Study of Oxidation of Ciprofloxacin and Pefloxacin by ACVA: Identification of Degradation Products by Mass Spectrometry and Bioautographic Evaluation of Antibacterial Activity
Abstract
:1. Introduction
2. Materials and Methods
2.1. Chemicals and Reagents
2.2. Standard Solution
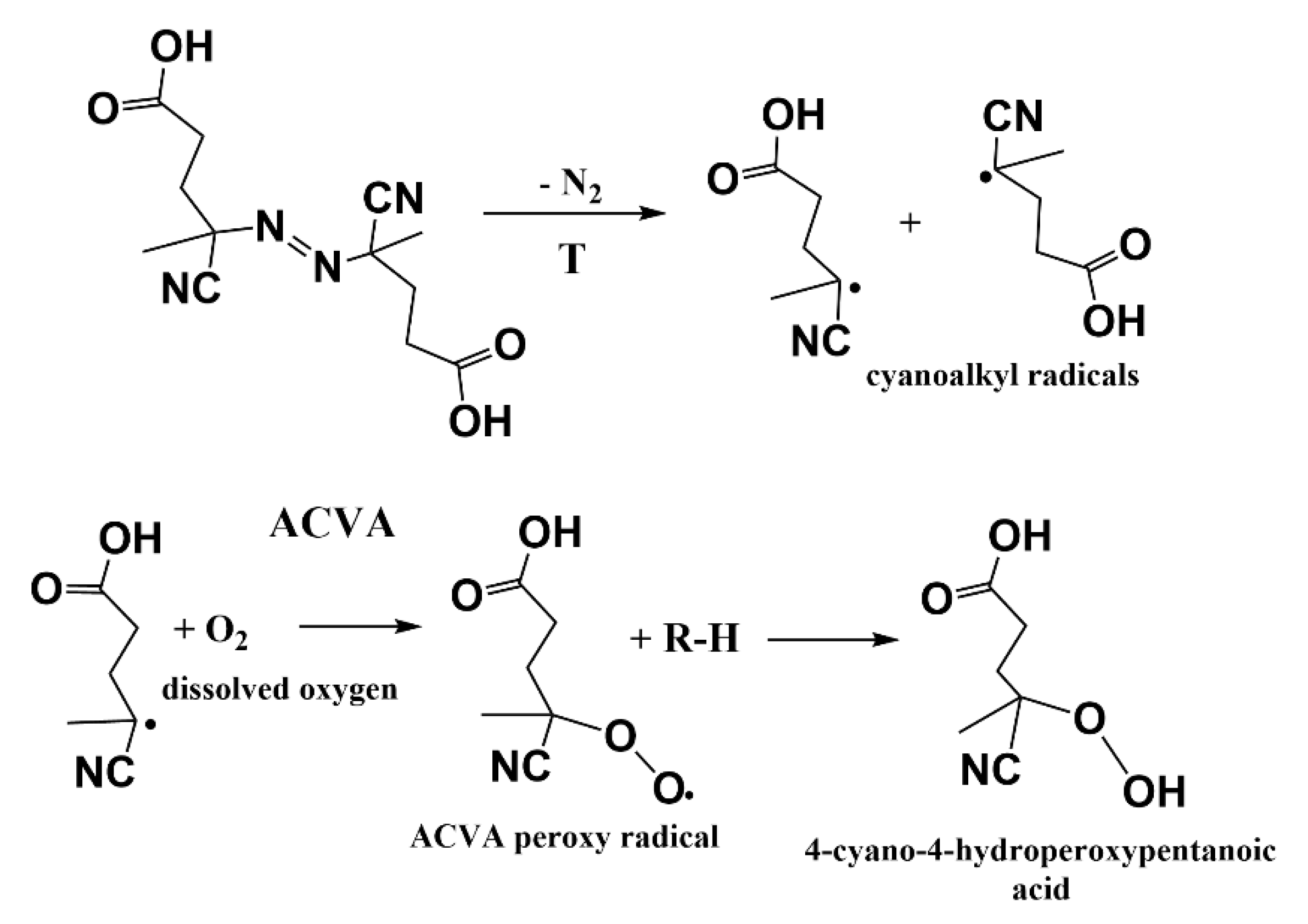
2.3. Preparation of Samples and Execution of Oxidation Tests with the Participation of ACVA
2.4. Preparation of Samples and Execution of Oxidation Tests with the Participation of 3% H2O2
2.5. RP-HPLC-DAD Analysis
2.6. Method Validation
2.7. Determination of Kinetic Parameters of the Oxidation Process
2.8. UHPLC/MS/MS Analysis
2.9. Thin-Layer Chromatography–Direct Bioautography (TLC–DB)
2.9.1. TLC Conditions
- -
- Track 1—60 µL of standard solution of CIP (0.18 mg mL−1);
- -
- Tracks 2–4—160, 180, and 200 µL of CIP sample after oxidation reaction with ACVA at 60 °C for 24 h;
- -
- Track 5—60 µL of standard solution of PEF (0.17 mg mL−1);
- -
- Tracks 6–8—200, 225, and 250 µL of PEF sample after the oxidation reaction with ACVA at 60 °C for 60 h;
- -
- Track 9—60 µL of ACVA solution after incubation at 60 °C for 60 h.
2.9.2. Cultivation of Test Bacteria
2.9.3. TLC–DB Analysis
3. Results
