Surge Process of a High-Speed Axial–Centrifugal Compressor
Abstract
1. Introduction
2. Experimental Setup
2.1. Case Description
2.2. Test Rig
3. Steady Map
4. Discussion
4.1. Design Speed
4.1.1. Instability Behavior Prior to Surge
4.1.2. Flow Behavior in Surge Condition
4.2. Off-Design Speed
4.2.1. Instability Behavior Prior to Surge
4.2.2. Flow Behavior in Surge Conditions
5. Conclusions
- (1)
- The centrifugal stage dominates the aerodynamic instability of the whole compressor. At the design speed, the axial rotor first operates on the characteristic curve with a positive slope. Then, as the operating condition of the centrifugal stage moves to the instability boundary, the compressor comes into surge. At the off-design speed, because of stage mismatching, even though the axial stage operates on the left branch of the characteristic curve in a wide range of operating conditions, the centrifugal stage continues to maintain the stability of the whole compressor. According to the temperature change near the axial rotor tip, a reverse flow area gradually develops as the operating point moves towards the instability boundary to cause the continuous temperature increment near the axial rotor tip, similar to the flow phenomena featured in the single-stage centrifugal compressor near the surge condition.
- (2)
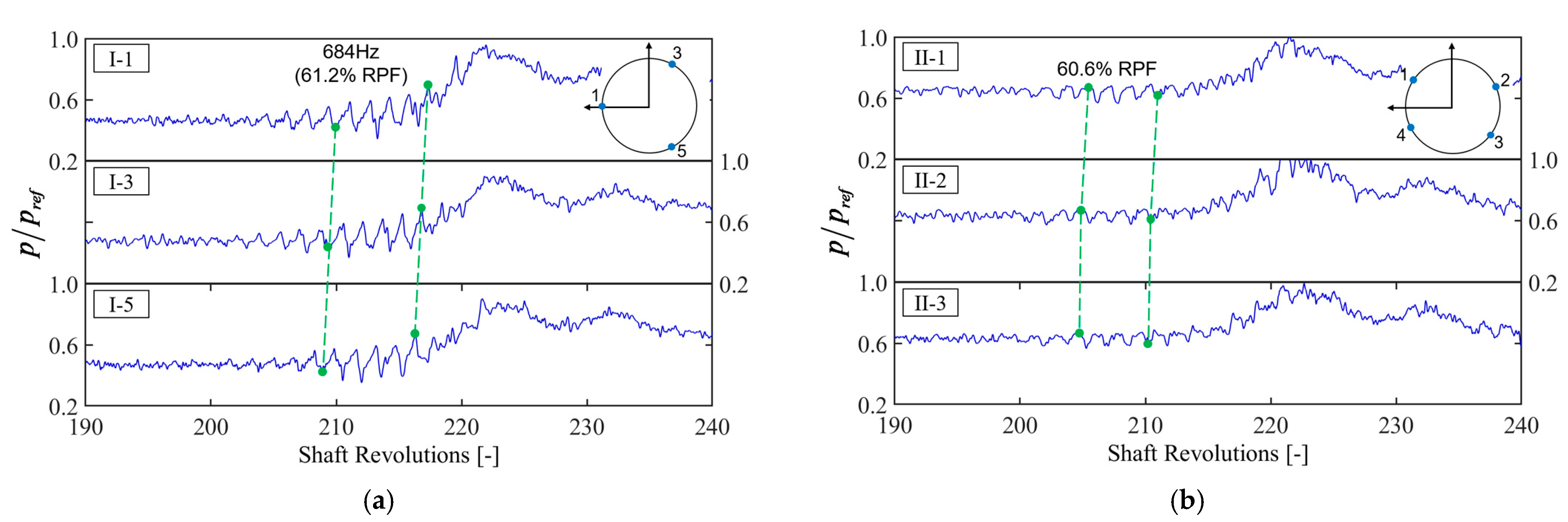
- At the design speed, the compressor directly enters the deep surge with the decreased mass flow rate. Firstly, the reverse flow successively occurs in the impeller and diffuser, eventually in the mainstream, accompanied by a sudden pressure drop at the outlet and a sudden increase at the inlet. Before the onset of the deep surge, one rotating stall cell can be detected through each blade row with a frequency equal to 61.2% of the shaft rotational speed. When the reverse flow fully develops during the surge cycle, a rotating stall still exists in the diffuser while those in other blade passages vanish.
