A Database Extension for a Safety Evaluation of a Hydrogen Refueling Station with a Barrier Using a CFD Analysis and a Machine Learning Method
Abstract
:1. Introduction
2. Use of the VCE Database for HRS’ Safety Evaluations
3. Producing Datasets Using the CFD Analysis
3.1. RadXiFoam Solver
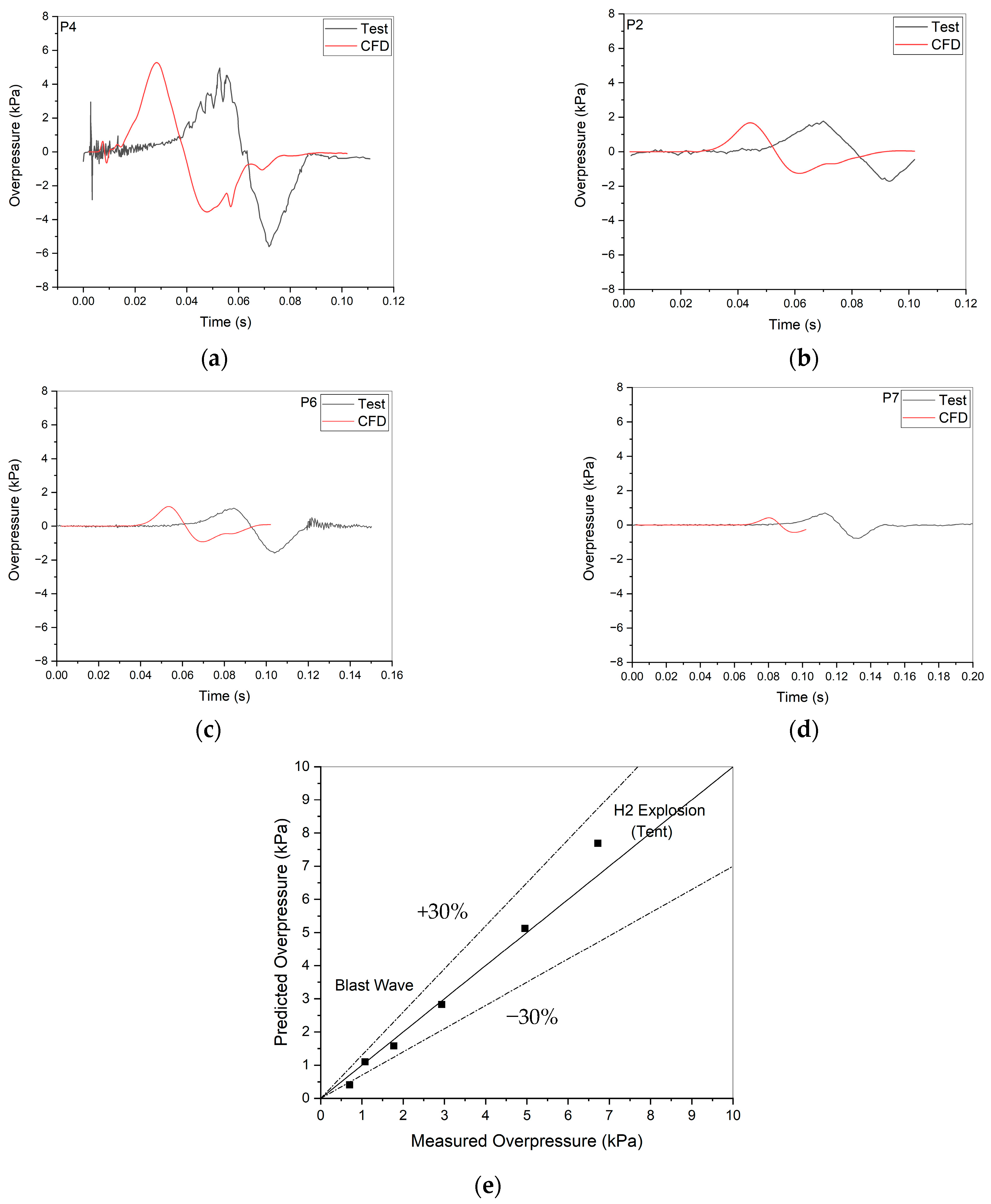
3.2. Analysis of SRI Test 4-02 Using radXiFoam
3.3. CFD Sensitivity Calculation Results and Discussion
4. Producing Datasets Using Machine Learning
4.1. Development of the Neural Network Model
4.2. Overpressure Data Produced by the ML Method and Discussion
5. Conclusions
6. Future Studies
Author Contributions
Funding
Data Availability Statement
Conflicts of Interest
Nomenclature
| Variable | Definition | Unit |
| awv | Absorption coefficient of water vapor | [−] |
| E | emission contribution | [−] |
| ft | Fuel mixture fraction | [−] |
| G | radiation intensity | [W/m2] |
| h | Enthalpy | [J/kg] |
| K | Thermal conductivity | [W/m·K] |
| k | Absorption coefficient depending on the gas temp. | [−] |
| p | Pressure | [Pa] |
| q | Heat flux | [W/m2] |
| Si | Source/Sink of species-i | [kg/m2·s] |
| Su | Laminar flame speed | [m/s] |
| Sct | Turbulent Schmidt number | [−] |
| T | Temperature | [K] |
| U | Velocity | [m/s] |
| Yi | Species-i mass fraction | [−] |
| μt | Turbulence effective viscosity | [kg/m·s] |
| ρ | Density | [kg/m3] |
| σSB | Stefan-Boltzmann coefficient | [−] |
| φ | Fuel equivalent ratio | [−] |
| Subscripts | ||
| o | Reference condition | |
| u | Unburned | |
| wv | Water vapor | |
References
- Ministry of Trade, Industry, and Energy. Hydrogen Economy Fostering and Hydrogen Safety Management Act; No. 16942; Ministry of Trade, Industry, and Energy: Sejong, Republic of Korea, 2021.