3.1. Optimization of Chromatographic Conditions and Method Validation
3.2. Oxidation Study of Examined FQs
3.3. Kinetic Evaluation
3.4. Identification of Oxidation Products
3.5. Evaluation of Antimicrobial Activity of Degradation Products by TLC–DB
4. Conclusions
Supplementary Materials
Author Contributions
Funding
Institutional Review Board Statement
Informed Consent Statement
Data Availability Statement
Acknowledgments
Conflicts of Interest
References
- Liu, H.H. Safety profile of the fluoroquinolones: Focus on levofloxacin. Drug Saf. 2010, 33, 353–369. [Google Scholar] [CrossRef] [PubMed]
- Kuula, L.S.M.; Viljemaa, K.M.; Backman, J.T.; Blom, M. Fluoroquinolone-related adverse events resulting in health service use and costs: A systematic review. PLoS ONE 2019, 14, e0216029. [Google Scholar] [CrossRef] [PubMed]
- PRAC Quinolones and Fluoroquinolones Art. 31 PhV—Assessment Report for Publication. 2018. Available online: https://www.ema.europa.eu/en/documents/referral/quinolone-fluoroquinolone-article-31-referral-assessment-report_en.pdf (accessed on 18 April 2022).
- Antimicrobial Consumption in the EU and EEA: Annual Epidemiological Report 2018; European Centre for Disease Prevention and Control: Stockholm, Sweden, 2019.
