [Google Scholar] [CrossRef]
- Zwietering, T.N. A backmixing model describing micromixing in single-phase continuous-flow systems. Chem. Eng. Sci. 1984, 39, 1765–1778. [Google Scholar] [CrossRef]
- Bischoff, K.B.; McCracken, E.A. Tracer tests in flow systems. Ind. Eng. Chem. 1966, 58, 18–31. [Google Scholar] [CrossRef]
- Bischoff, K.B. Mixing and contacting in chemical reactors. Ind. Eng. Chem. 1966, 58, 18–32. [Google Scholar] [CrossRef]
- Cholette, A.; Cloutier, L. Mixing efficiency determinations for continuous flow systems. Can. J. Chem. Eng. 1959, 37, 105–112. [Google Scholar] [CrossRef]
- Chiang, D.; Cholette, A. Internal age and residence time distributions of a fluid in non-ideal stirred tanks in series. Can. J. Chem. Eng. 1971, 49, 484–487. [Google Scholar] [CrossRef]
- Cholette, A.; Blanchet, J.; Cloutier, L. Performance of flow reactors at various levels of mixing. Can. J. Chem. Eng. 1960, 38, 1–18. [Google Scholar] [CrossRef]
- Cloutier, L.; Cholette, A. Effect of various parameters on the level of mixing in continuous flow systems. Can. J. Chem. Eng. 1968, 46, 82–88. [Google Scholar] [CrossRef]
- Levenspiel, O.; Lai, B.W.; Chatlynne, C.Y. Tracer curves and the residence time distribution. Chem. Eng. Sci. 1970, 25, 1611–1613. [Google Scholar] [CrossRef]
- Levenspiel, O.; Smith, W.K. Notes on the diffusion-type model for the longitudinal mixing of fluids in flow. Chem. Eng. Sci. 1995, 50, 3891–3896. [Google Scholar] [CrossRef]
- Levenspiel, O.; Turner, J.C.R. The interpretation of residence-time experiments. Chem. Eng. Sci. 1970, 25, 1605–1609. [Google Scholar] [CrossRef]
- Levenspiel, O.; Bischoff, K.B. Backmixing in the Design of Chemical Reactors. Ind. Eng. Chem. 1959, 51, 1431–1434. [Google Scholar] [CrossRef]
- Shinnar, R. On the behaviour of liquid dispersions in mixing vessels. J. Fluid Mech. 1961, 10, 259–275. [Google Scholar] [CrossRef]
- Zvirin, Y.; Shinnar, R. Interpretation of internal tracer experiments and local sojourn time distributions. Int. J. Multiph. Flow 1976, 2, 495–520. [Google Scholar] [CrossRef]
- Buffham, B.A. Impulse Response of Infinite and Semi-Infinite Sequences of Identical Stirred Tanks with Backflow. Ind. Eng. Chem. Fundam. 1969, 8, 428–430. [Google Scholar] [CrossRef]
- Buffham, B.A. On the residence-time distribution for a system with velocity profiles in its connections with the environment. Chem. Eng. Sci. 1972, 27, 987–991. [Google Scholar] [CrossRef]
- Buffham, B.A. Mean residence times in steady-flow and some non-flow systems. Nature 1978, 274, 879–880. [Google Scholar] [CrossRef]
- Buffham, B.A. Internal and external residence-time distributions. Chem. Eng. Commun. 1983, 22, 105–107. [Google Scholar] [CrossRef]
- Buffham, B.A. Residence-time distributions in regions of steady-flow systems. Nature 1985, 314, 606–608. [Google Scholar] [CrossRef]
- Buffham, B.A.; Gibilaro, L.G. A generalization of the tanks-in-series mixing model. AIChE J. 1968, 14, 805–806. [Google Scholar] [CrossRef]
- Buffham, B.A.; Gibilaro, L.G. A unified time delay model for dispersion in flowing media. Chem. Eng. J. 1970, 1, 31–36. [Google Scholar] [CrossRef]
- Buffham, B.A.; Kropholler, H.W. Tracer kinetics: Some general properties, the mean residence time and applications to phase and chemical equilibria. Chem. Eng. Sci. 1973, 28, 1081–1089. [Google Scholar] [CrossRef]
- Buffham, B.A.; Mason, G. Holdup and dispersion: Tracer residence times, moments and inventory measurements. Chem. Eng. Sci. 1993, 48, 3879–3887. [Google Scholar] [CrossRef]
- Buffham, B.A.; Nauman, E.B. On the limiting form of the residence-time distribution for a constant-volume recycle system. Chem. Eng. Sci. 1975, 30, 1519–1524. [Google Scholar] [CrossRef]
