Research on Discrete Artificial Bee Colony Cache Strategy of UAV Edge Network
Abstract
:1. Introduction
- (1)
- An IDDMU is established. Based on this model, the content dissemination process in UEN is analyzed, and the influence of channel capacity on content dissemination results is discussed. Considering the heterogeneity of the dynamic equation, the iterative equation of the state transition is analyzed based on a single user perspective.
- (2)
- (3)
- A discrete artificial bee colony cache strategy of UEN is proposed. To predict the popularity of the cache content, the strategy obtains the state distribution of UEN users regarding the cache content that is acquired from the user-state iteration matrix of IDDMU. Then, the optimal cache strategy of UAVs is obtained by the DABCC optimization algorithm.
2. System Model
2.1. UAV Edge Network
2.2. Information Dissemination Dynamics Model of UEN
3. Discrete Artificial Bee Colony Cache Strategy of UEN
3.1. Content Cache
- (1)
- and , retains the content .
- (2)
- and , caches the content from the cloud database.
- (3)
- and , deletes the content .
- (4)
- and , does not process the content .
3.2. Cache Optimization Problem
3.3. Cache Strategy Optimization
| Algorithm 1 DABCC |
| Initialization: at initial time , obtain
of each user; obtain and of each content in the initial content set . Calculate according to the channel conditions between and ; Set , , , and . Generate initial honey source ~ by Equation (28). repeat: if Predict the popularity of content according to Equations (17)–(19). Detect , , and ; if or or or Update relevant parameters. end if add to . end Obtain of each content by Equation (30). end Match the leader bees and follower bees randomly. for i = 1: for j = 1: Leader bee moves according to . The follower bee explores the near honey source by Equations (29) and (31). Update the roles of leader bee and follower bee and the best honey source. Record the iterations where the profitability has not improved. if Transform the leader bee and its follower bee into scouter bees for movement. end end Update the best profitability and its honey source coordinate . end Output the cache strategy ; ; until cache task finished. |
4. Results and Discussion
4.1. Content Popularity Prediction by DABCCSU
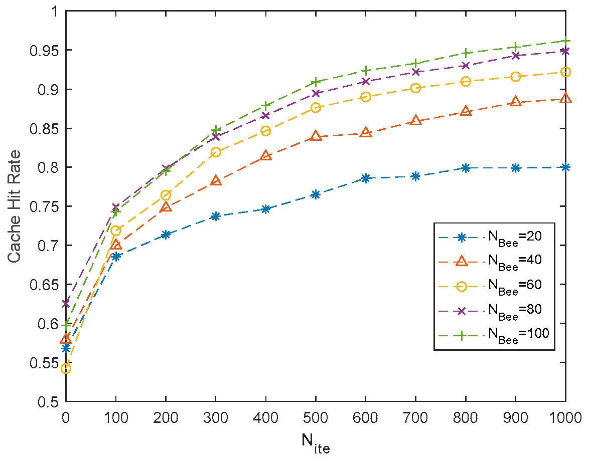
4.2. DABCC Optimization Algorithm
- (1)
- Least Recently Used (LRU) Algorithm [32]: Its core idea is that if a content has recent high-frequency requests, it also has a greater probability of being requested currently. When the cache capacity is insufficient, content with a low historical request frequency is preferentially discarded.
- (2)
- Greedy Algorithm (GA): The principle of the GA is to preferentially cache the content with largest until the cache capacity or channel load reaches the upper limit.
- (3)
- Binary Particle Swarm Optimization Algorithm (BPSO): BPSO is derived from the particle swarm optimization algorithm, and the value range of its particles is only 0 or1. The number of iterations of the BPSO algorithm in this paper is set to 500 and the number of particles is set to 100. Other parameters are the same as DABCC.
