A Novel Two-Step Electrochemical Deposition Method for Sn-Pd Electrocatalyst Synthesis for a Potential Application in Direct Ethanol Fuel Cells
Abstract
1. Introduction
2. Materials and Methods
3. Results
3.1. Characterization of Sn, and Sn-Pd Electrodeposits
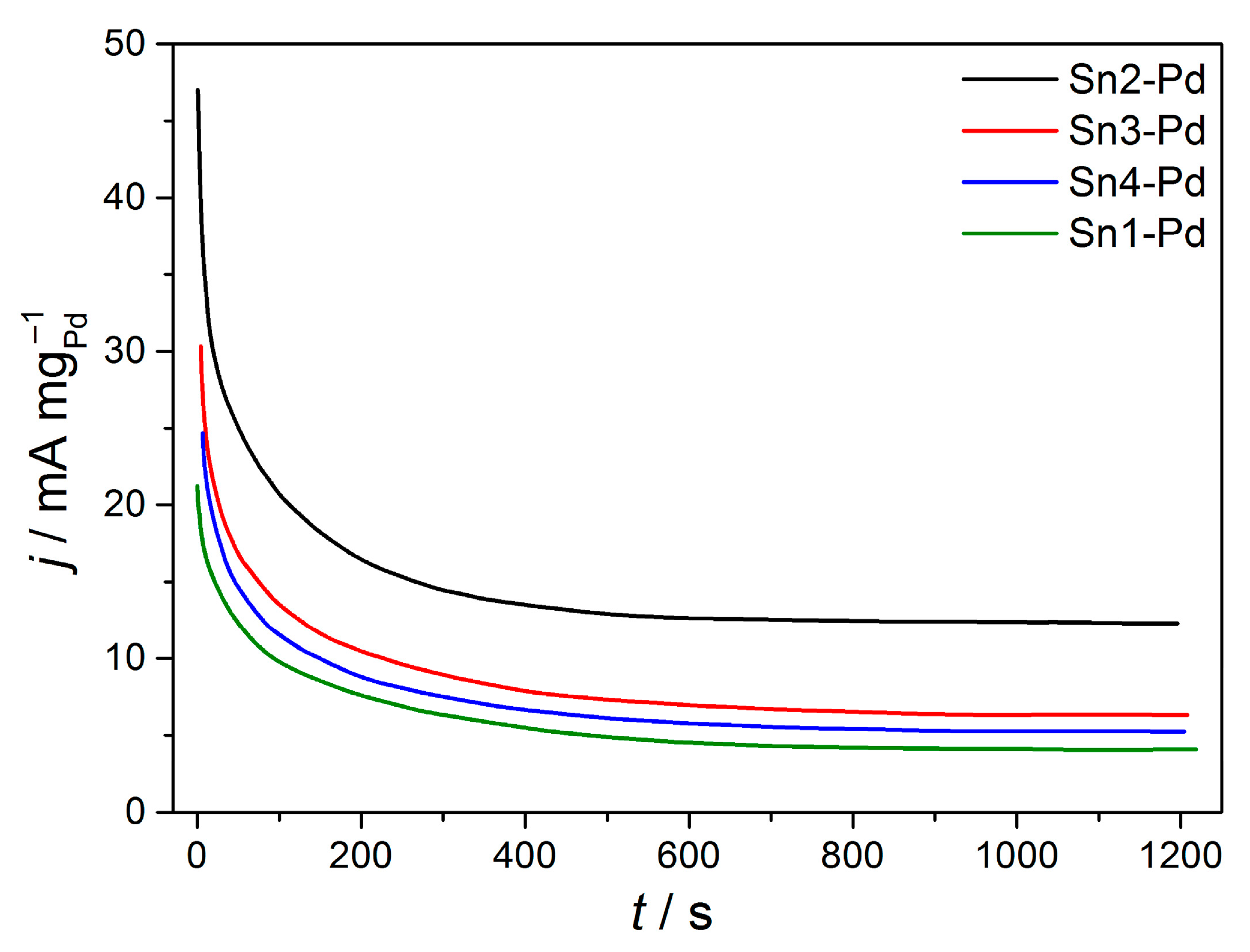
3.2. Effect of Morphology of Sn Dendrite used as a Sub-Layer on Electrocatalytic Activity of Sn-Pd Electrocatalysts
4. Discussion
5. Conclusions
Author Contributions
Funding
Data Availability Statement
Acknowledgments
Conflicts of Interest
References
- Bianchini, C.; Shen, P.K. Palladium-Based Electrocatalysts for Alcohol Oxidation in Half Cells and in Direct Alcohol Fuel Cells. Chem. Rev. 2009, 109, 4183–4206. [Google Scholar] [CrossRef]
- Halim, E.M.; Chemchoub, S.; El Attar, A.; Salih, F.E.; Oularbi, L.; El Rhazi, M. Recent Advances in Anode Metallic Catalysts Supported on Conducting Polymer-Based Materials for Direct Alcohol Fuel Cells. Front. Energy Res. 2022, 10, 843736. [Google Scholar] [CrossRef]
- Selepe, C.T.; Gwebu, S.S.; Matthews, T.; Mashola, T.A.; Sikeyi, L.L.; Zikhali, M.; Maxakato, N.W. Effect of Sn Doping on Pd Electro-Catalysts for Enhanced Electro-Catalytic Activity towards Methanol and Ethanol Electro-Oxidation in Direct Alcohol Fuel Cells. Nanomaterials 2021, 11, 2725. [Google Scholar] [CrossRef] [PubMed]
- Elsaid, K.; Abdelfatah, S.; Elabsir, A.M.A.; Hassiba, R.J.; Ghouri, Z.K.; Vechota, L. Direct alcohol fuel cells: Assessment of the fuel’s safety and health aspects. Int. J. Hydrogen Energy 2021, 46, 30658–30668. [Google Scholar] [CrossRef]
- Zhao, G.; Fang, C.; Hu, J.; Zhang, D. Platinum-Based Electrocatalysts for Direct Alcohol Fuel Cells: Enhanced Performances toward Alcohol Oxidation Reactions. ChemPlusChem 2021, 86, 574–586. [Google Scholar] [CrossRef] [PubMed]
- Antolini, E.; Gonzales, E.R. Alkaline direct alcohol fuel cells. J. Power Sources 2010, 195, 3431–3450. [Google Scholar] [CrossRef]
- Pech-Rodríguez, W.J.; González-Quijano, D.; Vargas-Gutiérrez, G.; Morais, C.; Napporn, T.W.; Rodríguez-Varela, F.J. Electrochemical and in situ FTIR study of the ethanol oxidation reaction on PtMo/C nanomaterials in alkaline media. Appl. Catal. B-Environ. 2017, 203, 654–662. [Google Scholar] [CrossRef]
- Liang, Z.; Song, L.; Deng, S.; Zhu, Y.; Stavitski, E.; Adzic, R.R.; Chen, J.; Wang, J.X. Direct 12-electron oxidation of ethanol on a ternary Au(core)-PtIr (Shell) electrocatalyst. J. Am. Chem. Soc. 2019, 141, 9629–9636. [Google Scholar] [CrossRef]
- Dutta, A.; Mondal, A.; Broekmann, P.; Datta, J. Optimal level of Au nanoparticles on Pd nanostructures providing remarkable electro-catalysis in direct ethanol fuel cell. J. Power Sources 2017, 361, 276–284. [Google Scholar] [CrossRef]
