Investigation of a Novel Deep Borehole Heat Exchanger for Building Heating and Cooling with Particular Reference to Heat Extraction and Storage
Abstract
:1. Introduction
2. Model and Methodology
2.1. Model
2.2. Methodology
- (1)
- The initial formation temperature profile is determined by the surface temperature and geothermal temperature gradient (30 °C/km);
- (2)
- The initial water temperature in the well is set to be the same as the formation temperature distribution;
- (3)
- The initial pressure of water in the well is set to its hydraulic pressure.
2.3. Model Grid and Time Independence Verification
2.4. Model Validation
3. The Performance of the Novel DBHE System under Different Mass Flows
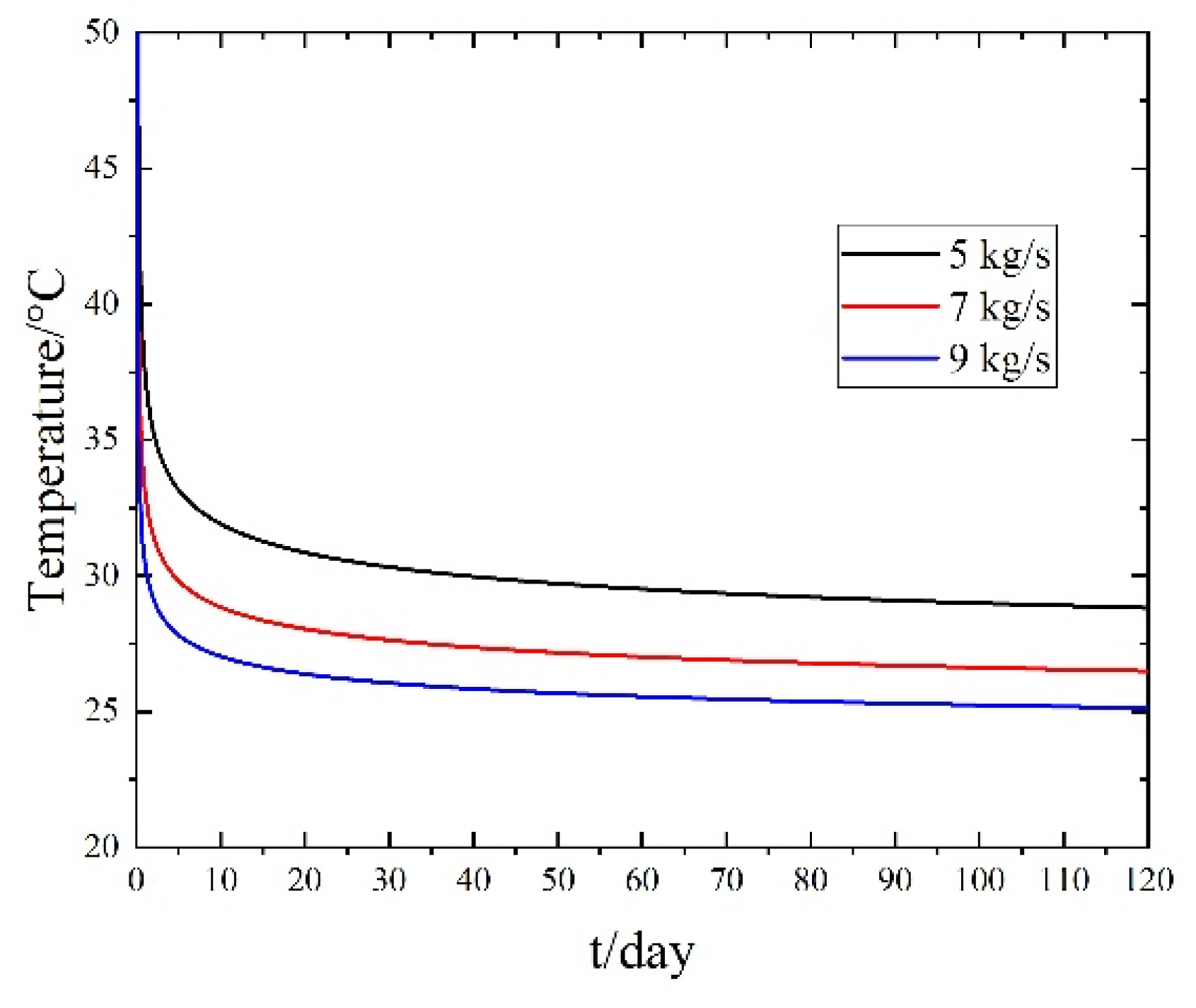
3.1. Heat Extraction Capacity of the Novel DBHE System
3.2. Heat Injection Capacity of the Novel DBHE System
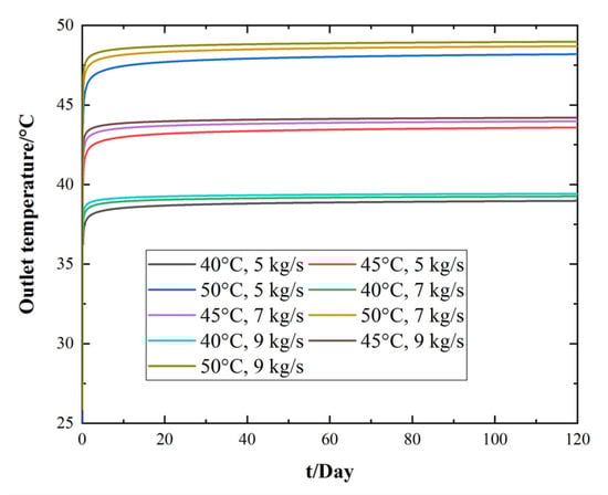
3.2.1. Heat Injection and Energy Storage Capacities of the Novel DBHE System
3.2.2. Influence of Heat Storage on the Heat Extraction Capacity in Winter
4. Performance of the Novel DBHE System under Different Check Valve Depths
4.1. Heat Injection Capacity of the Novel DBHE System under Different Check Valve Depths
4.2. Heat Extraction Capacity of the Novel DBHE System under Different Check Valve Depths
5. Performance of the Novel DBHE System under Different Thermal Conductivities of Formation
5.1. Heat Injection Rates of the Novel DBHE System under Different Thermal Conductivities
5.2. Heat Extraction Capacity of the Novel DBHE System under Different Thermal Conductivities of Formation
6. Conclusions
- (1)
