Next Article in Journal
Establishment of Technical Standard Database for Surface Engineering Construction of Oil and Gas Field
Previous Article in Journal
Sustainable Process Study on Emergy and Carbon Emission Analysis of Building System Based on Neural Network Algorithm
 
 
Font Type:
Arial Georgia Verdana
Font Size:
Aa Aa Aa
Line Spacing:
Column Width:
Background:
Article

Modification of the Malting Process of Barley Grains of Different Varieties by Vacuum Impregnation and Its Effect on Selected Wort Parameters

1
Department of Biological Bases of Food and Feed Technologies, University of Life Sciences in Lublin, Głęboka 28, 20-612 Lublin, Poland
2
Department of Technology Fundamentals, University of Life Sciences in Lublin, Głęboka 28, 20-612 Lublin, Poland
*
Author to whom correspondence should be addressed.
Processes 2023, 11(10), 2830; https://doi.org/10.3390/pr11102830
Submission received: 17 August 2023 / Revised: 22 September 2023 / Accepted: 24 September 2023 / Published: 25 September 2023

Abstract

This study used the process of vacuum impregnation of seeds at the soaking stage. The barley varieties used were Kangoo and Xanadu. The raw material was used for the production of light malt. The effect of vacuum impregnation on the rate of water uptake by the seeds at different temperature conditions, i.e., 12, 14 and 16 °C, was also analyzed. Grain destined for malt was soaked in a water–air system. The germination (malting) stage lasted 8 days at temperatures of 12, 14 and 16 °C. Each sample was then dried using the traditional convection method. After a 3-month resting period, congress wort was produced from the malt. The wort parameters studied were the viscosity index and the wort extract content. The malt extract difference was also defined. Based on the results, it was concluded that the vacuum impregnation process significantly increases the absorption of water by the grain and thus shortens the soaking and germination stage of the seeds. Grain variety has a strong influence on extract content and wort viscosity. Malting temperature only affects the viscosity index. The most important correlations of the parameters studied were noted for the number of days the grains were malted.

1. Introduction

Impregnation, the saturation of materials with additional liquid components, has been a well-known and widely used process for more than 100 years. Its importance can be demonstrated by the fact that it is among the processes covered by US defense industry standards [1] and patents.
According to Sivamma et al. [2], the term of impregnation process applies only to atmospheric pressure (1.013 × 105 Pa). In contrast, the vacuum impregnation process takes place at pressures below atmospheric pressure. Depending on the applied pressure, the vacuum can be divided into low (to 3 × 103 Pa), medium (to 1 × 10−1 Pa), high (to 1 × 10−7 Pa), ultra-high (to 1 × 10−10 Pa), extremely high (<1 × 10−10 Pa), outer space (1 × 10−4 to <3 × 10−15 Pa) and perfect vacuum (0 Pa).
In traditional applications, the purpose of impregnation is to provide airtightness and eliminate porosity in various materials. Its greatest application is in the manufacture of engine blocks and heads in the automotive industry and power systems, brake systems and landing gear system components in the aerospace industry. Vacuum impregnation can be carried out in different ways, for example, dry vacuum impregnation (DVI), in which contact between the liquid and the material to be impregnated takes place only during the vacuum application phase, and wet vacuum impregnation (WVI), in which the liquid and the material to be impregnated are in continuous contact. The vacuum impregnation process is also of interest to the European Organization for Nuclear Research CERN (Project MS-3898/TE/LHC).
Since the mid-1990s, there has been a growing interest in vacuum impregnation (VI) on the part of plant and animal material processing sciences. The specific nature of food materials makes it impossible to directly transfer knowledge of this process from other areas of its use. The knowledge already accumulated allows us to conclude that impregnation is a process that makes it possible to shape the structure and sensory and functional properties of products and increase their physicochemical stability [3]. The use of impregnation in food processing can be divided into two groups depending on the specific aim. These include the reduction of process and production times through impregnation. Also, it is possible to modify the composition of the material, to give it new properties and to introduce various substances into the product structure, i.e., to improve the physical and chemical properties of food materials [4]. The course of the process and the phenomena occurring during the process were described by Fito et al. [5]. Most susceptible to vacuum impregnation is the flesh of fruit and vegetables and the skins of some. The porosity of the material is an informative and reliable indicator of the effectiveness of the application of VI. The highest porosity value is achieved by aubergine flesh (64.1 ± 2%) [6]. In contrast, field mushroom flesh and cherry flesh have half the porosity (35.9 ± 1.9% [6] and ~30% [7], respectively). The porosity of apple flesh can change depending on the variety, and ranges from about 27.3 ± 1,1%. In contrast, the porosities of tangerine skin and orange skin are, respectively, 25 ± 0.11% and 21 ± 0.04% [8]. The least susceptible to impregnation are animal products such as meat and cheese, which have a porosity level of approximately 3% [9]. Less susceptible to impregnation are vegetables, for example, carrots, potatoes or beetroot. A key feature of products in terms of their tissue susceptibility to vacuum impregnation is not only their tissue structure, but also their water content [8].
Recent years have seen the rapid development of a new branch of food engineering termed food matrix engineering, which, among other things, studies the spatial architecture of materials [10].
The countries of the European Union are the largest exporters of malt and there has been steady growth in recent years. European exports account for more than 50% of world exports. Quantitatively, the largest European exporters in 2021 were France (USD 484M), Germany (USD 422M) and Belgium (USD 370M). These three countries account for around 30% of world exports. By contrast, the largest importers are Brazil (USD 646M-15.5%), Mexico (USD 382M-9.13%) and USA (USD 287M-6.87%). Thus, the balance of European exports and imports is positive and growing [11].
The vacuum impregnation process significantly accelerates mass exchange in the liquid–solid system, and mass exchange is the basis for a wide variety of processes [5] that also occur in malt extract technology. The basic material for its production is barley malt, but malts made from other cereals are also on the market. In malt production technology, there is a steeping process, the purpose of which is to initiate life processes in the grain and which is based on the exchange of mass in the water–grain system. This is a lengthy process (lasting up to 72 h) [12] and is carried out until the water content of the grain is between 40% and 46% [13].
Vacuum impregnation allows for the rapid removal of air from the pores and filling the porous grain surface with water, hence the rationale that the use of vacuum impregnation (VI) could significantly reduce soaking time [14]. This technique could also contribute to reducing water consumption. However, its application in malting is at an early stage of scientific research. For example, high intensity and short-time VI before rice germination caused a negative effect through the destruction of cellular structures and the rupture of cell membranes, causing lower germination ability and reduced metabolite production [15]. There are many questions, especially regarding the quality of malt produced using VI [12]. Among the important quality characteristics of malt is the level of extractability and the level of viscosity of the wort obtained; hence, the aim of this study is to compare these quality characteristics of malt made from barley grains treated with VI at the steeping stage, with barley malt made under the same conditions without the application of VI.

