Kinetic Modeling of Cornstalk Cellulose Hydrolysis in Supercritical Water: A Comparative Study of the Effects of Temperature and Residence Time on Derivative Production
Abstract
:1. Introduction
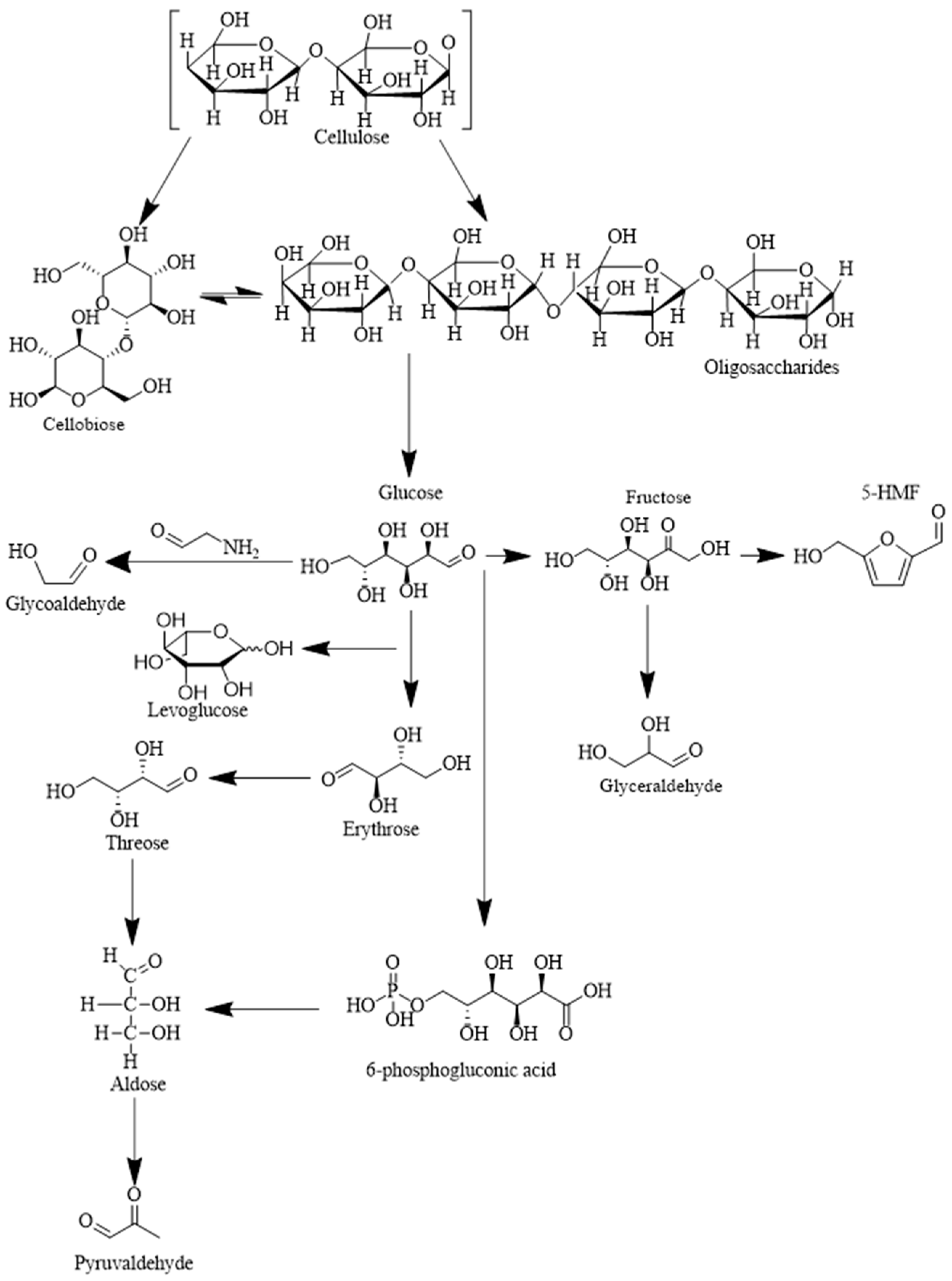
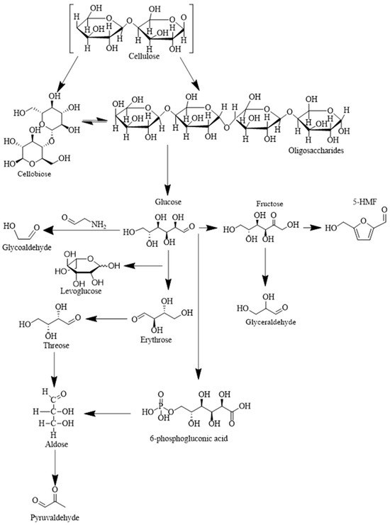
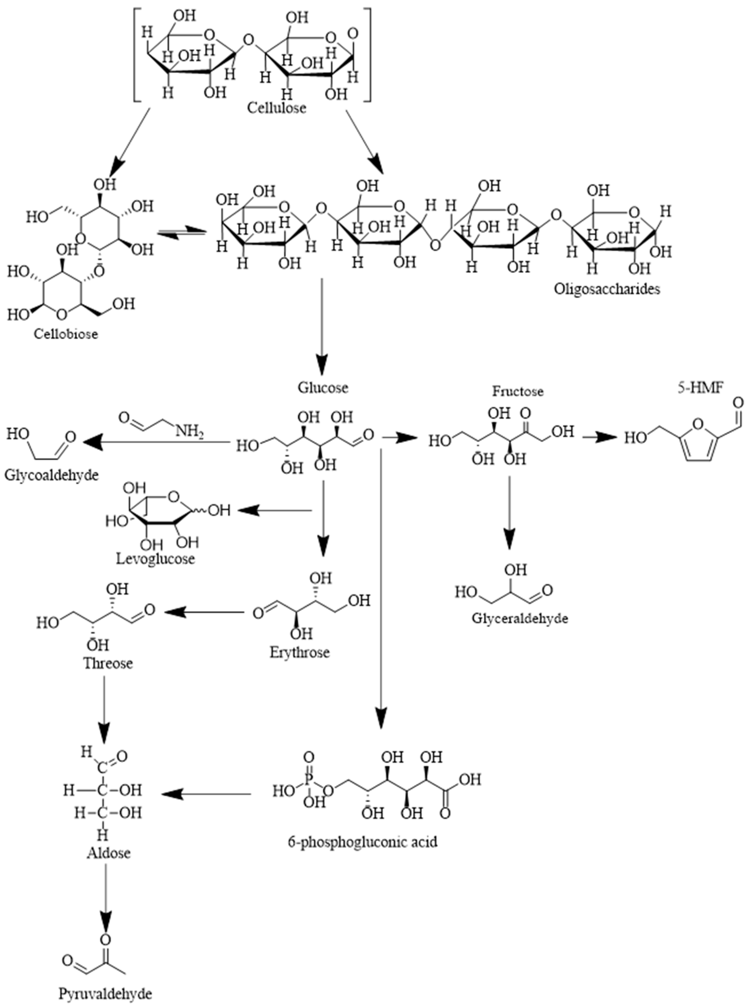
2. Statement of the Problem and Solution
3. Results and Discussion
3.1. Cellulose Hydrolysis
3.2. Glucose Hydrolysis with Fixed Temperature and Residence Time
3.3. Glucose Isomerization into Fructose
3.4. 5-HMF Hydrolysis into Derivatives
3.5. Erythrose and Further Derivatives
3.6. Glycolaldehyde Conversion
3.7. Prediction of Threose and Aldose Yield
4. Concluding Remarks
Author Contributions
Funding
Data Availability Statement
Conflicts of Interest
References
- Popp, J.; Kovács, S.; Oláh, J.; Divéki, Z.; Balázs, E. Bioeconomy: Biomass and biomass-based energy supply and demand. N. Biotechnol. 2021, 60, 76–84. [Google Scholar] [CrossRef] [PubMed]
- Zhou, C.; Wang, Y. Recent progress in the conversion of biomass wastes into functional materials for value-added applications. Sci. Technol. Adv. Mater. 2020, 21, 787–804. [Google Scholar] [CrossRef] [PubMed]
- Waliszewska, B.; Mleczek, M.; Zborowska, M.; Goliński, P.; Rutkowski, P.; Szentner, K. Changes in the chemical composition and the structure of cellulose and lignin in elm wood exposed to various forms of arsenic. Cellulose 2019, 26, 6303–6315. [Google Scholar] [CrossRef]
- Teong, S.P.; Yi, G.; Zhang, Y. Hydroxymethylfurfural production from bioresources: Past, present and future. Green Chem. 2014, 16, 2015–2026. [Google Scholar] [CrossRef]
- Cantero, D.A.; Tapia, Á.S.; Bermejo, M.D.; Cocero, M.J. Pressure and temperature effect on cellulose hydrolysis in pressurized water. Chem. Eng. J. 2015, 276, 145–154. [Google Scholar] [CrossRef]
- Bobleter, O. Hydrothermal degradation of polymers derived from plants. Prog. Polym. Sci. 1994, 19, 797–841. [Google Scholar] [CrossRef]
- Ehara, K.; Saka, S. A comparative study on chemical conversion of cellulose between the batch-type and flow-type systems in supercritical water. Cellulose 2002, 9, 301–311. [Google Scholar] [CrossRef]
- Assary, R.S.; Curtiss, L.A. Comparison of sugar molecule decomposition through glucose and fructose: A high-level quantum chemical study. Energy Fuels 2012, 26, 1344–1352. [Google Scholar] [CrossRef]