- The novel DBHE system can realize injecting and storing heat in the formation in summer and improve the heat extraction rates in the next heating season;
- (2)
- The inlet temperature of the injected water in summer has a great influence on the heat injection rates of the novel DBHE system. The higher the inlet temperature, the greater the heat injection rates. Compared with the condition that the temperature of heat injection water is 40 °C, when the depth of the check valve is 500 m, using heat injection water with temperatures of 45 °C and 50 °C can increase the heat injection rates by approximately 37% and 75%, respectively; the heat injection rates can increase to 65% and 130% if the depth of the check valve is 900 m;
- (3)
- The increase in the depth of the check valve improves the heat injection rates of the novel DBHE system. When the depth of the check valve is 900 m and the inlet temperature is 50 °C, the heat injection rate can reach 51.03 kW, which is 27.55% of the heat extraction rate in winter for the fifth year. In this case, the heat injection in summer has the greatest effect on the improvement of heat extraction in winter, which is 6.05 kW, accounting for 3.38% of the heat extraction in that year;
- (4)
- The thermal conductivity of the formation has a great influence on the heat extraction rates in winter and heat injection rates in summer. The higher the thermal conductivity, the greater the heat extraction and injection rates. When the thermal conductivity is 1.25 W/m K, the heat injection rate in summer is 31.14 kW, which is 10.86% of the heat extraction rate in winter. When the thermal conductivity is 3.25 W/m K, the heat injection rate in summer is 69.55 kW, and the percentage changes to 27.72%.