2. Materials and Methods

2.1. Materials

The research material consisted of two malting barley varieties: Kangoo and Xanadu. Malting suitability was checked according to Analytica EBC (European Brewery Convention) [16], and seed water content was tested.
Seeds were cleaned using a laboratory pneumatic separator with a sieve set of 2.5 and 2.8 mm mesh (Sadkiewicz Institute, Bydgoszcz, Poland). Finally, a seed batch with a thickness of more than 2.5 mm was obtained for testing.

2.2. Methodology for Measuring the Rate of Increase in Seed Moisture Content

This part of the experiment involved only barley grain of the Xanadu variety. Tests were carried out on the rate of water uptake by barley grain subjected to vacuum impregnation and soaked under atmospheric pressure. During these tests, the grain was under water and aerated for the entire period. Figure 1 shows the scheme of measurement stand for studying the impregnation process under vacuum conditions. The volume of the vacuum impregnation chamber was 2 dm3.
Vacuum impregnation was applied cyclically to the grain every 30 min. The tests were conducted at temperatures of 12, 14 and 16 °C. Barley moisture content was tested by sampling every 2 h. Grain was dried in a laboratory dryer (type SLN 15 STD, POL-EKO Perfect Environment, Wodzisław Śląski, Poland). Determinations were performed in 3 replicates.

2.3. Methodology of Grain Impregnation

Moistening was carried out traditionally or using wet vacuum impregnation (WVI). In both cases, the seeds were soaked for a total of 48 h, according to the scheme: 6 h soaking in a water aqueous phase, followed by 18 h of air phase on trays in a climate chamber (Memmert, CTC 256, Schwabach, Germany). The water used during soaking was distilled water. In both the water and air phases, the grain was aerated using an air pump with a set of silicone hoses (Aqua Nova N-ACO 35, EURONOVA, Kokotów, Poland).
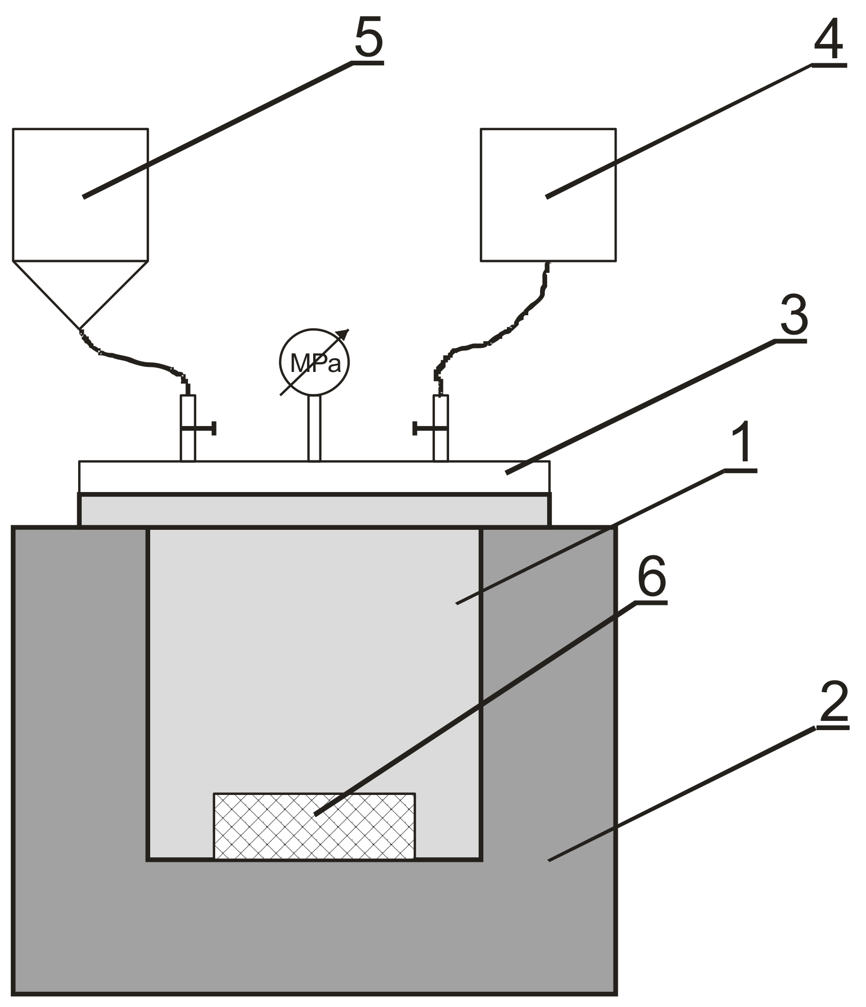
Vacuum impregnation was carried out at a pressure of 5 kPa. The rate of pressure changes was 30 kPa·s−1. It took 3–4 s to lower the pressure to 5 kPa. Return to atmospheric pressure was started immediately after reaching 5 kPa and this time was 3–4 s. The total vacuum application procedure took a maximum of 8 s. The grain was vacuum impregnated in the aqueous phase every 30 min. A total of 13 vacuum treatments were carried out over 6 h of soaking. The vacuum impregnation process of the grain was carried out in a 2 dm3 chamber of own construction connected to a vacuum pump (Single Stage Vacuum Pump RS 1-1/4HP, Henbin refrigeration Co., Ltd., Chengdu, China). A manometer was built into the lid to control and read the pressure inside the chamber. The seed was placed in a container made of mesh, which guaranteed its complete immersion.
Inside the climatic chamber during the air phase of soaking, the temperature was maintained at 12 °C, 14 °C and 16 °C, with a relative humidity of 95%.

