Next Article in Journal
A CFD Investigation on the Aerosol Drug Delivery in the Mouth–Throat Airway Using a Pressurized Metered-Dose Inhaler Device
Previous Article in Journal
A Digital Process for Manufacturing Customized Trays for Dental-Whitening Treatments
 
 
Font Type:
Arial Georgia Verdana
Font Size:
Aa Aa Aa
Line Spacing:
Column Width:
Background:
Article

Evolutionary Game Analysis of Shared Manufacturing Quality Innovation Synergetic Behavior Considering a Subject’s Heterogeneous Emotions

1
School of Management, Xi’an University of Science and Technology, Xi’an 710054, China
2
School of Safety Science and Engineering, Xi’an University of Science and Technology, Xi’an 710054, China
*
Authors to whom correspondence should be addressed.
Processes 2022, 10(7), 1233; https://doi.org/10.3390/pr10071233
Submission received: 6 June 2022 / Revised: 15 June 2022 / Accepted: 18 June 2022 / Published: 21 June 2022

Abstract

:
Shared manufacturing provides a new path for the transformation and development of the manufacturing industry, but challenges such as low quality and poor positivity for quality improvement limit the positive role of shared manufacturing. Considering the influences of heterogeneous emotions of subjects on quality decision making, the theory of rank-dependent expected utility (RDEU) and evolutionary game theory were integrated to establish an evolutionary game model of shared manufacturing quality innovation synergy with multi-agent participation and analyze how sentiment affects motivation for quality improvement. The study showed that: (1) emotions, an irrational factor, can significantly change the stable state of the evolution of the shared manufacturing quality innovation synergetic system by influencing the decision-making behavior of decision makers; (2) in terms of the specific microscopic influence mechanism, rationality is the key to ensuring that the behavioral decisions of decision makers do not enshrine large systemic deviations. (3) In terms of the mechanism of heterogeneous emotions, when one party is optimistic, the deepening of the other party’s pessimism tends to bring positive effects; when one party is pessimistic, the deepening of the other party’s optimism tends to bring negative effects. The main management insights are as follows: (1) correctly recognizing and treating heterogeneous emotions of decision makers and regulating the formation and role of heterogeneous emotions of decision makers; (2) appropriately creating an atmosphere of pessimistic emotions, and guiding shared manufacturing to pay attention to manufacturing quality innovation synergy; (3) appropriately releasing favorable information about quality innovation synergy, and continuously promoting high-quality development of shared manufacturing. This study broadens the path of quality improvement in shared manufacturing and the scope of application of emotion theory in a certain sense.

Graphical Abstract

1. Introduction

China, the world’s largest emitter of carbon, emitted about 10.2 billion tons of carbon in 2020, accounting for about one-third of global carbon emissions [1]. To respond to the severe need for carbon emission reduction, China, in 2020, formally proposed the strategic goals of carbon peaking by 2030 and carbon neutrality by 2060. As a pillar industry of China’s national economy, the manufacturing industry occupies an important position in the nation’s socio-economic development [2], but it is worth noting that the development strategies of many manufacturing enterprises in China are energy-intensive and highly polluting, and the rapid economic growth they bring is often at the cost of serious environmental pollution and ecological damage [3]. Constantly promoting green and low-carbon innovation in manufacturing [4] and low-carbon manufacturing [5] has become the mainstream trend of the future development of manufacturing.
The sharing economy, which originates from non-ownership and more efficient use of resources, profoundly changing traditional ways of conducting business and production and consumption systems around the world [6,7], provides a new direction for the transformation and development of traditional manufacturing industries [8], which has been named shared manufacturing. Shared manufacturing socializes the reuse of idle manufacturing resources that become sunk costs and can reduce the environmental load by inhibiting new production and efficient use of products [9]. Shared manufacturing has received much attention and discussion due to its “positive side effects” [10] in terms of reducing the environmental footprint [11], reducing carbon emissions [12], promoting environmental sustainability, and driving new trends in green practices [13], and is seen as the answer to sustainability challenges [14].
Shared manufacturing not only brings new opportunities to manufacturing companies but also brings many operational and management challenges [15]. As a new manufacturing model, shared manufacturing has not yet truly formed a development model that takes into account the quality and efficiency of development and focuses on the efficient use of resources and comprehensive environmental protection [16]. As “economic actors” pursuing their own interests [17], enterprises are always faced with the dilemma of “economic development and environmental protection”. Shared manufacturing still has challenges such as insufficient supply quality, uncertain product quality [6], unpredictable service quality [18], and poor service quality control [19]. The poor sustainability of a quality input mode and low level of quality impede its role in supporting the transformation and development of the manufacturing industry.
Scholars have conducted extensive research on how to improve manufacturing quality levels based on game theory. Liu et al. constructed a three-party evolutionary game model of shared manufacturing for manufacturing enterprises under the government regulation mechanism and studied the impact of government regulation on the quality of shared manufacturing supply [8]; Wang et al. built an evolutionary game model from the perspective of a group to observe different manufacturing service allocation trends, finding that manufacturing service allocation plays an important role in promoting high-quality service management [20]; and Ehsan et al. developed a fair service combination model in cloud manufacturing based on game theory and studied the strategy to improve the service quality level [21]. Other scholars have also explored quality improvement paths in manufacturing from multiple perspectives, including quality cost sharing [22], responsibility cost sharing [23], profit allocation [24], and supply–demand balance [25]. The aforementioned studies provide a certain theoretical basis for the present research, but they are all based on external means such as resource allocation and government supervision, and do not fundamentally solve the problems of low quality and poor sustainability of quality investment.
Studies have confirmed that human information processing, decision making, and behavior are largely influenced and guided by emotions and sentiments [26], and the emotional attitudes of shared manufacturing participants toward quality improvement can profoundly affect shared practices. This paper combined the rank-dependent expected utility (RDEU) theory with evolutionary games to establish an evolutionary game model that considers participants’ emotions, and studied the impact of the heterogeneous emotions of each participant on the improvement of shared manufacturing quality.
Compared with previous studies, the main contributions and innovations of this paper are as follows.
(1)
In terms of content, compared with traditional research perspectives such as factor input and external regulation, this paper innovatively explored the impact of participant emotions on the improvement of shared manufacturing quality from the perspective of participants’ heterogeneous emotions. The research content of this paper may help to broaden the path of quality improvement.
(2)
In terms of method, due to the differences in the values and interests of decision makers, there are different psychological preferences, emotions, and risk attitudes of decision makers, which profoundly affect their behavioral decisions. Traditional game analysis methods cannot effectively explain the different psychological preferences and emotions of decision makers due to their limitations. This paper combined the rank-dependent expected utility (RDEU) theory with evolutionary games, which enriches evolutionary game theory and its applications to a certain extent.
The rest of this article is organized as follows. Section 1 introduces the research background and research question. Section 2 reviews the relevant literature and briefly introduces the innovative points of this paper. Section 3 presents the theoretical assumptions. Section 4 introduces the main models from three aspects: main research questions, parameter assumptions, and model construction. In Section 5, the strategy stability and strategy combination stability of the game model are analyzed. The main content of Section 6 is the simulation analysis. Section 7 includes research conclusions and managerial implications.

2. Review of the Literature

2.1. Advances in Quality Innovation and Quality Synergy Research

With quality management as an important component of the core competencies of manufacturing companies [27], manufacturing industries can effectively achieve performance improvement goals and competitive advantages by implementing quality management practices to meet the challenges of new global competition [28]. Emerging technologies such as industrial big data [29], the industrial Internet of Things (IIoT) [30], and cyber-physical systems [31] are driving the manufacturing industry toward a new era of smart manufacturing [32]. Smart manufacturing, represented by shared manufacturing and cloud manufacturing, is facing many challenges while helping to transform and upgrade the manufacturing industry. As emerging smart manufacturing models such as shared manufacturing are still in the preliminary stage of development, their quality management processes are highly uncertain [33], and mass customization, just-in-time maintenance, engineering puzzle solutions, disruptive innovation, and perfect quality [34] bring new challenges to this revolution. As a result, traditional quality management methods based solely on technology, whether they be numerous quality management tools or total quality management [35], can no longer meet the requirements of market competition, and the inapplicability of traditional quality management methods is gradually becoming more prominent. In a sense, the lag in quality innovation is an important reason for the low quality of economic development, the imperfect development of manufacturing industries, and the high carbon emissions that lead to pressing environmental problems. The new paradigm of quality innovation refers to the continuous innovation and improvement of existing quality management methods through various methods such as technology, management, and culture, thus achieving continuous improvement of their inherent characteristics. The need to find new paths of quality management through quality innovation and continuously enhance the role of quality development of shared manufacturing in supporting green transformation is urgent.

2.2. Research Progress in Shared Manufacturing

Shared manufacturing is a special, complex supply chain in which users, providers, and platforms play the roles of each other, and the roles are temporary [36]. Due to the nature of the “trinity”, unlike traditional service environments where users are both consumers and peer service providers [37], the dual roles of consumers and peer service providers have been intertwined in active value co-creation [38], and this meshed structure provides a basis for S-D logic and value co-creation concepts, with the consideration of customer value as a sustainable competitive advantage providing a new edge [39]. This requires that sharing practices have close interactions between multiple stakeholders such as service demanders, service providers, and sharing platforms [40]. The model of “platform order taking, process breakdown, and multi-plant collaboration” also places higher demands on quality and collaboration mechanisms. To achieve effective long-term quality improvement, the shared manufacturing supplier, shared manufacturing demander, and shared platform must not only have good quality management behaviors but also the quality management behaviors must be well-coordinated and synergistic. Scholars at home and abroad have conducted extensive research into the mechanism of synergy on quality management, and studies have confirmed that synergy plays a positive role in quality management practices [41,42,43] and can improve quality to a significant extent. The characteristics of the relationship between the participating subjects of shared manufacturing and the positive effect of synergy on quality management practice have been synthesized, and it is theoretically and practically feasible and appropriate for the participating subjects of shared manufacturing to achieve effective improvements in quality through mutual synergy and cooperation. Establishing a synergetic quality improvement model of shared manufacturing with the participation of multiple subjects to improve quality in a collaborative way is the key to break the dilemma of quality input and improve the overall quality of shared manufacturing supply.