- Zhang, Y.; Hidajat, K.; Ray, A.K. Optimal design and operation of SMB bioreactor: Production of high fructose syrup by isomerization of glucose. Biochem. Eng. J. 2004, 21, 111–121. [Google Scholar] [CrossRef]
- Zakrzewska, M.E.; Bogel-Yukasik, E.; Bogel-Yukasik, R. Solubility of carbohydrates in ionic liquids. Energy Fuels 2010, 24, 737–745. [Google Scholar] [CrossRef]
- Zhao, H.; Holladay, J.E.; Brown, H.; Zhang, Z.C. Metal chlorides in ionic liquid solvents convert sugars to 5-hydroxymethylfurfural. Science 2007, 316, 1597–1600. [Google Scholar] [CrossRef] [PubMed]
- Bicker, M.; Hirth, J.; Vogel, H. Dehydration of fructose to 5-hydroxymethylfurfural in sub-and supercritical acetone. Green Chem. 2003, 5, 280–284. [Google Scholar] [CrossRef]
- Tarabanko, N.; Baryshnikov, S.V.; Kazachenko, A.S.; Miroshnikova, A.; Skripnikov, A.M.; Lavrenov, A.V.; Taran, O.; Kuznetsov, B.N. Hydrothermal hydrolysis of microcrystalline cellulose from birch wood catalyzed by Al2O3-B2O3 mixed oxides. Wood Sci. Technol. 2022, 56, 437–457. [Google Scholar] [CrossRef]
- Nasution, H.; Yahya, E.B.; Abdul Khalil, H.P.S.; Shaah, M.A.; Suriani, A.B.; Mohamed, A.; Alfatah, T.; Abdullah, C.K. Extraction and Isolation of Cellulose Nanofibers from Carpet Wastes Using Supercritical Carbon Dioxide Approach. Polymers 2022, 14, 326. [Google Scholar] [CrossRef] [PubMed]
- Escobar, E.L.N.; da Silva, T.A.; Pirich, C.L.; Corazza, M.L.; Pereira Ramos, L. Supercritical Fluids: A Promising Technique for Biomass Pretreatment and Fractionation. Front. Bioeng. Biotechnol. 2020, 8, 252. [Google Scholar] [CrossRef]
- Acharya, S.; Hu, Y.; Abidi, N. Cellulose dissolution in ionic liquid under mild conditions: Effect of hydrolysis and temperature. Fibers 2021, 9, 5. [Google Scholar] [CrossRef]
- Ahmad Kamaroddin, M.F.; Sabli, N.; Tuan Abdullah, T.A.; Siajam, S.I.; Abdullah, L.C.; Abdul Jalil, A.; Ahmad, A. Membrane-based electrolysis for hydrogen production: A review. Membranes 2021, 11, 810. [Google Scholar] [CrossRef]
- Lewis, N.S.; Nocera, D.G. Powering the planet: Chemical challenges in solar energy utilization. Proc. Natl. Acad. Sci. USA 2006, 103, 15729–15735. [Google Scholar] [CrossRef]
- Efrinalia, W.; Novia, N.; Melwita, E. Kinetic Model for Enzymatic Hydrolysis of Cellulose from Pre-Treated Rice Husks. Fermentation 2022, 8, 417. [Google Scholar] [CrossRef]