- Paiva, V.M.; Assis, K.L.D.S.C.; Archanjo, B.S.; Ferreira, D.R.; Senna, C.A.; Ribeiro, E.S.; Achete, C.A.; D’Elia, E. Electrochemical Analysis of Free Glycerol in Biodiesel Using Reduced Graphene Oxide and Gold/Palladium Core-Shell Nanoparticles Modified Glassy Carbon Electrode. Processes 2021, 9, 1389. [Google Scholar] [CrossRef]
- Lovic, J.D.; Elezovic, N.R.; Jovic, B.M.; Zabinski, P.; Gajic-Krstajic, L.j.; Jovic, V.D. Electrodeposited AgPd alloy coatings as efficient catalysts for the ethanol oxidation reaction. Int. J. Hydrogen Energy 2018, 43, 18498–18508. [Google Scholar] [CrossRef]
- Jadali, S.; Kamyabi, M.A.; Solla-Gullón, J.; Herrero, E. Effect of Pd on the electrocatalytic activity of Pt towards oxidation of ethanol in alkaline solutions. Appl. Sci. 2021, 11, 1315. [Google Scholar] [CrossRef]
- Lovic, J.D.; Jovic, V.D. Electrodeposited Pd and PdNi coatings as electrodes for the electrochemical oxidation of ethanol in alkaline media. J. Solid State Electrochem. 2017, 21, 2433–2441. [Google Scholar] [CrossRef]
- Yun, Q.; Lu, Q.; Li, C.; Chen, B.; Zhang, Q.; He, Q.; Hu, Z.; Zhang, Z.; Ge, Y.; Yang, N. Synthesis of PdM (M = Zn, Cd, ZnCd) nanosheets with an unconventional face-centered tetragonal phase as highly efficient electrocatalysts for ethanol oxidation. ACS Nano 2019, 13, 14329–14336. [Google Scholar] [CrossRef] [PubMed]
- Moura Souza, F.; Nandenha, J.; Batista, B.L.; Oliveira, V.H.A.; Pinheiro, V.S.L.; Parreira, S.; Neto, A.O.; Santos, M.C. PdxNby electrocatalysts for DEFC in alkaline medium: Stability, selectivity and mechanism for EOR. Int. J. Hydrogen Energy 2018, 43, 4505–4516. [Google Scholar] [CrossRef]
- Xu, C.; Shen, P.K.; Liu, Y. Ethanol electrooxidation on Pt/C and Pd/C catalysts promoted with oxide. J. Power Sources 2007, 164, 527–531. [Google Scholar] [CrossRef]
- Abdel Hammed, R.M. Facile preparation of Pd-metal oxide/C electrocatalysts and their application in the electrocatalytic oxidation of ethanol. Appl. Surf. Sci. 2017, 411, 91–104. [Google Scholar] [CrossRef]
- Cao, Z.; Liu, X.; Meng, X.; Cai, L.; Chen, J.; Guo, P. Synthesis of bimetallic PdSn nanoparticle assembly as highly efficient electrocatalyst for ethanol oxidation. Colloids Surf. A 2021, 621, 126577. [Google Scholar] [CrossRef]
- Pinheiro, V.S.; Souza, F.M.; Gentil, T.C.; Nascimento, A.N.; Bohnstedt, P.; Parreira, L.S.; Paz, E.C.; Hammer, P.; Sairre, M.I.; Batista, B.L.; et al. Sn-containing electrocatalysts with a reduced amount of palladium for alkaline direct ethanol fuel cell applications. Renew. Energy 2020, 158, 49–63. [Google Scholar] [CrossRef]
- Makin Adam, A.M.; Zhu, A.; Ning, L.; Deng, M.; Zhang, Q.; Liu, Q. Carbon supported PdSn nanocatalysts with enhanced performance for ethanol electrooxidation in alkaline medium. Int. J. Hydrogen Energy 2019, 44, 20368–20378. [Google Scholar] [CrossRef]