2.4. Methodology of Grain Germination

The seeds were malted on perforated trays. Temperatures during malting were 12 °C, 14 °C and 16 °C. Malt samples were taken once a day for the next 8 days. Each day, the seeds in the trays were bulked by stirring and their weight was monitored. The moisture content of the raw material was determined both before and after the soaking process. The germination process was carried out until cotyledon sprouts appeared.

2.5. Malt Drying Method

The seeds were dried by convection method using a Whirlpool oven, type FXZM6 (model: AKP 274/IX, Warsaw, Poland). The initial drying temperature was 40 °C and was gradually raised at a rate of 1 °C/h to 60 °C. The temperature was then raised gradually at a rate of 1 °C/min to 75 °C. For the last 5 h, the grain was dried at 75 °C. Total drying time was about 25 h. The malt germ was removed from the malt after drying by hand using steel sieves with a mesh diameter of 1.5 mm.

2.6. Methodology of Malt Crushing

The malt was stored for 3 months. At the end of this period, further stages were initiated. The malts were crushed into two fractions according to common brewing practice. On a Mockmill 200 laboratory mill (Wolfgang Mock GmbH, Groß-Umstadt, Germany), the size of the gap between the grinding discs was set so that the crushed malt represented middlings (maximum 25% flour) and flour. Both middlings and flour were subjected to mashing.

2.7. Methodology for Mashing Congress Wort

Worts were produced from the malts using the congress method, according to Analytica EBC 4.5.1 [16]. Temperature measurement was controlled with a digital thermometer with an accuracy of 0.1 °C. Wort preparation began in a laboratory water bath with adjustable mashing parameters (MLL 547, AJL Electronic, Kraków, Poland). A sample of 50 g of ground malt was weighed into vessels in a mashing beaker to 45 °C. An amount of 200 mL of water was added to each vessel and the mash was mixed thoroughly to avoid clumping using air mixers. The mash temperature was kept constant for 30 min. The temperature was then increased by 1 °C/min for 25 min until it reached 70 °C. When the temperature reached 70 °C, 100 mL of 70 °C water was added. The mash temperature of 70 °C was maintained for a further 60 min. To determine more accurately when the saccharification of starch in the wort was complete, iodine tests were performed. After mashing, the samples were cooled for 10–15 min to room temperature, i.e., 20 °C. After the mash was cooled, the vessels were refilled with distilled water until a suspension weight of 450 g was obtained. The resulting mash was filtered through Whatman fluted strainers. The first 100 mL of the filtrate was filtered again to obtain a clear wort.

2.8. Methodology for the Determination of Wort Parameters

Determinations of the extracted content of the congress worts were performed according to Analytica EBC [16].
The extract content of the wort was measured using an optical refractometer (Carl-Zeiss, Jena, Germany, type 724852). Each time before a new sample was tested, the refractometer was calibrated and the glass of the refractometer was washed with distilled water and cleaned with blotting paper, then a few drops of the test solution were poured in. Tests on the extracted content of the worts were carried out at a constant temperature of the measuring system, i.e., 20 °C. Measurements were made for both middlings and flour. The extract difference of malt was determined as the difference in extract in wort from flour and middlings. The extract content was measured in 3 replicates.
A viscosity meter (Brookfield viscometer: model LVDV-II+PRO, Brookfield Engineering Laboratories Inc. Middleboro, MA, USA), with a rotating cylinder, was used for the experiment. Computer software Rheocal v3.1 (Brookfield Engineering Laboratories Inc. Middleboro, MA, USA) was used to record the data and control the viscometer. The analysis was performed in triplicate.

2.9. Methodology for the Statistical Analysis of the Results

Statistical analysis was performed using Statistica 13.3.
First, the Shapiro–Wilk test was performed to confirm that the probability distribution of the study parameters was normal. Next, a multivariate analysis of variance (ANOVA) was performed, and a Tukey’s reasonably important difference (HSD) post hoc test was performed. The tests were conducted at an assumed significance level of α = 0.05.

3. Results

3.1. Changes in the Moisture Content of the Grain

The moisture content measurement figures only show the Xanadu variety, as the grain of the Kangoo variety showed similar results. Figure 2 shows the changes in the moisture content of the barley grain, which was vacuum-impregnated every 30 min and steeped under atmospheric pressure at the tested temperatures.
Vacuum-impregnated barley grain reached a moisture content of about 42% after only 30 h of soaking, while the same grain not vacuum-impregnated required soaking for about 6 h longer. Statistical analysis showed that vacuum impregnation of the grain allows a statistically significant reduction in the soaking operation before malting. The speeding up of the soaking process is related to the process of elimination (by vacuum impregnation) of gases produced as a result of the activation of the life processes of the grain. Temperature changes between 12 and 16 degrees did not induce significant changes in the rate of water uptake by the grain.