- Garnero, C.; Zoppi, A.; Aloisio, C.; Longhi, M.R. Technological Delivery Systems to Improve Biopharmaceutical Properties. Nanoscale Fabrication, Optimization, Scale-Up and Biological Aspects of Pharmaceutical Nanotechnology; Elsevier: Amsterdam, The Netherlands, 2017; pp. 253–299. ISBN 9780128136294. [Google Scholar]
- Maia, A.S.; Ribeiro, A.R.; Amorim, C.L.; Barreiro, J.C.; Cass, Q.B.; Castro, P.M.L.; Tiritan, M.E. Degradation of fluoroquinolone antibiotics and identification of metabolites/transformation products by liquid chromatography–tandem mass spectrometry. J. Chromatogr. A 2014, 1333, 87–98. [Google Scholar] [CrossRef] [PubMed]
- De Bairros, A.V.; Pereira, D.B.; Cordeiro, E.W.F.; Paim, C.S.; da Silva, F.E.B.; Malesuik, M.D.; Paula, F.R. Evaluation of the influence of fluoroquinolone chemical structure on stability: Forced degradation and in silico studies. Braz. J. Pharm. Sci. 2018, 54, 188. [Google Scholar] [CrossRef]
- Baertschi, S.W.; Reynolds, D.W.; Reynolds, D.W. Introduction. Pharmaceutical Stress Testing; CRC Press: Boca Raton, FL, USA, 2016; pp. 13–21. [Google Scholar]
- Blessy, M.; Patel, R.D.; Prajapati, P.N.; Agrawal, Y.K. Development of forced degradation and stability indicating studies of drugs—A review. J. Pharm. Anal. 2014, 4, 159–165. [Google Scholar] [CrossRef] [Green Version]
- Maia, A.S.; Paíga, P.; Delerue-Matos, C.; Castro, P.M.L.; Tiritan, M.E. Quantification of fluoroquinolones in wastewaters by liquid chromatography-tandem mass spectrometry. Environ. Pollut. 2020, 259, 113927. [Google Scholar] [CrossRef]
- Zhou, X.; Zhang, Y.; Shi, L.; Chen, J.; Qiang, Z.; Zhang, T.C. Partitioning of fluoroquinolones on wastewater sludge. CLEAN—Soil Air Water 2013, 41, 820–827. [Google Scholar] [CrossRef]
- Javid, N.; Honarmandrad, Z.; Malakootian, M. Ciprofloxacin removal from aqueous solutions by ozonation with calcium peroxide. Desalin. Water Treat. 2020, 174, 178–185. [Google Scholar] [CrossRef]
- Liu, Z.Y.; Zhou, X.N.; Zhang, H.H.; Wan, L.; Sun, Z.L. An integrated method for degradation products detection and characterization using hybrid ion trap/time-of-flight mass spectrometry and data processing techniques: Application to study of the degradation products of danofloxacin under stressed conditions. Anal. Bioanal. Chem. 2011, 399, 2475–2486. [Google Scholar] [CrossRef]
- Bobu, M.; Yediler, A.; Siminiceanu, I.; Zhang, F.; Schulte-Hostede, S. Comparison of different advanced oxidation processes for the degradation of two fluoroquinolone antibiotics in aqueous solutions. J. Environ. Sci. Health. A Tox. Hazard. Subst. Environ. Eng. 2013, 48, 251–262. [Google Scholar] [CrossRef]
- Gligorovski, S.; Strekowski, R.; Barbati, S.; Vione, D. Environmental implications of hydroxyl radicals (•OH). Chem. Rev. 2015, 115, 13051–13092. [Google Scholar] [CrossRef] [PubMed]
- Huang, Y.; Su, B.N.; Marshall, J.; Miller, S.A. Forced oxidative degradation pathways of the imidazole moiety of daclatasvir. J. Pharm. Sci. 2019, 108, 3312–3318. [Google Scholar] [CrossRef] [PubMed]