2.3. Game Theory and Research Progress Related to Subjects’ Emotions

Evolutionary game theory, which first originated in biology [44], has been widely used in economics, management, manufacturing, and safety and emergency evaluation. The aforementioned studies provide a certain theoretical basis for the present research, but they are all based on a fully rational or finite rational perspective, ignoring the influences of emotions as an irrational factor. As the direct participants of shared manufacturing, the role played by the emotions and psychological preferences of the supply and demand sides and the sharing platform cannot be ignored. It is necessary to consider the irrational factor of participants’ emotions to study the quality improvement arising from shared manufacturing. Many scholars have shown that the emotions of decision-making subjects have significant effects on system operation [45], such as emotions and how they affect asset prices [46], their effects on real-estate investment decisions [47], and influences on low-carbon behavior [48]. Similarly, emotions also sway the behavioral choices of shared manufacturing participants; it is necessary to consider emotions as an irrational factor in the analysis of shared manufacturing models. RDEU theory is a utility theory that considers the psychological preferences and emotions of decision makers and can measure the influence of emotions on decision making. Regarding this theoretical approach, Guo et al. estimated the influences of heterogeneous emotions of government and individuals on the equilibrium strategy of an individual carbon trading scheme implementation model by constructing an RDEU evolutionary game model [49]; Ni et al. combined game theory and RDEU theory to construct an RDEU game model of insiders and the nuclear security sector to study the existence of two-way strategic equilibrium solutions under different emotional states, and evaluated (from a dynamic perspective) the influence and change process of emotions on participants’ decision-making behavior [50]; Liu et al. used a static game, RDEU game, and sequential game to study the equilibrium strategies of emitters and stakeholders under different situations [51]; and Yang et al. established a signaling game between miners (emotion-driven and judgment-driven) and managers from the perspective of emotional event theory to examine the effect of managers’ emotions on miners’ behavior [52]. It is evident that participant emotions have a significant impact on the behavioral decisions of decision makers. In the present research, we adopted a theoretical approach combining the RDEU theory and game theory to explore the influences of each subject’s heterogeneous emotions on shared manufacturing quality innovation synergy by taking emotions, an irrational factor, into account in the evolutionary game model.
In summary, the existing research has paid less attention to the inapplicability of quality management methods in the context of intelligent manufacturing and the impact of emotions on quality decision making. This paper considered the influence of decision makers’ emotions on quality decision making, the theory of rank-dependent expected utility (RDEU) and evolutionary game were combined to establish an evolutionary game model of shared manufacturing with the participation of multiple subjects, and the influences of heterogeneous emotions of each participating subject on the equilibrium strategy of shared manufacturing was assessed. The result may provide theoretical references for the quality improvement of shared manufacturing.

3. Theoretical Assumptions

The RDEU theory, first proposed by Quiggin [53], is a utility theory that considers the psychological preferences and emotions of decision makers. Under the conditions of decision uncertainty as well as high randomness [54], a real-valued function defined by a utility function and a decision weight function are used to characterize the degree of decision makers’ preferences for different decisions [55].
The function expression is:
V ( x , u , π ) = i = 1 n π ( x i ) U ( x i ) , i = 1 , 2 , 3 , , n .
For the set of strategies X = { x i ; i = 1 , 2 , n } , P = { X = x i } = p i . Assuming that the strategies x i are ranked according to the magnitude of the utility function U ( x ) and specifying x 1 > x 2 > > x n , the utility rank of the strategy x i is defined as R P i , and then the probability distribution function of the strategy is R P i = P ( X x i ) = τ i n p i , i = 1 , 2 , n . The greater the utility of the strategy, the greater its cumulative probability, and accordingly, the greater the weight of the strategy utility in the decision.
At this point, the decision weight function π ( x ) = ω ( p i + 1 R P i ) - ω ( 1 R P i ) , where ω ( · ) is the sentiment function, which is a monotonically increasing function satisfying ω ( 0 ) = 0 , ω ( 1 ) = 1 .
The function ω ( · ) is used for the possibility of X x to be enlarged or reduced.
There are three cases as follows.
(1)
When ω ( p ) < p , ω ( · ) is a concave function, for any p [ 0 , 1 ] , ω ( · ) narrows the possibility of X x , indicating the pessimism of the participants.
(2)
When, ω ( · ) is a convex function, for any p [ 0 , 1 ] , ω ( · ) widens the possibility of X x , indicating the optimism of the participants.
(3)
When ω ( p ) = p , the possibility is unchanged, indicating a rational mood among participants.
As shown in Figure 1, CPD denotes the cumulative probability distribution, Figure 1a represents the utility function diagram of the decision maker under pessimism, and Figure 1b displays the utility function diagram of the decision maker under optimism.
The RDEU theory treats decision weights in a nonlinear way by extending the utility theory (EU) in traditional game theory in a nonlinear way. This approach can positively portray the emotion of game participants under the uncertainty condition both theoretically and practically, and therefore, the RDEU theory can overcome the shortage of traditional game theory in the attitude dimension to a certain extent, and the evolutionary game analysis integrating this theory can also more objectively and accurately portray the emotional state of each participant in shared manufacturing and the influence of their emotional intensity on behavioral decisions.

4. Game Model Construction

4.1. Description of the Conceptual Model of the Game

Shared manufacturing is one of the socialization manufacturing modes, such as cloud manufacturing and social manufacturing. Like other social manufacturing models, the platform management and resource scheduling of shared manufacturing are distributed, the information architecture is service-oriented, and the shared scope is all resources. These common characteristics make the model proposed in this paper have certain practicability in different social manufacturing modes.
As shown in Figure 2, shared manufacturing mainly involves the supply side, the demand side, and the sharing platform. The demand side issues demand requests according to its own manufacturing needs, and the sharing platform acts as an intermediary trading platform, providing demand analysis and demand matching services for the demand side and matching the supply side based on the results of big data matching, while the supply side provides manufacturing capacity, service capacity, innovation capacity, and other surplus resources.
In the shared manufacturing transaction process, the supply and demand sides are regarded as a secondary supply chain with a close relationship and high consistency in value co-creation. To portray the synergetic behavior of shared manufacturing quality innovation better, we considered the supply and demand sides as a whole, i.e., the shared manufacturing supply chain composed of shared manufacturing supply and demand sides, hereinafter referred to as the shared manufacturing supply chain. The shared platform can also supervise the service cooperation process of both sides of the transaction while providing the transaction channel and supply and demand matching service to guarantee an orderly transaction. As an important irrational factor that cannot be ignored in the decision-making process, emotions profoundly affect the strategy choice of each participant in shared manufacturing.

4.2. Model Assumptions

Hypothesis 1.
The shared manufacturing game subjects include: the shared manufacturing supply chain and shared platform. The shared manufacturing supply chain mainly refers to the two-level supply chain that consists of the shared manufacturing supply side (upstream) and the shared manufacturing demand side (downstream). The shared platform refers to the platform that provides intermediary services such as service matching for shared manufacturing. Each subject is finite and rational in the game process and continuously adjusts its own strategy therein. The game subjects have certain emotional preferences, and the emotional preferences of each game subject affects the determination of behavioral decisions.
Hypothesis 2.
The strategy choice of the shared manufacturing supply chain is divided into (quality innovation synergy and negative quality innovation synergy); the strategy choice of the shared platform is divided into (regulation and no regulation). Quality innovation synergy means that the shared manufacturing supply chain innovates the quality management paradigm in a collaborative way through various methods such as technology, management and culture to achieve continuous improvements in quality. Negative quality innovation synergy means that the shared manufacturing supply chain treats quality innovation synergy negatively, and the supply and demand sides in the shared manufacturing supply chain still independently apply traditional quality management methods for quality management practices.
Hypothesis 3.
When a shared manufacturing supply chain exhibits quality innovation synergy, two costs are incurred: the cost of conducting quality innovation and that of synergy. When the shared manufacturing supply chain exhibits quality innovation synergy, two benefits are generated: that gained due to the improvement in quality, and that due to the improvement in synergy in the shared manufacturing supply chain. When the shared manufacturing supply chain does not collaborate on quality innovation, the level of quality of shared manufacturing regresses according to the principle of “if you do not advance, you will regress”, and there is a certain probability that quality risks arise. To motivate the shared manufacturing supply chain to collaborate on quality innovation, the shared platform chooses to reward or penalize the shared manufacturing supply chain according to the shared manufacturing supply chain’s strategy: both the reward and penalty are fixed.
Hypothesis 4.
Considering the influences of government regulators on shared manufacturing practices, the influences of government regulators are considered in the form of parameters in the game model between the two parties. That is, due to the positive and negative quality spill-over effects, the shared manufacturing supply chain has a certain positive or negative effect on society when it exhibits quality innovation synergy or negative quality synergy, and the government regulator subsidizes the cost or regulates the shared manufacturing supply chain to increase the amount according to the social impact generated.

4.3. Model Construction

Based on the assumptions above, the revenue perception matrix is shown in Table 1.
The specific parameters of the gain perception matrix were set as listed in Table 2.

