Assessment of PCDD/Fs Emission during Industrial-Organic-Solid-Waste Incineration Process in a Fluidized-Bed Incinerator
Abstract
1. Introduction
2. Materials and Methods
2.1. Summary of the Incineration System
2.2. Fuel Characterization
2.3. Sampling and Analysis
2.4. Quality Assurance/Quality Control (QA/QC)
- The sampling procedures were conducted by the technical team from the Dioxin Laboratory, Zhejiang University (China), which owns the China Inspection Body and Laboratory Mandatory Approval (CMA), and regularly participates in international laboratory comparison for the analysis of PCDD/Fs, to minimize the experimental operational errors.
- The sampling procedures and sample pre-treatment strictly followed the national standards, which lessened the method errors to a large extent.
- The blank test of the analysis method was carried out on approximately 10 samples for every analysis, to ensure the accuracy of the testing results of PCDD/Fs. Before using HRGC/HRMS to analyze the samples, initial precision calibration (IPR) was determined in strict accordance with the standard, and then solvent-blank and method-blank verification was carried out.
3. Results and Discussion
3.1. Emission of PCDD/Fs
3.1.1. Emission of 17 Kinds of Toxic PCDD/Fs
3.1.2. Emission of 136 Kinds of PCDD/Fs
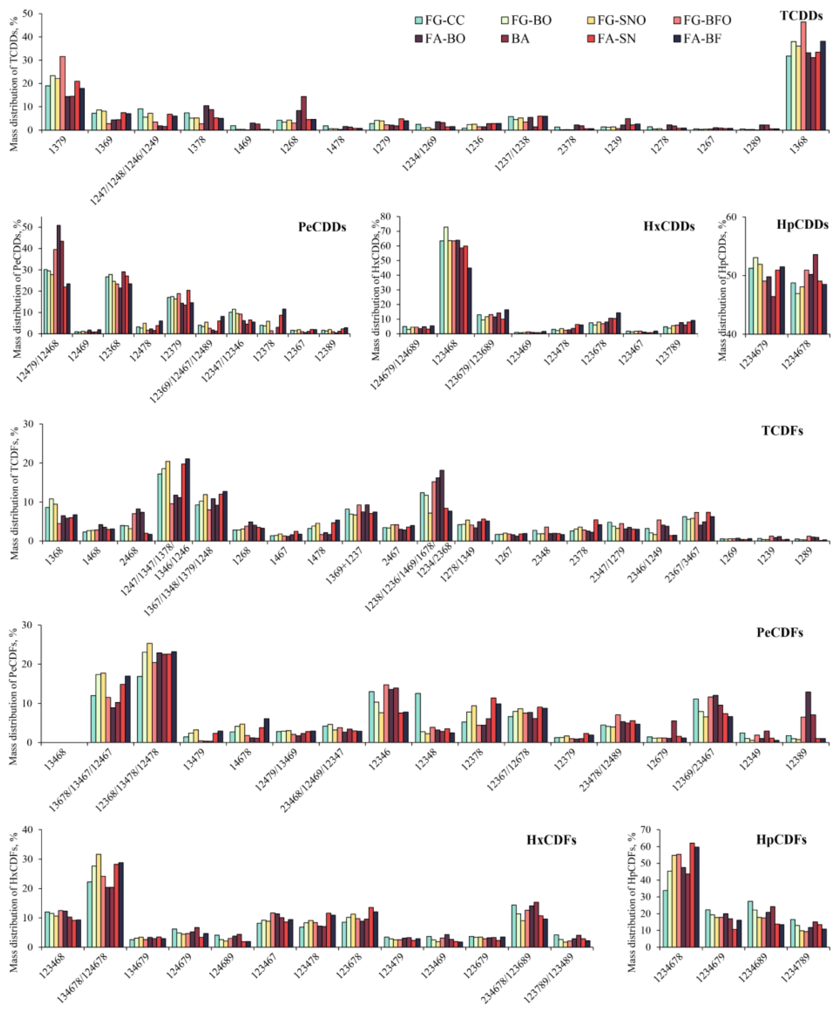
3.2. Formation Pathway of PCDD/Fs
3.3. Flow Chart of PCDD/Fs
4. Conclusions
- IW incineration might enhance the formation of 17 kinds of toxic PCDD/Fs, as well as 136 kinds of total PCDD/Fs, compared to those in MSW incineration. Specifically, the emitted toxic PCDD/Fs concentrations in FG, FA and BA were 1.16 ng/Nm3 (0.08 ng I-TEQ/Nm3), 57.42–66.51 μg/kg (2.27–2.48 μg I-TEQ/kg) and 189.23 ng/kg (11.35 ng I-TEQ/kg), respectively. All these values met the emission standards and were lower than the limit values of 0.1 ng I-TEQ/kg and 3 μg I-TEQ/kg (GB 18485-2014 and HJ 1134-2020). Concentrations of 136 PCDD/Fs in FG-BO, FG-BFO and FA-BF from IW incineration reached 979.48 ± 426.67 ng/Nm3, 14.83 ± 5.47 ng/Nm3 and 120.83 ± 20.21 μg/kg, which were higher than those of 93.01–366.15 ng/Nm3, 0.36–7.70 ng/Nm3 and 4.17–30.78 μg/kg in MSW incineration.