- Du, W.; Mackenzie, K.E.; Milano, D.F.; Aaron Deskins, N.; Su, D.; Teng, X. Palladium−Tin Alloyed Catalysts for the Ethanol Oxidation Reaction in an Alkaline Medium. ACS Catal. 2012, 2, 287–297. [Google Scholar] [CrossRef]
- Zhang, Y.; Yi, Q.; · Deng, Z.; Zhou, X.; Nie, H. Excellent electroactivity of ternary Pd–Ag–Sn nanocatalysts for ethanol oxidation. Catal. Lett. 2018, 148, 1190–1201. [Google Scholar] [CrossRef]
- Mao, H.; Wang, L.; Zhu, P.; Xu, Q.; Li, Q. Carbon-supported PdSn-SnO2 catalyst for ethanol electro-oxidation in alkaline media. Int. J. Hydrogen Energy 2014, 39, 17583–17588. [Google Scholar] [CrossRef]
- Ning, L.; Liu, X.; Deng, M.; Huang, Z.; Zhu, A.; Zhang, Q.; Liu, Q. Palladium-based nanocatalysts anchored on CNT with high activity and durability for ethanol electro-oxidation. Electrochim. Acta 2019, 297, 206–214. [Google Scholar] [CrossRef]
- Zhang, B.; Zhang, X.; Yan, J.; Cao, Z.; Pang, M.; Chen, J.; Zang, L.; Guo, P. Synthesis of free-standing alloyed PdSn nanoparticles with enhanced catalytic performance for ethanol electrooxidation. ChemElectroChem 2021, 8, 4509–4514. [Google Scholar] [CrossRef]
- Zhou, M.; Liu, J.; Ling, C.; Ge, Y.; Chen, B.; Tan, C.; Fan, Z.; Huang, J.; Chen, J.; Liu, Z.; et al. Synthesis of Pd3Sn and PdCuSn Nanorods with L12 Phase for Highly Efficient Electrocatalytic Ethanol Oxidation. Adv. Mater. 2022, 34, 2106115. [Google Scholar] [CrossRef]
- You, H.; Gao, F.; Wang, C.; Li, J.; Zhang, K.; Zhang, Y.; Du, Y. Rich grain boundaries endow networked PdSn nanowires with superior catalytic properties for alcohol oxidation. Nanoscale 2021, 13, 17939–17944. [Google Scholar] [CrossRef]
- Song, T.; Gao, F.; Zhang, Y.; Yu, P.; Wang, C.; Shiraishi, Y.; Li, S.; Wang, C.; Guo, J.; Du, Y. Shape-controlled PdSn alloy as superior electrocatalysts for alcohol oxidation reactions. J. Taiwan Inst. Chem. Eng. 2019, 101, 167–176. [Google Scholar] [CrossRef]
- Huang, J.; Ji, L.; Li, X.; Wu, X.; Qian, N.; Li, J.; Yan, Y.; Yang, D.; Zhang, H. Facile synthesis of PdSn alloy octopods through the Stranski–Krastanov growth mechanism as electrocatalysts towards the ethanol oxidation reaction. CrystEngComm 2022, 24, 3230–3238. [Google Scholar] [CrossRef]
- Ho Lee, S.; Jo, Y.-R.; Noh, Y.; Kim, B.-J.; Bae Kim, W. Fabrication of hierarchically branched SnO2 nanowires by two-step deposition method and their applications to electrocatalyst support and Li ion electrode. J. Power Sources 2017, 367, 1–7. [Google Scholar] [CrossRef]
- Liu, S.; Wang, L. Controlled Preparation of Different Proportions of Metal Fe-Mn from Waste Mn Ferrite by Molten Salt Electrolysis. Processes 2020, 8, 1647. [Google Scholar] [CrossRef]
- Qi, Y.; He, C.; Zhang, R.; Wang, W. Analysis of Fe(II)-Ni(II) Electrochemical Reduction Process and Electrodeposition of FeNi Films. Processes 2022, 10, 198. [Google Scholar] [CrossRef]