Author Contributions
Funding
Institutional Review Board Statement
Informed Consent Statement
Data Availability Statement
Acknowledgments
Conflicts of Interest
Appendix A. DBHE Model
| λ | Thermal conductivity of water in the inner pipe | Thermal conductivity of water in the annular | Thermal conductivity of water in the annular |
| d | Inner diameter of the inner pipe | Inner diameter of the outer pipe minus outer diameter of the inner pipe | Inner diameter of the outer pipe minus outer diameter of the inner pipe |
| v | Volumetric flux of water in the inner pipe | Volumetric flux of water in the annular | Volumetric flux of water in the annular |
| μ | Dynamic viscosity of water in the inner pipe | Dynamic viscosity of water in the annular | Dynamic viscosity of water in the annular |
| cp | Specific heat capacity of water in the inner pipe | Specific heat capacity of water in the annular | Specific heat capacity of water in the annular |
| n (Index in Equation (A10)) | 0.3 | 0.4 | 0.4 |
References
- Rybach, L.; Hopkirk, R.J. Shallow and deep borehole heat exchangers—Achievements and prospects. In Process World Geo-thermal Congress; International Geothermal Association: Florence, Italy, 1995; pp. 2133–2138. [Google Scholar]
- Mokhtari, H.; Hadiannasab, H.; Mostafavi, M.; Ahmadibeni, A.; Shahriari, B. Determination of optimum geothermal Ran-kine cycle parameters utilizing coaxial heat exchanger. Energy 2016, 102, 260–275. [Google Scholar] [CrossRef]
- Iry, S.; Rafee, R. Transient numerical simulation of the coaxial borehole heat exchanger with the different diameters ratio. Geothermics 2018, 77, 158–165. [Google Scholar] [CrossRef]
- Oh, K.; Lee, S.; Park, S.; Han, S.I.; Choi, H. Field experiment on heat exchange performance of various coaxial-type ground heat exchangers considering construction conditions. Renew. Energy 2017, 144, 84–96. [Google Scholar] [CrossRef]
- He, Y.; Bu, X.B. A novel enhanced deep borehole heat exchanger for building heating. Appl. Therm. Eng. 2020, 178, 115643. [Google Scholar] [CrossRef]
- Hu, X.C.; Banks, J.; Guo, Y.T.; Huang, G.P.; Liu, W.V. Effects of temperature-dependent property variations on the output capacity prediction of a deep coaxial borehole heat exchanger. Renew. Energy 2021, 165, 334–349. [Google Scholar] [CrossRef]
- Wang, Z.; Wang, F.H.; Liu, J.; Ma, Z.; Han, E.; Song, M. Field test and numerical investigation on the heat transfer character-istics and optimal design of the heat exchangers of a deep borehole ground source heat pump system. Energy Convers. Manag. 2017, 153, 603–615. [Google Scholar] [CrossRef]
- Cai, W.L.; Wang, F.H.; Chen, S.; Chen, C.F.; Liu, J.; Deng, J.W. Analysis of heat extraction performance and long-term sustainability for multiple deep borehole heat exchanger array: A project-based study. Appl. Energy 2021, 289, 116590. [Google Scholar] [CrossRef]
- Cai, W.L.; Wang, F.H.; Liu, J.; Wang, Z.; Ma, Z. Experimental and numerical investigation of heat transfer performance and sustainability of deep borehole heat exchangers coupled with ground source heat pump systems. Appl. Therm. Eng. 2019, 149, 975–986. [Google Scholar] [CrossRef]
- Huang, Y.B.; Zhang, Y.J.; Xie, Y.Y.; Zhang, Y.; Gao, X.F.; Ma, J.C. Long-term thermal performance analysis of deep coaxial borehole heat exchanger based on field test. J. Clean. Prod. 2021, 278, 123396. [Google Scholar] [CrossRef]
- Dijkshoorn, L.; Speer, S.; Pechnig, R. Measurements and Design Calculations for a Deep Coaxial Borehole Heat Exchanger in Aachen, Germany. Int. J. Geophys. 2013, 2013, 14. [Google Scholar] [CrossRef]