- The dominant formation-pathway during IW incineration was de novo synthesis. The fingerprints of toxic PCDD/Fs and 136 PCDD/FS in different positions of facilities were in analogous patterns, as well. Precursor synthesis (e.g., CP-route synthesis) and high-temperature gaseous synthesis of PCDD/Fs were not detected and recognized in the appropriate statistical analysis of PCDD/F isomers, and thus could be excluded. Moreover, DD/DF chlorination also contributed PCDD/Fs, which were mostly distributed in FA/BA. From the perspective of environmental sustainability, the targeted formation route of de novo synthesis should be controlled and suppressed, to eliminate potential threats to ecological environs.
- The mass flow of PCDD/Fs through the IW incineration process was comprehensively analyzed on the I-TEQ level. The results indicated that FA comprised the highest proportion (99%) of PCDD/Fs in the external environment, reaching a level of 3.56 ± 1.20 mg I-TEQ/h. De novo synthesis in low-temperature flue areas significantly strengthened the PCDD/Fs output in primary FG-BO, from 1.25 ± 0.41 μg I-TEQ/h (FG-CC) to 1.67 ± 0.52 mg I-TEQ/h (>1000 times). The accumulation of PCDD/Fs in FA was also confirmed in BF. However, with effective purification of APCS, toxic PCDD/Fs in FG were purified with a cleaning efficiency of 99.6% and emitted into the atmosphere at a discharge rate of 7.25 ± 2.21 μg I-TEQ/h. The mass fluxes of PCDD/Fs in IW incineration were higher than those in MSW incineration. The intrinsic reason for this was a higher Cl and heavy-metal content in the IW.
Supplementary Materials
Author Contributions
Funding
Institutional Review Board Statement
Informed Consent Statement
Data Availability Statement
Acknowledgments
Conflicts of Interest
References
- NBSC. China Statistical Yearbook 2021; National Bureau of Statistics of China: Beijing, China, 2021. [Google Scholar]
- NBSC. China Statistical Yearbook 2011; National Bureau of Statistics of China: Beijing, China, 2011. [Google Scholar]
- Tian, G.; Xia, Q.; Wu, Z.; Fu, T. Ecological network analysis of industrial wastes metabolism based on input-output model for Jiangsu, China. Waste Manag. 2022, 143, 23–34. [Google Scholar] [CrossRef] [PubMed]
- Vkga, B.; Ps, C.; Rs, D.; Mka, E.; Cgd, F.; Apg, H. Assessing the impact of industrial waste on environment and mitigation strategies: A comprehensive review. J. Hazard. Mater. 2020, 398, 123019. [Google Scholar]
- Otakulov, B.A.; Abdullayev, I.A.; Sultonov, K.S.O. Raw material base of construction materials and use of industrial waste. Sci. Prog. 2021, 2, 1609–1612. [Google Scholar]
- Boltakova, N.; Faseeva, G.; Kabirov, R.; Nafikov, R.; Zakharov, Y.A. Utilization of inorganic industrial wastes in producing construction ceramics. Review of Russian experience for the years 2000–2015. Waste Manag. 2017, 60, 230–246. [Google Scholar] [CrossRef]
- Goli, V.; Singh, D.N.; Baser, T. A critical review on thermal treatment technologies of combustible fractions from mechanical biological treatment plants. J. Environ. Chem. Eng. 2021, 9, 105643. [Google Scholar] [CrossRef]