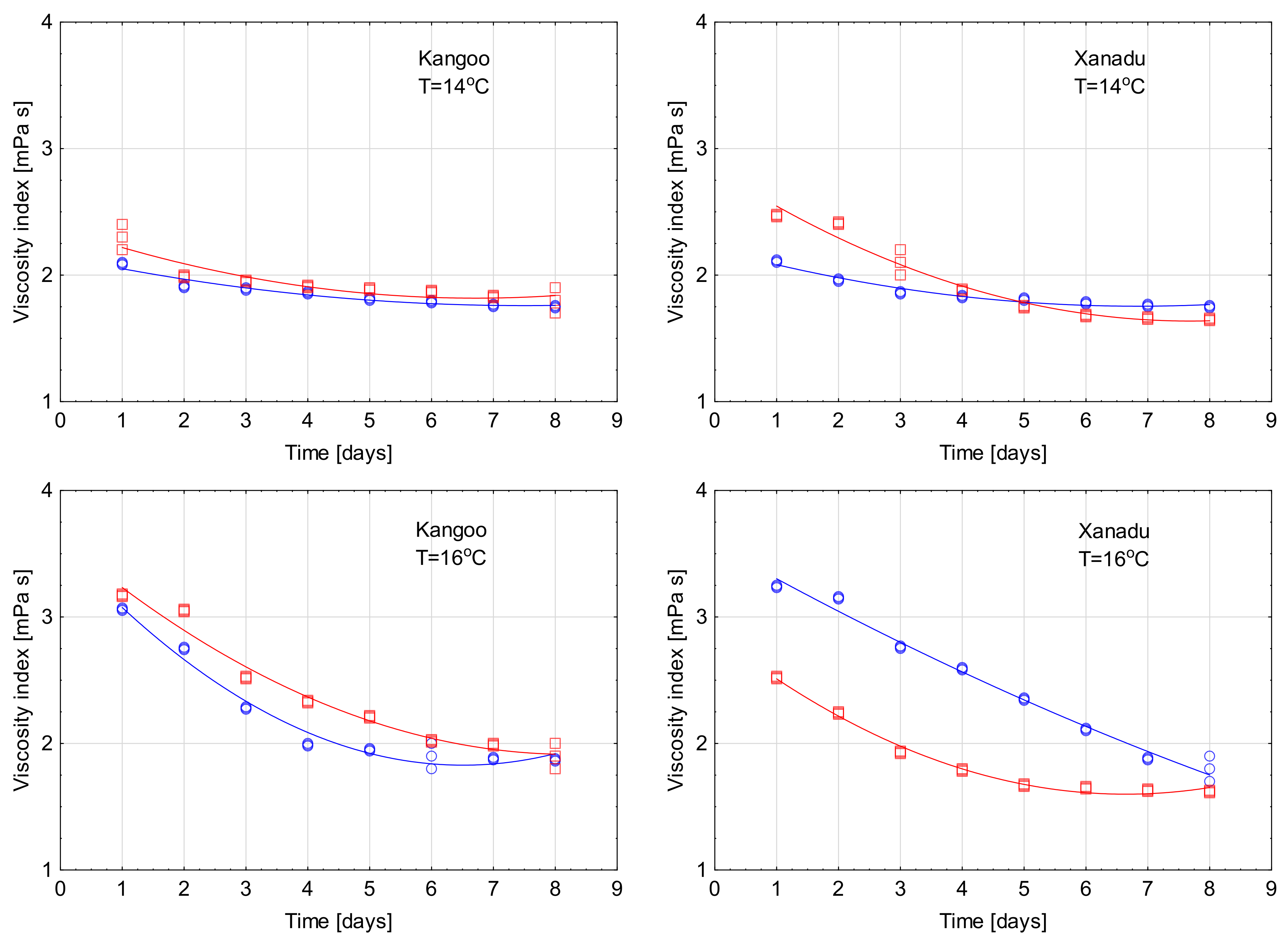
3.2. Viscosity of Wort

Figure 3 shows the changes in the viscosity of wort made from Xanadu and Kangoo barley malt, which was made from vacuum-impregnated barley grain. The control sample was a wort made from malt made from grain not vacuum-impregnated.
In all cases tested, the viscosity of the wort decreased with malting time. It is noticeable that the rate of this decrease slowed down after about 6 days. This may be the basis for the conclusion that the malting time can be reduced to 6 days. Statistical analysis confirmed a significant relationship between viscosity and the malting days of the grain. The reduction in wort viscosity is indicative of a well-modified malt.

3.3. Extract Content

Figure 4 shows the changes in extract content of wort made from Xanadu and Kangoo barley malt, which was made from vacuum-impregnated barley grain. The control sample was a wort made from malt made from grain not vacuum-impregnated.
The extract content of the worts in all cases statistically significantly increased with increasing malting time of the grain of the barley varieties tested. The increase in extract content over the malting time was due to increasing enzymatic activity.