- National Library of Korea. Hydrogen Economy Revitalization Roadmap, Policy Information. 2019. Available online: https://policy.ni.go.kr (accessed on 23 September 2023).
- Chuncheon District Prosecutors’ Office, Gangneung Branch. Investigation Results for the Hydrogen Tank Explosion in Gangwon Techno Park; Press Release Report; Chuncheon District Prosecutors’ Office, Gangneung Branch: Gangneung, Republic of Korea, 2019.
- International Atomic Energy Agency. The Fukushiama Daiichi Accident, Vol. 1, Description and Context of the Accident; Technical Report; International Atomic Energy Agency: Vienna, Austria, 2015. [Google Scholar]
- International Atomic Energy Agency. IAEA Review of Safety Related Aspects of Handling ALPS Treated Water at TEPCO’s Fukushima Daiichi Nuclear Power Station; Technical Report; International Atomic Energy Agency: Vienna, Austria, 2023. [Google Scholar]
- Yoon, B.H. Hydrogen refueling station deployment can’t keep up with hydrogen vehicles. In Electronic Times; Korea Electricity Newpaper: Seoul, Republic of Korea, 2023. [Google Scholar]
- Kang, S.G.; Kim, H. Liquid hydrogen technology trends and safety standards development status. In Proceedings of the Korean Institute of GAS Spring Meeting, Jeju, Republic of Korea, 26–27 May 2022. [Google Scholar]
- Kim, K.S. Development of Design Technology and Safety Standard in the Protection Wall for Blast Mitigations in a Hydrogen Station; Research Plan Report, No. 20215810100020; Korea Gas Safety Corporation: Yeongwol, Republic of Korea, 2021. [Google Scholar]
- KGS FP216; Facility/Technical/Inspection Code for Fuel Vehicles Refueling by Type of On-Site Hydrogen Production. Korea Gas Safety Corporation: Eumseong, Republic of Korea, 2020.