- Sasaki, M.; Goto, K.; Tajima, K.; Adschiri, T.; Arai, K. Rapid and selective retro-aldol condensation of glucose to glycolaldehyde in supercritical water. Green Chem. 2002, 4, 285–287. [Google Scholar] [CrossRef]
- Asghari, F.S.; Yoshida, H. Acid-catalyzed production of 5-hydroxymethyl furfural from D-fructose in subcritical water. Ind. Eng. Chem. Res. 2006, 45, 2163–2173. [Google Scholar] [CrossRef]
- Tyufekchiev, M.; Finzel, J.; Zhang, Z.; Yao, W.; Sontgerath, S.; Skangos, C.; Duan, P.; Schmidt-Rohr, K.; Timko, M.T. A New Method for Solid Acid Catalyst Evaluation for Cellulose Hydrolysis. Sustain. Chem. 2021, 2, 645–669. [Google Scholar] [CrossRef]
- Zhao, Y.; Lu, W.J.; Wang, H.T. Supercritical hydrolysis of cellulose for oligosaccharide production in combined technology. Chem. Eng. J. 2009, 150, 411–417. [Google Scholar] [CrossRef]
- Li, M.; Cao, S.; Meng, X.; Studer, M.; Wyman, C.E.; Ragauskas, A.J.; Pu, Y. The effect of liquid hot water pretreatment on the chemical-structural alteration and the reduced recalcitrance in poplar. Biotechnol. Biofuels 2017, 10, 237. [Google Scholar] [CrossRef]
- Cantero, D.A.; Bermejo, M.D.; Cocero, M.J. Governing Chemistry of Cellulose Hydrolysis in Supercritical Water. ChemSusChem 2015, 8, 1026–1033. [Google Scholar] [CrossRef]
- Zhang, J.; Huo, H.; Zhang, L.; Yang, Y.; Li, H.; Ren, Y.; Zhang, Z. Effect of High-Temperature Hydrothermal Treatment on the Cellulose Derived from the Buxus Plant. Polymers 2022, 14, 2053. [Google Scholar] [CrossRef]
- Martínez, C.M.; Cantero, D.A.; Bermejo, M.D.; Cocero, M.J. Hydrolysis of cellulose in supercritical water: Reagent concentration as a selectivity factor. Cellulose 2015, 22, 2231–2243. [Google Scholar] [CrossRef]
- Cantero, D.A.; Bermejo, M.D.; Cocero, M.J. Kinetic analysis of cellulose depolymerization reactions in near critical water. J. Supercrit. Fluids 2013, 75, 48–57. [Google Scholar] [CrossRef]
- Kawamura, K.; Sako, K.; Ogata, T.; Mine, T.; Tanabe, K. Production of 5′-hydroxymethylfurfural by the hydrothermal treatment of cotton fabric wastes using a pilot-plant scale flow reactor. Bioresour. Technol. Rep. 2020, 11, 100476. [Google Scholar] [CrossRef]