- Jin, C.; Sun, S.; Yang, D.; Sheng, W.; Ma, Y.; He, W.; Li, G. Anaerobic digestion: An alternative resource treatment option for food waste in China. Sci. Total Environ. 2021, 779, 146397. [Google Scholar] [CrossRef]
- Ge, S.; Wang, Q.; Diao, S.; Wang, X.; Yuan, Y.; Luan, J. Research progress and application of solid leather waste. Leather Chem. 2019, 36, 37–42. [Google Scholar]
- Li, Y.; Guo, R.; Lu, W.; Zhu, D. Research progress on resource utilization of leather solid waste. J. Leather Sci. Eng. 2019, 1, 6. [Google Scholar] [CrossRef]
- Viczek, S.A.; Aldrian, A.; Pomberger, R.; Sarc, R. Origins and carriers of Sb, As, Cd, Cl, Cr, Co, Pb, Hg, and Ni in mixed solid waste–a literature-based evaluation. Waste Manag. 2020, 103, 87–112. [Google Scholar] [CrossRef]
- Dudyński, M.; Dudyński, K.; Kluska, J.; Ochnio, M.; Kazimierski, P.; Kardaś, D. Gasification of leather waste for energy production: Laboratory scale and industrial tests. Int. J. Energy Res. 2021, 45, 18540–18553. [Google Scholar] [CrossRef]
- Zhan, M.; Sun, C.; Chen, T.; Li, X. Emission characteristics for co-combustion of leather wastes, sewage sludge, and coal in a laboratory-scale entrained flow tube furnace. Environ. Sci. Pollut. Res. 2019, 26, 9707–9716. [Google Scholar] [CrossRef]
- Zhu, F.; Li, X.; Lu, J.-W.; Hai, J.; Zhang, J.; Xie, B.; Hong, C. Emission characteristics of PCDD/Fs in stack gas from municipal solid waste incineration plants in Northern China. Chemosphere 2018, 200, 23–29. [Google Scholar] [CrossRef] [PubMed]
- Tuomisto, J. Dioxins and dioxin-like compounds: Toxicity in humans and animals, sources, and behaviour in the environment. WikiJournal Med. 2019, 6, 8. [Google Scholar] [CrossRef]
- Yoshioka, W.; Tohyama, C. Mechanisms of developmental toxicity of dioxins and related compounds. Int. J. Mol. Sci. 2019, 20, 617. [Google Scholar] [CrossRef]
- Cheruiyot, N.K.; Lee, W.-J.; Yan, P.; Mwangi, J.K.; Wang, L.-C.; Gao, X.; Lin, N.-H.; Chang-Chien, G.-P. An overview of PCDD/F inventories and emission factors from stationary and mobile sources: What we know and what is missing. Aerosol Air Qual. Res. 2016, 16, 2965–2988. [Google Scholar] [CrossRef]
- Fiedler, H.; van der Veen, I.; de Boer, J. Interlaboratory assessments for dioxin-like POPs (2016/2017 and 2018/2019). Chemosphere 2022, 288, 132449. [Google Scholar] [CrossRef] [PubMed]
- Yang, L.; Liu, G.; Shen, J.; Wang, M.; Yang, Q.; Zheng, M. Environmental characteristics and formations of polybrominated dibenzo-p-dioxins and dibenzofurans. Environ. Int. 2021, 152, 106450. [Google Scholar] [CrossRef] [PubMed]
- Peng, Y.; Lu, S.; Li, X.; Yan, J.; Cen, K. Formation, measurement, and control of dioxins from the incineration of municipal solid wastes: Recent advances and perspectives. Energy Fuels 2020, 34, 13247–13267. [Google Scholar] [CrossRef]
- Zhang, M.; Buekens, A. De novo synthesis of dioxins: A review. Int. J. Environ. Pollut. 2016, 60, 63–110. [Google Scholar] [CrossRef]