- Pushpalatha, P.; Sarin, R.K.; Rao, M.; Baggi, T.R.; Varma, M.S. Forced oxidative degradation study of zolpidem tartrate by HPLC. J. Pharm. Allied Sci. 2013, 9, 1519–1527. [Google Scholar] [CrossRef]
- Harmon, P.; Boccardi, G.; Boccardi, G. Oxidative susceptibility testing. Pharmaceutical Stress Testing; CRC Press: Boca Raton, FL, USA, 2016; pp. 180–203. [Google Scholar]
- Nelson, E.D.; Harmon, P.A.; Szymanik, R.C.; Teresk, M.G.; Li, L.; Seburg, R.A.; Reed, R.A. Evaluation of solution oxygenation requirements for azonitrile-based oxidative forced degradation studies of pharmaceutical compounds. J. Pharm. Sci. 2006, 95, 1527–1539. [Google Scholar] [CrossRef] [PubMed]
- Alsante, K.M.; Martin, L.; Baertschi, S.W. A stress testing benchmarking study. Pharm. Technol. 2003, 27, 60–72. [Google Scholar]
- Alsante, K.M.; Hatajik, T.D.; Lohr, L.L.; Santafianos, D.; Sharp, T.R. Solving Impurity/Degradation Problems: Case Studies; Elsevier: Amsterdam, The Netherlands, 2004; Volume 5. [Google Scholar]
- Zhou, N.; Qian, Q.; Qi, P.; Zhao, J.; Wang, C.; Wang, Q. Identification of degradation products and process impurities from terbutaline sulfate by UHPLC-Q-TOF-MS/MS and in silico toxicity prediction. Chromatographia 2017, 80, 793–804. [Google Scholar] [CrossRef]
- Drlica, K.; Zhao, X.; Malik, M. Quinolones. Encyclopedia of Microbiology; Elsevier: Amsterdam, The Netherlands, 2009; pp. 707–716. ISBN 9780123739445. [Google Scholar]
- Sarangapani, C.; Ziuzina, D.; Behan, P.; Boehm, D.; Gilmore, B.F.; Cullen, P.J.; Bourke, P. Degradation kinetics of cold plasma-treated antibiotics and their antimicrobial activity. Sci. Rep. 2019, 9, 1–15. [Google Scholar] [CrossRef] [Green Version]
- Dewanjee, S.; Gangopadhyay, M.; Bhattacharya, N.; Khanra, R.; Dua, T.K. Bioautography and its scope in the field of natural product chemistry. J. Pharm. Anal. 2015, 5, 75–84. [Google Scholar] [CrossRef] [Green Version]
- Grzelak, E.M.; Majer-Dziedzic, B.; Choma, I.M. Development of a novel direct bioautography-thin-layer chromatography test: Optimization of growth conditions for gram-negative bacteria, escherichia coli. J. AOAC Int. 2011, 94, 1567–1572. [Google Scholar] [CrossRef]
- Choma, I.M.; Grzelak, E.M. Bioautography detection in thin-layer chromatography. J. Chromatogr. A 2011, 1218, 2684–2691. [Google Scholar] [CrossRef]
- Zhang, C.L.; Li, J.J.; Li, S.Y. Photocatalytic degradation of pefloxacin in water by modified nano-zinc oxide. Mater. Lett. 2017, 206, 146–149. [Google Scholar] [CrossRef]
- Wolski, L.; Grzelak, K.; Muńko, M.; Frankowski, M.; Grzyb, T.; Nowaczyk, G. Insight into photocatalytic degradation of ciprofloxacin over CeO2/ZnO nanocomposites: Unravelling the synergy between the metal oxides and analysis of reaction pathways. Appl. Surf. Sci. 2021, 563, 150338. [Google Scholar] [CrossRef]
- Hubicka, U.; Krzek, J.A.N. Effect of selected metal ions on the photodegradation of ciprofloxacin in the solid phase. J. AOAC Int. 2008, 91, 1331–1338. [Google Scholar] [CrossRef] [PubMed] [Green Version]