5. Conclusions
Author Contributions
Funding
Institutional Review Board Statement
Informed Consent Statement
Data Availability Statement
Acknowledgments
Conflicts of Interest
References
- Fu, Y.; Yu, Q.; Wong, A.K.Y.; Shi, Z.; Wang, H.; Quek, T.Q.S. Exploiting Coding and Recommendation to Improve Cache Efficiency of Reliability-Aware Wireless Edge Caching Networks. IEEE Trans. Wirel. Commun. 2021, 20, 7243–7256. [Google Scholar] [CrossRef]
- Qiao, G.; Leng, S.; Maharjan, S.; Zhang, Y.; Ansari, N. Deep Reinforcement Learning for Cooperative Content Caching in Vehicular Edge Computing and Networks. IEEE Internet Things J. 2020, 7, 247–257. [Google Scholar] [CrossRef]
- Zhu, X.; Jiang, C.; Kuang, L.; Zhao, Z. Cooperative Multilayer Edge Caching in Integrated Satellite-Terrestrial Networks. IEEE Trans. Wirel. Commun. 2022, 21, 2924–2937. [Google Scholar] [CrossRef]
- Han, Y.; Ai, L.; Wang, R.; Wu, J.; Liu, D.; Ren, H. Cache Placement Optimization in Mobile Edge Computing Networks With Unaware Environment—An Extended Multi-Armed Bandit Approach. IEEE Trans. Wirel. Commun. 2021, 20, 8119–8133. [Google Scholar] [CrossRef]
- Kwak, J.; Kim, Y.; Le, L.B.; Chong, S. Hybrid Content Caching in 5G Wireless Networks: Cloud Versus Edge Caching. IEEE Trans. Wirel. Commun. 2018, 17, 3030–3045. [Google Scholar] [CrossRef]
- Sun, L.; Zhong, Z.; Qu, Z.; Xiong, N. PerAE: An Effective Personalized AutoEncoder for ECG-Based Biometric in Augmented Reality System. IEEE J. Biomed. Health Inform. 2022, 26, 2435–2446. [Google Scholar] [CrossRef] [PubMed]
- Chen, S.; Yao, Z.; Jiang, X.; Yang, J.; Hanzo, L. Multi-Agent Deep Reinforcement Learning-Based Cooperative Edge Caching for Ultra-Dense Next-Generation Networks. IEEE Trans. Commun. 2021, 69, 2441–2456. [Google Scholar] [CrossRef]
- Ji, J.; Zhu, K.; Niyato, D.; Wang, R. Probabilistic Cache Placement in UAV-Assisted Networks with D2D Connections: Performance Analysis and Trajectory Optimization. IEEE Trans. Commun. 2020, 68, 6331–6345. [Google Scholar] [CrossRef]
- Zhang, M.; I-Hajjar, M.E.; Ng, S.X. Intelligent Caching in UAV-Aided Networks. IEEE Trans. Veh. Technol. 2022, 71, 739–752. [Google Scholar] [CrossRef]
- Chai, S.; Lau, V.K.N. Multi-UAV Trajectory and Power Optimization for Cached UAV Wireless Networks with Energy and Content Recharging-Demand Driven Deep Learning Approach. IEEE J. Sel. Areas Commun. 2021, 39, 3208–3224. [Google Scholar] [CrossRef]
- Luo, J.; Song, J.; Zheng, F.-C.; Gao, L.; Wang, T. User-Centric UAV Deployment and Content Placement in Cache-Enabled Multi-UAV Networks. IEEE Trans. Veh. Technol. 2022, 71, 5656–5660. [Google Scholar] [CrossRef]
- Bharath, B.N.; Nagananda, K.G.; Gündüz, D.; Poor, H.V. Caching With Time-Varying Popularity Profiles: A Learning-Theoretic Perspective. IEEE Trans. Commun. 2018, 66, 3837–3847. [Google Scholar] [CrossRef]
- Gao, J.; Zhang, S.; Zhao, L.; Shen, X. The Design of Dynamic Probabilistic Caching with Time-Varying Content Popularity. IEEE Trans. Mob. Comput. 2021, 20, 1672–1684. [Google Scholar] [CrossRef]
- Sadeghi, A.; Sheikholeslami, F.; Giannakis, G.B. Optimal and Scalable Caching for 5G Using Reinforcement Learning of Space-Time Popularities. IEEE J. Sel. Top. Signal Process. 2018, 12, 180–190. [Google Scholar] [CrossRef]
- Mehrizi, S.; Chatterjee, S.; Chatzinotas, S.; Ottersten, B. Online Spatiotemporal Popularity Learning via Variational Bayes for Cooperative Caching. IEEE Trans. Commun. 2020, 68, 7068–7082. [Google Scholar] [CrossRef]
- Kong, Q.; Mao, W.; Chen, G.; Zeng, D. Exploring Trends and Patterns of Popularity Stage Evolution in Social Media. IEEE Trans. Syst. Man Cybern. Syst. 2020, 50, 3817–3827. [Google Scholar] [CrossRef]
- Abousaleh, F.S.; Cheng, W.-H.; Yu, N.-H.; Tsao, Y. Multimodal Deep Learning Framework for Image Popularity Prediction on Social Media. IEEE Trans. Cogn. Dev. Syst. 2021, 13, 679–692. [Google Scholar] [CrossRef]
- Li, G.; Liu, Y.; Ribeiro, B.; Ding, H. On New Group Popularity Prediction in Event-Based Social Networks. IEEE Trans. Netw. Sci. Eng. 2020, 7, 1239–1250. [Google Scholar] [CrossRef]