- KGS FP217; Facility/Technical/Inspection Code for Fuel Vehicles Refueling by Type of Compressed Hydrogen Delivery. Korea Gas Safety Corporation: Eumseong, Republic of Korea, 2020.
- You, E.G.; Kim, M.I.; Lee, Y.S.; Kang, S.G. A study in the risk assessment of LH2 refueling station. In Proceedings of the Korean Institute of GAS Spring Meeting, Jeju, Republic of Korea, 25–26 May 2023. [Google Scholar]
- Kwon, D.; Choi, S.K.; Yu, C. Improved Safety by Crossanalyzing quantitative risk assessment of hydrogen refueling stations. Int. J. Hydrogen Energy 2022, 47, 10788–10798. [Google Scholar] [CrossRef]
- Li, Z.; Pan, X.; Meng, X.; Ma, J. Study on the harm effects of releases from liquid hydrogen tank by consequence modeling. Int. J. Hydrogen Energy 2012, 37, 10624–17629. [Google Scholar] [CrossRef]
- KOSHA P-31-2001; Predictive Methods for Accident Damage. Korea Occupational Safety and Health Agency: Ulsan, Republic of Korea, 2001.
- Sochet, I.; Viossat, A.-L.; Rouyer, J.-L.; Hemmerich, P. Safe hydrogen generation by nuclear HTR. In Proceedings of the ICAPP-2004, Pittsburg, PA, USA, 13–17 June 2004. [Google Scholar]
- Kang, H.S.; NO, H.C.; Kim, S.B. Application of the developed CFD analysis methodology to H2 explosion accidents in an open space. Int. J. Hydrogen Energy 2017, 42, 1306–1317. [Google Scholar] [CrossRef]
- Shen, R.; Jiao, Z.; Parker, T.; Sun, Y.; Wang, Q. Recent application of computational fluid dynamics (CFD) in process safety and loss prevention: A review. J. Loss Prev. Process Ind. 2020, 67, 104252. [Google Scholar] [CrossRef]
- Kim, S.M.; Kang, H.S.; Choi, K.S. radXiFoam v1.0; VCE Solver; KAERI: Daejeon, Republic of Korea; Available online: https://github.com/ksm0226/radXiFoam (accessed on 23 September 2023).
- OpenCFD Ltd. OpenFOAM-v2112 User Guide; Technical Report; ESI: Rungis, France, 2021; Available online: https://www.openfoam.com (accessed on 23 September 2023).
- Kang, H.S.; No, H.C.; Kim, S.B.; Kim, M.H. Methodology of CFD analysis for evaluating H2 explosion accidents in an open space. Int. J. Hydrogen Energy 2015, 40, 3075–3090. [Google Scholar] [CrossRef]
- Wen, J.X.; Marnon, M.; Moretto, P.; Reinceke, E.-A.; Sathiah, P.; Studer, E.; Vyazmina, E.; Melideo, D. Statistics, lessons learned and recommendations from analysis of HIAD 2.0 database. Int. J. Hydrogen Energy 2022, 47, 3075–3090. [Google Scholar] [CrossRef]
- ARIA. Available online: https://www.aria.developpement-durable.gouv.fr (accessed on 23 September 2023).
- RISCAD. Available online: https://riss.aist.go.jp/sanpo/riscad (accessed on 23 September 2023).
- Groethe, M.A.; Colton, J.D. FY01 Annual Report on Hydrogen Safety in the World Energy Network; Technical Report; SRI: Menlo Park, CA, USA, 2002. [Google Scholar]
- Groethe, M.A. FY02 Annual Report on Hydrogen Safety in the World Energy Network; Technical Report; SRI: Menlo Park, CA, USA, 2002. [Google Scholar]
- Bangert, P. Machine Learning and Data Science in the Power Generation Industry, 1st ed.; Elsevier: Amsterdam, The Netherlands, 2021. [Google Scholar]
- Krishnan, S.; Yang, Z.; Hellerstein, J.; Stoica, I. What Is the Role of Machine Learning in Database? Available online: https://rise.cs.berkeley.edu/blog (accessed on 23 September 2023).
