Adaptive Energy Management Strategy Based on Intelligent Prediction of Driving Cycle for Plug−In Hybrid Electric Vehicle
Abstract
:1. Introduction
2. PHEV Vehicle Modeling
2.1. Vehicle Architecture and Component Parameters
2.2. Model of Vehicle Dynamics and Key Components
2.2.1. Vehicle Dynamics Model
2.2.2. Engine Model
2.2.3. Motor Model
2.2.4. Battery Model
2.2.5. Transmission Model
3. Energy Management Optimization Problem
4. Driving Cycle Prediction
4.1. Principle of Neural Network Cycle Prediction
4.2. Establishment of Comprehensive Driving Cycle
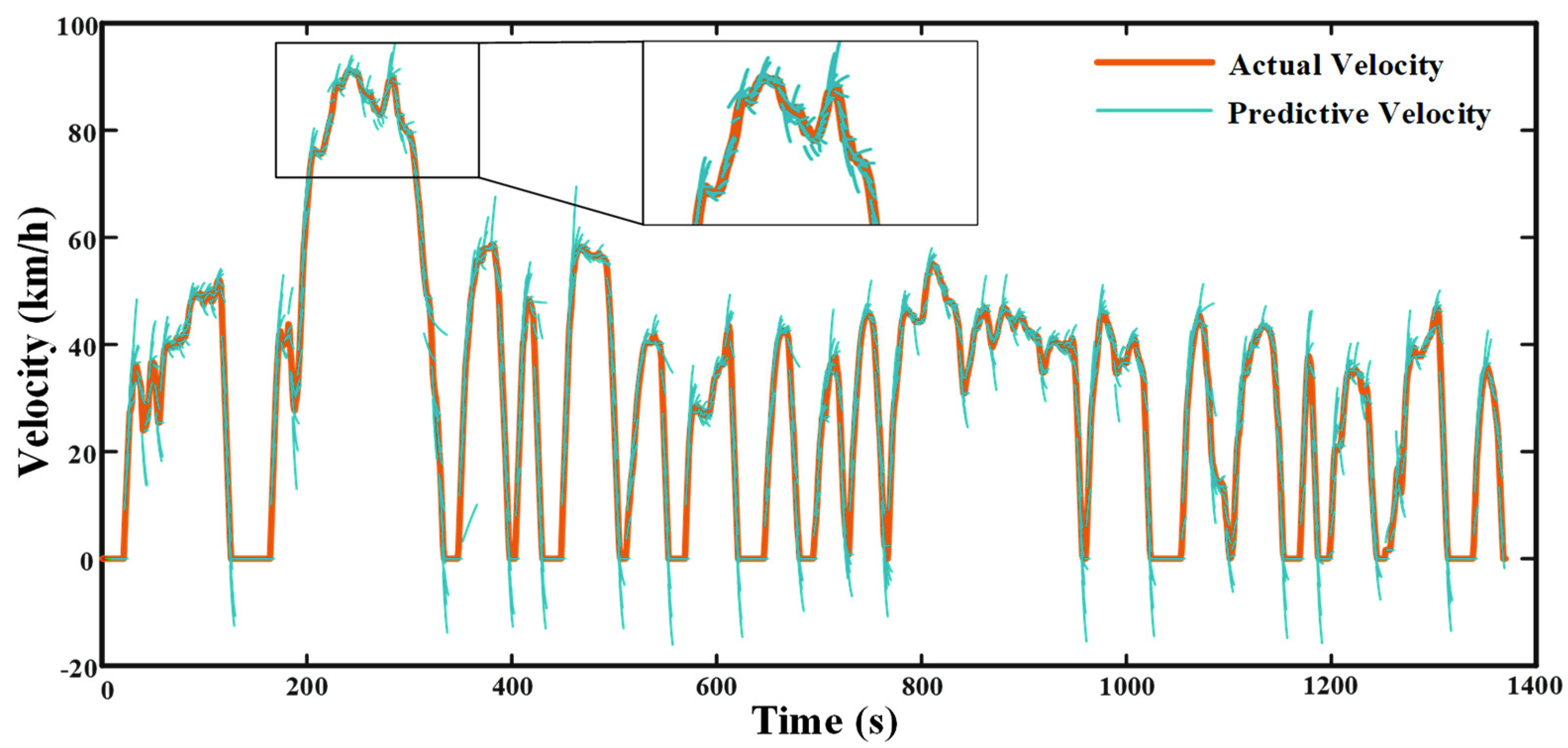
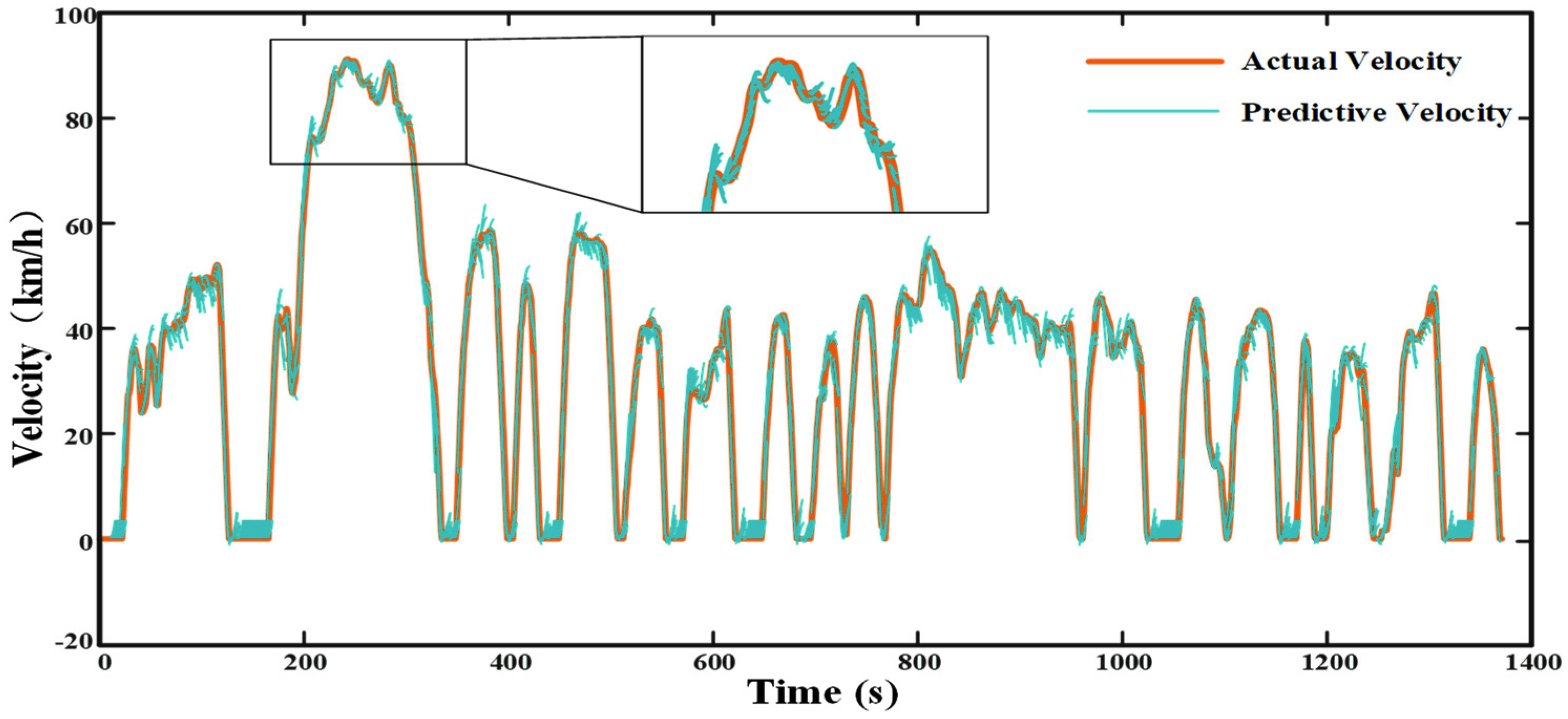
4.3. Driving Cycle Prediction Based on PSO−BP Neural Network
5. A−ECMS Energy Management Strategy Based on Driving Cycle Prediction
5.1. Adaptive Equivalent Fuel Consumption Minimization Strategy Framework
5.2. Approximate ECMS Algorithm
- (1)
- Low−speed pure electric driving mode. The switching condition of low−velocity pure electric drive mode is that the vehicle demand torque is less than the maximum torque of the motor, the SOC of the battery is greater than the set minimum SOC limit, and the engine running time is greater than 5 s. In the low−velocity pure electric drive mode, the engine does not work, the value of is set to 0, and the motor torque is greater than zero, providing the driving demand torque of the vehicle.
