Study of a Hydrophilic Healing-Promoting Porcine Acellular Dermal Matrix
Abstract
:1. Introduction
2. Experiments and Methods
2.1. Materials
2.2. pADM Treatment
2.3. FTIR Spectra Measurements
2.4. Scanning Electron Microscopy (SEM)
2.5. X-ray Diffraction Analysis (XRD)
2.6. Differential Scanning Calorimetry (DSC)
2.7. Thermogravimetric Analysis (TG)
2.8. In Vitro Enzymatic Degradation
2.9. Hydrophilicity Test
2.10. Method for Determination of Hygroscopic Kinetics
2.11. In Vitro Evaluation
2.12. In Vivo Evaluation
3. Results and Discussion
3.1. FT-IR Analysis
3.2. SEM Observation
3.3. XRD Analysis
3.4. Thermodynamic Stability
3.5. Degradation Properties
3.6. Hydrophilicity Analysis
3.7. Hygroscopic Dynamics Analysis
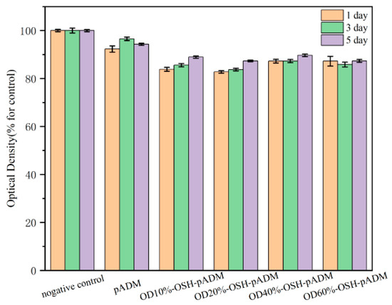
3.8. In Vitro Evaluation
3.9. In Vivo Evaluation
4. Conclusions
Author Contributions
Funding
Institutional Review Board Statement
Conflicts of Interest
References
- Winter, G.D. Formation of Scab and Rate of Epithelization of Superficial Wounds in Skin of Young Domestic Pig. Nature 1962, 193, 293–294. [Google Scholar] [CrossRef] [PubMed]
- Cihat, S.E.; Sarah, H. Comparison of porcine and human acellular dermal matrix outcomes in wound healing: A deep dive into the evidence. Arch. Plast. Surg.-APS 2021, 48, 433. [Google Scholar]
- Javier, A.; Ana, S.; Cinthia, R.; Manuel, A.J. Clinical and Histological Differences between Guided Tissue Regeneration with Acellular Dermal Matrix of Porcine Origin and Autologous Connective Tissue: An Animal Study. Materials 2021, 14, 272. [Google Scholar]
- Dadlani, S. Porcine Acellular Dermal Matrix: An Alternative to Connective Tissue Graft—A Narrative Review. Int. J. Dent. 2021. [Google Scholar]
- Yi, N.C.; Nian, H.D.; Wei, H.D.; Xin, H.L.; Liang, L.C. A novel antibacterial acellular porcine dermal matrix cross-linked with oxidized chitosan oligosaccharide and modified by in situ synthesis of silver nanoparticles for wound healing applications. Mater. Sci. Eng. C-Biomimetic. Supramol. Syst. 2019, 94, 1020–1036. [Google Scholar]
- Selyanin; Mikhail, A.; Boykov; Petr, Y.; Khabarov; Vladimir, N. Hyaluronic Acid: Preparation, PROPERTIES, application in Biology and Medicine; Wiley: Hoboken, NJ, USA, 2015. [Google Scholar]
- Rautiola, R. Hyaluronic Acid: History, Uses and Health Effects; Nova Science: New York, NY, USA, 2020. [Google Scholar]
- Gall, Y. Hyaluronic acid: Structure, metabolism and implication in cicatrisation. Ann. Dermatol. Vener. 2010, 137, S30–S39. [Google Scholar] [CrossRef]
- Cui, Y.; Yan, H.L.; Duan, Q. The Research Progress in Hyaluronic Acid. J. Chang. Univ. Sci. Technol. 2011, 34, 101–106. [Google Scholar]
- Juncan, A.M.; Moisa, D.G.; Santini, A.; Morgovan, C.; Rus, L.L.; Vonica-Tincu, A.L.; Loghin, F. Advantages of Hyaluronic Acid and Its Combination with Other Bioactive Ingredients in Cosmeceuticals. Molecules 2021, 26, 4429. [Google Scholar] [CrossRef]
- Alina, S.; Magdalena, G.; Katarzyna, M.; Jacek, P. Hyaluronic Acid as a Component of Natural Polymer Blends for Biomedical Applications: A Review. Molecules 2020, 25, 4035. [Google Scholar]