- (3)
- At the off-design speed, the compressor successively experiences mild and deep surges. During the mild surge, one rotating stall cell can be detected near the leading edge of the impeller with a frequency equal to 32.7% of the rotational speed, and no rotating stall can be observed in other blade rows. The amplitude of the mild surge gets larger until the occurrence of a deep surge with the throttle of the outlet valve. During the deep surge, the rotating stall also appears in each blade row.
Author Contributions
Funding
Data Availability Statement
Acknowledgments
Conflicts of Interest
References
- Day, I.J. Stall, Surge, and 75 Years of Research. ASME J. Turbomach. 2016, 138, 011001. [Google Scholar] [CrossRef]
- Fink, D.A.; Cumpsty, N.A.; Greitzer, E.M. Surge Dynamics in a Free-Spool Centrifugal Compressor System. ASME J. Turbomach. 1992, 114, 321–332. [Google Scholar] [CrossRef]
- Tamaki, H. Effect of Piping Systems on Surge in Centrifugal Compressors. J. Mech. Sci. Technol. 2008, 22, 1857–1863. [Google Scholar] [CrossRef]
- Emmons, H.W.; Pearson, C.E.; Grant, H.P. Compressor Surge and Stall Propagation. Trans. ASME 1955, 77, 455–469. [Google Scholar] [CrossRef]
- Greitzer, E.M. Surge and Rotating Stall in Axial Flow Compressors—Part I: Theoretical Compression System Model. J. Eng. Gas Turbines Power 1976, 98, 190–198. [Google Scholar] [CrossRef]
- Spakovszky, Z.S. Applications of Axial and Radial Compressor Dynamic System Modeling. Ph.D. Thesis, Massachusetts Institute of Technology, Cambridge, MA, USA, 2001. [Google Scholar]
- Dodds, J.; Vahdati, M. Rotating Stall Observations in a High Speed Compressor—Part II: Numerical Study. ASME J. Turbomach. 2015, 137, 051003. [Google Scholar] [CrossRef]
- Ghimire, S.; Turner, M. Detailed Simulations of a Three-Stage Supercritical Carbon Dioxide Axial Compressor with a Focus on the Shrouded Stator Cavities Flow. Processes 2023, 11, 1358. [Google Scholar] [CrossRef]
- Yang, B.; Zhu, G. Impacts of Inlet Circumferential Distortions on the Aerodynamic Performance of a Transonic Axial Compressor. Processes 2023, 11, 2175. [Google Scholar] [CrossRef]
- Vo, H.D.; Tan, C.S.; Greitzer, E.M. Criteria for Spike Initiated Rotating Stall. ASME J. Turbomach. 2008, 130, 011023. [Google Scholar] [CrossRef]
- Watson, R.A.; Tucker, P.G.; Wang, Z.N.; Yuan, X. Towards Robust Unstructured Turbomachinery Large Eddy Simulation. Comput. Fluids 2015, 118, 245–254. [Google Scholar] [CrossRef]
- Hansen, K.E.; Jorgensen, P.; Larsen, P.S. Experimental and Theoretical Study of Surge in a Small Centrifugal Compressor. J. Fluids Eng. 1981, 103, 391–395. [Google Scholar] [CrossRef]
- Li, M.; Li, Y.; Jiang, F.; Hu, J. An Optimization of a Turbocharger Blade Based on Fluid–Structure Interaction. Processes 2022, 10, 1569. [Google Scholar] [CrossRef]
- Lou, F.; Fabian, J.C.; Key, N. Stall Inception in a High Speed Centrifugal Compressor During Speed Transients. ASME J. Turbomach. 2017, 139, 121004. [Google Scholar] [CrossRef]
- Cao, T.; Hayashi, Y.; Tomita, I. Pressure Characteristic Rollover of a Transonic Centrifugal Impeller. In Proceedings of the ASME Turbo Expo 2023, Boston, MA, USA, 26–30 June 2023. [Google Scholar]
- Sundström, E.; Semlitsch, B.; Mihăescu, M. Generation Mechanisms of Rotating Stall and Surge in Centrifugal Compressors. Flow Turbul. Combust. 2017, 100, 1–15. [Google Scholar] [CrossRef] [PubMed]