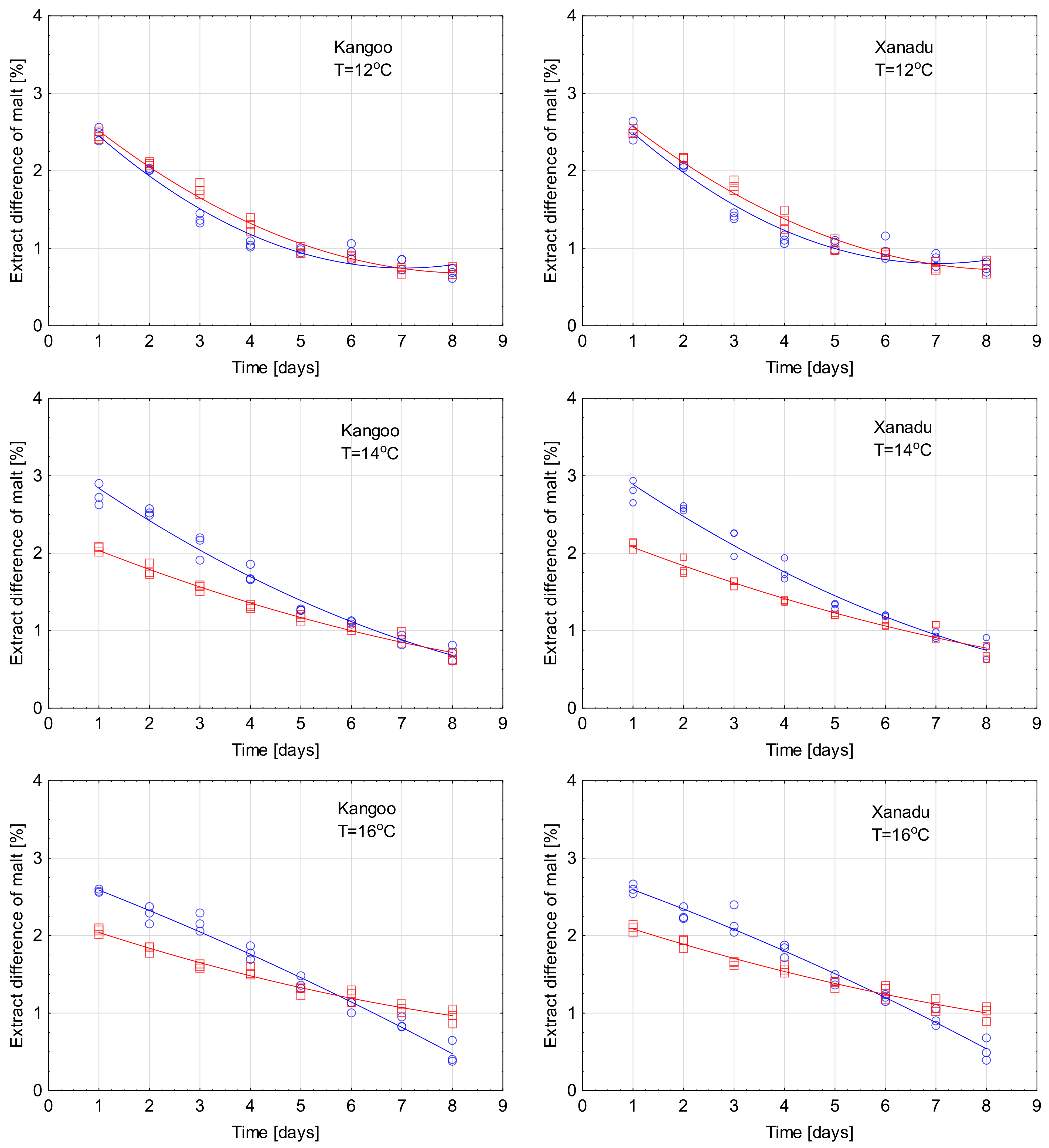
3.4. Extract Difference of Malt

Figure 5 shows the changes in extract difference of malt in worts made from Xanadu and Kangoo barley malt, which was made from vacuum-impregnated barley grain. The control sample was a wort made from malt made from not-impregnated grain.
On successive days of malting barley grain, the parameter changes in extract differences statistically significantly decreased. As with viscosity, this decrease slowed down after about 6 days. Thus, studies of this parameter also confirm that six-day malting is optimal. The significant decrease in malt extract difference suggests that the malt has been well-modified.

3.5. Statistical Analysis

Table 1 and Table 2 present the results of the statistical analysis of the results obtained.
The use of vacuum impregnation and the soaking time of the grain has a significant effect on the water content of the grain. Also, vacuum impregnation significantly speeds up the soaking process. Multivariate analysis of variance (ANOVA) and Tukey’s post hoc test showed an interaction between these factors.
The statistical analysis confirmed that the variety of grain has no significant effect on the extract difference of malt, rather has an effect on the extract content and viscosity. The method of soaking used (at atmospheric pressure or vacuum) has no significant effect on all the measured parameters of the wort. Malting temperature only effects the viscosity index. On the other hand, the most significant correlations of the parameters studied were noted in relation to the number of days the seeds were malted.
Multivariate analysis of variance (ANOVA) and Tukey’s post hoc test showed interactions between the variety of grain, temperature and malting time in the case of viscosity index and variety and malting time in the case of extract content.

4. Discussion

According to Gonu et al. [12], wet vacuum impregnation (WVI) can be used in the malting process to reduce the soaking period. Grains of five Thai barley varieties were soaked at 500 mmHg for 300 s. The effects of WVI on germination energy, moisture content, phenolic acid content and antioxidant activity (AOA) were studied. The water content of barley soaked by WVI at atmospheric pressure ranged from 36.1 to 39.9% and 39.9 to 47.8%, respectively, with a germination energy of 96–97%. Total fermentable sugars were relatively higher in atmospheric pressure-steeped malts than in WVI malts. However, steeping by WVI gave a higher content of free and bound phenolic acids, leading to a higher AOA. Studies have also shown that WVI does not limit barley germination and indicates the high potential of this technology in the malting process, as it reduces steeping time [12].
Wort viscosity is a critical parameter in wort clarification and filtration in the brewhouse. In congress wort, viscosity averages between 1.51 and 1.63 mPa·s; converted to 8.6% extract is considered adequate. A wort viscosity of 1.73–2.20 mPa·s is considered normal for worts obtained by the infusion method converted to 12% extract [17,18,19,20,21,22]. Such wort viscosity does not cause difficulties in the filtration process. Nevertheless, Blšáková et al. [23] (achieving viscosity of 5.2–5.4 mPa·s) also reported no difficulties at the wort filtration stage. Other sources give similar viscosity values, for example, 1.2–1.6 mPa·s [24] 1.75–2.05 mPa·s [25] and 1.50–2.37 mPa·s [26].
Wort viscosity is also influenced by additives. In the case of wheat, which is rich in viscosity-enhancing pentosans, coarse milling is recommended to alleviate wort filtration problems [27,28].
Extract content is one of the most important malt quality parameters, as at the mashing stage the extract determines the soluble solids content. It is important to point out that at mashing temperatures above 65 °C, the extract content of the wort starts to decrease [29]. The extract content may be increased during further stages of beer production (e.g., brewing). However, in the literature, there is no reference to what level of extract is desirable; the higher the factor, the more preferable it is [18,30]. Malting barley must have a high germination capacity. The quality of barley grain is significant for the brewing industry, which needs malt with a high extract content [31].
Although the lack of extractable and fermentable sugars in the wort (low extract) may be related to poor malt quality, various factors such as the degree of starch hydrolysis during mashing, the structure of the starch granules and the amylose and amylopectin content and their respective ratios may also contribute to the level of decomposition of malt ingredients [32,33,34,35].
Extract difference (fine grind/coarse grind extract difference) indicates the modification of the malt. A vitreous malt will have an extract difference of 1.8–2.2%. In contrast, a floury and well-modified malt will have an extract difference of 0.5–1.0% [36]. For the extract difference of malt parameters, other authors have obtained results similar to those presented in this paper. For example, for the experiment of Kamburi and Xhangolli [37], the range of extract difference values was 0.88 to 2.27%. Krstanović et al. [38] reported a similar range of values in studies involving different wheat varieties (from 1 to 2.1%). Slightly higher values have also been found for a number of different barley varieties, although the differences are not significantly important (1.0–2.7%) [39].
Malting barley varieties introduced into cultivation in recent years are characterized by higher enzymatic activity. The use of such varieties requires adjustments to the management of the malting process. It has become necessary to inhibit the over-indulgence of malt to ensure a color of 2.5 to 3.5 EBC, an extract difference of 1.7 to 2.0% and a viscosity of less than 1.58 mPa·s. Dark malt should have the following characteristics: a congress wort color of 15 to 25 EBC and an extract difference of 2.0 to 3.0% [18].