- Gibilaro, L.G. On the residence time distribution for systems with open boundaries. Chem. Eng. Sci. 1978, 33, 487–491. [Google Scholar] [CrossRef]
- Nauman, E.B. Residence times and cycle times in recycle systems. Chem. Eng. Sci. 1974, 29, 1883–1888. [Google Scholar] [CrossRef]
- Nauman, E.B. Mixing in Polymer Reactors. J. Macromol. Sci. Part C 1974, 10, 75–112. [Google Scholar] [CrossRef]
- Nauman, E.B. Residence time distributions in systems governed by the dispersion equation. Chem. Eng. Sci. 1981, 36, 957–966. [Google Scholar] [CrossRef]
- Nauman, E.B. Reactions and residence time distributions in motionless mixers. Can. J. Chem. Eng. 1982, 60, 136–140. [Google Scholar] [CrossRef]
- Nauman, E.B. On residence time and trajectory calculations in motionless mixers. Chem. Eng. J. 1991, 47, 141–148. [Google Scholar] [CrossRef]
- Martin, A.D. Interpretation of residence time distribution data. Chem. Eng. Sci. 2000, 55, 5907–5917. [Google Scholar] [CrossRef]
- Burrows, L.J.; Stokes, A.J.; West, J.R.; Forster, C.F.; Martin, A.D. Evaluation of different analytical methods for tracer studies in aeration lanes of activated sludge plants. Water Res. 1999, 33, 367–374. [Google Scholar] [CrossRef]
- Leclerc, J.; Claudel, S.; Lintz, H.; Potier, O.; Antoine, B. Theoretical interpretation of residence-time distribution measurements in industrial processes. Oil Gas Sci. Technol. 2000, 55, 159–169. [Google Scholar]
- Claudel, S.; Fonteix, C.; Leclerc, J.P.; Lintz, H.G. Application of the possibility theory to the compartment modelling of flow pattern in industrial processes. Chem. Eng. Sci. 2003, 58, 4005–4016. [Google Scholar] [CrossRef]
- Haag, J.; Gentric, C.; Lemaitre, C.; Leclerc, J.-P. Modelling of Chemical Reactors: From Systemic Approach to Compartmental Modelling. Int. J. Chem. React. Eng. 2018, 16. [Google Scholar] [CrossRef]
- Schmidt, L.D. The engineering of Chemical Reactions; Oxford University Press: New York, NY, USA, 2005. [Google Scholar]
- Nauman, E.B. Chemical Reactor Design, Optimization, and Scaleup; John Wiley & Sons: Hoboken, NJ, USA, 2008. [Google Scholar]
- Fogler, H.S. Essentials of Chemical Reaction Engineering; Pearson Education: London, UK, 2010. [Google Scholar]
- Green, D.W.; Southard, M.Z. Perry’s Chemical Engineers’ Handbook; McGraw-Hill Education: New York, NY, USA, 2019. [Google Scholar]
- Ravi, R.; Vinu, R.; Gummadi, S.N. Coulson and Richardson’s Chemical Engineering: Volume 3A: Chemical and Biochemical Reactors and Reaction Engineering; Butterworth-Heinemann: Oxford, UK, 2017. [Google Scholar]
- Swaine, D.E.; Daugulis, A.J. Review of Liquid Mixing in Packed Bed Biological Reactors. Biotechnol. Progress 1988, 4, 134–148. [Google Scholar] [CrossRef]
- Ramaswamy, H.S.; Abdelrahim, K.A.; Simpson, B.K.; Smith, J.P. Residence time distribution (RTD) in aseptic processing of particulate foods: A review. Food Res. Int. 1995, 28, 291–310. [Google Scholar] [CrossRef]
- Ganjyal, G.; Hanna, M. A Review on Residence Time Distribution (RTD) in Food Extruders and Study on the Potential of Neural Networks in RTD Modeling. J. Food Sci. 2002, 67, 1996–2002. [Google Scholar] [CrossRef]
- Sheoran, M.; Chandra, A.; Bhunia, H.; Bajpai, P.K.; Pant, H.J. Residence time distribution studies using radiotracers in chemical industry—A review. Chem. Eng. Commun. 2018, 205, 739–758. [Google Scholar] [CrossRef]
- Reis, M.H.; Varner, T.P.; Leibfarth, F.A. The Influence of Residence Time Distribution on Continuous-Flow Polymerization. Macromolecules 2019, 52, 3551–3557. [Google Scholar] [CrossRef]
- Cherkasov, N.; Adams, S.J.; Bainbridge, E.G.A.; Thornton, J.A.M. Continuous stirred tank reactors in fine chemical synthesis for efficient mixing, solids-handling, and rapid scale-up. React. Chem. Eng. 2023. [Google Scholar] [CrossRef]
