Hydrogen Storage Behavior and Performance of Multiple Cold-Rolled MgH2/Nb2O5 Nanocomposite Powders
Abstract
:1. Introduction
Aim of the Present Study
2. Materials and Methods
2.1. Materials and Sample Preparations
2.2. Sample Characterizations
2.2.1. Crystal Structure
2.2.2. Thermal Analysis
2.2.3. Hydrogenation/Dehydrogenation Behaviors
3. Results and Discussions
3.1. Morphology and Crystal Structure
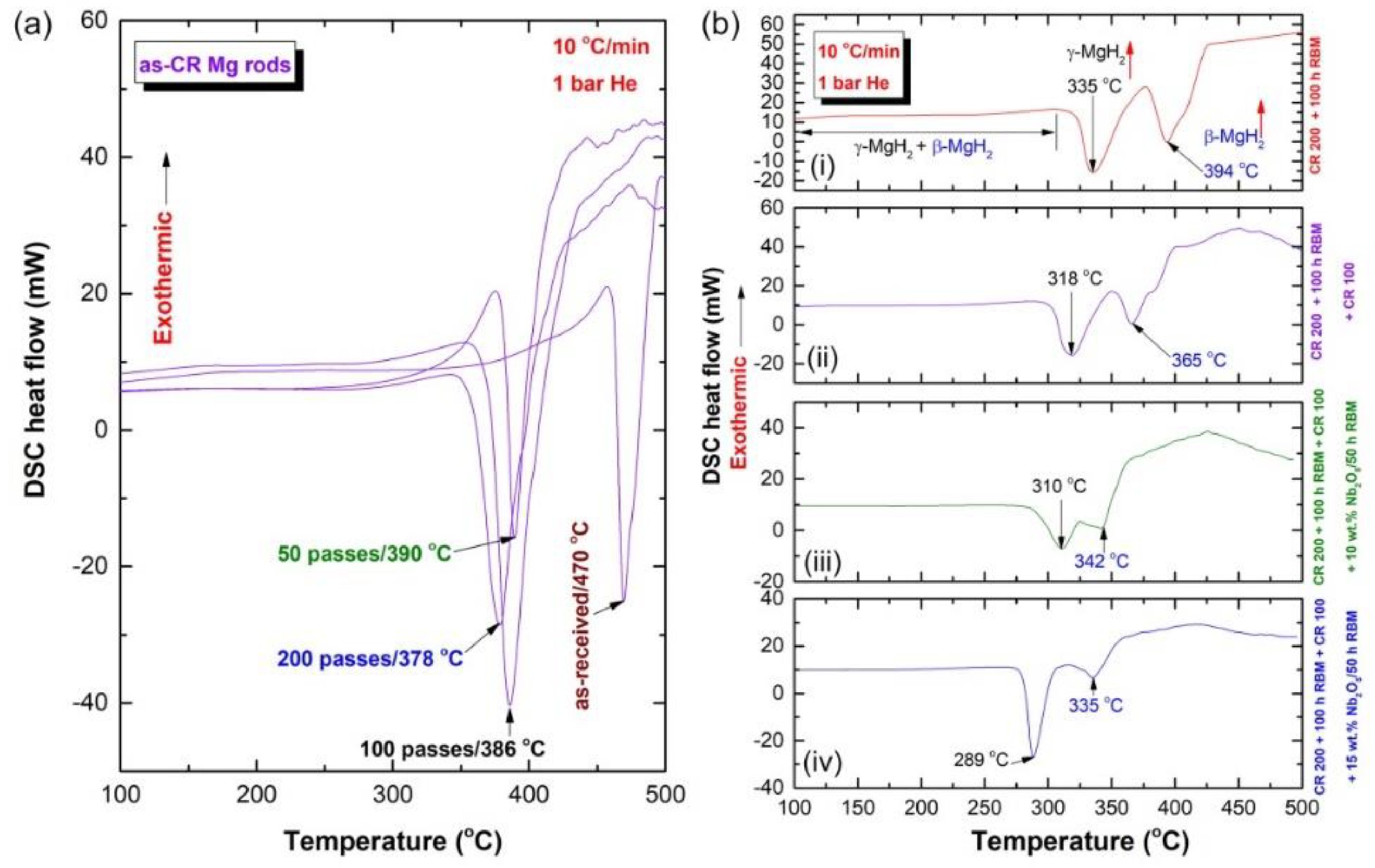
3.2. Thermal Stability
3.3. Cycle-Life-Time Performance
4. Conclusions
Author Contributions
Funding
Institutional Review Board Statement
Informed Consent Statement
Data Availability Statement
Acknowledgments
Conflicts of Interest
Sample Availability
References
- Khan, H.; Weili, L.; Khan, I.; Oanh, L.K. Recent advances in energy usage and environmental degradation: Does quality institutions matter? A worldwide evidence. Energy Rep. 2021, 7, 1091–1103. [Google Scholar] [CrossRef]
- El-Eskandarany, M.S. Recent developments in the fabrication, characterization and implementation of MgH2-based solid-hydrogen materials in the Kuwait Institute for Scientific Research. RSC Adv. 2019, 9, 9907. [Google Scholar] [CrossRef] [PubMed] [Green Version]
- Lee, S.; Kim, T.; Han, G.; Kang, S.; Yood, Y.S.; Jeon, S.Y.; Bae, J. Comparative energetic studies on liquid organic hydrogen carrier: A net energy analysis. Renew. Sustain. Energy Rev. 2021, 150, 111447. [Google Scholar] [CrossRef]
- Hassan, I.A.; Ramadan, H.S.; Saleh, M.A.; Hissel, D. Hydrogen storage technologies for stationary and mobile applications: Review, analysis and perspectives. Renew. Sustain. Energy Rev. 2021, 149, 111311. [Google Scholar] [CrossRef]
- El-Eskandarany, M.S. Mechanical Alloying: Energy, Surface Protective Coating and Medical Applications, 3rd ed.; Elsevier: Oxford, UK, 2020. [Google Scholar]
- El-Eskandarany, M.S.; Banyan, M.; Al-Ajmi, F. Environmentally friendly nanocrystalline magnesium hydride decorated with metallic glassy zirconium palladium nanopowders for fuel cell applications. RSC Adv. 2019, 9, 27987. [Google Scholar] [CrossRef] [Green Version]