- Bär, K.; Rühaak, W.; Welsch, B.; Schulte, D.; Homuth, S.; Sass, I. Seasonal high temperature heat storage with medium deep borehole heat exchangers. Energy Procedia 2015, 76, 351–360. [Google Scholar] [CrossRef] [Green Version]
- Welsch, B.; Ruehaak, W.; Schulte, D.O.; Baer, K.; Sass, I. Characteristics of medium deep borehole thermal energy storage. Int. J. Energy Res. 2016, 40, 1855–1868. [Google Scholar] [CrossRef]
- Zhang, J.; Lu, X.; Zhang, W.; Liu, J.; Yue, W.; Liu, D.; Meng, Q.; Ma, F. Simulations of Heat Supply Performance of a Deep Borehole Heat Exchanger under Different Scheduled Operation Conditions. Processes 2022, 10, 121. [Google Scholar] [CrossRef]
















| Check Valve | Inner Pipe Opening | Outer Pipe Opening | ||
|---|---|---|---|---|
| Winter | Boundary condition | Close, coupled | Outflow | Mass flow inlet |
| Value | --- | --- | 5, 7 and 9 kg/s, 20 °C | |
| Summer | Boundary condition | Open, inter face | Mass flow inlet | Outflow |
| Value | --- | 5, 7 and 9 kg/s, 40, 45 and 50 °C | --- |
| Minimum Grid Size of Formation in Horizontal Direction/m | 0.01 * | 0.05 | 0.1 | 0.5 |
|---|---|---|---|---|
| Number of grids | 442,368 | 442,368 | 442,368 | 442,368 |
| Outlet temperature/°C | 25.13 | 25.1 | 25.02 | 23.85 |
| Formation grid size in vertical direction/m | 0.1 | 0.5 * | 1 | 2 |
| Number of grids | 2,246,786 | 442,368 | 224,700 | 112,350 |
| Outlet temperature/°C | 25.13 | 25.13 | 25.13 | 25.13 |
| Time step/s | 60 | 600 | 3600 * | 86,400 (one day) |
| Number of grids | 442,368 | 442,368 | 442,368 | 442,368 |
| Outlet temperature/°C | 25.13 | 25.13 | 25.13 | 25.12 |
| Depth (m) | Thermal Conductivity (W/m·K) | Specific Heat Capacity (J/kg·K) | Density (kg/m3) | ||
|---|---|---|---|---|---|
| Formation | 1 | 0–500 | 1.59 | 1433 | 1760 |
| 2 | 500–720 | 1.65 | 1025 | 1860 | |
| 3 | 720–1450 | 1.76 | 878 | 2070 | |
| 4 | 1540–2000 | 1.88 | 848 | 2270 | |
| Pipe | Inner pipe | 1998 | 0.45 | 2300 | 950 |
| Outer pipe | 2000 | 40 | 498 | 7850 |
| Mass Flow/kg·s−1 | Years | |||||
|---|---|---|---|---|---|---|
| 1 | 2 | 3 | 4 | 5 | ||
| Outlet temperature/°C | 5 | 28.82 | 28.52 | 28.36 | 28.26 | 28.18 |
| 7 | 26.49 | 26.26 | 26.14 | 26.06 | 26.01 | |
| 9 | 25.13 | 24.94 | 24.85 | 24.79 | 24.74 | |
| Heat extraction rates/kW | 5 | 185.22 | 178.92 | 175.56 | 173.46 | 171.78 |
| 7 | 190.81 | 184.04 | 180.52 | 178.16 | 176.69 | |
| 9 | 193.91 | 186.73 | 183.33 | 181.06 | 179.17 | |
| Temperature/°C | |||||||
|---|---|---|---|---|---|---|---|
| 5 kg/s | 7 kg/s | 9 kg/s | |||||
| Depth | 1000 m | 1998 m | 1000 m | 1998 m | 1000 m | 1998 m | |
| Month | 0 | 28.15 | 40.45 | 27.65 | 38.55 | 27.35 | 37.45 |
| 1 | 43.95 | 70.25 | 43.85 | 69.75 | 43.75 | 69.45 | |
| 2 | 45.75 | 73.35 | 45.65 | 72.95 | 45.55 | 72.75 | |
| 3 | 46.65 | 74.85 | 46.55 | 74.55 | 46.45 | 74.45 | |
| 4 | 47.15 | 75.75 | 47.05 | 75.55 | 47.05 | 75.45 | |
| 5 | 47.55 | 76.35 | 47.45 | 76.15 | 47.45 | 76.05 | |
| 6 | 47.85 | 76.85 | 47.75 | 76.65 | 47.75 | 76.55 | |
| 7 | 48.05 | 77.15 | 47.95 | 77.05 | 47.95 | 76.95 | |
| 8 | 48.15 | 77.45 | 48.15 | 77.25 | 48.15 | 77.25 | |
| Heat Injection Rates/kW | ||||||
|---|---|---|---|---|---|---|
| Mass Flow /kg·s−1 | Inlet Temperature of Heat Injection Water/°C | Years | ||||
| 1 | 2 | 3 | 4 | 5 | ||
| 5 | 40 | 21.50 | 20.95 | 20.93 | 20.80 | 20.75 |
| 45 | 29.76 | 29.00 | 28.80 | 28.59 | 28.48 | |
| 50 | 38.02 | 37.00 | 36.66 | 36.39 | 36.21 | |
| 7 | 40 | 21.71 | 21.32 | 21.03 | 21.07 | 20.84 |
| 45 | 30.07 | 29.41 | 29.01 | 28.97 | 28.79 | |
| 50 | 38.42 | 38.81 | 37.32 | 37.01 | 36.78 | |
| 9 | 40 | 21.67 | 21.48 | 21.31 | 21.20 | 21.13 |