5. Game Analysis

5.1. Strategy Stability Analysis of Shared Manufacturing Supply Chain

The RDEU model of the shared manufacturing supply chain and shared platform under different strategies was constructed based on the underlying assumptions of the model and the relevant principles of RDEU theory.
For the shared manufacturing supply chain, according to the relationship between the parameters of cost, benefit, reward, and penalty, the utility ranking corresponding to its four strategy choices is
W ( E a + E b ) C p a C p b + R + M > M + W ( E a + E b ) C p a C p b > C p c F N > N q T .
This results in the utility, probability, rank, and decision weights corresponding to each strategy of the shared manufacturing supply chain, as listed in Table 3.
The expected benefits of “quality innovation synergy” and “negative quality innovation synergy” in the shared manufacturing supply chain are U 1 p and U 2 p , respectively.
U 1 p = [ W ( E a + E b ) C p a C p b + R + M ] e r 2 + [ M + W ( E a + E b ) C p a C p b ] ( 1 e r 2 ) = R e r 2 + M + W ( E a + E b ) C p a C p b
U 2 p = ( C p c F N ) e r 2 + ( N q T ) ( 1 e r 2 ) = ( C p c F + q T ) e r 2 N q T
The average expected benefit of shared manufacturing supply chain is U p ¯ .
U p ¯ = [ W ( E a + E b ) C p a C p b + R + M ] ω A ( p e ) + [ M + W ( E a + E b ) C p a C p b ] [ ω A ( p ) ω A ( p e ) ] + ( C p c F N ) [ ω A ( p + e p e ) ω A ( p ) ] + ( N q T ) [ 1 ω A ( p + e p e ) ] = R ( p e ) r 1 + [ M + W ( E a + E b ) C p a C p b + C p c + F + N ] p r 1 + ( C p c F + q T ) ( p + e p e ) r 1 N q T
The dynamic equation of shared manufacturing supply chain replication is F ( p ) .
F ( p ) = d p / d t = p r 1 ( U 1 p U p ¯ ) = p r 1 { [ R e r 2 + M + W ( E a + E b ) C p a C p b + N + q T ] [ M + W ( E a + E b ) C p a C p b + C p c + F + N ] p r 1 R ( p e ) r 1 ( C p c F + q T ) ( p + e p e ) r 1 }
From Equation (4), it follows that the shared manufacturing supply chain can achieve local stability by choosing a quality innovation synergetic strategy when p = 0 , p = 1 , or p = p * .
Among which,
p = F C e a + q T R + F + q T

5.2. Analysis of the Stability of Sharing Platform Strategies

For the shared platform, according to the relationship between the parameters of cost, benefit, reward, and penalty, the utility ranking corresponding to its four strategy choices is
D > D R C e a > F L C e a > L q T .
This results in the utility, probability, rank and decision weight corresponding to each strategy of the shared platform, as listed in Table 4.
The expected returns for the “regulated” and “unregulated” shared platforms are U 1 e and U 2 e , respectively.
U 1 e = ( D R C e a ) p r 1 + ( F L C e a ) ( 1 p r 1 ) = ( D R F + L ) p r 1 + F L C e a
U 2 e = D p r 1 + ( L q T ) ( 1 p r 1 ) = ( D + L + q T ) p r 1 L q T
The average expected return for the shared platform and the average expected return is U e ¯ .
U e ¯ = D ω B ( p p e ) + ( D R C e a ) [ ω B ( p ) ω B ( p p e ) ] + ( F L C e a ) [ ω B ( p + e p e ) ω B ( p ) ] + ( L q T ) [ 1 ω B ( p + e p e ) ] = ( D R F + L ) p r 2 + ( R + C e a ) ( p p e ) r 2 + ( F C e a + q T ) ( p + e p e ) r 2 L q T
The dynamic equation for the shared platform replication is F ( e ) .
F ( e ) = d e / d t = e r 2 ( U 1 e U e ¯ ) = e r 2 { ( F C e a + q T ) + ( D R F + L ) ( p r 1 p r 2 ) ( R + C e a ) ( p p e ) r 2 ( F C e a + q T ) ( p + e p e ) r 2 }
From Equation (8), it follows that the shared platform can achieve local stability by choosing a regulatory policy when e = 0 , e = 1 , or e = e * . Among which,
e = a ( c + d ) b R d + a ( d R )
a = F C e a + q T R + F + q T
b = M + W ( E a + E b ) C p a C p b + N + q T
c = M + W ( E a + E b ) C p a C p b + C p c + F + N
d = C p c F + q T

5.3. Stability Analysis of Strategy Combinations under Subject Heterogeneous Sentiment Scenarios

From the analysis in Section 4.1 and Section 4.2, it can be seen that the five local equilibrium points of the evolutionary game model are E 1 ( 0 , 0 ) , E 2 ( 0 , 1 ) , E 3 ( 1 , 0 ) , E 4 ( 1 , 1 ) , and E 5 ( p * , e * ) .
According to the stability analysis of the evolutionary game, the stability of each game subject’s strategy combination is judged according to Lyapunov’s indirect method, and the Jacobian matrix of the game model is
J = [ F ( p ) / p F ( p ) / e F ( e ) / p F ( e ) / e ]
Since the values of the Jacobian matrix are related to the values of model variables, the values of Jacobian matrix are different under different emotional states of game subjects, and the resulting equilibrium points are different. We studied the stability of the strategy combinations of the shared manufacturing supply chain and shared platform in four contexts: (rational, rational), (emotional, emotional), (rational, emotional), and (emotional, rational) based on the different emotional states of game subjects.

5.3.1. Scenario 1: The Shared Manufacturing Supply Chain Is Rational, and the Shared Platform Is Rational

When the shared manufacturing supply chain is rational and the shared platform is rational, then the sentiment parameter r 1 = 1 , r 2 = 1 . The sentiment parameter was introduced into each replication dynamic equation, and at this time, the strategy portfolio stability analysis is listed in Table 5.
Among which,
A = { ( C p c + F q T + R ) e * 2 ( C p c + F q T + R ) p * e * 2 [ M + W ( E a + E b ) C p a C p b + N + q T ] p * + M + W ( E a + E b ) C p a C p b + N + q T }
B = ( C p c + F q T + R ) p * ( C p c + F q T + R ) p * 2
C = ( R + F + q T ) e * 2 ( R + F + q T ) e *
D = { ( F C e a + q T ) ( R + F + q T ) p * + 2 ( R + F + q T ) p * e * 2 ( F C e a + q T ) e * }
As can be seen from Table 5, when the shared manufacturing supply chain is rational and the shared platform is rational, the system has a stable point E 3 ( 1 , 0 ) . At this time, the shared manufacturing supply chain and the shared platform are more rational and the shared manufacturing supply chain can better understand the positive effect of quality innovation synergy on its own capital gain, so it chooses quality innovation synergy. At this time also, the level of quality risk of the shared manufacturing supply chain is lower and the system is more stable. When the condition A D B C > 0 , A D < 0 is satisfied, E 5 ( p * , e * ) also becomes a stable point in the system at which the shared manufacturing supply chain exhibits quality innovation synergy, the shared platform chooses to regulate, and the system reaches the theoretical optimal state.

5.3.2. Scenario 2: Shared Manufacturing Supply Chain Is Emotional, Shared Platform Is Emotional

When the shared manufacturing supply chain and the shared platform are emotional, at this time, the sentiment parameter r 1 1 , r 2 1 . The sentiment parameter was introduced into each replication dynamic equation, and at this time, the strategy combination stability analysis is listed in Table 6.
From Table 6, it is found that when the shared manufacturing supply chain is emotional and the shared platform is emotional, there is no evolutionary stable state in the system, and the game between the shared manufacturing supply chain and the shared platform is deadlocked; meanwhile, because the emotional strength of the shared manufacturing supply chain and the shared platform is unknown, i.e., the specific values of the emotional parameters r 1 , r 2 cannot be determined, the stability of the local equilibrium point E 5 ( p * , e * ) cannot be determined, and its stability depends on the specific values and the emotional intensity.

5.3.3. Scenario 3: Shared Manufacturing Supply Chain Is Rational and the Shared Platform Is Emotional

When the shared manufacturing supply chain is rational and the sharing platform is emotional, then the emotion parameter r 1 = 1 , r 2 1 . Bringing the sentiment parameters into each replication dynamic equation, the stability analysis of the strategy combination at this time is listed in Table 7.
As can be seen from Table 7, when the shared manufacturing supply chain is rational and the shared platform is emotional, there is no evolutionary stable state in the system, and the game between the shared manufacturing supply chain and the shared platform is deadlocked; meanwhile, the stability of the local equilibrium point E 5 ( p * , e * ) cannot be determined because the emotional intensity of the shared platform is unknown, i.e., the specific value of the emotional parameter r 2 cannot be determined, and its stability depends on the specific value and emotional intensity.

5.3.4. Scenario 4: Shared Manufacturing Supply Chain Is Emotional, Shared Platform Is Rational

Given the shared manufacturing supply chain emotion and shared platform rationality, at this time the sentiment parameter r 1 1 , r 2 = 1 . The emotional parameters were brought into each replication dynamic equation, and at this time, the strategy combination stability analysis is listed in Table 8.
As can be seen from Table 8, when the shared manufacturing supply chain is emotional and the shared platform is rational, there is a stable point E 3 ( 1 , 0 ) in the system at which the shared platform is more rational and can better perform its regulatory duties and the shared manufacturing supply chain shows certain optimistic or pessimistic emotional preferences in its decision making, and such emotional preferences change its original cognition of exhibiting quality innovation synergy to a certain extent, which can determine its choice of quality innovation synergy. The specific mechanism of different emotional preferences on behavior evolution is further analyzed in the simulation analysis section; meanwhile, when the condition
{ r 1 [ M + W ( E a + E b ) C p a C p b + C p c + N + F + R ] } ( R + C e a ) - R ( 1 r 1 ) ( r 1 1 ) ( D R F + L ) > 0
is satisfied, the local equilibrium point E 4 ( 1 , 1 ) also becomes a stable point of the system at which the shared manufacturing supply chain exhibits quality innovation synergy, the shared platform selects regulation, and the system reaches the theoretical optimal state. The stability of the local equilibrium point E 5 ( p * , e * ) cannot be determined because the emotional intensity of the shared manufacturing supply chain is unknown, i.e., the specific value of the emotional parameter r 1 cannot be determined, and its stability depends on the specific value and emotional intensity.

