High-Efficiency Desulfurization of High-Sulfur Bauxite Calcined in a Conveyor Bed: Kinetics, Process, and Application
Abstract
:1. Introduction
2. Materials and Methods
2.1. Raw Materials
2.2. Combined Thermal Analysis–IR Analysis Experiment
2.3. Kinetic Analysis Method
2.4. Conveyor-Bed Desulfurization Experiments
2.5. Product Characterization
3. Results and Discussion
3.1. Combined Thermal Analysis–IR Analysis Experiments
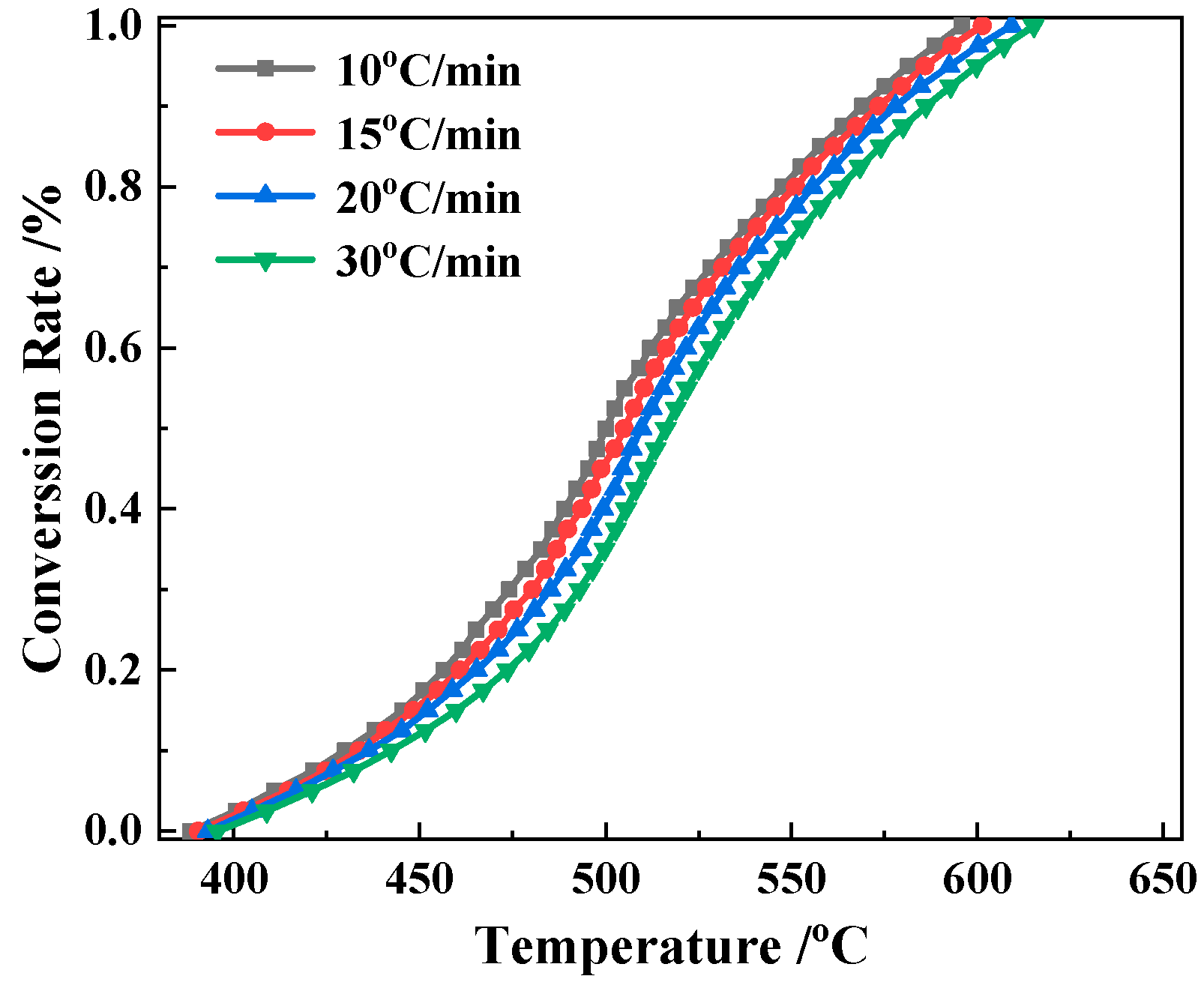
3.2. Kinetic Analysis
3.3. Characterization of Calcined Products in a Conveyor Bed
3.3.1. Desulfurization Rate Analysis
3.3.2. XRD Analysis
3.3.3. SEM Analysis
3.3.4. Alumina Digestion Analysis
4. Conclusions
- (1)
- At calcination temperatures <650 °C, the main reactions were the dehydroxylation of diaspore and kaolinite, in addition to the decomposition of siderite and pyrite. These reaction temperatures overlapped and could not be separated.
