Mechanical Strength, Water Seepage and Microstructure of a Novel Landfill Solidified Sludge Liner Material
Abstract
:1. Introduction
2. Materials and Test Methods
2.1. Materials
2.1.1. Raw Materials
2.1.2. Samples Molding
2.2. Methods
2.2.1. Uniaxial Compressive Strength and Shear Strength Tests
2.2.2. Permeation Test
2.2.3. Dry-Wet Cycle Test
2.2.4. Toxicity Leach Test
2.2.5. Micromechanic Test
3. Results and Discussions
3.1. Uniaxial Compressive Strength and Shear Strength
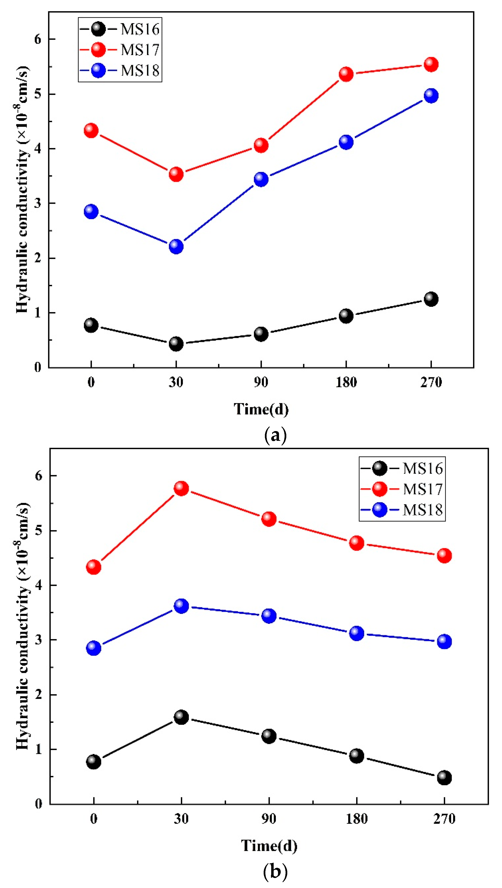
3.2. Hydraulic Conductivity
3.3. Service Characteristics during Dry–Wet Cycle
3.4. Leaching Toxicity Element Analysis
3.5. Micromechanics
4. Conclusions
Author Contributions
Funding
Institutional Review Board Statement
Informed Consent Statement
Data Availability Statement
Conflicts of Interest
References
- Xie, K.; Yin, J.; Chen, X. Research progress on sludge treatment technology of urban sewage treatment project in China. Ind. Water Treat. 2020, 40, 18–23. [Google Scholar]
- Fu, K.M.; Liao, M.H.; Wang, J.; Yang, Z.M.; Li, H.; Qiu, F.G. Present situation on low concentration domestic waster ater in villages and towns and its treatment technology analysis. Environ. Eng. 2019, 37, 5. [Google Scholar]
- Qin, G.W. Brief Introduction and Processing Technologies of Landfill Leachate. Guangdong Chem. Ind. 2018, 45, 2. [Google Scholar]
- Wang, L.; Yan, D.; Xiong, Y.; Zhou, L. A review of the challenges and application of public-private partnership model in Chinese garbage disposal industry. J. Clean. Prod. 2019, 230, 219–229. [Google Scholar] [CrossRef]
- McGrath, S.P.; Chaudri, A.M.; Giller, K.E. Long-term effects of metals in sewage sludge on soils, microorganisms and plants. J. Ind. Microbiol. 1995, 14, 94–104. [Google Scholar] [CrossRef] [PubMed]
- Rezapour, S.; Samadi, A.; Kalavrouziotis, I.K.; Ghaemian, N. Impact of the uncontrolled leakage of leachate from a municipal solid waste landfill on soil in a cultivated-calcareous environment. Waste Manag. 2018, 82, 51–61. [Google Scholar] [CrossRef]
- Szymański, K.; Janowska, B.; Iżewska, A.; Sidełko, R.; Siebielska, I. Method of evaluating the impact of landfill leachate on groundwater quality. Environ. Monit. Assess. 2018, 190, 415. [Google Scholar] [CrossRef]
- Klein, R.; Baumann, T.; Kahapka, E.; Niessner, R. Temperature development in a modern municipal solid waste incineration (MSWI) bottom ash landfill with regard to sustainable waste management. J. Hazard. Mater. 2001, 83, 265–280. [Google Scholar] [CrossRef]
- Kiser, B. Getting the circulation going. Nature 2016, 531, 443–445. [Google Scholar]
- Xue, Q.; Chen, Y.-J.; Liu, L. Erosion characteristics of ecological sludge evapotranspiration cover slopes for landfill closure. Environ. Earth Sci. 2016, 75, 419. [Google Scholar] [CrossRef]
- Sanghwa, O.; Won, S.S. Applicability of solidified/stabilized dye sludge char as a landfill cover material. J. KSCE J. Civ. Eng. 2017, 21, 2573–2583. [Google Scholar]
- He, J.; Guan, J.X.; Zhang, L.; Lü, X.L.; Zhang, C. The effect of dry-wet cycles on microstructure and strength of sludge solidified with soda residue, ground granulated blast furnace slag and quick lime. J. Adv. Sci. Technol. Water Resour. 2022. Available online: https://kns.cnki.net/kcms/detail/32.1439.TV.20220120.1619.010.html (accessed on 14 July 2022).