- (2)
- Engine driving mode. The switching limit of the engine driving mode is that the SOC of the power battery is less than the set minimum value, the vehicle demand torque is greater than the maximum driving torque of the motor, the vehicle demand torque is less than the maximum engine torque, and the running time is less than 5 s. If one of the above conditions is satisfied, the mode can be switched. In the engine driving mode, when the motor does not work, the instantaneous equivalent fuel consumption is the instantaneous fuel consumption of the engine.
- (3)
- Charging driving mode. The switching limit of the driving mode is that the battery SOC is less than or equal to the set minimum SOC limit or the vehicle demand torque is less than the optimal torque of the engine to ensure that the engine can output power for battery charging. Under the charging driving mode, the engine works in the optimal region, i.e., the engine torque is equal to the economically optimal torque in the universal characteristic diagram. At this time, the motor torque and battery power are both negative, and the motor torque value is equal to the difference between the vehicle demand torque and the optimal engine torque.
- (4)
- Combined driving mode. The switching limit of the combined driving mode is that the SOC of the power battery is greater than the minimum SOC limit, and the torque provided by the engine cannot meet the torque demand of the vehicle. At this time, the motor is required to be driven by the combined engine. In the combined driving mode, the engine is still working on the economic optimal curve. The output torque of the motor is the difference between the vehicle demand torque and the optimal torque of the engine. Unlike the charging driving mode, the motor torque and battery power are positive.
5.3. Reference SOC
6. Simulation Results and Analysis
7. Summary
Author Contributions
Funding
Institutional Review Board Statement
Informed Consent Statement
Data Availability Statement
Acknowledgments
Conflicts of Interest
References
- Taherzadeh, E.; Radmanesh, H.; Mehrizi−Sani, A. A Comprehensive Study of the Parameters Impacting the Fuel Economy of Plug−In Hybrid Electric Vehicles. IEEE Trans. Intell. Veh. 2020, 5, 596–615. [Google Scholar] [CrossRef]
- Liu, K.; Guo, J.; Chu, L.; Yu, Y. Research on Adaptive Optimal Control Strategy of Parallel Plug−In Hybrid Electric Vehicle Based on Route Information. Int. J. Automot. Technol. 2021, 22, 1097–1108. [Google Scholar] [CrossRef]
- Tian, G.; Yuan, G.; Aleksandrov, A. Recycling of spent Lithium−ion Batteries: A comprehensive review for identification of main challenges and future research trends. Sustain. Energy Technol. Assess. 2022, 53, 102447. [Google Scholar] [CrossRef]
- Zhao, B.; Liu, R.; Shi, D. Optimal Control Strategy of Path Tracking and Braking Energy Recovery for New Energy Vehicles. Processes 2022, 10, 1292. [Google Scholar] [CrossRef]
- Han, W.; Chu, X.; Shi, S.; Zhao, L.; Zhao, Z. Practical Application−Oriented Energy Management for a Plug−In Hybrid Electric Bus Using a Dynamic SOC Design Zone Plan Method. Processes 2022, 10, 1080. [Google Scholar] [CrossRef]