- (2)
- The desulfurization reaction followed a three-dimensional spherical diffusion mechanism, with the reaction rate controlled by the rate of diffusion of O2 or SO2 through the solid product layer.
- (3)
- The negative divalent sulfur content in high-sulfur bauxite was <0.03 wt.% after using a conveyor-bed calcination system in the range of 600 °C–650 °C for around 3.5 s. The desulfurization rate was >0.98, and the relative dissolution rate was >99%. The prediction of the desulfurization rate by the kinetic model was in agreement with the experimental data.
Author Contributions
Funding
Institutional Review Board Statement
Informed Consent Statement
Data Availability Statement
Acknowledgments
Conflicts of Interest
References
- Hu, X.; Chen, W.; Xie, Q. Sulfur phase and sulfur removal in high sulfur-containing bauxite. Trans. Nonferrous Met. Soc. China 2011, 21, 1641–1647. [Google Scholar] [CrossRef]
- Li, X.; Niu, F.; Liu, G.; Qi, T.; Zhou, Q.; Peng, Z. Effects of iron-containing phases on transformation of sulfur-bearing ions in sodium aluminate solution. Trans. Nonferrous Met. Soc. China 2017, 27, 908–916. [Google Scholar] [CrossRef]
- Zhao, B.; Chen, Y.; Jiu, S. Effective Desulfurization and Alumina Digestion of High-Sulfur Bauxite by New Roasting Process with Conveying Bed. Processes 2021, 9, 390. [Google Scholar] [CrossRef]
- Liu, Z.; Yan, H.; Ma, W.; Xiong, P. Sulfur Removal of High-Sulfur Bauxite. Min. Met. Explor. 2020, 37, 1617–1626. [Google Scholar] [CrossRef]
- Zhou, X.; Tan, F.; Chen, Y.; Yin, J.; Xia, W.; Huang, Q.; Gao, X. Thermodynamic analysis of Na−S−Fe−H2O system for Bayer process. Trans. Nonferrous Met. Soc. China 2022, 32, 2046–2060. [Google Scholar] [CrossRef]
- Yuan, J.; Chen, C.; Li, J.; Quan, B.; Lan, Y.; Wang, L.; Fu, H.; Gai, J. Initial Corrosion Behavior of 12Cr1MoV Steel in Thiosulfate-Containing Sodium Aluminate Solution. Metals 2020, 10, 1283. [Google Scholar] [CrossRef]
- Xie, Q.; Chen, W.; Yang, Q. Corrosion behavior of four kinds of steels in sulfide-containing Bayer liquor. J. Cent. South Univ. Sci. Technol. 2014, 45, 2560–2565. [Google Scholar]
- Zhang, N.; Jiang, H.; Wu, X. Research on disposing of sulfur of high grade bauxite containing sulfur in Guizhou. Light Met. 2007, 7, 7–10. [Google Scholar]
- Bulut, G.; Arslan, F.; Atak, S. Flotation behaviors of pyrites with different chemical compositions. Min. Met. Explor. 2004, 21, 86–92. [Google Scholar] [CrossRef]
- Wang, C.; Zhang, Q.; Mao, S.; Qin, S. Effects of Fine Minerals on Pulp Rheology and the Flotation of Diaspore and Pyrite Mixed Ores. Minerals 2020, 10, 60. [Google Scholar] [CrossRef]
- Chai, W.; Huang, Y.; Peng, W.; Han, G.; Cao, Y.; Liu, J. Enhanced separation of pyrite from high-sulfur bauxite using 2-mercaptobenzimidazole as chelate collector: Flotation optimization and interaction mechanisms. Miner. Eng. 2018, 129, 93–101. [Google Scholar] [CrossRef]
- Qing, S.; Shuai, W.; Xin, M.; Hong, Z. Desulfurization in high-sulfur bauxite with a novel thioether-containing hydroxamic acid: Flotation behavior and separation mechanism. Sep. Purif. Technol. 2021, 275, 119147. [Google Scholar]