6. Simulation Analysis

To reveal the evolution of a shared manufacturing supply chain and shared platform more intuitively, MATLAB was used for simulation and analysis. Herein, the typical benchmark enterprise of shared manufacturing in China, the Mold Lao crowd space, was taken as an example, with the parameters were set with reference to the literature [20,25], and specific parameter settings are listed in Table 9.
Section 5 analyzes the stability of strategy combinations of shared manufacturing supply chains and shared platforms in four contexts, (rational, rational), (emotional, emotional), (rational, emotional), and (emotional, rational), based on the different emotional states of shared manufacturing supply chains and shared platforms. More specifically, when the game subject is in an emotional state, its emotional state can be further subdivided into optimistic and pessimistic, and different emotional states have different effects on strategy choice. Based on the above parameter settings, this section further analyzes the evolutionary stability of the system under nine specific scenarios of (rational, rational), (optimistic, optimistic), (pessimistic, pessimistic), (optimistic, pessimistic), (pessimistic, optimistic), (optimistic, rational), (pessimistic, rational), (rational, optimistic), (rational, optimistic), and (rational, pessimistic) on the basis of the above four scenarios.

6.1. (Rational, Rational) State Analysis

Figure 3 reflects the equilibrium strategy when the shared manufacturing supply chain is rational and the shared platform is rational. When r 1 = 1 , r 2 = 1 , the game has a mixed strategy Nash equilibrium. This is consistent with the results presented in Section 4.2. In terms of the action probabilities of the shared manufacturing supply chain and the shared platform, the probabilities of the shared manufacturing supply chain quality innovation synergy and the shared platform regulation were both low, where the shared manufacturing supply chain quality innovation synergy was between 0.2 and 0.4, while the shared platform was slightly higher than the probability of the shared manufacturing supply chain choosing the positive action because the shared platform needs to take some regulatory responsibility, and its probability was between 0.4 and 0.6. This result is more akin to the actual situation in shared manufacturing.

6.2. (Optimistic, Optimistic) State Analysis

Figure 4 illustrates the equilibrium strategy when the shared manufacturing supply chain is optimistic and the shared platform is optimistic, i.e., when r 1 < 1 , r 2 < 1 . Moderate optimism could still facilitate the strategy evolution of the shared manufacturing supply chain and the shared platform toward their Pareto optimum, but as the optimism of the game players deepened, the probability of both the shared manufacturing supply chain choosing quality innovation synergy and the shared platform choosing regulation decreased, and the mixed strategy Nash equilibrium point kept moving from the upper-right corner of the chart to the lower-left. These findings indicate that when the shared manufacturing supply chain and the attitude toward quality innovation synergy are too optimistic and the shared platform is too optimistic about regulation, the shared manufacturing supply chain and the shared platform choose inaction more often than not. In shared manufacturing practices, over-optimism should be avoided.

6.3. (Pessimistic, Pessimistic) State Analysis

Figure 5 reflects the equilibrium strategy when the shared manufacturing supply chain is pessimistic and the shared platform is pessimistic, i.e., when r 1 > 1 , r 2 > 1 . As the optimism of the game players deepened, the probability of both the shared manufacturing supply chain choosing quality innovation synergy and the shared platform choosing regulation increased, and the mixed strategy Nash equilibrium point kept moving up to the upper-right corner of the chart. This is consistent with the conclusion in the existing literature that “pessimism will prompt individuals to take positive actions” [48]. These findings suggest that an appropriate pessimism increases the willingness to collaborate on quality innovation in shared manufacturing supply chains and increases the willingness to regulate by shared platforms. This is more consistent with reality, where the pressure of manufacturing transformation and development leads to high pessimism, and the probability of the shared manufacturing supply chain choosing quality innovation synergy increases and the probability of the shared platform choosing regulation increases under the continuous demands of the state, society, and industry.

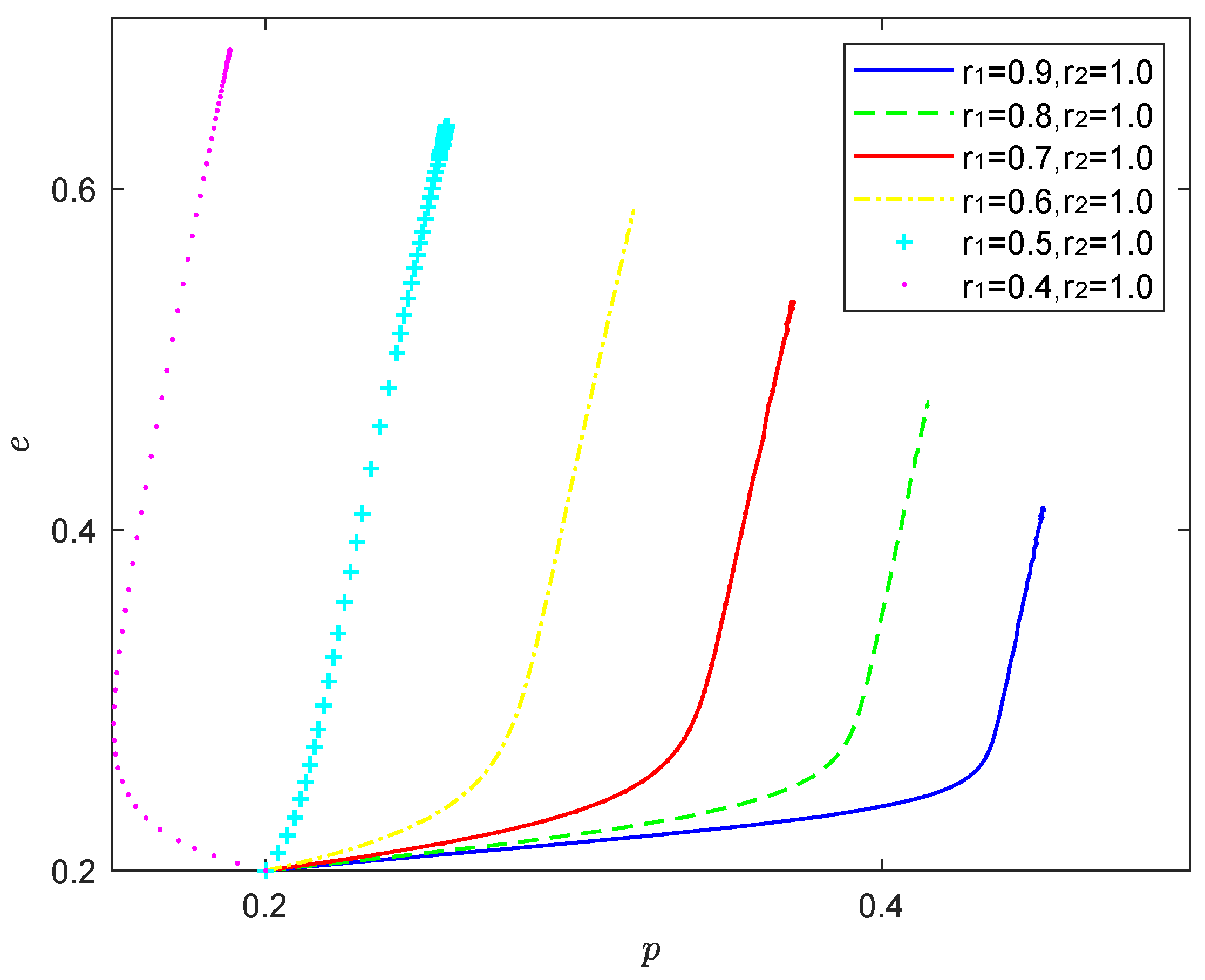
6.4. (Optimistic, Pessimistic) State Analysis

Figure 6 illustrates the equilibrium strategy when the shared manufacturing supply chain is optimistic and the shared platform is pessimistic, i.e., when r 1 < 1 , r 2 > 1 . Figure 6 demonstrates that when the optimism of the shared manufacturing supply chain was certain, as the pessimism of shared platform deepened, the probability of both the shared manufacturing supply chain choosing quality innovation synergy and the shared platform choosing regulation increased, and the mixed strategy Nash equilibrium point also kept moving toward the upper-right corner of the chart, which shows that when the shared manufacturing supply chain maintains moderate optimism, the deepening pessimism of the shared platform enhances the probability of quality innovation synergy in shared manufacturing supply chains. Comparing Figure 6a–c, with the deepening optimism of the shared manufacturing supply chain, the trajectory of the strategy evolution of the shared manufacturing supply chain and the shared platform was found to change significantly, and when the optimism of the shared manufacturing supply chain was deeper, the strategy evolution trajectory of each game subject had the tendency to evolve to the lower-left corner of the chart, and the system evolved for a longer period of time (negative quality innovation synergy, no regulation). The strategy combination state of the shared manufacturing supply chain was such that, when the shared manufacturing supply chain was over-optimistic, the shared manufacturing supply chain and the shared platform were in a state of inaction in the short term, which is not conducive to the Pareto improvement of the system. The above conclusions show that the impact of “optimism” on quality decision making is not as simple as “optimism will reduce people’s willingness to choose positive strategies” [56], but is relatively complex. These findings indicate that when the shared manufacturing supply chain is in an optimistic state, improving the pessimism of the shared platform can help the shared manufacturing supply chain quality synergy improvement, but excessive optimism of the shared manufacturing supply chain hinders the Pareto improvement of the shared system.