- Liu, Y.; Li, J.; Gao, J. Prediction of vehicle driving conditions with incorporation of stochastic forecasting and machine learning and a case study in energy management of plug−in hybrid electric vehicles. Mech. Syst. Signal Process. 2021, 158, 107765. [Google Scholar] [CrossRef]
- Hao, J.; Yu, Z.; Zhao, Z. Optimization of key parameters of energy management strategy for hybrid electric vehicle using direct algorithm. Energies 2016, 9, 997. [Google Scholar] [CrossRef]
- Liu, L.; Zhang, B.; Liang, H. Global Optimal Control Strategy of PHEV Based on Dynamic Programming. In Proceedings of the 2019 6th International Conference on Information Science and Control Engineering (ICISCE), Shanghai, China, 20–22 December 2019; pp. 758–762. [Google Scholar]
- Chen, Z.; Liu, Y.; Zhang, Y.; Lei, Z.; Chen, Z.; Li, G. A neural network−based ECMS for optimized energy management of plug−in hybrid electric vehicles. Energy 2022, 243, 122727. [Google Scholar] [CrossRef]
- Liu, C.; Liu, Y. Energy Management Strategy for Plug−In Hybrid Electric Vehicles Based on Driving Condition Recognition: A Review. Electronics 2022, 11, 342. [Google Scholar] [CrossRef]
- Yang, C.; Zha, M.; Wang, W.; Liu, K.; Xiang, C. Efficient energy management strategy for hybrid electric vehicles/plug−in hybrid electric vehicles: Review and recent advances under intelligent transportation system. IET Intell. Transp. Syst. 2020, 14, 702–711. [Google Scholar] [CrossRef]
- Liu, J.; Chen, Y.; Zhan, J.; Shang, F. An on−line energy management strategy based on trip condition prediction for commuter plug−in hybrid electric vehicles. IEEE Trans. Veh. Technol. 2018, 67, 3767–3781. [Google Scholar] [CrossRef]
- Li, S.; Hu, M.; Gong, C.; Zhan, S.; Qin, D. Energy management strategy for hybrid electric vehicle based on driving condition identification using KGA−means. Energies 2018, 11, 1531. [Google Scholar] [CrossRef]
- Kazemi, H.; Fallah, Y.P.; Nix, A.; Wayne, S. Predictive AECMS by Utilization of Intelligent Transportation Systems for Hybrid Electric Vehicle Powertrain Control. IEEE Trans. Intell. Veh. 2017, 2, 75–84. [Google Scholar] [CrossRef]
- Ali, A.M.; Ghanbar, A.; Söffker, D. An online rolling optimal control strategy for commuter hybrid electric vehicles based on driving condition learning and prediction. IEEE Trans. Veh. Technol. 2015, 65, 4312–4327. [Google Scholar]
- Liu, T.; Tan, W.; Tang, X.; Zhang, J.; Xing, Y.; Cao, D. Driving conditions−driven energy management strategies for hybrid electric vehicles: A review. Renew. Sustain. Energy Rev. 2021, 151, 111521. [Google Scholar] [CrossRef]
- Shen, P.; Zhao, Z.; Zhan, X.; Li, J.; Guo, Q. Optimal energy management strategy for a plug−in hybrid electric commercial vehicle based on velocity prediction. Energy 2018, 155, 838–852. [Google Scholar] [CrossRef]
- Tian, G.; Fathollahi−Fard, A.M.; Ren, Y. Multi−objective scheduling of priority−based rescue vehicles to extinguish forest fires using a multi−objective discrete gravitational search algorithm. Inf. Sci. 2022, 608, 578–596. [Google Scholar] [CrossRef]
- Tian, G.; Chu, J.; Liu, Y. Expected energy analysis for industrial process planning problem with fuzzy time parameters. Comput. Chem. Eng. 2011, 35, 2905–2912. [Google Scholar] [CrossRef]
- Guo, H.; Du, S.; Zhao, F.; Cui, Q.; Ren, W. Intelligent Energy Management for Plug−in Hybrid Electric Bus with Limited State Space. Processes 2019, 7, 672. [Google Scholar] [CrossRef]
