Improved Constrained Predictive Functional Control Using Extended Non-Minimal State Space Formulation for the Cement Production Process
Abstract
:1. Introduction
2. Traditional Constrained PFC Method
3. Presented Constrained PFC Strategy
3.1. Extended Form Based State Space Model
3.2. Modified Constraint Dealing Method
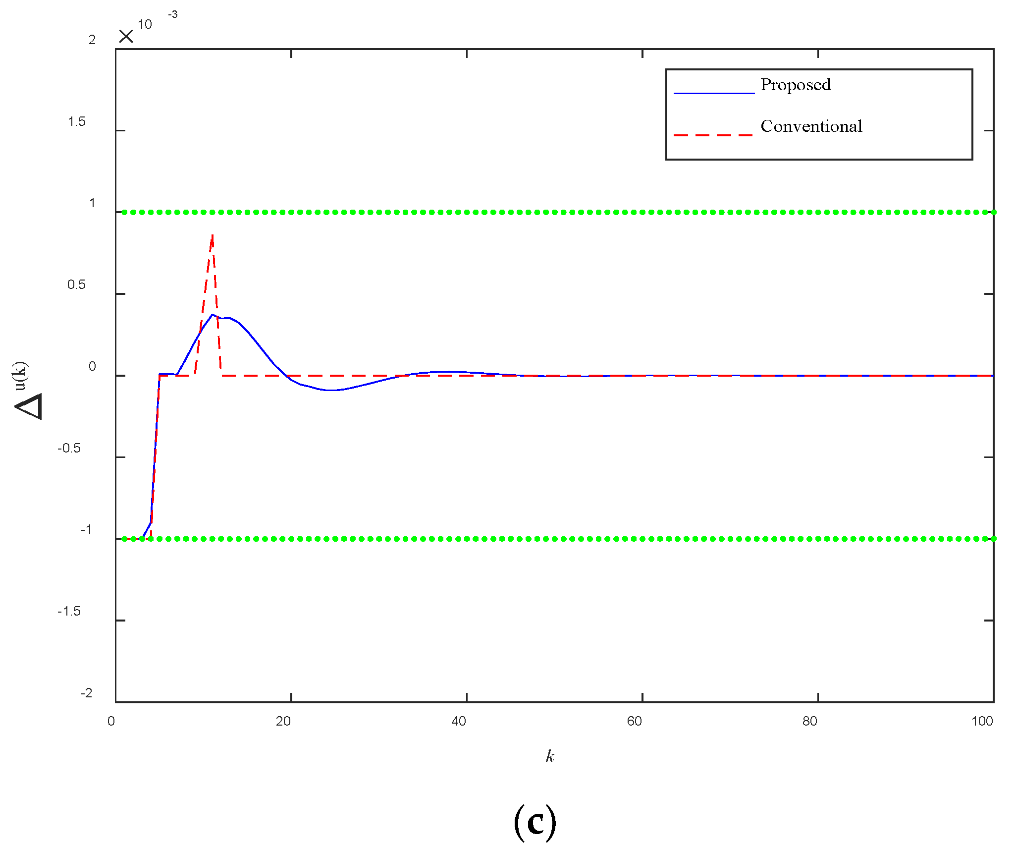
4. Case Study
5. Conclusions
Author Contributions
Funding
Institutional Review Board Statement
Informed Consent Statement
Data Availability Statement
Conflicts of Interest
References
- Oh, S.K.; Lee, J.M. Iterative learning model predictive control for constrained multivariable control of batch processes. Comput. Chem. Eng. 2016, 93, 284–292. [Google Scholar] [CrossRef]
- Zhang, R.; Jin, Q. Design and Implementation of hybrid modeling and PFC for oxygen content regulation in a coke furnace. IEEE Trans. Ind. Inform. 2018, 14, 2335–2342. [Google Scholar] [CrossRef]
- McPherson, D.L.; Huang, M.; Kolmanovsky, I. A regularized and smoothed Fischer-Burmeister method for quadratic programming with applications to model predictive control. IEEE Trans. Autom. Control. 2019, 64, 2937–2944. [Google Scholar] [CrossRef] [Green Version]
- Li, Z.J.; Yuan, W.; Chen, Y.; Ke, F.; Chu, X.L.; Chen, C.L.P. Neural-dynamic optimization-based model predictive control for tracking and formation of nonholonomic multirobot systems. IEEE Trans. Neural Netw. Learn. Syst. 2018, 29, 6113–6122. [Google Scholar] [CrossRef]
- Bemporad, A. A numerically stable solver for positive semidefinite quadratic programs based on nonnegative least squares. IEEE Trans. Autom. Control. 2018, 63, 525–531. [Google Scholar] [CrossRef]
- Xiao, H.Z.; Li, Z.J.; Chen, C.L.P. Formation control of leader-follower mobile robots’ systems using model predictive control based on neural-dynamic optimization. IEEE Trans. Ind. Electron. 2016, 63, 5752–5762. [Google Scholar] [CrossRef]
- Dontchev, A.L.; Huang, M.; Kolmanovsky, I.; Nicotra, M.M. Inexact Newton-Kantorovich methods for constrained nonlinear model predictive control. IEEE Trans. Autom. Control. 2019, 64, 3602–3615. [Google Scholar] [CrossRef]
- Bemporad, A. A quadratic programming algorithm based on nonnegative least squares with applications to embedded model predictive control. IEEE Trans. Autom. Control. 2016, 61, 1111–1116. [Google Scholar] [CrossRef]
- Li, Z.J.; Deng, J.; Lu, R.Q.; Xu, Y.; Bai, J.J.; Su, C.Y. Trajectory-tracking control of mobile robot systems incorporating neural-dynamic optimized model predictive approach. IEEE Trans. Syst. Man Cybern. 2016, 46, 740–749. [Google Scholar] [CrossRef]