5. Conclusions

Vacuum impregnation affects the steeping time of the barley grain and, as a result, speeds up the malt production cycle. However, it has no significant effect on the basic parameters of the wort. This is important information for producers, as the vacuum impregnation process is not complicated and does not require complicated equipment.
Modification of the malting process with VI had no effect on the malting process of different barley grain varieties.
The study also shows that the malting time for barley grain can be reduced to six days without wort degradation. It can, therefore, be used by different producers to modify, for example, the extract content, which is the most important parameter in the whole process. Grain malting temperature only affects the wort viscosity index. On the other hand, the most significant result seems to be the change in all the wort parameters tested in relation to the number of days of grain malting.
Experiments would have to be carried out to describe in detail the chemical composition of the wort depending on the process parameters of the malt production.

Author Contributions

Conceptualization, L.R.; methodology, K.V.; software, K.V.; validation, L.R.; formal analysis, Z.K., investigation, L.R. and K.V.; resources, M.N.; data curation, M.N.; writing—original draft preparation, L.R., K.V. and Z.K.; writing—review and editing, L.R. and K.V.; visualization, K.V.; supervision, L.R.; project administration, L.R.; funding acquisition, L.R. All authors have read and agreed to the published version of the manuscript.

Funding

Publication co-financed by the state budget under the program of the Ministry of Education and Science (Republic of Poland) under the name Excellent Science–Support for Scientific Conferences entitled “XXIII Polish Nationwide Scientific Conference “PROGRESS IN PRODUCTION ENGINEERING” 2023” project number DNK/SP/546290/2022, amount of funding PLN 162650, total value of the project PLN 238 650 (Poland).

Data Availability Statement

The data presented in this study are available upon request from the corresponding author.

Conflicts of Interest

The authors declare no conflict of interest.