- Li, Z.X. Experimental Research on Engineering Properties of Municipal Sludge Solidified with Soda Residue and Ground Granulated Blast Furnace Slag; Hubei University of Technology: Wuhan, China, 2020. [Google Scholar]
- Changjutturas, K.; Hoy, M.; Horpibulsuk, S.; Rashid, A.S.A.; Horpibulsuk, S.; Arulrajah, A. Solidification and stabilization of metal plating sludge with fly ash geopolymers. J. Environ. Geotech. 2019, 1–10. [Google Scholar] [CrossRef]
- Li, F. Study of Modified Sewage Sludge Usedas Comprehensive Cover Material in MSW Landfill; Hubei University of Technology: Wuhan, China, 2014. [Google Scholar]
- Yi, Y.; Gu, L.; Liu, S. Microstructural and mechanical properties of marine soft clay stabilized by lime-activated ground granulated blastfurnace slag. Appl. Clay Sci. 2015, 103, 71–76. [Google Scholar] [CrossRef]
- Liu, X.Q.; Yang, Y.H.; Pei, W.B.; Wang, L.; Li, J. Study on Solidification Characteristics of Heavy Metal Contaminated Sludge. J. Ekoloji 2018, 27, 779–785. [Google Scholar]
- Taki, K.; Choudhary, S.; Gupta, S.; Kumar, M. Enhancement of geotechnical properties of municipal sewage sludge for sustainable utilization as engineering construction material. J. Clean. Prod. 2020, 251, 119723. [Google Scholar] [CrossRef]
- Qian, G.; Cao, Y.; Chui, P.; Tay, J. Utilization of MSWI fly ash for stabilization/solidification of industrial waste sludge. J. Hazard. Mater. 2006, 129, 274–281. [Google Scholar] [CrossRef]
- Li, Y.L.; Liu, J.W.; Chen, J.Y.; Shi, Y.; Mao, W.; Liu, H.; He, S.; Yang, J.K. Reuse of dewatered sewage sludge conditioned with skeleton builders as landfill cover material. Int. J. Environ. Sci. Technol. 2013, 11, 233–240. [Google Scholar] [CrossRef]
- Rhew, R.D.; Barlaz, M.A. Effect of Lime-Stabilized Sludge as Landfill Cover on Refuse Decomposition. J. Environ. Eng. 1995, 121, 499–506. [Google Scholar] [CrossRef]
- Bizarreta, J.; Campos, T. Water Retention Curve and Shrinkage of Sludge from a Leachate Treatment Plant. J. Unsaturated Soils Res. Appl. 2012, 409–414. [Google Scholar] [CrossRef]
- Yang, A.; Yang, S.; Xu, G.; Zhang, W. Study of the Long-Term Deformation Characteristics of Municipal Sludge Solidified Soil under the Coupling Action of Dry-Wet Cycles and Initial Static Deviatoric Stress. Adv. Civ. Eng. 2020, 2020, 1–15. [Google Scholar] [CrossRef]
- Zhou, Q.; Glasser, F.P. Kinetics and mechanism of the carbonation of ettringite. Adv. Cem. Res. 2000, 12, 131–136. [Google Scholar] [CrossRef]
- Damidot, D.; Glasser, F.P. Thermodynamic investigation of the CaO-Al2O3-CaSO4-H2O system at 25 °C and the influence of Na2O. J. Cem. Concr. Res. 1993, 23, 221–238. [Google Scholar] [CrossRef]
- Nishikawa, T.; Suzuki, K.; Ito, S.; Sato, K.; Takebe, T. Decomposition of synthesized ettringite by carbonation. Cem. Concr. Res. 1992, 22, 6–14. [Google Scholar] [CrossRef]
- Zaharaki, D.; Komnitsas, K.; Perdikatsis, V. Use of analytical techniques for identification of inorganic polymer gel composition. J. Mater. Sci. 2010, 45, 2715–2724. [Google Scholar] [CrossRef]