- Lu, Y.; Li, D.W.; Xu, Z.H.; Xi, Y.G. Convergence analysis and digital implementation of a discrete-time neural network for model predictive control. IEEE Trans. Ind. Electron. 2014, 61, 7035–7045. [Google Scholar] [CrossRef]
- Liu, Y.J.; Tong, S.C. Barrier Lyapunov Functions-based adaptive control for a class of nonlinear pure-feedback systems with state constraints. Automatica 2016, 64, 70–75. [Google Scholar] [CrossRef]
- Mesbah, A. Stochastic model predictive control: An overview and perspectives for future research. IEEE Control Syst. Mag. 2016, 36, 30–44. [Google Scholar]
- Sanchez-Sanchez, K.B.; Ricardez-Sandoval, L.A. Simultaneous design and control under uncertainty using model predictive control. Ind. Eng. Chem. Res. 2013, 52, 4815–4833. [Google Scholar] [CrossRef]
- Pourkargar, D.B.; Almansoori, A.; Daoutidis, P. Impact of decomposition on distributed model predictive control: A process network case study. Ind. Eng. Chem. Res. 2017, 56, 9606–9616. [Google Scholar] [CrossRef]
- Zeng, J.; Liu, J.F. Economic model predictive control of wastewater treatment processes. Ind. Eng. Chem. Res. 2015, 54, 5710–5721. [Google Scholar] [CrossRef]
- Sha’aban, Y.A.; Tahir, F.; Masding, P.W.; Mack, J.; Lennox, B. Control improvement using MPC: A case study of pH control for brine dechlorination. IEEE Access 2018, 6, 13418–13428. [Google Scholar] [CrossRef]
- Tao, J.; Yu, Z.; Zhu, Y.; Ma, L. A linear quadratic structure based predictive functional control design for industrial processes against partial actuator failures. Chemom. Intell. Lab. Syst. 2015, 146, 263–269. [Google Scholar] [CrossRef]
- Xu, F.; Chen, H.; Gong, X.; Mei, Q. Fast nonlinear model predictive control on FPGA using particle swarm optimization. IEEE Trans. Ind. Electron. 2016, 63, 310–321. [Google Scholar] [CrossRef]
- Wallace, M.; Pon Kumar, S.S.; Mhaskar, P. Offset-free model predictive control with explicit performance specification. Ind. Eng. Chem. Res. 2016, 55, 995–1003. [Google Scholar] [CrossRef]
- Pourkargar, D.B.; Moharir, M.; Almansoori, A.; Daoutidis, P. Distributed estimation and nonlinear model predictive control using community detection. Ind. Eng. Chem. Res. 2019, 58, 13495–13507. [Google Scholar] [CrossRef]
- Tao, J.L.; Zhu, Y.; Fan, Q.R. Improved state space model predictive control design for linear systems with partial actuator failure. Ind. Eng. Chem. Res. 2014, 53, 3578–3586. [Google Scholar] [CrossRef]
- Zhang, R.D.; Xue, A.K.; Wang, S.Q.; Ren, Z.Y. An improved model predictive control approach based on extended non-minimal state space formulation. J. Process Control 2011, 21, 1183–1192. [Google Scholar] [CrossRef]