- Liu, Z.; Li, D.; Ma, W.; Yan, H.; Xie, K.; Zheng, L.; Li, P. Sulfur removal by adding aluminum in the bayer process of high-sulfur bauxite. Miner. Eng. 2018, 119, 76–81. [Google Scholar] [CrossRef]
- Hu, X.; Chen, W.; Xie, Q. Desulfuration of high sulfur bauxite by oxidation roasting. J. Cent. South Univ. Sci. Technol. 2010, 3, 852–858. [Google Scholar]
- Lu, D.; Lyu, G.; Zhang, T.; Zhang, W.; Xie, D.; Wang, Y.; Wang, L. Roasting Pretreatment-Low Temperature Digestion Method for Comprehensive Utilization of High-Sulfur Bauxite. In Light Metals 2018; Springer International Publishing: Cham, Switzerland, 2018; pp. 3–6. [Google Scholar]
- Lv, G.; Zhang, T.; Bao, L.; Dou, Z.; Zhao, A.; Qu, H.; Ni, P. Roasting pretreatment of high-sulfur bauxite and digestion performance of roasted ore. Chin. J. Nonferrous Met. 2009, 19, 1684–1689. [Google Scholar]
- Lou, Z.; Xiong, Y.; Feng, X.; Shan, W.; Zhai, Y. Study on the roasting and leaching behavior of high-sulfur bauxite using ammonium bisulfate. Hydrometallurgy 2016, 165, 306–311. [Google Scholar] [CrossRef]
- Jin, H.; Wu, F.; Li, J.; Chen, C.; Liu, H.; Yang, Q. Desulfurization of pyrite in high-sulfur bauxite with microwave roasting process. J. Cent. South Univ. Sci. Technol. 2020, 51, 2707–2717. [Google Scholar]
- Budrugeac, P. On the use of the model-free way method for kinetic analysis of thermoanalytical data–advantages and limitations. Thermochim. Acta 2021, 706, 179063. [Google Scholar] [CrossRef]
- John, P.; Patrick, K. Kinetic analyses using simultaneous TG/DSC measurements: Part I: Decomposition of calcium carbonate in argon. Thermochim. Acta 2002, 388, 115–128. [Google Scholar]
- Zhao, Y.; Zhang, J.; Sun, T.; Shan, Y.; Zhao, H. Reduced equations to estimate kinetic parameters from non-isothermal TG-DTG or DSC curves. Thermochim. Acta 1993, 223, 101–108. [Google Scholar]
- Cheng, H.; Liu, Q.; Huang, M.; Zhang, S.; Frost, R.L. Application of TG-FTIR to study SO2 evolved during the thermal decomposition of coal-derived pyrite. Thermochim. Acta 2013, 555, 1–6. [Google Scholar] [CrossRef]
- Cheng, S.; Jiu, S.; Li, H. Kinetics of Dehydroxylation and Decarburization of Coal Series Kaolinite during Calcination: A Novel Kinetic Method Based on Gaseous Products. Materials 2021, 14, 1493. [Google Scholar] [CrossRef] [PubMed]
- Vyazovkin, S.; Wight, C. Isothermal and nonisothermal kinetics of thermally stimulated reactions of solids. Int. Rev. Phys. Chem. 1998, 3, 407–433. [Google Scholar] [CrossRef]
- Hu, R.; Shi, Q. Thermal Analysis Kinetics, 1st ed.; Science Press: Beijing, China, 2001; pp. 127–131. [Google Scholar]
- Blaine, R.; Kissinger, H. Homer Kissinger and the Kissinger equation. Thermochim. Acta 2012, 540, 1–6. [Google Scholar] [CrossRef]
- Juan, J.; Francisco, P.; Guillermo, R. On the integration of kinetic models using a high-order Taylor series method. J. Chemom. 1992, 6, 231–246. [Google Scholar]
- Zhang, X.; Kou, J. A comparative study of the thermal decomposition of pyrite under microwave and conventional heating with different temperatures. J. Anal. Appl. Pyrolysis 2019, 138, 41–53. [Google Scholar] [CrossRef]













| Al2O3 | SiO2 | Fe2O3 | CaO | MgO | TiO2 | STotal | S22− |
|---|---|---|---|---|---|---|---|
| 65.78 | 8.16 | 5.48 | 0.56 | 0.37 | 3.15 | 1.42 | 1.29 |