References

  1. D’Alfonzo, S. Vacuum impregnation. Met. Finish. 2013, 99, 507–509. [Google Scholar] [CrossRef]
  2. Sivamma, P.; Mounika, E.; Naga Hari Sairam, N.; Jagannadha Rao, P.V.K. Applications of vacuum technology in food processing. J. Pharma Innov. 2021, 10, 914–918. [Google Scholar]
  3. Galindo, F.G.; Yusof, N.L. New insights into the dynamics of vacuum impregnation of plant tissues and its metabolic consequences. J. Sci. Food Agric. 2015, 95, 1127–1130. [Google Scholar] [CrossRef] [PubMed]
  4. Zhao, Y.; Xie, J. Practical applications of vacuum impregnation in fruit and vegetable processing. Trends Food Sci. Technol. 2004, 15, 434–451. [Google Scholar] [CrossRef]
  5. Fito, P.; Andrés, A.; Chiralt, A.; Pardo, P. Coupling of hydrodynamic mechanism and deformation-relaxation phenomena during vacuum treatments in solid porous food-liquid systems. J. Food Eng. 1996, 27, 229–240. [Google Scholar] [CrossRef]
  6. Gras, M.L.; Fito, P.; Vidal, D.; Albors, A.; Chiralt, A.; Andres, A. The effect of vacuum impregnation upon some properties of vegetables. Proc. ICEF8 2001, 2, 1361–1365. [Google Scholar]
  7. Vursavus, K.; Kelebek, H.; Selli, S. A study on some chemical and physico-mechanic properties of three sweet cherry varieties (Prunus avium L.). J. Food Eng. 2006, 74, 568–575. [Google Scholar] [CrossRef]
  8. Fito, P.; Chiralt, A.; Betoret, N.; Gras, M.; Martinez-Monzo, J.; Andres, A.; Vidal, D. Vacuum impregnation and osmotic dehydration in matrix engineering. Application in functional fresh food development. J. Food Eng. 2001, 49, 175–183. [Google Scholar] [CrossRef]
  9. Chiralt, A.; Fito, P.; Barat, J.M.; Andres, A.; Gonzales-Martinez, C.; Escriche, I.; Camacho, M.M. Use of vacuum impregnation in food salting process. J. Food Eng. 2001, 49, 141–151. [Google Scholar] [CrossRef]
  10. Derossi, A.; De Pilli, T.; Severini, C. The application of vacuum impregnation techniques in food industry. In Scientific, Health and Social Aspects of the Food Industry; IntechOpen: London, UK, 2012; pp. 25–56. [Google Scholar]
  11. OEC World. Malt Extract. Available online: https://oec.world/en/profile/hs/malt-extract (accessed on 6 July 2023).
  12. Gonu, H.; Zarnkow, M.; Withayagiat, U. Wet vacuum impregnation assisted in malting; its implication on steeping degree, germination energy and malt properties. Int. J. Food Sci. Technol. 2023, 58, 4186–4195. [Google Scholar] [CrossRef]
  13. Back, W.; Gastl, M.; Krottenthaler, M.; Narziß, L.; Zarnkow, M. Brewing Techniques in Practice: An In-Depth Review of Beer Production with Problem Solving Strategies; Fachverlag Hans Carl: Nürnberg, Germany, 2020. [Google Scholar]
  14. Panayampadan, A.S.; Alam, M.S.; Aslam, R.; Kaur, J. Vacuum impregnation process and its potential in modifying sensory, physicochemical and nutritive characteristics of food products. Food Eng. Rev. 2022, 14, 229–256. [Google Scholar] [CrossRef]
  15. Kamjijam, B.; Suwannaporn, P.; Bednarz, H.; Jom, K.N.; Niehaus, K. Elevation of gamma-aminobutyric acid (GABA) and essential amino acids in vacuum impregnation mediated germinated rice traced by MALDI imaging. Food Chem. 2021, 365, 130399. [Google Scholar] [CrossRef] [PubMed]
  16. Analytica EBC (2019). Available online: https://brewup.eu/ebcanalytica (accessed on 4 January 2020).
  17. Izydorczyk, M.S.; Dexter, J.E. Barley β-glucans and arabinoxylans: Molecular structure, physicochemical properties, and uses in food products-A review. Food Res. Int. 2008, 41, 850–868. [Google Scholar] [CrossRef]
  18. Kunze, W. Technology Brewing and Malting; VLB Berlin: Berlin, Germany, 2014. [Google Scholar]
  19. Grundy, M.M.L.; Quint, J.; Rieder, A.; Balance, S.; C´ecile, A.; Dreiss, C.A.; Butterworth, P.J.; Ellis, P.R. Impact of hydrothermal and mechanical processing on dissolution kinetics and rheology of oat β-glucan. Carbohydr. Polym. 2017, 166, 387–397. [Google Scholar] [CrossRef]
  20. Zhang, H.; Zhang, N.; Xiong, Z.Q.; Wang, G.Q.; Xia, Y.J.; Lai, P.; Ai, L.Z. Structural characterization and rheological properties of β-D-glucan from hull-less barley (Hordeum vulgare L. var. nudum Hook. f.). Phytochemistry 2018, 155, 155–163. [Google Scholar] [CrossRef]
  21. Zielke, C.; Lu, Y.; Nilsson, L. Aggregation and microstructure of cereal β-glucan and its association with other biomolecules. Colloids Surf. A Physicochem. Eng. 2019, 560, 402–409. [Google Scholar] [CrossRef]
  22. Li, X.; Xie, X.; Liu, J.; Wu, D.; Cai, G.; Lu, J. Characterization of a putative glycoside hydrolase family 43 arabinofuranosidase from Aspergillus niger and its potential use in beer production. Food Chem. 2020, 305, 125382. [Google Scholar] [CrossRef]
  23. Blsakova, L.; Gregor, T.; Kumbar, V. The effect of the malt used on the viscosity of the wort. MendelNet 2020, 27, 296–300. [Google Scholar]
  24. Hlaváč, P.; Božiková, M.; Cviklovič, V. Dynamic viscosity and activation energy of wort during fermentation and storing. ATA 2016, 19, 6–9. [Google Scholar] [CrossRef][Green Version]
  25. Severa, L.; Los, J.; Nedomová, Š.; Buchar, J. On the rheological profile of malt wort during processing of substrate for lager beer. J. Food Phys. 2009, 22, 5–16. [Google Scholar]
  26. Salamon, A. Ocena jakości słodowanego ziarna zbóż i pseudozbóż bezglutenowych w porównaniu ze słodem browarnym jęczmiennym. Postępy Nauki Technol. Prz. Rol.-Spoż. 2016, 71, 59–71. [Google Scholar]
  27. Faltermaier, A.; Waters, D.; Becker, T.; Arendt, E.; Gastl, M. Common wheat (Triticum aestivum L.) and its use as a brewing cereal—A review. J. Inst. Brew. 2014, 120, 1–15. [Google Scholar] [CrossRef]
  28. Bogdan, P.; Kordialik-Bogacka, E. Alternatives to malt in brewing. Trends Food Sci. Technol. 2017, 65, 1–9. [Google Scholar] [CrossRef]
  29. Evans, D.E.; Goldsmith, M.; Redd, K.S.; Nischwitz, R.; Lentini, A. Impact of Mashing Conditions on Extract, Its Fermentability, and the Levels of Wort Free Amino Nitrogen (FAN), β-Glucan, and Lipids. J. Am. Soc. Brew. Chem. 2012, 70, 39–49. [Google Scholar] [CrossRef]
  30. Briggs, D.E.; Boulton, C.A.; Brookes, P.A.; Stevens, R. Brewing: Science and Practice; Woodhead Publishing Ltd.: Abington, PA, USA, 2004. [Google Scholar]
  31. Frančáková, H.; Líšková, M.; Bojňanská, T.; Mareček, J. Germination index as an indicator of malting potential. Czech J. Food Sci. 2012, 30, 377–384. [Google Scholar] [CrossRef]
  32. Tang, M.C.; Copeland, L. Analysis of complexes between lipids and wheat starch. Carbohydr. Polym. 2007, 67, 80–85. [Google Scholar] [CrossRef]
  33. Agu, R.C.; Bringhurst, T.A.; Brosnan, J.M. Performance of husked, acid dehusked and hull-less barley and malt in relation to alcohol production. J. Inst. Brew. 2008, 114, 62–68. [Google Scholar] [CrossRef]
  34. Seefeldt, H.F.; Larsen, F.H.; Viereck, N. Lipid composition and deposition during grain filling in intact barley (Hordeum vulgare) mutant grains as studied by H-1 HR MAS NMR. J. Cereal Sci. 2011, 54, 442–449. [Google Scholar] [CrossRef]
  35. Cozzolino, D.; Degner, S. An overview on the role of lipids and fatty acids in barley grain and their products during beer brewing. Food Res. Int. 2016, 81, 114–121. [Google Scholar] [CrossRef]
  36. Noonan, G. Understanding Malt Analysis Sheets. Available online: https://www.probrewer.com/library/malt/understanding-malt-analysis-sheets/ (accessed on 15 September 2023).
  37. Kamburi, T.; Xhangolli, L. Wort production optimisation based on physico-chemical malt parameters. Eur. J. Pure Appl. Chem. 2016, 3, 29–40. [Google Scholar]
  38. Krstanović, V.; Mastanjević, K.; Nedović, V.; Mastanjević, K. The influence of wheat malt quality on final attenuation limit of wort. Fermentation 2019, 5, 89. [Google Scholar] [CrossRef]
  39. Kefale, B.; Abushu, Y. Malt quality profile of malt barley varieties grown in the Central Highlands of Ethiopia. Bioorg. Chem. 2017, 2, 130–134. [Google Scholar]
Figure 1. Scheme of measurement stand for studying the impregnation process under vacuum conditions: 1 is the vacuum chamber, 2 is the ultra-thermostat, 3 is the cover, 4 is the vacuum pump, 5 is the reservoir and 6 is the reservoir for raw material.
Figure 1. Scheme of measurement stand for studying the impregnation process under vacuum conditions: 1 is the vacuum chamber, 2 is the ultra-thermostat, 3 is the cover, 4 is the vacuum pump, 5 is the reservoir and 6 is the reservoir for raw material.
Processes 11 02830 g001
Figure 2. Changes in the moisture content during the barley grain moistening at the tested temperatures (red squares are VI (vacuum-impregnated) grain; blue circles are not VI grain, soaked traditionally).
Figure 2. Changes in the moisture content during the barley grain moistening at the tested temperatures (red squares are VI (vacuum-impregnated) grain; blue circles are not VI grain, soaked traditionally).
Processes 11 02830 g002aProcesses 11 02830 g002b
Figure 3. Changes in the viscosity index (mPa·s) during the barley grain germination at the tested temperatures (red squares are VI (vacuum-impregnated) grain; blue circles are not VI grain, soaked traditionally).
Figure 3. Changes in the viscosity index (mPa·s) during the barley grain germination at the tested temperatures (red squares are VI (vacuum-impregnated) grain; blue circles are not VI grain, soaked traditionally).
Processes 11 02830 g003aProcesses 11 02830 g003b
Figure 4. Changes in the extract content (%) during the barley grain germination at the tested temperatures (red squares are VI (vacuum-impregnated) grain; blue circles are not VI grain, soaked traditionally).
Figure 4. Changes in the extract content (%) during the barley grain germination at the tested temperatures (red squares are VI (vacuum-impregnated) grain; blue circles are not VI grain, soaked traditionally).
Processes 11 02830 g004
Figure 5. Changes in the extract difference of malt (%) during the barley grain germination at the tested temperatures (red squares are VI (vacuum-impregnated) grain; blue circles are not VI grain, soaked traditionally).
Figure 5. Changes in the extract difference of malt (%) during the barley grain germination at the tested temperatures (red squares are VI (vacuum-impregnated) grain; blue circles are not VI grain, soaked traditionally).
Processes 11 02830 g005
Table 1. The results of the analysis of Tukey’s reasonable significant difference (HSD) test of the influence of selected factors on the moisture content of the tested barley grain.
Table 1. The results of the analysis of Tukey’s reasonable significant difference (HSD) test of the influence of selected factors on the moisture content of the tested barley grain.
FactorValueMoisture Content, Homogeneous Groups *
1.Pressure (kPa)5a
100b
2.Temperature (°C)12a
14a
16a
3.Soaking time (h)0a
2b
4bc
6c
8cd
10de
12ef
14fg
16gh
18hi
20hi
22hi
24i
26i
28ij
30j
32j
34j
36j
* Different letters mean statistically significant differences at the level of α = 0.05.
Table 2. The results of the analysis of Tukey’s reasonable significant difference (HSD) test on the influence of the selected factors on the viscosity index, extract content and extract difference of malt.
Table 2. The results of the analysis of Tukey’s reasonable significant difference (HSD) test on the influence of the selected factors on the viscosity index, extract content and extract difference of malt.
FactorValueViscosity Index, Homogeneous Groups *Extract Content, Homogeneous Groups *Extract Difference of Malt, Homogeneous Groups *
1.VarietyKangooaaa
Xanadubba
2.Pressure (kPa)5aaa
100aaa
3.Temperature (°C)12aaa
14baa
16caa
4.Malting time (days)1aaa
2abb
3bcc
4cdd
5cee
6cfe
7cgf
8cgg
* Different letters mean statistically significant differences at the level of α = 0.05.
Disclaimer/Publisher’s Note: The statements, opinions and data contained in all publications are solely those of the individual author(s) and contributor(s) and not of MDPI and/or the editor(s). MDPI and/or the editor(s) disclaim responsibility for any injury to people or property resulting from any ideas, methods, instructions or products referred to in the content.