- Lv, S.; Shang, W.; Chi, Y.; Wang, H.; Chu, X.; Geng, P.; Wang, C.; Yang, J.; Cheng, Z.; Yang, X. Hierarchical Design of Co(OH)2/Ni3S2 Heterostructure on Nickel Foam for Energy Storage. Processes 2022, 10, 1255. [Google Scholar] [CrossRef]
- El Sayed, M.A.; Ibrahim, M.A.M.; Elazab, N.T.; Gassoumi, M. Electrochemical Synthesis of Nanocrystalline CuAg Coatings on Stainless Steel from Cyanide-Free Electrolyte. Processes 2022, 10, 2134. [Google Scholar] [CrossRef]
- Nikolić, N.D.; Lović, J.D.; Maksimović, V.M.; Živković, P.M. Morphology and structure of electrolytically synthesized tin dendritic nanostructures. Metals 2022, 12, 1201. [Google Scholar] [CrossRef]
- Popov, K.I.; Nikolić, N.D. General Theory of Disperse Metal Electrodeposits Formation. In Electrochemical Production of Metal Powders (Ser. Mod. Asp. Electrochem.); Djokić, S.S., Ed.; Springer International Publishing: New York, NY, USA, 2012; pp. 1–62. [Google Scholar]
- Diggle, J.W.; Despic, A.R.; Bockris, J.M. The Mechanism of the Dendritic Electrocrystallization of Zinc. J. Electrochem. Soc. 1969, 116, 1503–1514. [Google Scholar] [CrossRef]
- Popov, K.I.; Djokić, S.S.; Nikolić, N.D.; Jović, V.D. Morphology of Electrochemically and Chemically Deposited Metals; Springer: New York, NY, USA, 2016; pp. 1–368. [Google Scholar] [CrossRef]
- Hasan, M.; Khunsin, W.; Mavrokefalos, C.K.; Maier, S.A.; Rohan, J.F.; Foord, J.S. Facile electrochemical synthesis of Pd nanoparticles with enhanced electrocatalytic properties from surfactant-free electrolyte. ChemElectroChem 2018, 5, 619–629. [Google Scholar] [CrossRef]
- Lee, Y.-W.; Han, S.-B.; Park, K.-W. Electrochemical properties of Pd nanostructures in alkaline solution. Electrochem. Commun. 2009, 11, 1968–1971. [Google Scholar] [CrossRef]
- Liu, X.; Wang, X.; Wu, J.; Zhu, A.; Zhang, Q.; Liu, Q. Synergy effects between Sn and SiO2 on enhancing the anti-poison ability to CO for ethanol electrooxidation. Electrochim. Acta 2019, 302, 145–152. [Google Scholar] [CrossRef]
- Ye, N.; Zhao, P.; Qi, X.; Jiang, Z.; Fang, T. Ethanol electro-oxidation on the PdSn-TaN/C catalyst in alkaline media: Making TaN capable of splitting C-C bond. Appl. Catal. B-Environ. 2022, 314, 121473. [Google Scholar] [CrossRef]
- Gao, K.; Mou, T.; Liu, S.; Johnson, G.; Han, X.; Yan, Z.; Ji, M.; He, Q.; Zhang, S.; Xin, H.; et al. Monodisperse PdSn/SnOx core/shell nanoparticles with superior electrocatalytic ethanol oxidation performance. J. Mater. Chem. A 2020, 8, 20931. [Google Scholar] [CrossRef]
- Prabhuram, J.; Manoharan, R.; Vasan, H.N. Effects of incorporation of Cu and Ag in Pd on electrochemical oxidation of methanol in alkaline solution. J. Appl. Electrochem. 1998, 28, 935–941. [Google Scholar] [CrossRef]