- Galarza, S.; Crosby, A.J.; Pak, C.; Peyton, S.R. Control of Astrocyte Quiescence and Activation in a Synthetic Brain Hydrogel. Adv. Healthc. Mater. 2020, 9, e1901419. [Google Scholar] [CrossRef] [Green Version]
- Jin, G.L.; Feng, W.; Kun, Z.; Zi, K.H.; Dan, Z.; Xiao, L.; Yon, G.F.; Ping, Y.; An, S.Z.; Nan, H. Controlling Molecular Weight of Hyaluronic Acid Conjugated on Amine-rich Surface: Toward Better Multifunctional Biomaterials for Cardiovascular Implants. ACS Appl. Mater. Interfaces 2017, 9, 30343–30358. [Google Scholar]
- Murugan, P.; Subramaniam, S. Chitosan/Hyaluronic acid/Alginate and an assorted polymers loaded with honey, plant, and marine compounds for progressive wound healing—Know-how. Int. J. Biol. Macromol. 2021, 186, 656–685. [Google Scholar]
- Shang, Z.L.; Min, J.P.; Ting, T.W.; Hong, J.Y.; Shao, J.G.; Yong, Z.T.; Xin, L.; Ying, S.Z.; Wei, L.X.; Pu, X. Self-healing hyaluronic acid hydrogels based on dynamic Schiff base linkages as biomaterials. Carbohyd. Polym. 2020, 250, 116922. [Google Scholar]
- Hanh, L.; Hai, L.V.; Hoang, N.T.; Hanh, D.T.H.; Hai, L.M.; Nam, N.V. In vitro biodegradation behavior of biodegradable hydroxyapatite coated AZ31 alloy treated at various pH values. J. Appl. Biomater. Funct. Mater. 2021, 19, 228080002110100. [Google Scholar] [CrossRef] [PubMed]
- Graca, M.F.P.; Miguel, S.P.; Cabral, C.S.D.; Correia, I.J. Hyaluronic acid-Based wound dressings: A review. Carbohydr. Polym. 2020, 241, 116364. [Google Scholar] [CrossRef] [PubMed]
- Chen, Y.N.; Nan, N.H.; Wang, L.; He, C. Study on procine acellular dermal matrix crosslinked by isomaltooligosaccharide dialdehyde. J. Funct. Mater. 2016, 47, 5195–5200. [Google Scholar]
- Part 5: Tests for in vitro cytotoxicity. In Biological Evaluation of Medical Devices. Available online: https://www.iso.org/obp/ui/#iso:std:iso:10993:-5:ed-3:v1:en (accessed on 3 May 2022).
- Ramachandran, G.N. Infrared Spectrum and Structure of Collagen. J. Chem. Phys. 1955, 23, 600–601. [Google Scholar] [CrossRef]
- Pruitt, B.A.; Levine, N.S. Characteristics and Uses of Biologic Dressings and Skin Substitutes. Arch. Surg.-Chic. 1984, 119, 312–322. [Google Scholar] [CrossRef]
- Ghorbani, F.; Li, D.; Ni, S.; Zhou, Y.; Yu, B. 3D printing of acellular scaffolds for bone defect regeneration: A review. Mater. Today Commun. 2020, 22, 10979. [Google Scholar] [CrossRef]
- Reyhaneh, Z.; Jhamak, N.; Ghassem, A. Preparation, characterization, and silanization of 3D microporous PDMS structure with properly sized pores for endothelial cell culture. Biotechnol. Appl. Biochem. 2016, 63, 190–199. [Google Scholar]
- Whang, K.; Thomas, C.H.; Healy, K.E.; Nuber, G. A Novel Method To Fabricate Bioabsorbable Scaffolds. Polymer 1995, 36, 837–842. [Google Scholar] [CrossRef]
- Bear, R.S. X-ray, diffraction studies on protein fibers I The large fiber-axis period of collagen. J. Am. Chem. Soc. 1944, 66, 1297–1305. [Google Scholar] [CrossRef]
- Sai, P.; Babu, M. Collagen based dressings—A review. Burns 2000, 26, 54–62. [Google Scholar] [CrossRef]