- Zhang, M.; Fujimori, T.; Shiota, K.; Li, X.; Takaoka, M. Formation pathways of polychlorinated dibenzo-p-dioxins and dibenzofurans from burning simulated PVC-coated cable wires. Chemosphere 2021, 264, 128542. [Google Scholar] [CrossRef]
- Lin, X.; Wang, X.; Ying, Y.; Wu, A.; Chen, Z.; Wang, L.; Yu, H.; Zhang, H.; Ruan, A.; Li, X. Formation pathways, gas-solid partitioning, and reaction kinetics of PCDD/Fs associated with baghouse filters operated at high temperatures: A case study. Sci. Total Environ. 2023, 857, 159551. [Google Scholar] [CrossRef]
- Zhang, M.; Fujimori, T.; Shiota, K.; Buekens, A.; Mukai, K.; Niwa, Y.; Li, X.; Takaoka, M. Thermochemical formation of dioxins promoted by chromium chloride: In situ Cr-and Cl-XAFS analysis. J. Hazard. Mater. 2020, 388, 122064. [Google Scholar] [CrossRef] [PubMed]
- Lin, X.Q.; Ma, Y.F.; Chen, Z.L.; Li, X.D.; Lu, S.Y.; Yan, J.H. Effect of different air pollution control devices on the gas/solid-phase distribution of PCDD/F in a full-scale municipal solid waste incinerator. Environ. Pollut. 2020, 265, 114888. [Google Scholar] [CrossRef]
- CJ/T 313-2009; Sampling and Analysis Methods for Domestic Waste. Ministry of Housing and Urban-Rural Development of the People’s Republic of China: Beijing, China, 2009.
- CJ/T 96-2013; General Detecting Methods for the Chemical Characteristic of Domestic Refuse. Ministry of Housing and Urban-Rural Development of the People’s Republic of China: Beijing, China, 2013.
- HJ 77.2-2008; Ambient Air and Flue Gas-Determination of Polychlorinated Dibenzo-p-Dioxins (PCDDs) and Polychlorinated Dibenzofurans (PCDFs) Isotope Dilution HRGC-HRMS. Ministry of Environmental Protection of the People’s Republic of China: Beijing, China, 2008.
- HJ 77.3-2008; Solid Waste-Determination of Polychlorinated Dibenzo-p-Dioxins (PCDDs) and Polychlorinated Dibenzofurans (PCDFs) Isotope Dilution HRGC-HRMS. Ministry of Environmental Protection of the People’s Republic of China: Beijing, China, 2008.
- Ying, Y.; Ma, Y.; Li, X.; Lin, X. Emission characteristics and formation pathways of PCDD/Fs from cocombustion of municipal solid waste in a large-scale coal-fired power plant. Energy Fuels 2021, 35, 8221–8233. [Google Scholar] [CrossRef]
- Ying, Y.; Xu, L.; Lin, X.; Zhang, H.; Li, X.; Lu, S.; Cao, Y.; Long, J. Influence of different kinds of incinerators on PCDD/Fs: A case study of emission and formation pathway. Environ. Sci. Pollut. Res. 2022. online ahead of print. [Google Scholar] [CrossRef] [PubMed]
- Zhang, M.; Yang, J.; Buekens, A.; Olie, K.; Li, X. PCDD/F catalysis by metal chlorides and oxides. Chemosphere 2016, 159, 536–544. [Google Scholar] [CrossRef] [PubMed]
- Zhou, Y.; Liu, J. Emissions, environmental levels, sources, formation pathways, and analysis of polybrominated dibenzo-p-dioxins and dibenzofurans: A review. Environ. Sci. Pollut. Res. 2018, 25, 33082–33102. [Google Scholar] [CrossRef]
- GB 18485-2014; Standard for Pollution Control on the Municipal Solid Waste Incineration. Ministry of Ecology and Environment of the People’s Republic of China: Beijing, China, 2014.