- Patrick, R.H., Jr.; Klindera, T.; Crynes, L.L.; Cerro, R.L.; Abraham, M.A. Residence time distribution in three-phase monolith reactor. AIChE J. 1995, 41, 649–657. [Google Scholar] [CrossRef]
- Bachmann, P.; Bück, A.; Tsotsas, E. Experimental investigation and correlation of the Bodenstein number in horizontal fluidized beds with internal baffles. Powder Technol. 2017, 308, 378–387. [Google Scholar] [CrossRef]
- Shadpoor, S.; Pirouzi, A.; Hamze, H.; Mazaheri, D. Determination of Bodenstein number and axial dispersion of a triangular external loop airlift reactor. Chem. Eng. Res. Des. 2021, 165, 61–68. [Google Scholar] [CrossRef]
- Pietsch, S.; Schönherr, M.; Kleine Jäger, F.; Heinrich, S. Measurement of Residence Time Distributions in a Continuously Operated Spouted Bed. Chem. Eng. Technol. 2020, 43, 804–812. [Google Scholar] [CrossRef]
- Mason, D.R.; Piret, E.L. Continuous Flow Stirred Tank Reactor Systems. Ind. Eng. Chem. 1950, 42, 817–825. [Google Scholar] [CrossRef]
- Li, S. Chapter 5—Residence Time Distribution and Flow Models for Reactors. In Reaction Engineering; Li, S., Ed.; Butterworth-Heinemann: Boston, MA, USA, 2017; pp. 213–263. [Google Scholar]



















| Mathematical Expression | Properties | |||
|---|---|---|---|---|
| Description | Symbol | Label | Mathematical Expression | Significance |
|---|---|---|---|---|
| First moment | τ | Mean residence time | Central tendency | |
| Second moment | σ2 | Variance | Degree of dispersion around the mean | |
| Third moment | s3 | Skewness | Symmetry (positive or negative) | |
| Fourth moment | k4 | Kurtosis | Shape (tall or flat) |
| Reactor Position | Inlet/Outlet Type | σ2 | σ | |
|---|---|---|---|---|
| Horizontal | axial | 226.94 | 36,606.30 | 191.33 |
| radial | 226.56 | 37,705.47 | 194.18 | |
| Inclined (45°) | axial | 274.06 | 57,750.94 | 240.31 |
| radial | 296.45 | 42,300.83 | 205.67 | |
| Vertical | axial | 290.66 | 60,084.68 | 245.12 |
| radial | 311.65 | 43,635.04 | 208.89 |
Disclaimer/Publisher’s Note: The statements, opinions and data contained in all publications are solely those of the individual author(s) and contributor(s) and not of MDPI and/or the editor(s). MDPI and/or the editor(s) disclaim responsibility for any injury to people or property resulting from any ideas, methods, instructions or products referred to in the content. |
© 2023 by the authors. Licensee MDPI, Basel, Switzerland. This article is an open access article distributed under the terms and conditions of the Creative Commons Attribution (CC BY) license (https://creativecommons.org/licenses/by/4.0/).
Share and Cite
Nechita, M.T.; Suditu, G.D.; Puițel, A.C.; Drăgoi, E.N. Residence Time Distribution: Literature Survey, Functions, Mathematical Modeling, and Case Study—Diagnosis for a Photochemical Reactor. Processes 2023, 11, 3420. https://doi.org/10.3390/pr11123420
Nechita MT, Suditu GD, Puițel AC, Drăgoi EN. Residence Time Distribution: Literature Survey, Functions, Mathematical Modeling, and Case Study—Diagnosis for a Photochemical Reactor. Processes. 2023; 11(12):3420. https://doi.org/10.3390/pr11123420
Chicago/Turabian StyleNechita, Mircea Teodor, Gabriel Dan Suditu, Adrian Cătălin Puițel, and Elena Niculina Drăgoi. 2023. "Residence Time Distribution: Literature Survey, Functions, Mathematical Modeling, and Case Study—Diagnosis for a Photochemical Reactor" Processes 11, no. 12: 3420. https://doi.org/10.3390/pr11123420
APA StyleNechita, M. T., Suditu, G. D., Puițel, A. C., & Drăgoi, E. N. (2023). Residence Time Distribution: Literature Survey, Functions, Mathematical Modeling, and Case Study—Diagnosis for a Photochemical Reactor. Processes, 11(12), 3420. https://doi.org/10.3390/pr11123420