- Ding, L.-X.; Wang, A.-W.; Ou, Y.-N.; Li, Q.; Guo, R.; Zhao, W.-X.; Tong, Y.-X.; Li, G.-R. Hierarchical Pd-Sn alloy nanosheet dendrites: An economical and highly active catalyst for ethanol electrooxidation. Sci. Rep. 2013, 3, 1181. [Google Scholar] [CrossRef]
- da Silva, E.L.; Cuna, A.; Cadorin, M.; Marcuzzo, J.S.; Radtke, C.; Baldan, M.R.; Rodrigues-Siqueli, A.C.; de Fraga Malfatti, C. Influence of the support and SnO2 content on the electrocatalytic properties of PdSn/C electrocatalysts for EOR in alkaline medium. Waste Biomass Valorization 2022, 13, 1705–1716. [Google Scholar] [CrossRef]
- Li, S.; Shu, J.; Ma, S.; Yang, H.; Jin, J.; Zhang, X.; Jin, R. Engineering three-dimensional nitrogen-doped carbon black embed-ding nitrogen-doped graphene anchoring ultrafine surface-clean Pd nanoparticles as efficient ethanol oxidation electrocatalyst. Appl. Catal. B-Environ. 2021, 280, 119464. [Google Scholar] [CrossRef]













Disclaimer/Publisher’s Note: The statements, opinions and data contained in all publications are solely those of the individual author(s) and contributor(s) and not of MDPI and/or the editor(s). MDPI and/or the editor(s) disclaim responsibility for any injury to people or property resulting from any ideas, methods, instructions or products referred to in the content. |
© 2023 by the authors. Licensee MDPI, Basel, Switzerland. This article is an open access article distributed under the terms and conditions of the Creative Commons Attribution (CC BY) license (https://creativecommons.org/licenses/by/4.0/).
Share and Cite
Lović, J.D.; Eraković Pantović, S.; Rakočević, L.Z.; Ignjatović, N.L.; Dimitrijević, S.B.; Nikolić, N.D. A Novel Two-Step Electrochemical Deposition Method for Sn-Pd Electrocatalyst Synthesis for a Potential Application in Direct Ethanol Fuel Cells. Processes 2023, 11, 120. https://doi.org/10.3390/pr11010120
Lović JD, Eraković Pantović S, Rakočević LZ, Ignjatović NL, Dimitrijević SB, Nikolić ND. A Novel Two-Step Electrochemical Deposition Method for Sn-Pd Electrocatalyst Synthesis for a Potential Application in Direct Ethanol Fuel Cells. Processes. 2023; 11(1):120. https://doi.org/10.3390/pr11010120
Chicago/Turabian StyleLović, Jelena D., Sanja Eraković Pantović, Lazar Z. Rakočević, Nenad L. Ignjatović, Silvana B. Dimitrijević, and Nebojša D. Nikolić. 2023. "A Novel Two-Step Electrochemical Deposition Method for Sn-Pd Electrocatalyst Synthesis for a Potential Application in Direct Ethanol Fuel Cells" Processes 11, no. 1: 120. https://doi.org/10.3390/pr11010120
APA StyleLović, J. D., Eraković Pantović, S., Rakočević, L. Z., Ignjatović, N. L., Dimitrijević, S. B., & Nikolić, N. D. (2023). A Novel Two-Step Electrochemical Deposition Method for Sn-Pd Electrocatalyst Synthesis for a Potential Application in Direct Ethanol Fuel Cells. Processes, 11(1), 120. https://doi.org/10.3390/pr11010120