- HJ 1134-2020; Technical Specification for Pollution Control of Fly-Ash from Municipal Solid Waste Incineration. Ministry of Ecology and Environment of the People’s Republic of China: Beijing, China, 2020.
- Zhang, M.; Buekens, A.; Ma, S.; Li, X. Iron chloride catalysed PCDD/F-formation: Experiments and PCDD/F-signatures. Chemosphere 2018, 191, 72–80. [Google Scholar] [CrossRef]
- Ma, Y.; Lin, X.; Chen, Z.; Li, X.; Lu, S.; Yan, J. Influence factors and mass balance of memory effect on PCDD/F emissions from the full-scale municipal solid waste incineration in China. Chemosphere 2020, 239, 124614. [Google Scholar] [CrossRef]
- Zhang, G.; Hai, J.; Cheng, J. Characterization and mass balance of dioxin from a large-scale municipal solid waste incinerator in China. Waste Manag. 2012, 32, 1156–1162. [Google Scholar] [CrossRef] [PubMed]
- Zhou, H.; Meng, A.; Long, Y.; Li, Q.; Zhang, Y. A review of dioxin-related substances during municipal solid waste incineration. Waste Manag. 2015, 36, 106–118. [Google Scholar] [CrossRef] [PubMed]
- Chen, Z.; Lin, X.; Lu, S.; Li, X.; Yan, J. Suppressing formation pathway of PCDD/Fs by SN-containing compound in full-scale municipal solid waste incinerators. Chem. Eng. J. 2019, 359, 1391–1399. [Google Scholar] [CrossRef]
- Wang, P.; Lin, X.; Xu, S.; Li, X.; Ma, Y.; Liu, W.; Wu, J.; Ding, J. Simultaneous removal of PCDD/Fs and mercury by activated carbon from a full-scale MSW incinerator in southeast China. Environ. Sci. Pollut. Res. 2022. online ahead of print. [Google Scholar] [CrossRef]
- Guo, X.; Wang, P.; Ma, Y.; Lin, X.; Li, X. Experimental study on the effect of activated carbon pore parameters on dioxin gas-phase adsorption. Environ. Sanit. Eng. 2020, 28, 52–56. [Google Scholar]
- Wang, D.; Zhang, H.; Ren, M.; Fan, Y.; Gao, Y.; Lv, Z.Y.; Yu, Y.; Chen, J. Electrophilic chlorination of dibenzo-p-dioxin and dibenzofuran over composite copper and iron chlorides and oxides in combustion flue gas. Chemosphere 2020, 256, 127065. [Google Scholar] [CrossRef]
- Yang, L.; Liu, G.; Zheng, M.; Zhao, Y.; Jin, R.; Wu, X.; Xu, Y. Molecular mechanism of dioxin formation from chlorophenol based on electron paramagnetic resonance spectroscopy. Environ. Sci. Technol. 2017, 51, 4999–5007. [Google Scholar] [CrossRef]
- Shi, X.; Zhang, R.; Zhang, H.; Xu, F.; Zhang, Q.; Wang, W. Influence of water on the homogeneous gas-phase formation mechanism of polyhalogenated dioxins/furans from chlorinated/brominated phenols as precursors. Chemosphere 2015, 137, 142–148. [Google Scholar] [CrossRef]