- Díez, D.; Urueña, A.; Piñero, R.; Barrio, A.; Tamminen, T. Determination of Hemicellulose, Cellulose, and Lignin Content in Different Types of Biomasses by Thermogravimetric Analysis and Pseudocomponent Kinetic Model. Processes 2020, 8, 1048. [Google Scholar] [CrossRef]
- Takahashi, T.; Karita, S.; Ogawa, N.; Goto, M. Crystalline cellulose reduces plasma glucose concentrations and stimulates water absorption by increasing the digesta viscosity in rats. J. Nutr. 2005, 135, 2405–2410. [Google Scholar] [CrossRef] [PubMed]
- Kassaye, S.; Gupta, D.; Pant, K.K.; Jain, S. Valorization of Microcrystalline Cellulose Using Heterogeneous Protonated Zeolite Catalyst: An Experimental and Kinetics Approach. Reactions 2022, 3, 283–299. [Google Scholar] [CrossRef]
- Ehara, K.; Saka, S. Decomposition behavior of cellulose in supercritical water, subcritical water, and their combined treatments. J. Wood Sci. 2005, 51, 148–153. [Google Scholar] [CrossRef]
- Sabli, N.; Toat, S.A.; Yoshida, H.; Izhar, S. Hydrolysis of Blended Cotton/Polyester Fabric from Hospital Waste using Subcritical Water. Sains Malays. 2023, 52, 139–151. [Google Scholar] [CrossRef]








| Kinetic Constants | Symbol |
|---|---|
| cellulose | |
| cellobiose | |
| oligosaccharides | |
| glucose | |
| glyceraldehyde | |
| fructose | |
| glycolaldehyde | |
| 5-HMF | |
| erythrose | |
| aldose | |
| threose |
| Name | Kinetic Constants | Value | Ea (kJ/mol) |
|---|---|---|---|
| cellulose | 0.01 | 145.9 | |
| cellobiose | 0.03 | 66.89 | |
| oligosaccharides | 0.05 | 69.3 | |
| glucose | 0.025 | 112.69 | |
| fructose | 0.05 | 140.44 | |
| glycolaldehyde | 0.019 | 150 | |
| 5-HMF | 0.15 | 105 | |
| glyceraldehyde | 0.01 | 82.56 | |
| Erythrose | 0.03 | 106.1 | |
| Threose | 0.0015 | 87.8 | |
| Aldose | 0.028 | 60.8 | |
| 6-phosfogluconic acid | 0.02 | 125 | |
| pyruvaldehyde | 0.0125 | 94 |
| Name | Symbol | Value |
|---|---|---|
| mass flow rate | 0.1 kg/s | |
| fraction of cellulose to saccharides | F | 0.5 |
| moisture content | Mc | 10 molar/h |
| molecular weight per unit of cellulose | 162.14 | |
| mass of carbon per unit of cellulose | 120 | |
| molecular weight of cellobiose | 342.30 | |
| mass of carbon per unit of glucose | 60 | |
| molecular weight of carbon per unit of glucose | 180.15 | |
| density of water | 1000 kg/m3 | |
| area of cellulose grain | 0.02 m2 | |
| mass flow | 0.5 kg/s |