| Name of Raw Material | Main Chemical Composition/% | |||||||
|---|---|---|---|---|---|---|---|---|
| SiO2 | Al2O3 | Fe2O3 | CaO | MgO | K2O | Na2O | Others | |
| Desulfurization gypsum | 31.89 | 12.45 | 0.56 | 31.37 | 7.61 | 0.59 | 0.51 | 15.02 |
| Fly ash | 47.17 | 27.15 | 4.89 | 3.54 | 0.38 | 1.39 | 0.68 | 14.80 |
| Slag powder | 29.73 | 13.58 | 1.01 | 36.39 | 6.56 | 0.55 | 0.28 | 11.90 |
| Municipal sludge | 39.46 | 11.10 | 7.00 | 3.96 | 1.80 | 2.36 | 0.70 | 33.62 |
| Serial Number | Desulfurized Gypsum | Fly Ash | Slag Powder | Municipal Dewatered Sludge | Ca(OH)2 |
|---|---|---|---|---|---|
| MS1 | 27.5 | 27.5 | 27.5 | 50 | / |
| MS2 | 15 | 40 | 40 | 50 | / |
| MS3 | 40 | 15 | 15 | 50 | / |
| MS4 | 40 | 40 | 15 | 50 | / |
| MS5 | 15 | 15 | 40 | 50 | / |
| MS6 | 15 | 15 | 15 | 50 | / |
| MS7 | 15 | 40 | 15 | 50 | / |
| MS8 | 40 | 15 | 40 | 50 | / |
| MS9 | 40 | 40 | 40 | 50 | / |
| MS10 | 6.48 | 27.5 | 27.5 | 50 | / |
| MS11 | 27.5 | 27.5 | 6.48 | 50 | / |
| MS12 | 48.52 | 27.5 | 27.5 | 50 | / |
| MS13 | 27.5 | 48.52 | 27.5 | 50 | / |
| MS14 | 27.5 | 27.5 | 48.52 | 50 | / |
| MS15 | 27.5 | 6.48 | 27.5 | 50 | / |
| MS16 | 30.47 | 31.14 | 27.15 | 50 | 2.77 |
| MS17 | 40 | 40 | 15 | 50 | 2.90 |
| MS18 | 40 | 40 | 40 | 50 | 3.40 |
| Chemical Element | Content (mg/L) |
|---|---|
| S | 1870.1250 |
| Ca | 768.1050 |
| Na | 598.3800 |
| Mg | 2.0083 |
| Zn | 0.0379 |
| Fe | 1.6736 |
| Ni | 0.4875 |
| Ba | 0.2143 |
| Cr | 0.1075 |
| Se | 0.0352 |
| As | 0.6942 |
| Pb | 0.0510 |
| Cu | 0.1754 |
| Hg | 0.0281 |
| Ag | 0.0349 |
| Cd | 0.0414 |
| Be | 0.0008 |
Publisher’s Note: MDPI stays neutral with regard to jurisdictional claims in published maps and institutional affiliations. |
© 2022 by the authors. Licensee MDPI, Basel, Switzerland. This article is an open access article distributed under the terms and conditions of the Creative Commons Attribution (CC BY) license (https://creativecommons.org/licenses/by/4.0/).
Share and Cite
Liu, Y.; Lu, H.; Wang, C.; Liu, Y.; Ma, J.; Liu, M. Mechanical Strength, Water Seepage and Microstructure of a Novel Landfill Solidified Sludge Liner Material. Processes 2022, 10, 1641. https://doi.org/10.3390/pr10081641
Liu Y, Lu H, Wang C, Liu Y, Ma J, Liu M. Mechanical Strength, Water Seepage and Microstructure of a Novel Landfill Solidified Sludge Liner Material. Processes. 2022; 10(8):1641. https://doi.org/10.3390/pr10081641
Chicago/Turabian StyleLiu, Yajun, Haijun Lu, Chaofeng Wang, Ye Liu, Jiayu Ma, and Mengyi Liu. 2022. "Mechanical Strength, Water Seepage and Microstructure of a Novel Landfill Solidified Sludge Liner Material" Processes 10, no. 8: 1641. https://doi.org/10.3390/pr10081641
APA StyleLiu, Y., Lu, H., Wang, C., Liu, Y., Ma, J., & Liu, M. (2022). Mechanical Strength, Water Seepage and Microstructure of a Novel Landfill Solidified Sludge Liner Material. Processes, 10(8), 1641. https://doi.org/10.3390/pr10081641