6.5. (Pessimistic, Optimistic) State Analysis

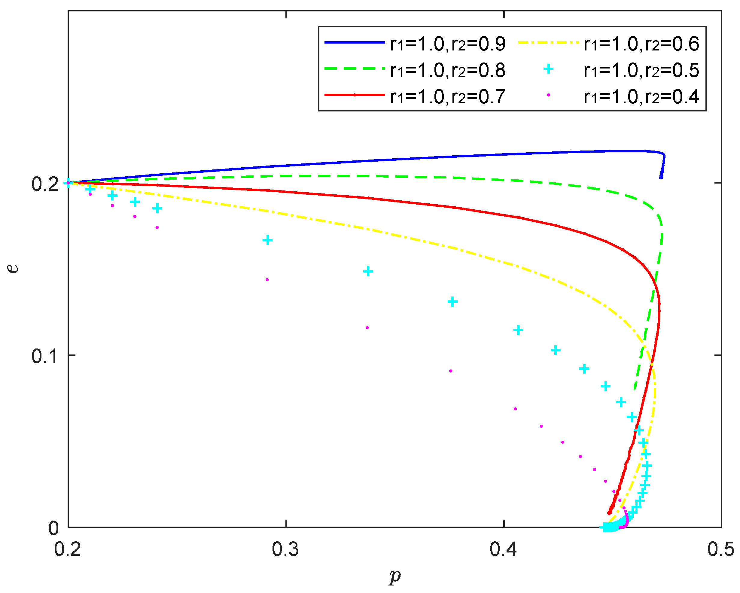
Figure 7 displays the equilibrium strategy when the shared manufacturing supply chain is pessimistic and the shared platform is optimistic, i.e., when r 1 > 1 , r 2 < 1 . As illustrated in Figure 7, when the shared platform’s optimism was certain, as the shared manufacturing supply chain pessimism kept deepening, the probability of the shared manufacturing supply chain choosing quality innovation synergy kept increasing; meanwhile, the rate of convergence of the shared platform evolution to the unregulated strategy kept increasing, and the mixed strategy Nash equilibrium point kept moving toward the lower-left corner of the chart. Comparing Figure 7a–c, it can be seen that as the shared manufacturing platform optimism deepened, the rate of convergence of the shared manufacturing supply chain and shared platform strategy evolution kept accelerating, the position of the hybrid strategy Nash equilibrium point kept moving to the right in a direction close to the horizontal axis of the chart, and the system strategy evolution kept converging to a state of (quality innovation synergy, no regulation).
This conclusion suggests that, when the shared platform is in an optimistic mood, improving the pessimistic mood of the shared manufacturing supply chain helps the shared manufacturing supply chain undergo quality synergy improvement, and as the optimistic mood of the shared platform keeps deepening, the system strategy evolution will eventually converge to a state of (quality innovation synergy, no regulation). When the shared manufacturing supply chain is highly self-regulated and the shared manufacturing supply chain is safe and stable, the shared platform can choose to save the cost of cost reduction and choose not to regulate, so that it can realize the strategy combination of (quality innovation synergy, no regulation) to maximize social benefits; therefore, the strategy combination of (quality innovation synergy, no regulation) is not the theoretical optimal strategy combination but the realistic optimum. This strategy combination (quality innovation synergy, no regulation) is not theoretically optimal but realistically optimal.

6.6. (Optimistic, Rational) State Analysis

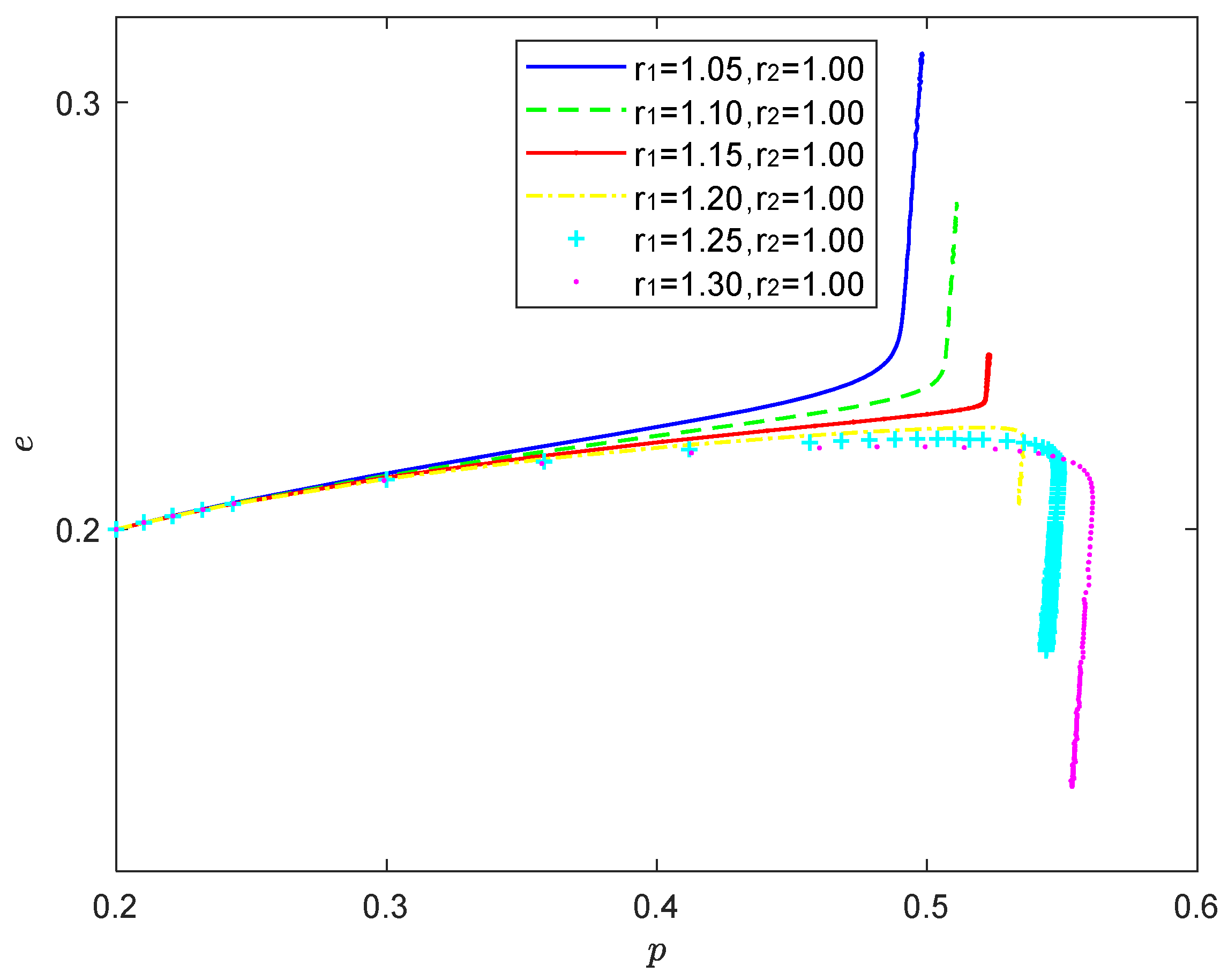
Figure 8 presents the equilibrium strategy when the shared manufacturing supply chain is optimistic and the shared platform is rational, i.e., when r 1 < 1 , r 2 = 1 . From Figure 8, as the optimism of the shared manufacturing supply chain deepened, the probability of quality innovation synergy in the shared manufacturing supply chain decreased, the probability of shared platform regulation increased, and the position of the mixed strategy Nash equilibrium point kept moving to the upper-left corner of the chart. When the optimism of shared manufacturing supply chain was too deep; that is, when r 1 = 0 . 4 , the probability of quality innovation synergy of shared manufacturing supply chain rose, then fell. This indicates that that an appropriate level of optimism helps the probability of the shared manufacturing supply chain QI synergy, while excessive optimism makes the system strategy evolution converge to a state of (negative QI synergy, regulation), which consumes the cost of regulation and cannot guarantee the probability of shared manufacturing supply chain QI synergy, and the strategic combination of (negative QI synergy, regulation) is the less realistic strategy combination.

6.7. (Pessimistic, Rational) State Analysis

Figure 9 depicts the equilibrium strategy when the shared manufacturing supply chain is pessimistic and the shared platform is rational, i.e., at r 1 > 1 , r 2 = 1 . As can be seen from Figure 9, as the pessimism of the shared manufacturing supply chain deepened, the probability of quality innovation synergy in the shared manufacturing supply chain decreased and the probability of shared platform regulation increased. Specifically, the shared platform regulation strategy maintained an upward evolutionary trajectory when r 1 1.15 and a downward evolutionary trajectory when r 1 > 1.15 . Moderate pessimism could make the shared manufacturing supply chain maintain a certain sense of danger, and then actively carry out quality innovation synergy. Once the pessimism was too deep, it was counterproductive. This indicates that the participants should maintain moderate pessimism, and excessive pessimism reduces the enthusiasm of participants to choose positive strategies.

6.8. (Rational, Optimistic) State Analysis

Figure 10 reflects the equilibrium strategy when the shared manufacturing supply chain is rational and the shared platform is optimistic, i.e., when r 1 = 1 , r 2 < 1 . From Figure 10, the probability of quality innovation synergy in the shared manufacturing supply chain and the probability of shared platform regulation both kept decreasing as the optimism of shared platform deepened. The position of the hybrid strategy Nash equilibrium point kept moving downwards. When the optimism of the shared platform was too deep, i.e., when r 2 = 0 . 4 , the probability of shared platform regulation was almost zero, and the probability of quality innovation synergy in the shared manufacturing supply chain was also low. The motivation for shared manufacturing supply chain quality innovation synergy was lower and the shared platform more often chose to do nothing, which may lead to the disorderly development of the shared system or even a quality crisis.

6.9. (Rational, Pessimistic) State Analysis

Figure 11 demonstrates the equilibrium strategy when the shared manufacturing supply chain is rational and the shared platform is pessimistic, i.e., at r 1 = 1 , r 2 > 1 . As illustrated in Figure 11, the probability of quality innovation synergy in the shared manufacturing supply chain and the probability of shared platform regulation both kept increasing as the pessimism of the shared platform deepened. The position of the mixed strategy Nash equilibrium point kept moving upwards. When the pessimism of the shared platform reached a certain level, i.e., r 2 = 3 . 4 , the probability of shared manufacturing supply chain quality innovation synergy remained at a certain level, and the probability of shared platform regulation almost converged to 1. The shared platform could better assume its own regulatory responsibilities and the enthusiasm of shared manufacturing supply chain quality innovation synergy did not reach a high level, but due to the regulatory deterrence of the shared platform, the enthusiasm for shared manufacturing supply chain quality innovation synergy also maintained a certain level, and the shared system maintained a relatively healthy trend in its development.