| Symbol of G(α) | Sequence Number of Function | Equation Name | Expression of G(α) Function |
|---|---|---|---|
| D1 | 1 | One-dimensional diffusion | α2 |
| D2 | 2 | Two-dimensional diffusion | α + (1 − α)ln(1 − α) |
| 1D3 | 6 | Tridimensional diffusion (spherically symmetric) | [1 − (1 − α)1/3]2 |
| A3 | 11 | Nucleation and growth (n = 1/3) | [−ln(1 − α)]1/3 |
| A2 | 13 | Nucleation and growth (n = 1/2) | [−ln(1 − α)]1/2 |
| A1 | 16 | Nucleation and growth (n = 1) | −ln(1 − α) |
| P3 | 23 | Power law | α1/3 |
| P2 | 24 | Power law | α1/2 |
| R3 | 29 | Shrinking core (spherically symmetric) | 1 − (1 − α)1/3 |
| R2 | 31 | Shrinking core (cylindrically symmetric) | 1 − (1 − α)1/2 |
| C2 | 37 | Chemical reaction | (1 − α)−1 − 1 |
| Method | Β/(°C/min) | E/(kJ/mol) | A | r |
|---|---|---|---|---|
| General integral method | 10 | 175.87 | 9.53 × 108 | 0.990204 |
| 15 | 180.22 | 1.63 × 109 | 0.990701 | |
| 20 | 182.29 | 1.87 × 109 | 0.991385 | |
| 30 | 186.26 | 2.65 × 109 | 0.989086 | |
| Average value | 181.16 | 1.77 × 109 | 0.990344 | |
| Kissinger method | —— | 180.10 | —— | 0.997759 |
| Temperature (°C) | Al2O3 (wt.%) | St (wt.%) | Sulfate Sulfur (wt.%) | Sulfide Sulfur (wt.%) | Desulfurization Rate | |
|---|---|---|---|---|---|---|
| Experimental Data | Predicted Data | |||||
| Raw ore | 66.90 | 1.42 | 0.13 | 1.29 | 0.00 | 0.00 |
| 500 | 68.3 | 0.83 | 0.17 | 0.66 | 0.50 | 0.47 |
| 525 | 67.5 | 0.68 | 0.19 | 0.49 | 0.62 | 0.65 |
| 550 | 70.05 | 0.5 | 0.23 | 0.27 | 0.80 | 0.83 |
| 575 | 70.67 | 0.41 | 0.32 | 0.09 | 0.93 | 0.96 |
| 600 | 71.95 | 0.38 | 0.35 | 0.03 | 0.98 | 1.00 |
| 625 | 72.47 | 0.36 | 0.35 | 0.01 | 0.99 | 1.00 |
| 650 | 74.83 | 0.35 | 0.35 | 0.00 | 1.00 | 1.00 |
| Area | O (wt.%) | Al (wt.%) | Si (wt.%) | Ti (wt.%) | Fe (wt.%) | S (wt.%) |
|---|---|---|---|---|---|---|
| Area 1 | 39.79 | 42.13 | 10.24 | 1.24 | 1.35 | 1.37 |
| Area 2 | 37.54 | 43.81 | 12.06 | 1.15 | 1.67 | - |
Publisher’s Note: MDPI stays neutral with regard to jurisdictional claims in published maps and institutional affiliations. |
© 2022 by the authors. Licensee MDPI, Basel, Switzerland. This article is an open access article distributed under the terms and conditions of the Creative Commons Attribution (CC BY) license (https://creativecommons.org/licenses/by/4.0/).
Share and Cite
Jiu, S.; Zhao, B.; Chen, Y. High-Efficiency Desulfurization of High-Sulfur Bauxite Calcined in a Conveyor Bed: Kinetics, Process, and Application. Processes 2022, 10, 1586. https://doi.org/10.3390/pr10081586
Jiu S, Zhao B, Chen Y. High-Efficiency Desulfurization of High-Sulfur Bauxite Calcined in a Conveyor Bed: Kinetics, Process, and Application. Processes. 2022; 10(8):1586. https://doi.org/10.3390/pr10081586
Chicago/Turabian StyleJiu, Shaowu, Bo Zhao, and Yanxin Chen. 2022. "High-Efficiency Desulfurization of High-Sulfur Bauxite Calcined in a Conveyor Bed: Kinetics, Process, and Application" Processes 10, no. 8: 1586. https://doi.org/10.3390/pr10081586
APA StyleJiu, S., Zhao, B., & Chen, Y. (2022). High-Efficiency Desulfurization of High-Sulfur Bauxite Calcined in a Conveyor Bed: Kinetics, Process, and Application. Processes, 10(8), 1586. https://doi.org/10.3390/pr10081586