- Wang, X.; Chen, J.; Ni, Y. Polychlorinated dibenzo-p-dioxin and dibenzofuran precursors and formation mechanisms during non-woodpulp chlorine bleaching process. Chemosphere 2018, 211, 1–9. [Google Scholar] [CrossRef]
- Ren, M.; Lv, Z.Y.; Xu, L.; Lu, Q.; Zhang, X.; Yu, Y.; Fan, Y.; Gao, Y.; Chen, J.; Zhang, H. Partitioning and removal behaviors of PCDD/Fs, PCBs and PCNs in a modern municipal solid waste incineration system. Sci. Total Environ. 2020, 735, 139134. [Google Scholar] [CrossRef]
- Cai, J.; Zhong, R.; Liu, X.; Liu, Q.; Wu, H.; Yan, F.; Huang, J.; Zhang, Z. Effects of evaporation capacity on the formation and removal of PCDD/Fs in a full-scale municipal solid waste incinerator. Process Saf. Environ. Prot. 2021, 154, 18–31. [Google Scholar] [CrossRef]
- Huang, Y.; Lu, J.-W.; Xie, Y.; Hong, C.; Shi, L.; Hai, J. Process tracing of PCDD/Fs from economizer to APCDs during solid waste incineration: Re-formation and transformation mechanisms. Waste Manag. 2021, 120, 839–847. [Google Scholar] [CrossRef] [PubMed]







| Analysis | Testing Index | IW | MSW | Units |
|---|---|---|---|---|
| Industrial analysis | Moisture | 4.0 | 42.5 | wt% |
| Ash | 8.5 | 17.8 | wt% | |
| Volatile | 83.9 | 34.0 | wt% | |
| Fixed carbon | 3.6 | 5.7 | wt% | |
| Ultimate analysis | Car | 55.8 | 31.6 | wt% |
| Har | 5.6 | 4.0 | wt% | |
| Nar | 1.6 | 1.8 | wt% | |
| Sar | 0.7 | 1.2 | wt% | |
| Oar | 23.8 | 38.5 | wt% | |
| Clar | 3.1 | 0.8 | wt% | |
| Low heating value (LHV) | 22,111 | 6984 | kJ/kg | |
| FG (ng/Nm3) | FA | BA (ng/kg) | ||||||
|---|---|---|---|---|---|---|---|---|
| CC | BO | SNO | BFO | BO (ng/kg) | SN (μg/kg) | BF (μg/kg) | ||
| TCDD | 0.15 ±0.03 | 70.16 ±34.88 | 56.48 ±14.46 | 3.81 ±1.29 | 43.94 ±19.48 | 2.16 ±0.58 | 1.78 ±1.07 | 33.47 ±13.77 |
| PeCDD | 0.06 ±0.03 | 56.88 ±13.41 | 47.92 ±8.18 | 1.29 ±0.67 | 37.01 ±20.65 | 5.16 ±1.36 | 4.52 ±1.29 | 25.52 ±9.85 |
| HxCDD | 0.02 ±0.01 | 43.35 ±25.46 | 38.52 ±6.62 | 0.80 ±0.16 | 44.16 ±9.26 | 10.91 ±5.69 | 9.93 ±5.28 | 33.09 ±13.02 |
| HpCDD | 0.008 ±0.002 | 23.83 ±11.74 | 19.98 ±10.85 | 0.29 ±0.11 | 32.69 ±12.36 | 18.71 ±3.32 | 16.22 ±3.86 | 34.42 ±5.48 |
| OCDD | 0.006 ±0.002 | 7.32 ±3.61 | 7.83 ±2.82 | 0.12 ±0.07 | 24.08 ±9.91 | 13.59 ±2.38 | 10.99 ±4.68 | 36.85 ±15.63 |
| TCDF | 0.53 ±0.28 | 411.64 ±203.18 | 342.16 ±199.47 | 4.91 ±0.78 | 96.56 ±38.40 | 11.09 ±6.35 | 9.54 ±3.03 | 85.92 ±42.86 |