- Yan, S.; Qi, L.; Zhou, Y.; Peng, M.; Rahman, G.M.S. Joint User Access Mode Selection and Content Popularity Prediction in Non-Orthogonal Multiple Access-Based F-RANs. IEEE Trans. Commun. 2020, 68, 654–666. [Google Scholar] [CrossRef]
- Gao, X.; Zheng, Z.; Chu, Q.; Tang, S.; Chen, G.; Deng, Q. Popularity Prediction for Single Tweet Based on Heterogeneous Bass Model. IEEE Trans. Knowl. Data Eng. 2021, 33, 2165–2178. [Google Scholar] [CrossRef]
- Zhang, Y.; Tan, X.; Li, W. PPC: Popularity Prediction Caching in ICN. IEEE Commun. Lett. 2018, 22, 5–8. [Google Scholar] [CrossRef]
- Gao, S.; Dong, P.; Pan, Z.; Li, G.Y. Reinforcement Learning Based Cooperative Coded Caching Under Dynamic Popularities in Ultra-Dense Networks. IEEE Trans. Veh. Technol. 2020, 69, 5442–5456. [Google Scholar] [CrossRef]
- Ji, Z.; Wu, S.; Jiang, C.; Wang, W. Popularity-Driven Content Placement and Multi-Hop Delivery for Terrestrial-Satellite Networks. IEEE Commun. Lett. 2020, 24, 2574–2578. [Google Scholar] [CrossRef]
- Liang, J.; Zhu, D.; Liu, H.; Ping, H.; Li, T.; Zhang, H.; Geng, L.; Liu, Y. Multi-Head Attention Based Popularity Prediction Caching in Social Content-Centric Networking with Mobile Edge Computing. IEEE Commun. Lett. 2021, 25, 508–512. [Google Scholar] [CrossRef]
- Chen, Q.; Wang, W.; Yu, F.R.; Tao, M.; Zhang, Z. Content Caching Oriented Popularity Prediction: A Weighted Clustering Approach. IEEE Trans. Wirel. Commun. 2021, 20, 623–636. [Google Scholar] [CrossRef]
- Chen, B.; Liu, L.; Sun, M.; Ma, H. IoTCache: Toward Data-Driven Network Caching for Internet of Things. IEEE Internet Things J. 2019, 6, 10064–10076. [Google Scholar] [CrossRef]
- Kang, H.; Sun, M.; Yu, Y.; Fu, X.; Bao, B. Spreading Dynamics of an SEIR Model with Delay on Scale-Free Networks. IEEE Trans. Netw. Sci. Eng. 2020, 7, 489–496. [Google Scholar]
- Sun, L.; Wang, Y.; Qu, Z.; Xiong, N.N. BeatClass: A Sustainable ECG Classification System in IoT-Based eHealth. IEEE Internet Things J. 2022, 9, 7178–7195. [Google Scholar] [CrossRef]
- Guizani, N.; Ghafoor, A. A Network Function Virtualization System for Detecting Malware in Large IoT Based Networks. IEEE J. Sel. Areas Commun. 2020, 38, 1218–1228. [Google Scholar] [CrossRef]
- Karaboga, D. An idea based on Honeybee Swarm for Numerical Optimization. Tech. Rep.-TR06 2005, 200, 1–10. [Google Scholar]
- Yu, Y.; Zheng, J.; Chen, S.; Yang, Z. Moving Target Imaging via Computational Ghost Imaging Combined With Artificial Bee Colony Optimization. IEEE Trans. Instrum. Meas. 2022, 71, 1–7. [Google Scholar] [CrossRef]
- Kurniawan, F.S.; Yovita, L.V.; Wibowo, T.A. Modified-LRU Algorithm for Caching on Named Data Network. In Proceedings of the 2019 International Conference on Electrical Engineering and Informatics (ICEEI), Bandung, Indonesia, 9–10 July 2019. [Google Scholar]







| Parameter | Value |
|---|---|
| K | 1000 |
| Rand (0, 1) | |
| 0.5 | |
| 1 km | |
| 2 | |
| 1 Gbits | |
| 1 × 1012 | |
| Q | 1 |
| 100 | |
| 500 | |
| 10 |
Publisher’s Note: MDPI stays neutral with regard to jurisdictional claims in published maps and institutional affiliations. |
© 2022 by the authors. Licensee MDPI, Basel, Switzerland. This article is an open access article distributed under the terms and conditions of the Creative Commons Attribution (CC BY) license (https://creativecommons.org/licenses/by/4.0/).
Share and Cite
Hong, Y.; Zhang, Y.; Fan, S. Research on Discrete Artificial Bee Colony Cache Strategy of UAV Edge Network. Processes 2022, 10, 1838. https://doi.org/10.3390/pr10091838
Hong Y, Zhang Y, Fan S. Research on Discrete Artificial Bee Colony Cache Strategy of UAV Edge Network. Processes. 2022; 10(9):1838. https://doi.org/10.3390/pr10091838
Chicago/Turabian StyleHong, Yang, Yuexia Zhang, and Shaoshuai Fan. 2022. "Research on Discrete Artificial Bee Colony Cache Strategy of UAV Edge Network" Processes 10, no. 9: 1838. https://doi.org/10.3390/pr10091838
APA StyleHong, Y., Zhang, Y., & Fan, S. (2022). Research on Discrete Artificial Bee Colony Cache Strategy of UAV Edge Network. Processes, 10(9), 1838. https://doi.org/10.3390/pr10091838