- Hubicka, U.; Żmudzki, P.; Talik, P.; Żuromska-Witek, B.; Krzek, J. Photodegradation assessment of ciprofloxacin, moxifloxacin, norfloxacin and ofloxacin in the presence of excipients from tablets by UPLC-MS/MS and DSC. Chem. Cent. J. 2013, 7, 133. [Google Scholar] [CrossRef] [PubMed] [Green Version]
- Hubicka, U.; Zmudzki, P.; Zuromska-Witek, B.; Zajdel, P.; Pawłowski, M.; Krzek, J. Separation and characterization of ciprofloxacin, difloxacin, lomefloxacin, norfloxacin, and ofloxacin oxidation products under potassium permanganate treatment in acidic medium by UPLC-MS/MS. Talanta 2013, 109, 91–100. [Google Scholar] [CrossRef]
- Donnelly, R.F. Stability of ciprofloxacin in polyvinylchloride minibags. Can. J. Hosp. Pharm. 2011, 64, 252–256. [Google Scholar] [CrossRef] [Green Version]
- Hubicka, U.; Krzek, J.; Walczak, M. Stability of ciprofloxacin and norfloxacin in the presence and absence of metal ions in acidic solution. Pharm. Dev. Technol. 2010, 15, 532–544. [Google Scholar] [CrossRef]
- Hubicka, U.; Żmudzki, P.; Żuromska-Witek, B.; Zajdel, P.; Krzek, J. Determination and Characterization of Selected Fluoroquinolones Oxidation Products under Potassium Permanganate Treatment. Acta Pol. Pharm.—Drug Res. 2015, 72, 1101–1114. [Google Scholar]
- Zhang, C.L.; Cui, S.J.; Wang, Y. Optimized photocatalytic degradation of pefloxacin by TiO2/UV process. Russ. J. Phys. Chem. A 2016, 90, 2306–2311. [Google Scholar] [CrossRef]
- Hu, X.; Wang, B. Removal of pefloxacin from wastewater by dielectric barrier discharge plasma: Mechanism and degradation pathways. J. Environ. Chem. Eng. 2021, 9, 105720. [Google Scholar] [CrossRef]
- Żuromska-Witek, B.; Żmudzki, P.; Szlósarczyk, M.; Maślanka, A.; Hubicka, U. Development and validation of Stability-indicating HPLC methods for the estimation of lomefloxacin and balofloxacin oxidation process under ACVA, H2O2, or KMnO4 treatment. Kinetic evaluation and identification of degradation products by mass spectrometry. Molecules 2020, 25, 5251. [Google Scholar] [CrossRef] [PubMed]
- ICH Validation of Analytical Procedures: Text and Methodology, Q2 (R1), Geneva. 2005. Available online: https://www.ich.org/page/quality-guidelines (accessed on 20 June 2021).
- Zhang, H.; Huang, C.H. Oxidative transformation of fluoroquinolone antibacterial agents and structurally related amines by manganese oxide. Environ. Sci. Technol. 2005, 39, 4474–4483. [Google Scholar] [CrossRef]
- Fan, Y.; Zhou, Z.; Feng, Y.; Zhou, Y.; Wen, L.; Shih, K. Degradation mechanisms of ofloxacin and cefazolin using peroxymonosulfate activated by reduced graphene oxide-CoFe2O4 composites. Chem. Eng. J. 2020, 383, 123056. [Google Scholar] [CrossRef]
- Liu, H.; Gao, Y.; Wang, J.; Ma, D.; Wang, Y.; Gao, B.; Yue, Q.; Xu, X. The application of UV/O3 process on ciprofloxacin wastewater containing high salinity: Performance and its degradation mechanism. Chemosphere 2021, 276, 130220. [Google Scholar] [CrossRef] [PubMed]
- Hu, L.; Stemig, A.M.; Wammer, K.H.; Strathmann, T.J. Oxidation of antibiotics during water treatment with potassium permanganate: Reaction pathways and deactivation. Environ. Sci. Technol. 2011, 45, 3635–3642. [Google Scholar] [CrossRef]