7. Conclusions

7.1. Key Summary

(1)
Emotions as an irrational factor can significantly change the stable state of the evolution of the shared manufacturing quality innovation synergetic system by influencing the behavioral decisions of decision makers. The behavioral decisions of decision makers are not completely rational and are influenced by their own psychological preferences and emotional attitudes, and changes in their own psychological preferences and emotional attitudes also affect the final decision outcome under the same objective decision environment.
(2)
In terms of micro-influence mechanisms, different heterogeneous emotions of subjects exert different effects on system evolution. Rationality, as the “cornerstone” of behavioral decision making, is the key to ensuring that the behavioral decision making of decision makers does not have large systematic deviation; optimism, as the “helper” of behavioral decision making, moderately can promote the probability of decision makers to choose positive strategies, thus realizing the optimal allocation of social resources; however, excessive optimism makes decision makers blind confidence and increases the probability of their later inaction; pessimism, as the driving force for behavioral decision making, can stimulate decision makers’ main responsibility and promote the probability of them making positive strategic choices, but we still need to guard against the blow of excessive pessimism on decision makers’ behavioral decision-making enthusiasm.
(3)
In terms of the mechanism of heterogeneous emotions, the heterogeneous emotions of subjects have different effects on each other. For both sides of the game in the shared manufacturing model, when one side was rational, the deepening of the emotion of the other side could change the rate and stable state of strategy evolution, but not the overall trend and direction of the system’s strategic evolution; when one side was optimistic, the deepening of the pessimism of the other side significantly changed the rate and stable state of strategy evolution, and the impact tended to be positive throughout. When one party was in pessimistic mood, the increase in optimism of the other party could significantly change the rate and stable state of strategy evolution, and the impact tended to be negative throughout.

7.2. Management Insights

(1)
Correctly recognizing and treating heterogeneous emotions of decision makers and regulating the formation and role of heterogeneous emotions of decision makers. In a complex decision-making environment, decision makers are always limitedly rational, and their psychological preferences and subjective emotions always influence behavioral decisions in various ways, which is an inevitable systemic bias in the behavioral decision-making process, and objective knowledge of this phenomenon needs to be maintained. In the process of sharing practices and quality management practices, emotions as an irrational factor should be sufficiently considered in the behavioral decision-making process. From an external perspective, governmental regulatory authorities should actively conduct education and popularization work, create a favorable development environment for sharing practices and quality management practices, continuously regulate the formation and role of emotions of all stakeholders in shared manufacturing, and guide relevant subjects to establish positive emotional attitudes; from an internal perspective, all stakeholders in shared manufacturing should continuously strengthen their self-discipline, regulate their own emotional attitudes, and avoid the influences of their own emotions. In terms of an internal perspective, each stakeholder in a shared manufacturing system should continuously strengthen their self-regulation, regulate their own emotional attitudes, and actively emphasize the positive and positive role of their emotions while avoiding the negative impact of their emotions on shared manufacturing and quality management practices.
(2)
Appropriately creating a pessimistic atmosphere and guiding shared manufacturing to attach importance to manufacturing quality innovation synergy. As “economic people” seek to maximize their own interests, enterprises are often less motivated and less active when faced with behavioral decisions that favor long-term benefits but not significant short-term benefits. It is necessary to create a certain pessimistic atmosphere in the process of shared manufacturing practice and quality management practice, and through the creation of a more pessimistic emotional atmosphere, it is essential to make all stakeholders of shared manufacturing clear about the new challenges of quality management in the context of carbon peaking, carbon neutrality, and manufacturing transformational development and continuously address issues around the anxiety, pressure, and responsibility of all stakeholders in shared manufacturing, as well as continuously explore the construction of a quality innovation synergetic mechanism for manufacturers. The innovation mechanism may strengthen the role of manufacturing quality development in supporting the transformation development of China’s manufacturing industry and promote the transformation of all stakeholders of shared manufacturing from the role of “economic actor” to “ecological actor”, so that they can pursue their own interests while taking into account their own green development.
(3)
Appropriately releasing good information pertaining to quality innovation synergy, and continuously promoting the high-quality development of shared manufacturing. As a new paradigm of quality management practice, quality innovation synergy requires the abandonment of some existing quality management methods, and it is not a process that can be achieved overnight. Relevant government departments should continue to issue relevant policy documents, tax exemptions, subsidies, and incentives; society should continue to create a high-quality, supportive atmosphere; platforms and industries should continue to strengthen the connection and cooperation between enterprises and lend more support to enterprises that actively engage in quality innovation synergy. Government, the society, the platform, industry and many other bodies should actively release good information about quality innovation synergy and actively explore the sustainable quality improvement path based on the core enthusiasm of manufacturing entities generated thereby.
This paper focused on the shared manufacturing supply chain and shared platform to study the impact of heterogeneous emotions on quality improvement. Taking into account the important role of government regulators, building a tripartite game model involving the shared manufacturing supply chain, shared platform, and government regulators is the next research direction.

Author Contributions

All authors contributed to the study conception and design. Material preparation, review and editing were performed by X.W., C.S. and L.S. The first draft of the manuscript was written by Z.Z. And all authors commented on previous versions of the manuscript. All authors have read and agreed to the published version of the manuscript.

Funding

This work was supported by The National Social Science Fund of China (grant numbers 20BJY109).

Conflicts of Interest

The authors declare no conflict of interest.