- Nozu, T.; Tanaka, R.; Ogawa, T.; Hibi, K.; Sakai, Y. Numerical simulation of hydrogen explosion tests with a barrier wall for blast mitigation. In Proceedings of the ICHS-2005, Pisa, Italy, 8–10 September 2005. [Google Scholar]
- Hwang, J.; Park, S.; Lee, Y.; Min, H. Research on predicting liquid-hydrogen explosion pressure using machine learning. In Proceedings of the Korean Institute of GAS Spring Meeting, Jeju, Republic of Korea, 26–27 May 2022. [Google Scholar]
- Choi, J.Y.; Jeung, I.S.; Yoon, Y. Computational fluid dynamics algorithms for unsteady shock-induced combustion, part 1: Validation. AIAA J. 2000, 38, 1179–1187. [Google Scholar] [CrossRef]
- Mossi, A.; Galarca, M.M.; Brittes, R.; Vielmo, H.A.; Franca, F.H.R. Comparison of spectral models in the computation of radiative heat transfer in participating media composed of gases and soot. ABCM J. 2012, 34, 112–119. [Google Scholar] [CrossRef]
- Modest, M.F. Radiative Heat Transfer, International Editions; McGraw-Hill, Inc.: Singapore, 1993. [Google Scholar]
- Kim, S.; Kim, J. Effect of radiation model on simulation of water vapor—Hydrogen premixed flame using flamelet combustion model in OpenFOAM. Nuclear Eng. Tech. 2022, 54, 1321–1335. [Google Scholar] [CrossRef]
- Metghalchi, M.; Keck, J.C. Burning velocities of mixtures of air with methanol, isooctane, and indolence at high pressure and temperature. Combust. Flame 1982, 48, 191–210. [Google Scholar] [CrossRef]
- Koroll, G.W.; Kumar, R.K.; Bowles, E.M. Burning velocities of hydrogen-air mixtures. Combust. Flame 1993, 94, 330–340. [Google Scholar] [CrossRef]
- Kang, H.-S.; Kim, S.-M.; Kim, J. Safety issues of a hydrogen refueling station and a prediction for an overpressure reduction by a barrier using OpenFOAM software for an SRI explosion test in an open space. Energies 2022, 15, 7556. [Google Scholar] [CrossRef]
- Python 3.7.0. Available online: https://python.org (accessed on 23 September 2023).
- TensorFlow 2.3.0. Available online: https://www.tensorflow.org (accessed on 23 September 2023).
- Keras 2.3.1. Available online: https://pypi.org/project/keras (accessed on 23 September 2023).
- Wolfram. Neural Networks. Available online: https://reference.wolf.com/language/guide/NeuralNetworks.html (accessed on 23 September 2023).