- Ahamad, T.; Naushad, M.; Alshehri, S.M. Analysis of degradation pathways and intermediates products for ciprofloxacin using a highly porous photocatalyst. Chem. Eng. J. 2021, 417, 127969. [Google Scholar] [CrossRef]
- Zhang, H.; Nengzi, L.C.; Wang, Z.; Zhang, X.; Li, B.; Cheng, X. Construction of Bi2O3/CuNiFe LDHs composite and its enhanced photocatalytic degradation of lomefloxacin with persulfate under simulated sunlight. J. Hazard. Mater. 2020, 383, 121236. [Google Scholar] [CrossRef]
- Guo, H.G.; Gao, N.Y.; Chu, W.H.; Li, L.; Zhang, Y.J.; Gu, J.S.; Gu, Y.L. Photochemical degradation of ciprofloxacin in UV and UV/H2O2 process: Kinetics, parameters, and products. Environ. Sci. Pollut. Res. 2013, 20, 3202–3213. [Google Scholar] [CrossRef]
- Usman, M.R.; Prasasti, A.; Fajriyah, S.; Marita, A.W.; Islamiah, S.; Firdaus, A.N.; Noviyanti, A.R.; Eddy, D.R. Degradation of ciprofloxacin by titanium dioxide (TiO2) nanoparticles: Optimization of conditions, toxicity, and degradation pathway. Bull. Chem. React. Eng. Catal. 2021, 16, 752–762. [Google Scholar] [CrossRef]
- Ma, H.; Yu, B.; Wang, Q.; Owens, G.; Chen, Z. Enhanced removal of pefloxacin from aqueous solution by adsorption and Fenton-like oxidation using NH2-MIL-88B. J. Colloid Interface Sci. 2021, 583, 279–287. [Google Scholar] [CrossRef]
- Zhao, J.; Guo, X.; He, Q.; Song, Q.; Wu, F.; Zhang, C. Solvothermal synthesis of InNbO4 cubes for efficient degradation of pefloxacin. Spectrochim. Acta Part A Mol. Biomol. Spectrosc. 2020, 234, 118247. [Google Scholar] [CrossRef] [PubMed]
- Caianelo, M.; Rodrigues-Silva, C.; Maniero, M.G.; Guimarães, J.R. Antimicrobial activity against Gram-positive and Gram-negative bacteria during gatifloxacin degradation by hydroxyl radicals. Environ. Sci. Pollut. Res. 2017, 24, 6288–6298. [Google Scholar] [CrossRef] [PubMed]
- Balouiri, M.; Sadiki, M.; Ibnsouda, S.K. Methods for in vitro evaluating antimicrobial activity: A review. J. Pharm. Anal. 2016, 6, 71–79. [Google Scholar] [CrossRef] [PubMed] [Green Version]
- Guibert, J. Overview of clinical experience with pefloxacin in uncomplicated cystitis. Clin. Drug Investig. 1996, 11, 10–14. [Google Scholar] [CrossRef]
- Machuca, J.; Recacha, E.; Briales, A.; Díaz-de-Alba, P.; Blazquez, J.; Pascual, Á.; Rodríguez-Martínez, J.M. Cellular response to ciprofloxacin in low-level quinolone-resistant Escherichia coli. Front. Microbiol. 2017, 8, 1–11. [Google Scholar] [CrossRef] [PubMed]
- Chu, D.T.; Fernandes, P.B. Structure-activity relationships of the fluoroquinolones. Antimicrob. Agents Chemother. 1989, 33, 131–135. [Google Scholar] [CrossRef] [Green Version]
- Pham, T.D.M.; Ziora, Z.M.; Blaskovich, M.A.T. Quinolone anibiotics. Med. Chem. Commun. 2019, 10, 1719–1739. [Google Scholar] [CrossRef]


















| Time (Min) | Buffer (%) | Acetonitrile (%) |
|---|---|---|
| 0 | 80 | 20 |
| 5 | 80 | 20 |
| 10 | 50 | 50 |
| 15 | 30 | 70 |
| 20 | 30 | 70 |
| 25 | 80 | 20 |
| Parameter | CIP | PEF |
|---|---|---|
| tR (min) a | 6.89 | 7.03 |
| LOD (mg·mL−1) | 0.008 | 0.01 |