- Ho, Y.S.; McKay, G. The sorption of lead(II) ions on peat. Water Res. 1999, 33, 578–584. [Google Scholar] [CrossRef]
- Ho, Y.S.; McKay, G. Pseudo-second order model for sorption processes. Process Biochem. 1999, 34, 451–465. [Google Scholar] [CrossRef]
- Luan, X.R.; Li, W.H.; Lou, F.L. Applied analysis of humanized nursing combined with wet healing therapy to prevent bedsore. Eur. Rev. Med. Pharmacol. Sci. 2016, 20, 4162–4166. [Google Scholar]
- Zhi, M.N.; Jia, C.S.; Shi, L.Q. Application of Easy Wet Healing Therapy for Chronic Noninfectious Wounds in Limbs. Int. J. Biol. Macromol. 2020, 21, 87–91. [Google Scholar]
- Shamsuria, O.; Fadilah, A.S.; Asiah, A.B.; Rodiah, M.R.; Suzina, A.H.; Samsudin, A.R. In vitro cytotoxicity evaluation of biomaterials on human osteoblast cells CRL-1543; hydroxyapatite, natural coral and polyhydroxybutarate. J. Medical. Malaysia. 2004, 59 (Suppl. SB), 174–175. [Google Scholar]
- Wu, S.; Wu, X.Q.; Zhu, W.; Cai, W.J.; Schaper, J.; Schaper, W. Immunohistochemical study of the growth factors, aFGF, bFGF, PDGF-AB, VEGF-A and its receptor (Flk-1) during arteriogenesis. Mol. Cell Biochem. 2010, 343, 223–229. [Google Scholar] [CrossRef]
- Kuroyanagi, Y.; Kubo, K.; Matsui, H.; Kim, H.J.; Numari, S.; Mabuchi, Y.; Kagawa, S. Establishment of banking system for allogeneic cultured dermal substitute. Artif. Organs 2004, 28, 13–21. [Google Scholar] [CrossRef]
















| qe/exp | k1 | qe/cal | R2 | |
|---|---|---|---|---|
| pADM | 275.11 | 0.1131 | 162.74 | 0.8551 |
| OD10%-OSH-pADM | 278.90 | 0.1166 | 167.53 | 0.8201 |
| OD20%-OSH-pADM | 314.55 | 0.1083 | 171.24 | 0.8004 |
| OD40%-OSH-pADM | 320.60 | 0.1115 | 181.18 | 0.8366 |
| OD60%-OSH-pADM | 292.01 | 0.1070 | 169.03 | 0.8294 |
| qe/exp | k2 | qe/cal | R2 | |
|---|---|---|---|---|
| pADM | 275.11 | 0.0028 | 261.09 | 0.9993 |
| OD10%-OSH-pADM | 278.90 | 0.0024 | 261.78 | 0.9989 |
| OD20%-OSH-pADM | 314.55 | 0.0035 | 293.25 | 0.9996 |
| OD40%-OSH-pADM | 320.60 | 0.0254 | 305.81 | 0.9996 |
| OD60%-OSH-pADM | 292.01 | 0.0026 | 277.01 | 0.9988 |
Publisher’s Note: MDPI stays neutral with regard to jurisdictional claims in published maps and institutional affiliations. |
© 2022 by the authors. Licensee MDPI, Basel, Switzerland. This article is an open access article distributed under the terms and conditions of the Creative Commons Attribution (CC BY) license (https://creativecommons.org/licenses/by/4.0/).
Share and Cite
Ding, Z.; Dan, N.; Chen, Y. Study of a Hydrophilic Healing-Promoting Porcine Acellular Dermal Matrix. Processes 2022, 10, 916. https://doi.org/10.3390/pr10050916
Ding Z, Dan N, Chen Y. Study of a Hydrophilic Healing-Promoting Porcine Acellular Dermal Matrix. Processes. 2022; 10(5):916. https://doi.org/10.3390/pr10050916
Chicago/Turabian StyleDing, Zhuang, Nianhua Dan, and Yining Chen. 2022. "Study of a Hydrophilic Healing-Promoting Porcine Acellular Dermal Matrix" Processes 10, no. 5: 916. https://doi.org/10.3390/pr10050916
APA StyleDing, Z., Dan, N., & Chen, Y. (2022). Study of a Hydrophilic Healing-Promoting Porcine Acellular Dermal Matrix. Processes, 10(5), 916. https://doi.org/10.3390/pr10050916