| 45 | 30.10 | 29.65 | 29.36 | 29.16 | 29.04 | |
| 50 | 38.75 | 37.87 | 37.44 | 37.16 | 36.98 | |
| Heat Extraction Rates/kW | ||||||
|---|---|---|---|---|---|---|
| Mass Flow /kg·s−1 | Inlet Temperature of Heat Injection Water/°C | Years | ||||
| 1 | 2 | 3 | 4 | 5 | ||
| 5 | 40 | 185.22 | 180.09 | 177.31 | 175.43 | 174.04 |
| 45 | 185.22 | 180.50 | 177.86 | 176.07 | 174.73 | |
| 50 | 185.22 | 180.90 | 178.41 | 176.70 | 175.42 | |
| 7 | 40 | 190.81 | 185.38 | 182.42 | 180.43 | 178.95 |
| 45 | 190.81 | 185.82 | 183.01 | 181.12 | 179.70 | |
| 50 | 190.81 | 186.27 | 183.58 | 181.50 | 180.29 | |
| 9 | 40 | 193.91 | 188.42 | 185.34 | 183.29 | 181.75 |
| 45 | 193.91 | 188.89 | 185.97 | 184.00 | 182.53 | |
| 50 | 193.91 | 189.34 | 186.60 | 184.48 | 183.35 | |
| Heat Extraction Rates/kW | ||||||
|---|---|---|---|---|---|---|
| Depth of the Check Valve/m | Inlet Temperature of Heat Injection Water/°C | Years | ||||
| 1 | 2 | 3 | 4 | 5 | ||
| 500 | 40 | 193.91 | 188.42 | 185.34 | 183.29 | 181.75 |
| 45 | 193.91 | 188.89 | 185.97 | 184.00 | 182.53 | |
| 50 | 193.91 | 189.34 | 186.60 | 184.48 | 183.35 | |
| 700 | 40 | 193.91 | 188.62 | 186.35 | 183.71 | 182.20 |
| 45 | 193.91 | 189.38 | 187.49 | 184.84 | 183.33 | |
| 50 | 193.91 | 189.76 | 189.00 | 185.98 | 184.46 | |
| 900 | 40 | 193.91 | 188.62 | 185.98 | 183.33 | 182.20 |
| 45 | 193.91 | 189.38 | 187.87 | 185.22 | 183.71 | |
| 50 | 193.91 | 190.13 | 189.38 | 186.35 | 185.22 | |
| Heat Extraction Rates/kW | ||||||
|---|---|---|---|---|---|---|
| Thermal Conductivity /W·m−1·K−1 | Inlet Temperature of Water in Summer/°C | Years | ||||
| 1 | 2 | 3 | 4 | 5 | ||
| 1.25 | 40 | 118.62 | 114.82 | 112.79 | 111.44 | 110.44 |
| 45 | 118.62 | 115.41 | 113.59 | 112.35 | 111.43 | |
| 50 | 118.62 | 116.00 | 114.38 | 113.26 | 112.42 | |
| 2.25 | 40 | 193.91 | 188.62 | 185.98 | 183.33 | 182.20 |
| 45 | 193.91 | 189.38 | 187.87 | 185.22 | 183.71 | |
| 50 | 193.91 | 190.13 | 189.38 | 186.35 | 185.22 | |
| 3.25 | 40 | 262.66 | 255.60 | 251.80 | 249.26 | 247.37 |
| 45 | 262.66 | 256.64 | 253.21 | 250.88 | 249.14 | |
| 50 | 262.66 | 257.69 | 254.61 | 252.50 | 250.90 | |
Publisher’s Note: MDPI stays neutral with regard to jurisdictional claims in published maps and institutional affiliations. |
© 2022 by the authors. Licensee MDPI, Basel, Switzerland. This article is an open access article distributed under the terms and conditions of the Creative Commons Attribution (CC BY) license (https://creativecommons.org/licenses/by/4.0/).
Share and Cite
Zhang, J.; Lu, X.; Zhang, W.; Liu, J.; Yue, W.; Ma, F. Investigation of a Novel Deep Borehole Heat Exchanger for Building Heating and Cooling with Particular Reference to Heat Extraction and Storage. Processes 2022, 10, 888. https://doi.org/10.3390/pr10050888
Zhang J, Lu X, Zhang W, Liu J, Yue W, Ma F. Investigation of a Novel Deep Borehole Heat Exchanger for Building Heating and Cooling with Particular Reference to Heat Extraction and Storage. Processes. 2022; 10(5):888. https://doi.org/10.3390/pr10050888
Chicago/Turabian StyleZhang, Jiaqi, Xinli Lu, Wei Zhang, Jiali Liu, Wen Yue, and Feng Ma. 2022. "Investigation of a Novel Deep Borehole Heat Exchanger for Building Heating and Cooling with Particular Reference to Heat Extraction and Storage" Processes 10, no. 5: 888. https://doi.org/10.3390/pr10050888
APA StyleZhang, J., Lu, X., Zhang, W., Liu, J., Yue, W., & Ma, F. (2022). Investigation of a Novel Deep Borehole Heat Exchanger for Building Heating and Cooling with Particular Reference to Heat Extraction and Storage. Processes, 10(5), 888. https://doi.org/10.3390/pr10050888