| LOQ (mg·mL−1) | 0.02 | 0.04 |
| Linearity range (mg·mL−1) | 0.03–0.18 | 0.04–0.17 |
| Regression equation (y): Slope (a ± Sa) | 2438 × 105 ± 3,351,895 | 2217 × 105 ± 655,508 |
| Intercept (b ± Sb) | −858 × 103 ± 390,850 | −149 × 104 ± 5,697,105 |
| t = b/Sb | −2.20 < tα,f | −2.27 < tα,f |
| Normality of residuals (Shapiro-Wilk test) b | 0.9243 (p = 0.39) | 0.8519 (p = 0.06) |
| Determination coefficient r2 | 0.9985 | 0.9974 |
| Precision (RSD%) | 1.73 | 1.10 |
| Intermediate precision (RSD%) | 1.87 | 1.37 |
| Compound | Temperature | k (h−1) | t0.5 (h) | r |
|---|---|---|---|---|
| CIP | 40 °C | 1.70 × 10−5 | 588.2 | 0.9912 |
| 50 °C | 3.49 × 10−5 | 286.5 | 0.9935 | |
| 60 °C | 4.00 × 10−4 | 25.0 | 0.9834 | |
| PEF | 40 °C | 4.04 × 10−6 | 2475.2 | 0.9926 |
| 50 °C | 2.55 × 10−5 | 392.2 | 0.9975 | |
| 60 °C | 6.74 × 10−5 | 148.4 | 0.9941 |
| Compound | tR (Min) | (M + H+) | Fragmentation Ions | Structure |
|---|---|---|---|---|
| CIP | 2.70 | 332.1 | 231.1, 245.1, 288.2, 314.1 | ![]() |
| CIP-1 | 4.18 | 360.1 | 231.1, 243.1, 273.1, 342.1 | ![]() |
| CIP-2 | 4.94 | 371.1 | 215.1, 231.1, 243.1, 259.1, 325.0, 353.0 | ![]() |
| Compound | tR (Min) | (M+H+) | Fragmentation Ions | Structure |
|---|---|---|---|---|
| PEF | 2.67 | 334.2 | 290.2, 316.1 | ![]() |
| PEF-1 | 2.79 | 350.2 | 290.2, 332.1 | ![]() |
Publisher’s Note: MDPI stays neutral with regard to jurisdictional claims in published maps and institutional affiliations. |
© 2022 by the authors. Licensee MDPI, Basel, Switzerland. This article is an open access article distributed under the terms and conditions of the Creative Commons Attribution (CC BY) license (https://creativecommons.org/licenses/by/4.0/).
Share and Cite
Żuromska-Witek, B.; Żmudzki, P.; Szlósarczyk, M.; Abram, M.; Maślanka, A.; Hubicka, U. Study of Oxidation of Ciprofloxacin and Pefloxacin by ACVA: Identification of Degradation Products by Mass Spectrometry and Bioautographic Evaluation of Antibacterial Activity. Processes 2022, 10, 1022. https://doi.org/10.3390/pr10051022
Żuromska-Witek B, Żmudzki P, Szlósarczyk M, Abram M, Maślanka A, Hubicka U. Study of Oxidation of Ciprofloxacin and Pefloxacin by ACVA: Identification of Degradation Products by Mass Spectrometry and Bioautographic Evaluation of Antibacterial Activity. Processes. 2022; 10(5):1022. https://doi.org/10.3390/pr10051022
Chicago/Turabian StyleŻuromska-Witek, Barbara, Paweł Żmudzki, Marek Szlósarczyk, Michał Abram, Anna Maślanka, and Urszula Hubicka. 2022. "Study of Oxidation of Ciprofloxacin and Pefloxacin by ACVA: Identification of Degradation Products by Mass Spectrometry and Bioautographic Evaluation of Antibacterial Activity" Processes 10, no. 5: 1022. https://doi.org/10.3390/pr10051022
APA StyleŻuromska-Witek, B., Żmudzki, P., Szlósarczyk, M., Abram, M., Maślanka, A., & Hubicka, U. (2022). Study of Oxidation of Ciprofloxacin and Pefloxacin by ACVA: Identification of Degradation Products by Mass Spectrometry and Bioautographic Evaluation of Antibacterial Activity. Processes, 10(5), 1022. https://doi.org/10.3390/pr10051022