- Wang, Y.; Hao, C.; Ge, Y.; Hao, L.; Tan, J.; Wang, X.; Zhang, P.; Wang, Y.; Tian, W.; Lin, Z.; et al. Fuel consumption and emission performance from light-duty conventional/hybrid-electric vehicles over different cycles and real driving tests. Fuel 2020, 278, 118340. [Google Scholar] [CrossRef]
- Oliveira, A.M.; Beswick, R.R.; Yan, Y. A green hydrogen economy for a renewable energy society. Curr. Opin. Chem. Eng. 2021, 33, 100701. [Google Scholar] [CrossRef]
- El-Eskandarany, M.S.; Banyan, M.; Al-Ajmi, F. Cold-rolled magnesium hydride strips decorated with cold-sprayed Ni powders for solid-state hydrogen storage. Int. J. Hydrog. Energy 2019, 44, 16852–16861. [Google Scholar] [CrossRef]
- Sahlberg, M.; Karlsson, D.; Zlotea, C.; Jansson, U. Superior hydrogen storage in high entropy alloys. Sci. Rep. 2016, 6, 36770. [Google Scholar] [CrossRef] [Green Version]
- Jain, I.P.; Lal, C.; Jain, A. Hydrogen storage in Mg: A most promising material. Int. J. Hydrog. Energy 2010, 35, 5133–5144. [Google Scholar] [CrossRef]
- El-Eskandarany, M.S.; Al-Ajmi, F.; Banyan, M. Mechanically-induced catalyzation of MgH2 powders with Zr2Ni-ball milling media. Catalysts 2019, 9, 382. [Google Scholar] [CrossRef] [Green Version]
- El-Eskandarany, M.S.; Shaban, E.; Al-Halaili, B. Nanocrystalline β−γ−β cyclic phase transformation in reacted ball milled MgH2 powders. Int. J. Hydrog. Energy 2014, 39, 12727–12740. [Google Scholar] [CrossRef]
- El-Eskandarany, M.S.; Al-Matrouk, H.; Shaban, E.; Al-Duweesh, A. Effect of mechanically-induced solid-state doping time on the morphology and hydrogenation cyclability of MgH2/7 Mn3.6Ti2.4 nanocomposite powders. Int. J. Hydrog. Energy 2015, 40, 10139–10149. [Google Scholar] [CrossRef]
- El-Eskandarany, M.S.; Banyan, M.; Al-Ajmi, F. Discovering a new MgH2 metastable phase. RSC Adv. 2018, 8, 32003–32008. [Google Scholar] [CrossRef] [PubMed] [Green Version]
- Floriano, R.; Leiva, D.R.; Deledda, S.; Hauback, B.C.; Botta, W.J. MgH2-based nanocomposites prepared by short-time high energy ball milling followed by cold rolling: A new processing route. Int. J. Hydrog. Energy 2014, 39, 4404–4413. [Google Scholar] [CrossRef]