References

  1. Zhao, F.; Liu, X.; Zhang, H.; Liu, Z. Automobile Industry under China’s Carbon Peaking and Carbon Neutrality Goals: Challenges, Opportunities, and Coping Strategies. J. Adv. Transp. 2022, 2022, 5834707. [Google Scholar] [CrossRef]
  2. Shanhui, W.; Caisheng, M. Evaluation of regional manufacturing quality competitiveness based on analytic network. J. Eur. Syst. Autom. 2018, 51, 109–124. [Google Scholar] [CrossRef]
  3. Chen, W.; Hu, Z.-H. Analysis of Multi-Stakeholders’ Behavioral Strategies Considering Public Participation under Carbon Taxes and Subsidies: An Evolutionary Game Approach. Sustainability 2020, 12, 1023. [Google Scholar] [CrossRef] [Green Version]
  4. Chen, H.; Wang, J.; Miao, Y. Evolutionary game analysis on the selection of green and low carbon innovation between manufacturing enterprises. Alex. Eng. J. 2021, 60, 2139–2147. [Google Scholar] [CrossRef]
  5. Lin, X.; Chen, D.; Zhou, Y.-W.; Lin, Q. Horizontal mergers in low carbon manufacturing. Eur. J. Oper. Res. 2022, 297, 359–368. [Google Scholar] [CrossRef]
  6. Wen, X.; Siqin, T. How do product quality uncertainties affect the sharing economy platforms with risk considerations? A mean-variance analysis. Int. J. Prod. Econ. 2020, 224, 107544. [Google Scholar] [CrossRef]
  7. Spencer, M.; Marcus, K.; Jonny, H. Unlocking the sharing economy: Investigating the barriers for the sharing economy in a city context. First Monday 2017, 22. [Google Scholar] [CrossRef]
  8. Peng, L.; Xiaoling, W.; Caiyun, L.; Sundarapandian, V. Tripartite Evolutionary Game Analysis of Shared Manufacturing by Manufacturing Companies under Government Regulation Mechanism. Discret. Dyn. Nat. Soc. 2022, 2022, 103611. [Google Scholar] [CrossRef]
  9. Kurisu, K.; Ikeuchi, R.; Nakatani, J.; Moriguchi, Y. Consumers’ motivations and barriers concerning various sharing services. J. Clean. Prod. 2021, 308, 127269. [Google Scholar] [CrossRef]
  10. Hartl, B.; Sabitzer, T.; Hofmann, E.; Penz, E. “Sustainability is a nice bonus” the role of sustainability in carsharing from a consumer perspective. J. Clean. Prod. 2018, 202, 88–100. [Google Scholar] [CrossRef]
  11. Cherry, C.E.; Pidgeon, N.F. Is sharing the solution? Exploring public acceptability of the sharing economy. J. Clean. Prod. 2018, 195, 939–948. [Google Scholar] [CrossRef]
  12. Mardoyan, A.; Braun, P. Analysis of Czech Subsidies for Solid Biofuels. Int. J. Green Energy 2015, 12, 405–408. [Google Scholar] [CrossRef]
  13. Soltysova, Z.; Modrak, V. Challenges of the Sharing Economy for SMEs: A Literature Review. Sustainability 2020, 12, 6504. [Google Scholar] [CrossRef]
  14. Raisanen, J.; Ojala, A.; Tuovinen, T. Building trust in the sharing economy: Current approaches and future considerations. J. Clean. Prod. 2021, 279, 123724. [Google Scholar] [CrossRef]
  15. Awan, U. Impact of social supply chain practices on social sustainability performance in manufacturing firms. Int. J. Innov. Sustain. Dev. 2019, 13, 198–219. [Google Scholar] [CrossRef]
  16. Wang, M.; Zhao, X.; Gong, Q.; Ji, Z. Measurement of Regional Green Economy Sustainable Development Ability Based on Entropy Weight-Topsis-Coupling Coordination Degree-A Case Study in Shandong Province, China. Sustainability 2019, 11, 280. [Google Scholar] [CrossRef] [Green Version]
  17. Ailon, G. The Phenomenology of Homo Economicus. Sociol. Theory 2020, 38, 36–50. [Google Scholar] [CrossRef]
  18. Wang, J.; Yang, B.; Zhai, L. Tripartite Evolutionary Game Analysis of Trust Relationship between Enterprises in a Cloud Manufacturing Environment: A Service Composition Perspective. Discret. Dyn. Nat. Soc. 2022, 2022, 6922627. [Google Scholar] [CrossRef]
  19. Täuscher, K.; Kietzmann, J. Learning from Failures in the Sharing Economy. MIS Q. Exec. 2017, 16, 253–264. [Google Scholar]
  20. Wang, T.; Li, C.; Yuan, Y.; Liu, J.; Adeleke, I.B. An evolutionary game approach for manufacturing service allocation management in cloud manufacturing. Comput. Ind. Eng. 2019, 133, 231–240. [Google Scholar] [CrossRef]
  21. Goudarzi, E.V.; Houshmand, M.; Valilai, O.F.; Ghezavati, V.; Bamdad, S. Equilibrial service composition model in Cloud manufacturing (ESCM) based on non-cooperative and cooperative game theory for healthcare service equipping. PeerJ Comput. Sci. 2021, 7, e410. [Google Scholar] [CrossRef]
  22. Subiza, B.; Peris, J.E. Sharing the cost of maximum quality optimal spanning trees. Top 2021, 29, 470–493. [Google Scholar] [CrossRef]
  23. Fan, J.; Ni, D.; Fang, X. Liability cost sharing, product quality choice, and coordination in two-echelon supply chains. Eur. J. Oper. Res. 2020, 284, 514–537. [Google Scholar] [CrossRef]
  24. Zheng, X.-X.; Liu, Z.; Li, K.W.; Huang, J.; Chen, J. Cooperative game approaches to coordinating a three-echelon closed-loop supply chain with fairness concerns. Int. J. Prod. Econ. 2019, 212, 92–110. [Google Scholar] [CrossRef]
  25. Wang, M.; Lian, S.; Yin, S.; Dong, H. A Three-Player Game Model for Promoting the Diffusion of Green Technology in Manufacturing Enterprises from the Perspective of Supply and Demand. Mathematics 2020, 8, 1585. [Google Scholar] [CrossRef]
  26. Brosch, T.; Scherer, K.R.; Grandjean, D.; Sander, D. The impact of emotion on perception, attention, memory, and decision-making. Swiss Med. Wkly. 2013, 143, w13786. [Google Scholar] [CrossRef]
  27. Liu, J.; Zhuang, D.; Shen, W. The impact of quality management practices on manufacturing performance: An empirical study based on system theory. Soft Comput. 2022, 1–16. [Google Scholar] [CrossRef]
  28. Boateng-Okrah, E.; Fening, F.A. TQM implementation: A case of a mining company in Ghana. Benchmarking Int. J. 2012, 19, 743–759. [Google Scholar] [CrossRef]
  29. Chunquan, L.; Yaqiong, C.; Yuling, S. A review of industrial big data for decision making in intelligent manufacturing. Eng. Sci. Technol. Int. J. 2022, 29. [Google Scholar] [CrossRef]
  30. Malhotra, S.; Agarwal, V.; Kapur, K.P. Hierarchical framework for analysing the challenges of implementing industrial Internet of Things in manufacturing industries using ISM approach. Int. J. Syst. Assur. Eng. Manag. 2022, 1–15. [Google Scholar] [CrossRef]
  31. Jbair, M.; Ahmad, B.; Maple, C.; Harrison, R. Threat modelling for industrial cyber physical systems in the era of smart manufacturing. Comput. Ind. 2022, 137, 103611. [Google Scholar] [CrossRef]
  32. Zhou, L.; Jiang, Z.; Geng, N.; Niu, Y.; Cui, F.; Liu, K.; Qi, N. Production and operations management for intelligent manufacturing: A systematic literature review. Int. J. Prod. Res. 2022, 60, 808–846. [Google Scholar] [CrossRef]
  33. Tambare, P.; Meshram, C.; Lee, C.-C.; Ramteke, R.J.; Imoize, A.L. Performance Measurement System and Quality Management in Data-Driven Industry 4.0: A Review. Sensors 2022, 22, 224. [Google Scholar] [CrossRef] [PubMed]
  34. Escobar, C.A.; McGovern, M.E.; Morales-Menendez, R. Quality 4.0: A review of big data challenges in manufacturing. J. Intell. Manuf. 2021, 32, 2319–2334. [Google Scholar] [CrossRef]
  35. Hendricks, K.B.; Singhal, V.R. Firm characteristics, total quality management, and financial performance. J. Oper. Manag. 2001, 19, 269–285. [Google Scholar] [CrossRef]
  36. Christina, Ö. Disruptive and paradoxical roles in the sharing economies. Int. J. Innov. Manag. 2021, 25, 2150045. [Google Scholar] [CrossRef]
  37. Akhmedova, A.; Mas-Machuca, M.; Marimon, F. Value co-creation in the sharing economy: The role of quality of service provided by peer. J. Clean. Prod. 2020, 266, 121736. [Google Scholar] [CrossRef]
  38. Lan, J.; Ma, Y.; Zhu, D.; Mangalagiu, D.; Thornton, T.F. Enabling Value Co-Creation in the Sharing Economy: The Case of Mobike. Sustainability 2017, 9, 1504. [Google Scholar] [CrossRef] [Green Version]
  39. Ma, Y.; Rong, K.; Luo, Y.; Wang, Y.; Mangalagiu, D.; Thornton, T.F. Value Co-creation for sustainable consumption and production in the sharing economy in China. J. Clean. Prod. 2019, 208, 1148–1158. [Google Scholar] [CrossRef]
  40. Gu, H.; Zhang, T.; Lu, C.; Song, X. Assessing Trust and Risk Perceptions in the Sharing Economy: An Empirical Study. J. Manag. Stud. 2021, 58, 1002–1032. [Google Scholar] [CrossRef]
  41. Wu, S.J. Assessing the individual and synergistic effects of quality management practices on operations performance. Int. J. Product. Perform. Manag. 2020, 69, 297–320. [Google Scholar] [CrossRef]
  42. Jiang, X.Y.; Wang, S.J.; Jin, J.Q.; Wang, W.S. A Method of Quality Control for Networked Collaborative Product Development. Adv. Mater. Res. 2010, 961, 866–870. [Google Scholar] [CrossRef]
  43. Hindreus, T.; Reedik, V. Synergy-based Approach to Quality Assurance. Est. J. Eng. 2009, 15, 87–98. [Google Scholar] [CrossRef] [Green Version]
  44. Haldane, J.B. Mathematical Darwinism: A discussion of the genetical theory of natural selection. Eugen. Rev. 1931, 23, 115–117. [Google Scholar]
  45. Mellers, B.A.; Schwartz, A.; Cooke, A.D. Judgment and decision making. Annu. Rev. Psychol. 1998, 49, 447–477. [Google Scholar] [CrossRef] [Green Version]
  46. Firth, M.; Wang, K.; Wong, S.M.L. Corporate Transparency and the Impact of Investor Sentiment on Stock Prices. Manag. Sci. 2015, 61, 1630–1647. [Google Scholar] [CrossRef] [Green Version]
  47. Hu, M.R.; Lee, A.D. Outshine to Outbid: Weather-Induced Sentiment and the Housing Market. Manag. Sci. 2020, 66, 1440–1472. [Google Scholar] [CrossRef]
  48. Hornsey, M.J.; Fielding, K.S. A cautionary note about messages of hope: Focusing on progress in reducing carbon emissions weakens mitigation motivation. Glob. Environ. Change 2016, 39, 26–34. [Google Scholar] [CrossRef]
  49. Guo, D.; Chen, H.; Long, R. How to involve individuals in personal carbon trading? A game model taking into account the heterogeneous emotions of government and individuals. Nat. Hazards 2019, 95, 419–435. [Google Scholar] [CrossRef]
  50. Ni, S.; Zou, S.; Chen, J. Evolutionary Game Model of Internal Threats to Nuclear Security in Spent Fuel Reprocessing Plants Based on RDEU Theory. Sustainability 2022, 14, 2163. [Google Scholar] [CrossRef]
  51. Liu, J.; Lyu, Y.; Zhao, H.; Chen, J. Game analysis of nuclear wastewater discharge under different attitudes: Seeking a potential equilibrium solution. Sci. Total Environ. 2021, 801, 149762. [Google Scholar] [CrossRef] [PubMed]
  52. Yang, X.; Tian, Y.; Feng, K.; Yang, J.; Zhang, S.-h.; Wang, S. Signal Game Analysis on the Effectiveness of Coal Mine Safety Supervision Based on the Affective Events Theory. Complexity 2020, 2020, 5710419. [Google Scholar] [CrossRef]
  53. John, Q. A theory of anticipated utility. J. Econ. Behav. Organ. 1982, 3, 323–343. [Google Scholar] [CrossRef]
  54. Ferro, G.M.; Tatyana, K.; Didier, S. Quantum decision theory augments rank-dependent expected utility and Cumulative Prospect Theory. J. Econ. Psychol. 2021, 86, 102417. [Google Scholar] [CrossRef]
  55. Starmer, C. Developments in Non-Expected Utility Theory: The Hunt for a Descriptive Theory of Choice under Risk. J. Econ. Lit. 2000, 38, 332–382. [Google Scholar] [CrossRef] [Green Version]
  56. Chu, H.; Yang, J.Z. Emotion and the Psychological Distance of Climate Change. Sci. Commun. 2019, 41, 761–789. [Google Scholar] [CrossRef]
Figure 1. Utility function diagram. (a) the utility function diagram of the decision maker under pessimism; (b) the utility function diagram of the decision maker under optimism.
Figure 1. Utility function diagram. (a) the utility function diagram of the decision maker under pessimism; (b) the utility function diagram of the decision maker under optimism.
Processes 10 01233 g001
Figure 2. Conceptual diagram of the game model.
Figure 2. Conceptual diagram of the game model.
Processes 10 01233 g002
Figure 3. Evolution of game strategy in (rational, rational) state.
Figure 3. Evolution of game strategy in (rational, rational) state.
Processes 10 01233 g003
Figure 4. Evolution of game strategy in (optimistic, optimistic) state.
Figure 4. Evolution of game strategy in (optimistic, optimistic) state.
Processes 10 01233 g004
Figure 5. Evolution of game strategy in (pessimistic, pessimistic) state.
Figure 5. Evolution of game strategy in (pessimistic, pessimistic) state.
Processes 10 01233 g005
Figure 6. Evolution of game strategy in (optimistic, pessimistic) state. (a) Scenario 1, (b) Scenario 2, (c) Scenario 3.
Figure 6. Evolution of game strategy in (optimistic, pessimistic) state. (a) Scenario 1, (b) Scenario 2, (c) Scenario 3.
Processes 10 01233 g006aProcesses 10 01233 g006b
Figure 7. Evolution of game strategy in (pessimistic, optimistic) state. (a) Scenario 1, (b) Scenario 2, (c) Scenario 3.
Figure 7. Evolution of game strategy in (pessimistic, optimistic) state. (a) Scenario 1, (b) Scenario 2, (c) Scenario 3.
Processes 10 01233 g007aProcesses 10 01233 g007b
Figure 8. Evolution of game strategy in (optimistic, rational) state.
Figure 8. Evolution of game strategy in (optimistic, rational) state.
Processes 10 01233 g008
Figure 9. Evolution of game strategy in (pessimistic, rational) state.
Figure 9. Evolution of game strategy in (pessimistic, rational) state.
Processes 10 01233 g009
Figure 10. Evolution of game strategy in (rational, optimistic) state.
Figure 10. Evolution of game strategy in (rational, optimistic) state.
Processes 10 01233 g010
Figure 11. Evolution of game strategy in (rational, pessimistic) state.
Figure 11. Evolution of game strategy in (rational, pessimistic) state.
Processes 10 01233 g011
Table 1. Gain perception matrix.
Table 1. Gain perception matrix.
ParticipationShared Platform
Regulated eUnregulated 1 − e
Shared manufacturing
supply chain
Quality innovation synergy W ( E a + E b ) C p a C p b + R + M M + W ( E a + E b ) C p a C p b
p D R C e a D
Negative quality innovation synergy C p c F N N q T
1 p F L C e a L q T
Table 2. Parameter symbols and their meanings.
Table 2. Parameter symbols and their meanings.
ParameterMeaning
p Probability of quality innovation synergy in a shared manufacturing supply chain
e Probability of negative quality innovation synergy in shared manufacturing supply chain
C p a Cost of shared manufacturing supply chain collaboration
C p b Shared manufacturing supply chain quality innovation cost
C p c Psychological cost borne by negative quality innovation synergy in shared manufacturing supply chain
C e a Cost of shared platform regulation
D Shared platform gains due to proper regulation (e.g., reputation, credibility, etc.)
L Losses gained by shared platforms due to improper regulation (e.g., reputation, credibility, etc.)
R Shared rewards gained by the manufacturing supply chain due to quality innovation synergy
F Shared penalties received by the manufacturing supply chain for negative quality innovation synergy
E a Shared unit benefits of quality level improvement gained from quality innovation synergy in the manufacturing supply chain
E b Shared unit benefit of synergy improvement gained from quality innovation synergy in manufacturing supply chain
W Degree of improvement
M Cost subsidy
N Regulatory increase
T Quality accident risk
q Probability of quality incident risk
Table 3. RDEU of shared manufacturing supply chain considering emotions.
Table 3. RDEU of shared manufacturing supply chain considering emotions.
Shared Platform UtilityProbabilityRank PositionDecision Weight
W ( E a + E b ) C p a C p b + R + M p e 1 ω A ( p e )
M + W ( E a + E b ) C p a C p b p ( 1 e ) 1 p e ω A ( p ) ω A ( p e )
C p c F N ( 1 p ) e 1 p ω A ( p + e p e ) ω A ( p )
N q T ( 1 p ) ( 1 e ) 1 p e + p e 1 ω A ( p + e p e )
Table 4. Expected utility of the rank dependence of the shared platform considering emotion.
Table 4. Expected utility of the rank dependence of the shared platform considering emotion.
Shared Platform UtilityProbabilityRank PositionDecision Weight
D p ( 1 e ) 1 ω B ( p p e )
D R C e a p e 1 p + p e ω B ( p ) ω B ( p p e )
F L C e a ( 1 p ) e 1 p ω B ( p + e p e ) ω B ( p )
L q T ( 1 p ) ( 1 e ) 1 p e + p e 1 ω B ( p + e p e )
Table 5. Stability analysis of the strategy combination in the shared manufacturing supply chain rationality, shared platform rationality scenario.
Table 5. Stability analysis of the strategy combination in the shared manufacturing supply chain rationality, shared platform rationality scenario.
Balancing Point F ( p ) p F ( p ) e F ( e ) p F ( e ) e D e t ( J ) T r ( J ) Stability
E 1 ( 0 , 0 ) M + W ( E a + E b ) C p a C p b + N + q T 0 0 F C e a + q T + + Instability
E 2 ( 1 , 0 ) [ M + W ( E a + E b ) C p a C p b + N + q T ] 0 0 ( R + C e a ) + Stable
E 3 ( 0 , 1 ) M + W ( E a + E b ) C p a C p b + C p c + N + F + R 0 0 ( F C e a + q T ) × Instability
E 4 ( 1 , 1 ) [ M + W ( E a + E b ) C p a C p b + C p c + N + F + R ] 0 0 R + C e a Instability
E 5 ( p , e ) A B C D × × Saddle point
Table 6. Stability analysis of the strategy combination under shared manufacturing supply chain emotion, shared platform emotion scenario.
Table 6. Stability analysis of the strategy combination under shared manufacturing supply chain emotion, shared platform emotion scenario.
Balancing Point F ( p ) p F ( p ) e F ( e ) p F ( e ) e D e t ( J ) T r ( J ) Stability
E 1 ( 0 , 0 ) 0 0 0 0 0 0 Instability
E 2 ( 1 , 0 ) r 1 [ M + W ( E a + E b ) C p a C p b + N + q T ] 0 0 0 0 Instability
E 3 ( 0 , 1 ) 0 0 0 r 2 ( F C e a + q T ) 0 Instability
E 4 ( 1 , 1 ) r 1 [ M + W ( E a + E b ) C p a C p b + C p c + N + F + R ] R ( r 2 r 1 ) ( r 1 r 2 ) ( D R F + L ) 0 0 Instability
E 5 ( p , e ) Stability depends on specific values and emotional intensity
Table 7. Stability analysis of the strategy combination under shared manufacturing supply chain rationality and shared platform emotion scenario.
Table 7. Stability analysis of the strategy combination under shared manufacturing supply chain rationality and shared platform emotion scenario.
Balancing Point F ( p ) p F ( p ) e F ( e ) p F ( e ) e D e t ( J ) T r ( J ) Stability
E 1 ( 0 , 0 ) [ M + W ( E a + E b ) C p a C p b + N + q T ] 0 0 0 0 + Instability
E 2 ( 1 , 0 ) [ M + W ( E a + E b ) C p a C p b + N + q T ] R 0 0 0 Instability
E 3 ( 0 , 1 ) [ M + W ( E a + E b ) C p a C p b + C p c + N + F + R ] 0 ( D R F + L ) r 2 ( F C e a + q T ) × Instability
E 4 ( 1 , 1 ) [ M + W ( E a + E b ) C p a C p b + C p c + N + F + R ] R ( r 2 1 ) ( 1 r 2 ) ( D R F + L ) 0 0 Instability
E 5 ( p , e ) Stability depends on specific values and emotional intensity
Table 8. Strategy combination stability analysis under shared manufacturing supply chain emotion, shared platform rationality scenario.
Table 8. Strategy combination stability analysis under shared manufacturing supply chain emotion, shared platform rationality scenario.
Balancing Point F ( p ) p F ( p ) e F ( e ) p F ( e ) e D e t ( J ) T r ( J ) Stability
E 1 ( 0 , 0 ) 0 0 0 ( F C e a + q T ) 0 + Instability
E 2 ( 1 , 0 ) r 1 [ M + W ( E a + E b ) C p a C p b + N + q T ] R 0 ( R + C e a ) + Stable
E 3 ( 0 , 1 ) 0 0 ( D R F + L ) ( F C e a + q T ) 0 Instability
E 4 ( 1 , 1 ) r 1 [ M + W ( E a + E b ) C p a C p b + C p c + N + F + R ] R ( 1 r 1 ) ( r 1 1 ) ( D R F + L ) ( R + C e a ) × Saddle point
E 5 ( p , e ) Stability depends on specific values and emotional intensity
Table 9. Parameter settings.
Table 9. Parameter settings.
Parameter p e C p a C p b C p c C e a D L R
Initial value0.20.22111332
Parameter F E a E b W M N T q
Initial value22221120.5
Publisher’s Note: MDPI stays neutral with regard to jurisdictional claims in published maps and institutional affiliations.