- Cho, J. Risk Assessment for a Severe Accident Using a Deep Learning Technology. In Proceedings of the KAERI, Daejeon, Republic of Korea, 13 December 2021. [Google Scholar]












| Overpressure (kPa) | Damage Effect |
|---|---|
| 0.2 | Partially broken windows |
| 1 | Breaking glass |
| 3 | Minor damage to structures and injuries to people |
| 5 | Broken structures in houses |
| 7 | Partially damaged houses and much harm to people |
| 14 | Starting value for lethal effects on humans |
| 15 | Slightly damage to roofs and walls of structure |
| 18 | Approximately 50% of houses damaged per block |
| 20 | Steel structure of building is damaged and pulling away from the foundation |
| 35–50 | Structure destroyed |
| Test No. | H2–Air Mixture Volume (m3) | H2 Con. (vol.%) | Ambient Temp. (K) | Wind (m/s) | Ignition Method | Barrier Existence |
|---|---|---|---|---|---|---|
| 4-02 | 5.2 | 29.9 | 283.45 | 2.0 | Electric spark | O |
| Parameter | Models |
|---|---|
| ● Open-source software | radXiFoam v1.0 based on OpenFOAM-v2112 |
| ● Thermal–hydraulic solver algorithm | PIMPLE [19] |
| ● Combustion model | Flamelet progress variable |
| ● Turbulence model | k-ω SST |
| ● Wall function | kqR/omega |
| ● CFL number | <0.8 |
| ● Mesh type | Hexahedral |
| ● Mesh size at the far field | ~25 cm |
| ● Ignition model | Spark ignition model |
| Case No. | Barrier Height (m)/Width (m)/R (m) | Grid Model Length (m)/Width (m)/Height (m) | Number of Cells (Grid Model) |
|---|---|---|---|
| Case−1 | 2/0.1/5.1 | 27/5/11 | 2,569,440 |
| Case−2 | 3/0.1/5.1 | 27/5/11 | 2,568,800 |
| Case−3 | 4/0.1/5.1 | 27/5/11 | 2,568,160 |
| Case−4 | 2/0.1/5.1 | 27/10/11 | 3,478,390 |
| Hidden Layers | Number of Neurons | Name of Activation Function |
|---|---|---|
| 1 | 110 | Exponential Linear Unit (ELU) |
| 2 | 280 | Scaled Exponential Linear Unit (SELU) |
| 3 | 190 | Rectified Linear Unit (ReLU) |
| 4 | 170 | Exponential Linear Unit (ELU) |
| 5 | 100 | Self-Gated Activation Function (Swish) |
| 6 | 140 | Scaled Exponential Linear Unit (SELU) |
| 7 | 50 | Exponential Linear Unit (ELU) |
| 8 | 70 | Scaled Exponential Linear Unit (SELU) |
| 9 | 250 | Rectified Linear Unit (ReLU) |
Disclaimer/Publisher’s Note: The statements, opinions and data contained in all publications are solely those of the individual author(s) and contributor(s) and not of MDPI and/or the editor(s). MDPI and/or the editor(s) disclaim responsibility for any injury to people or property resulting from any ideas, methods, instructions or products referred to in the content. |
© 2023 by the authors. Licensee MDPI, Basel, Switzerland. This article is an open access article distributed under the terms and conditions of the Creative Commons Attribution (CC BY) license (https://creativecommons.org/licenses/by/4.0/).
Share and Cite
Kang, H.-S.; Hwang, J.-W.; Yu, C.-H. A Database Extension for a Safety Evaluation of a Hydrogen Refueling Station with a Barrier Using a CFD Analysis and a Machine Learning Method. Processes 2023, 11, 3025. https://doi.org/10.3390/pr11103025
Kang H-S, Hwang J-W, Yu C-H. A Database Extension for a Safety Evaluation of a Hydrogen Refueling Station with a Barrier Using a CFD Analysis and a Machine Learning Method. Processes. 2023; 11(10):3025. https://doi.org/10.3390/pr11103025
Chicago/Turabian StyleKang, Hyung-Seok, Ji-Won Hwang, and Chul-Hee Yu. 2023. "A Database Extension for a Safety Evaluation of a Hydrogen Refueling Station with a Barrier Using a CFD Analysis and a Machine Learning Method" Processes 11, no. 10: 3025. https://doi.org/10.3390/pr11103025
APA StyleKang, H.-S., Hwang, J.-W., & Yu, C.-H. (2023). A Database Extension for a Safety Evaluation of a Hydrogen Refueling Station with a Barrier Using a CFD Analysis and a Machine Learning Method. Processes, 11(10), 3025. https://doi.org/10.3390/pr11103025