| No. | Product | Residence Time (s) | Experimental Results (%) | Model Predictions (%) | Temperature (°C) |
|---|---|---|---|---|---|
| 1 | Cellulose | 15 | 60–80 | 74 | 378 |
| 2 | Glucose | 15 | 3.8 | 3.8 | 378 |
| 3 | Fructose | 15 | 3.7 | 3.6 | 378 |
| 4 | 5-HMF | 15 | 0.9, 1.3 | 0.8, 1.4 | 378, 382 |
| 5 | Erythrose | 15 | 2.8 | 2.78 | 378 |
| No. | Product | Residence Time (s) | Temperature | Model Prediction (%) |
|---|---|---|---|---|
| 1 | Glycolaldehyde | 15, 17 | 378 | 2.1, 4.3 |
| 2 | Threose | 15.6, 17 | 378 | 1.2,3.6 |
| 3 | Aldose | 17 | 380 | 4.1 |
Disclaimer/Publisher’s Note: The statements, opinions and data contained in all publications are solely those of the individual author(s) and contributor(s) and not of MDPI and/or the editor(s). MDPI and/or the editor(s) disclaim responsibility for any injury to people or property resulting from any ideas, methods, instructions or products referred to in the content. |
© 2023 by the authors. Licensee MDPI, Basel, Switzerland. This article is an open access article distributed under the terms and conditions of the Creative Commons Attribution (CC BY) license (https://creativecommons.org/licenses/by/4.0/).
Share and Cite
Ashfaq, M.M.; Zholobko, O.; Wu, X.-F. Kinetic Modeling of Cornstalk Cellulose Hydrolysis in Supercritical Water: A Comparative Study of the Effects of Temperature and Residence Time on Derivative Production. Processes 2023, 11, 3030. https://doi.org/10.3390/pr11103030
Ashfaq MM, Zholobko O, Wu X-F. Kinetic Modeling of Cornstalk Cellulose Hydrolysis in Supercritical Water: A Comparative Study of the Effects of Temperature and Residence Time on Derivative Production. Processes. 2023; 11(10):3030. https://doi.org/10.3390/pr11103030
Chicago/Turabian StyleAshfaq, Muhammad Muzamal, Oksana Zholobko, and Xiang-Fa Wu. 2023. "Kinetic Modeling of Cornstalk Cellulose Hydrolysis in Supercritical Water: A Comparative Study of the Effects of Temperature and Residence Time on Derivative Production" Processes 11, no. 10: 3030. https://doi.org/10.3390/pr11103030
APA StyleAshfaq, M. M., Zholobko, O., & Wu, X.-F. (2023). Kinetic Modeling of Cornstalk Cellulose Hydrolysis in Supercritical Water: A Comparative Study of the Effects of Temperature and Residence Time on Derivative Production. Processes, 11(10), 3030. https://doi.org/10.3390/pr11103030