Share and Cite

MDPI and ACS Style

Zhang, Z.; Wang, X.; Su, C.; Sun, L. Evolutionary Game Analysis of Shared Manufacturing Quality Innovation Synergetic Behavior Considering a Subject’s Heterogeneous Emotions. Processes 2022, 10, 1233. https://doi.org/10.3390/pr10071233

AMA Style

Zhang Z, Wang X, Su C, Sun L. Evolutionary Game Analysis of Shared Manufacturing Quality Innovation Synergetic Behavior Considering a Subject’s Heterogeneous Emotions. Processes. 2022; 10(7):1233. https://doi.org/10.3390/pr10071233

Chicago/Turabian Style

Zhang, Ziming, Xinping Wang, Chang Su, and Linhui Sun. 2022. "Evolutionary Game Analysis of Shared Manufacturing Quality Innovation Synergetic Behavior Considering a Subject’s Heterogeneous Emotions" Processes 10, no. 7: 1233. https://doi.org/10.3390/pr10071233

APA Style

Zhang, Z., Wang, X., Su, C., & Sun, L. (2022). Evolutionary Game Analysis of Shared Manufacturing Quality Innovation Synergetic Behavior Considering a Subject’s Heterogeneous Emotions. Processes, 10(7), 1233. https://doi.org/10.3390/pr10071233

Note that from the first issue of 2016, this journal uses article numbers instead of page numbers. See further details here.

Article Metrics

Back to TopTop