- Shi, D.; Liu, K.; Wang, Y.; Liu, R.; Li, S.; Sun, Y. Adaptive energy control strategy of PHEV based on the Pontryagin’s minimum principle algorithm. Adv. Mech. Eng. 2021, 13, 16878140211035598. [Google Scholar] [CrossRef]
- Zhang, L.; Liu, W.; Qi, B.N. Energy optimization of multi−mode coupling drive plug−in hybrid electric vehicles based on speed prediction. Energy 2020, 206, 118126. [Google Scholar] [CrossRef]
- Zhou, Y.; Ravey, A.; Péra, M.C. A survey on driving prediction techniques for predictive energy management of plug−in hybrid electric vehicles. J. Power Sources 2019, 412, 480–495. [Google Scholar] [CrossRef]
- Ke, H.; Liu, H.; Tian, G. An Uncertain Random Programming Model for Project Scheduling Problem. Int. J. Intell. Syst. 2015, 30, 66–79. [Google Scholar] [CrossRef]
- Tian, G.; Liu, Y.; Chu, J. Energy evaluation method and its optimization models for process planning with stochastic characteristics: A case study in disassembly decision−making. Comput. Ind. Eng. 2012, 63, 553–563. [Google Scholar] [CrossRef]
- Sun, C.; Hu, X.; Moura, S.J.; Sun, F. Velocity predictors for predictive energy management in hybrid electric vehicles. IEEE Trans. Control Syst. Technol. 2014, 23, 1197–1204. [Google Scholar]
- Zhang, Q.; Fu, X. A neural network fuzzy energy management strategy for hybrid electric vehicles based on driving cycle recognition. Appl. Sci. 2020, 10, 696. [Google Scholar] [CrossRef]
- Wang, N.; Zhu, X.; Zhang, J. License plate segmentation and recognition of Chinese vehicle based on BPNN. In Proceedings of the 2016 12th International Conference on Computational Intelligence and Security (CIS), Wuxi, China, 16–19 December 2016; pp. 403–406. [Google Scholar]
- Ren, T.; Liu, S.; Yan, G.; Mu, H. Temperature prediction of the molten salt collector tube using BP neural network. IET Renew. Power Gener. 2016, 100, 212–220. [Google Scholar] [CrossRef]
- Fathollahi−Fard, A.M.; Hajiaghaei−Keshteli, M.; Tavakkoli−Moghaddam, R. Red deer algorithm (RDA): A new nature−inspired meta−heuristic. Soft Comput. 2020, 24, 14637–14665. [Google Scholar] [CrossRef]
- Gharehchopogh, F.S.; Gholizadeh, H. A comprehensive survey: Whale Optimization Algorithm and its applications. Swarm Evol. Comput. 2019, 48, 1–24. [Google Scholar] [CrossRef]
- Ye, Y.; Yin, C.B.; Gong, Y.; Zhou, J.J. Position control of nonlinear hydraulic system using an improved PSO based PID controller. Mech. Syst. Signal Process. 2017, 83, 241–259. [Google Scholar] [CrossRef]
- Islam, M.R.; Ali, S.M.; Fathollahi−Fard, A.M.; Kabir, G. A novel particle swarm optimization−based grey model for the prediction of warehouse performance. J. Comput. Des. Eng. 2021, 8, 705–727. [Google Scholar] [CrossRef]
- Chen, H.Z.; Wang, X.D.; Cong, Y.P.; Yin, B. PSO−BP Neural Network for State−of−charge Estimation in a New Lithium Battery. In Software Engineering and Information Technology, Proceedings of the 2015 International Conference on Software Engineering and Information Technology (SEIT2015), Guilin, China, 26–28 June 2016; World Scientific: Singapore, 2016; pp. 310–316. [Google Scholar]