| PeCDF | 0.21 ±0.10 | 202.97 ±75.97 | 176.99 ±76.13 | 2.13 ±1.07 | 79.60 ±21.42 | 15.12 ±8.32 | 13.59 ±6.50 | 58.23 ±32.77 |
| HxCDF | 0.06 ±0.02 | 110.10 ±26.47 | 89.09 ±39.68 | 1.02 ±0.55 | 110.01 ±59.71 | 24.37 ±9.85 | 22.35 ±9.92 | 85.66 ±17.39 |
| HpCDF | 0.02 ±0.006 | 48.46 ±22.49 | 41.39 ±15.94 | 0.41 ±0.22 | 76.48 ±17.43 | 30.48 ±12.09 | 25.66 ±4.23 | 65.31 ±13.03 |
| OCDF | 0.006 ±0.003 | 4.76 ±1.93 | 4.67 ±0.87 | 0.05 ±0.01 | 29.59 ±16.82 | 6.47 ±1.50 | 6.25 ±3.10 | 31.74 ±18.04 |
| Sum | 1.07 ±0.18 | 979.48 ±426.67 | 825.03 ±411.00 | 14.83 ±5.47 | 574.12 ±133.78 | 138.06 ±37.18 | 120.83 ±20.21 | 490.22 ±191.12 |
| dCl-PCDD/Fs | 4.52 | 4.85 | 4.87 | 4.66 | 5.68 | 6.31 | 6.29 | 5.83 |
| FG (%) | FA (%) | BA(%) | ||||||
|---|---|---|---|---|---|---|---|---|
| CC | BO | SNO | BFG | BO | SN | BF | ||
| 1,3,7,9-TCDD | 19.1 | 23.4 | 22.1 | 31.6 | 14.4 | 21.0 | 17.9 | 14.5 |
| 1,3,6,8-TCDD | 31.7 | 38.0 | 36.1 | 46.4 | 33.2 | 33.4 | 38.1 | 31.1 |
| Sum, % of TCDDs | 50.8 | 61.4 | 58.2 | 78.1 | 47.7 | 54.4 | 56.1 | 45.6 |
| 1,2,4,7,9/1,2,4,6,8-PeCDD | 40.7 | 38.8 | 34.5 | 29.0 | 23.3 | 29.4 | 30.2 | 22.1 |
| 1,2,3,6,8-PeCDD | 22.3 | 18.8 | 22.0 | 26.3 | 26.1 | 20.3 | 18.6 | 23.8 |
| 1,2,3,7,9-PeCDD | 10.1 | 17.4 | 15.7 | 18.9 | 14.8 | 18.0 | 20.0 | 16.2 |
| Sum, % of PeCDDs | 73.1 | 75.0 | 72.2 | 74.2 | 64.3 | 67.7 | 68.7 | 62.2 |
| 1,2,3,4,6,8-HxCDD | 47.7 | 52.1 | 48.3 | 65.8 | 44.2 | 45.2 | 47.5 | 39.5 |
| 2,4,6,8-TCDF | 2.6 | 7.8 | 7.2 | 7.8 | 4.7 | 6.0 | 4.8 | 3.3 |
| 1,2,3,8/1,2,3,6/1,4,6,9/1,6,7,8/1,2,3,4/2,3,6,8-TCDF | 13.7 | 12.3 | 10.8 | 11.4 | 15.7 | 10.5 | 10.8 | 24.2 |
| Sum, % of TCDFs | 16.3 | 20.1 | 18.0 | 19.2 | 20.4 | 16.6 | 15.6 | 27.5 |
| FG (%) | FA (%) | BA (%) | ||||||
|---|---|---|---|---|---|---|---|---|
| CC | BO | SNO | BFO | BO | SN | BF | ||
| 2,3,7,8-TCDD | 1.3 | 0.2 | 0.2 | 0.1 | 2.2 | 0.6 | 0.7 | 1.9 |
| 1,2,3,7,8-PeCDD | 3.4 | 2.3 | 2.9 | 0.9 | 5.5 | 2.7 | 2.8 | 5.2 |
| 1,2,3,4,7,8-HxCDD | 7.0 | 3.2 | 2.7 | 1.9 | 5.0 | 2.4 | 2.6 | 5.2 |
| 1,2,3,6,7,8-HxCDD | 6.5 | 6.8 | 6.4 | 5.8 | 6.4 | 7.9 | 8.5 | 9.0 |
| 1,2,3,7,8,9-HxCDD | 4.2 | 3.6 | 3.5 | 2.5 | 5.6 | 5.3 | 5.5 | 5.9 |
| 1,2,3,4,6,7,8-HpCDD | 53.8 | 48.4 | 46.7 | 52.7 | 48.3 | 49.0 | 47.9 | 33.1 |
| OCDD | 2.4 | 3.6 | 4.6 | 1.9 | 13.2 | 26.9 | 25.3 | 22.6 |
| Sum, of PCDDs | 7.0 | 13.0 | 13.8 | 5.9 | 27.7 | 48.7 | 47.3 | 34.8 |
| 2,3,7,8-TCDF | 2.2 | 1.7 | 1.7 | 0.7 | 3.2 | 3.0 | 3.2 | 2.7 |
| 1,2,3,7,8-PeCDF | 3.9 | 2.7 | 2.6 | 2.8 | 5.6 | 3.1 | 3.2 | 4.8 |