- Galindo, J.; Serrano, J.R.; Climent, H.; Tiseira, A. Experiments and Modelling of Surge in Small Centrifugal Compressor for Automotive Engines. Exp. Therm. Fluid Sci. 2008, 32, 818–826. [Google Scholar] [CrossRef]
- Galindo, J.; Tiseira, A.; Navarro, R.; Tarí, D.; Meano, C.M. Effect of the Inlet Geometry on Performance, Surge Margin and Noise Emission of an Automotive Turbocharger Compressor. Appl. Therm. Eng. 2017, 110, 875–882. [Google Scholar] [CrossRef]
- Dehner, R.; Selamet, A.; Keller, P. Simulation of Deep Surge in a Turbocharger Compression System. ASME J. Turbomach. 2016, 138, 111002. [Google Scholar] [CrossRef]
- Dehner, R.; Selamet, A.; Keller, P. Simulation of Mild Surge in a Turbocharger Compression System. SAE Int. J. Engines 2010, 3, 197–212. [Google Scholar] [CrossRef][Green Version]
- Zheng, X.; Liu, A. Phenomenon and Mechanism of Two-Regime-Surge in a Centrifugal Compressor. ASME J. Turbomach. 2015, 137, 081007. [Google Scholar] [CrossRef]
- Li, J.; Wen, M.; Wang, B.; Zheng, X. Investigation on the Unsteady Surge Flow Behavior of an Axial-Centrifugal Compressor. In Proceedings of the ASME Turbo Expo 2023, Boston, MA, USA, 26–30 June 2023. ASME Paper No. GT2023-103407. [Google Scholar]
- Cumpsty, N.A. Compressor Aerodynamics; Krieger Publishing Company: Malabar, FL, USA, 2004. [Google Scholar]





















| Parameter | Value |
|---|---|
| Number of R1 blades | 13 |
| Number of S1 blades | 23 |
| Number of IMP blades | 11MB + 11SB |
| Number of VD blades | 15 |
| R1 LE hub radius/R1 LE tip radius | 0.445 |
| IMP LE hub radius/IMP LE tip radius | 0.518 |
| VD LE radius/IMP TE radius | 1.084 |
| Width of VD/IMP TE radius | 0.035 |
| Backsweep angle of IMP | −30° |
| Position | Length l, m | Diameter D, m | Volume V, m−3 |
|---|---|---|---|
| Upstream pipe | 0.8 | 0.15 | 0.014 |
| Downstream pipe | 2.0 | 0.10 | 0.016 |
| Total | 2.8 | - | 0.030 |
| Type | XTE-140 Series | XTEH-10L-190 Series |
|---|---|---|
| Pressure Range | 100 psi | 200 psi |
| Combined Non-Linearity, Hysteresis and Repeatability | ±0.5% FSO (Max.) | ±0.5% FSO (Max.) |
| Natural Frequency of Sensor | 300 kHz | 500 kHz |
| Compensated Temperature Range | +25 °C to +232 °C | +25 °C to +454 °C |
Disclaimer/Publisher’s Note: The statements, opinions and data contained in all publications are solely those of the individual author(s) and contributor(s) and not of MDPI and/or the editor(s). MDPI and/or the editor(s) disclaim responsibility for any injury to people or property resulting from any ideas, methods, instructions or products referred to in the content. |
© 2023 by the authors. Licensee MDPI, Basel, Switzerland. This article is an open access article distributed under the terms and conditions of the Creative Commons Attribution (CC BY) license (https://creativecommons.org/licenses/by/4.0/).
Share and Cite
Li, J.; Wang, B.; Zheng, X. Surge Process of a High-Speed Axial–Centrifugal Compressor. Processes 2023, 11, 2869. https://doi.org/10.3390/pr11102869
Li J, Wang B, Zheng X. Surge Process of a High-Speed Axial–Centrifugal Compressor. Processes. 2023; 11(10):2869. https://doi.org/10.3390/pr11102869
Chicago/Turabian StyleLi, Jiaan, Baotong Wang, and Xinqian Zheng. 2023. "Surge Process of a High-Speed Axial–Centrifugal Compressor" Processes 11, no. 10: 2869. https://doi.org/10.3390/pr11102869
APA StyleLi, J., Wang, B., & Zheng, X. (2023). Surge Process of a High-Speed Axial–Centrifugal Compressor. Processes, 11(10), 2869. https://doi.org/10.3390/pr11102869