- Zhang, R.D.; Gao, F.R. State space model predictive control using partial decoupling and output weighting for improved model/plant mismatch performance. Ind. Eng. Chem. Res. 2013, 52, 817–829. [Google Scholar] [CrossRef]
- Zhang, R.D.; Xue, A.K.; Lu, R.Q.; Li, P.; Gao, F.R. Real-Time Implementation of Improved State-Space MPC for Air Supply in a Coke Furnace. IEEE Trans. Ind. Electron. 2014, 61, 3532–3539. [Google Scholar] [CrossRef]
- Mosavi, A.; Qasem, S.N.; Shokri, M.; Band, S.S.; Mohammadzadeh, A. Fractional-Order Fuzzy Control Approach for Photovoltaic/Battery Systems under Unknown Dynamics, Variable Irradiation and Temperature. Electronics 2020, 9, 1455. [Google Scholar] [CrossRef]
- Liu, Z.; Mohammadzadeh, A.; Turabieh, H.; Mafarja, M.; Band, S.S.; Mosavi, A. A new online learned interval type-3 fuzzy control system for solar energy management systems. IEEE Access 2021, 9, 10498–11050. [Google Scholar] [CrossRef]









| Proposed | Conventional | |
|---|---|---|
| Model | Extended state space model | Non-minimal state space mode |
| Constraints | Always has acceptable solutions | May have no feasible solutions |
| Performance | Better ensemble control performance | Performance may not be guaranteed. |
| Parameters | Proposed | Conventional |
|---|---|---|
| 10 | 10 | |
| 0.1 | 0.1 | |
| \ | ||
| \ | ||
| 0.3 | 0.3 |
Publisher’s Note: MDPI stays neutral with regard to jurisdictional claims in published maps and institutional affiliations. |
© 2022 by the authors. Licensee MDPI, Basel, Switzerland. This article is an open access article distributed under the terms and conditions of the Creative Commons Attribution (CC BY) license (https://creativecommons.org/licenses/by/4.0/).
Share and Cite
Luo, Q.; Bai, J.; Wu, F. Improved Constrained Predictive Functional Control Using Extended Non-Minimal State Space Formulation for the Cement Production Process. Processes 2022, 10, 969. https://doi.org/10.3390/pr10050969
Luo Q, Bai J, Wu F. Improved Constrained Predictive Functional Control Using Extended Non-Minimal State Space Formulation for the Cement Production Process. Processes. 2022; 10(5):969. https://doi.org/10.3390/pr10050969
Chicago/Turabian StyleLuo, Qiuwen, Jianjun Bai, and Feng Wu. 2022. "Improved Constrained Predictive Functional Control Using Extended Non-Minimal State Space Formulation for the Cement Production Process" Processes 10, no. 5: 969. https://doi.org/10.3390/pr10050969
APA StyleLuo, Q., Bai, J., & Wu, F. (2022). Improved Constrained Predictive Functional Control Using Extended Non-Minimal State Space Formulation for the Cement Production Process. Processes, 10(5), 969. https://doi.org/10.3390/pr10050969