| 2,3,4,7,8-PeCDF | 5.9 | 10.7 | 9.0 | 1.2 | 11.5 | 10.7 | 10.7 | 15.4 |
| 1,2,3,4,7,8-HxCDF | 13.5 | 14.5 | 13.0 | 7.6 | 11.8 | 9.5 | 10.1 | 7.9 |
| 1,2,3,6,7,8-HxCDF | 9.6 | 10.7 | 9.6 | 5.6 | 11.2 | 10.1 | 9.4 | 17.9 |
| 1,2,3,7,8,9-HxCDF | 2.5 | 2.9 | 3.0 | 4.8 | 5.1 | 4.2 | 4.1 | 4.9 |
| 2,3,4,6,7,8-HxCDF | 5.5 | 9.4 | 10.4 | 15.0 | 13.2 | 18.0 | 19.5 | 14.3 |
| 1,2,3,4,6,7,8-HpCDF | 46.7 | 63.4 | 62.6 | 55.0 | 46.9 | 66.9 | 64.4 | 60.6 |
| 1,2,3,4,7,8,9-HpCDF | 17.6 | 10.2 | 9.4 | 14.6 | 15.9 | 7.9 | 9.0 | 12.8 |
| OCDF | 0.7 | 0.6 | 0.7 | 0.5 | 7.5 | 7.4 | 8.1 | 9.7 |
| Sum, of PCDFs | 8.4 | 14.9 | 14.2 | 9.3 | 35.6 | 47.9 | 47.7 | 40.5 |
| Sum, of PCDD/Fs | 8.1 | 14.5 | 14.1 | 7.8 | 33.1 | 48.2 | 47.5 | 38.6 |
Disclaimer/Publisher’s Note: The statements, opinions and data contained in all publications are solely those of the individual author(s) and contributor(s) and not of MDPI and/or the editor(s). MDPI and/or the editor(s) disclaim responsibility for any injury to people or property resulting from any ideas, methods, instructions or products referred to in the content. |
© 2023 by the authors. Licensee MDPI, Basel, Switzerland. This article is an open access article distributed under the terms and conditions of the Creative Commons Attribution (CC BY) license (https://creativecommons.org/licenses/by/4.0/).
Share and Cite
Ying, Y.; Wang, X.; Song, W.; Ma, Y.; Yu, H.; Lin, X.; Lu, S.; Li, X.; Huang, W.; Zhong, L. Assessment of PCDD/Fs Emission during Industrial-Organic-Solid-Waste Incineration Process in a Fluidized-Bed Incinerator. Processes 2023, 11, 251. https://doi.org/10.3390/pr11010251
Ying Y, Wang X, Song W, Ma Y, Yu H, Lin X, Lu S, Li X, Huang W, Zhong L. Assessment of PCDD/Fs Emission during Industrial-Organic-Solid-Waste Incineration Process in a Fluidized-Bed Incinerator. Processes. 2023; 11(1):251. https://doi.org/10.3390/pr11010251
Chicago/Turabian StyleYing, Yuxuan, Xiaoxiao Wang, Wenlong Song, Yunfeng Ma, Hong Yu, Xiaoqing Lin, Shengyong Lu, Xiaodong Li, Wei Huang, and Li Zhong. 2023. "Assessment of PCDD/Fs Emission during Industrial-Organic-Solid-Waste Incineration Process in a Fluidized-Bed Incinerator" Processes 11, no. 1: 251. https://doi.org/10.3390/pr11010251
APA StyleYing, Y., Wang, X., Song, W., Ma, Y., Yu, H., Lin, X., Lu, S., Li, X., Huang, W., & Zhong, L. (2023). Assessment of PCDD/Fs Emission during Industrial-Organic-Solid-Waste Incineration Process in a Fluidized-Bed Incinerator. Processes, 11(1), 251. https://doi.org/10.3390/pr11010251