- Lin, X.; Wang, Z.; Wu, J. Energy management strategy based on velocity prediction using back propagation neural network for a plug-in fuel cell electric vehicle. Int. J. Energy Res. 2021, 45, 2629–2643. [Google Scholar] [CrossRef]
- Deng, Y.; Xiao, H.; Xu, J.; Wang, H. Prediction model of PSO−BP neural network on coliform amount in special food. Saudi J Biol Sci. 2019, 26, 1154–1160. [Google Scholar] [CrossRef] [PubMed]
- Li, J.; Liu, Y.; Qin, D.; Li, G.; Chen, Z. Research on equivalent factor boundary of equivalent consumption minimization strategy for PHEVs. IEEE Trans. Veh. Technol. 2020, 69, 6011–6024. [Google Scholar] [CrossRef]
- Deng, T.; Tang, P.; Luo, J.L. A novel real-time energy management strategy for plug-in hybrid electric vehicles based on equivalence factor dynamic optimization method. Int. J. Energy Res. 2021, 45, 626–641. [Google Scholar] [CrossRef]
- Zhou, M.; Zhong, C.; Li, J. Analysis of fuel consumption of China light duty vehicle test cycle for passenger car (CLTC−P). EDP Sci. 2021, 268, 01029. [Google Scholar] [CrossRef]




















| Parts | Parameter | Value |
|---|---|---|
| Engine | Maximum torque (N·m) | 170 |
| Maximum power (kW) | 83 | |
| Motor | Maximum torque (N·m) | 140 |
| Maximum power (kW) | 30 | |
| Battery | Capacity (A·h) | 35 |
| Rated voltage (V) | 300 | |
| Gear box | Speed ratio | 3.84/2.43/1.71/1.27/1/0.82/0.69 |
| Final condenser gear | Speed ratio | 3.94 |
| Classification | Driving Cycles |
|---|---|
| Congestion condition | CBDTRUCK, MANHATTAN, NYCC |
| Urban traffic condition | JPN1015, ARTERIAL, NurembergR36, WVUCITY, WVUSUB |
| High−speed condition | FTP, UDDS, COMMUTER, SC03, NYCCOMP, HWFET, LA92, WVUINTER |
| Ultrahigh−speed condition | ARB02, ECE_EUDC, HL07, NEDC, US06 |
| Prediction Duration | 3 s | 5 s | 7 s | 9 s |
|---|---|---|---|---|
| RMSE | 0.9201 | 1.4437 | 2.5373 | 3.7103 |
| Strategy | CD−CS | ECMS | A−ECMS |
|---|---|---|---|
| Fuel consumption (L/100 km) | 3.412 | 3.248 | 3.076 |
Publisher’s Note: MDPI stays neutral with regard to jurisdictional claims in published maps and institutional affiliations. |
© 2022 by the authors. Licensee MDPI, Basel, Switzerland. This article is an open access article distributed under the terms and conditions of the Creative Commons Attribution (CC BY) license (https://creativecommons.org/licenses/by/4.0/).
Share and Cite
Shi, D.; Li, S.; Liu, K.; Wang, Y.; Liu, R.; Guo, J. Adaptive Energy Management Strategy Based on Intelligent Prediction of Driving Cycle for Plug−In Hybrid Electric Vehicle. Processes 2022, 10, 1831. https://doi.org/10.3390/pr10091831
Shi D, Li S, Liu K, Wang Y, Liu R, Guo J. Adaptive Energy Management Strategy Based on Intelligent Prediction of Driving Cycle for Plug−In Hybrid Electric Vehicle. Processes. 2022; 10(9):1831. https://doi.org/10.3390/pr10091831
Chicago/Turabian StyleShi, Dapai, Shipeng Li, Kangjie Liu, Yun Wang, Ruijun Liu, and Junjie Guo. 2022. "Adaptive Energy Management Strategy Based on Intelligent Prediction of Driving Cycle for Plug−In Hybrid Electric Vehicle" Processes 10, no. 9: 1831. https://doi.org/10.3390/pr10091831
APA StyleShi, D., Li, S., Liu, K., Wang, Y., Liu, R., & Guo, J. (2022). Adaptive Energy Management Strategy Based on Intelligent Prediction of Driving Cycle for Plug−In Hybrid Electric Vehicle. Processes, 10(9), 1831. https://doi.org/10.3390/pr10091831