Share and Cite

MDPI and ACS Style

Rydzak, L.; Vasiukov, K.; Kobus, Z.; Natoniewski, M. Modification of the Malting Process of Barley Grains of Different Varieties by Vacuum Impregnation and Its Effect on Selected Wort Parameters. Processes 2023, 11, 2830. https://doi.org/10.3390/pr11102830

AMA Style

Rydzak L, Vasiukov K, Kobus Z, Natoniewski M. Modification of the Malting Process of Barley Grains of Different Varieties by Vacuum Impregnation and Its Effect on Selected Wort Parameters. Processes. 2023; 11(10):2830. https://doi.org/10.3390/pr11102830

Chicago/Turabian Style

Rydzak, Leszek, Kostiantyn Vasiukov, Zbigniew Kobus, and Marcin Natoniewski. 2023. "Modification of the Malting Process of Barley Grains of Different Varieties by Vacuum Impregnation and Its Effect on Selected Wort Parameters" Processes 11, no. 10: 2830. https://doi.org/10.3390/pr11102830

APA Style

Rydzak, L., Vasiukov, K., Kobus, Z., & Natoniewski, M. (2023). Modification of the Malting Process of Barley Grains of Different Varieties by Vacuum Impregnation and Its Effect on Selected Wort Parameters. Processes, 11(10), 2830. https://doi.org/10.3390/pr11102830

Note that from the first issue of 2016, this journal uses article numbers instead of page numbers. See further details here.

Article Metrics

Back to TopTop