- Ranjbar, Z.P.; Guo, X.B.; Yu, D.; Wexler, A.; Calka, A.; Kim, C.J.; Liu, H.K. Hydrogen storage properties of MgH2–SiC composites. Chem. Phys. 2009, 114, 168–172. [Google Scholar]
- El-Eskandarany, M.S.; Alkandary, A.; Aldakheel, F.; Al-Saidi, M.; Al-Ajmi, F.; Banyan, M. Performance and fuel cell applications of reacted ball-milled MgH2/5.3 wt% TiH2 nanocomposite powders. RSC Adv. 2018, 8, 38175. [Google Scholar] [CrossRef] [Green Version]
- Liang, G.; Huot, J.; Boily, S.; Van, N.A.; Schulz, R. Catalytic effect of transition metals on hydrogen sorption in nanocrystalline ball milled MgH2–Tm (Tm= Ti, V, Mn, Fe and Ni) systems. J. Alloys Compd. 1999, 292, 247–252. [Google Scholar] [CrossRef]
- Kumar, E.M.; Rajkamal, A.; Thapa, R. Screening based approach and dehydrogenation kinetics for MgH2: Guide to find suitable dopant using first-principles approach. Sci. Rep. 2017, 7, 15694. [Google Scholar] [CrossRef] [Green Version]
- Xie, L.S.; Li, J.S.; Zhang, T.B.; Kou, H.C. Role of milling time and Ni content on dehydrogenation behavior of MgH2/Ni composite. Trans. Nonferrous Metals Soc. 2017, 27, 569–577. [Google Scholar] [CrossRef]
- Yu, X.B.; Yang, Z.X.; Liu, H.K.; Grany, D.M.; Walker, G.S. The effect of a Ti-V-based BCC alloy as a catalyst on the hydrogen storage properties of MgH2. Int. J. Hydrog. Energy 2010, 35, 6338–6344. [Google Scholar] [CrossRef]
- Zhou, C.; Fang, Z.Z.; Ren, C.; Li, J.; Lu, J. Effect of Ti intermetallic catalysts on hydrogen storage properties of magnesium hydride. J. Phys. Chem. C 2013, 117, 12973–12980. [Google Scholar] [CrossRef]
- El-Eskandarany, M.S.; Shaban, E.; Aldakheel, F.; Alkandary, A.; Behbehani, M.; Al-Saidi, M. Synthetic nanocomposite MgH2/5 wt.% TiMn2 powders for solid hydrogen storage tank integrated with PEM fuel cell. Sci. Rep. 2017, 7, 1. [Google Scholar] [CrossRef] [PubMed] [Green Version]
- El-Eskandarany, M.S.; Shaban, E.; Al-Matrouk, H.; Behbehani, M.; Alkandary, A.; Aldakheel, F.; Ali, N.; Ahmed, S.A. Structure, morphology and hydrogen storage kinetics of nanocomposite MgH2/10 wt.% ZrNi5 powders. Mater. Today Energy 2017, 3, 60–71. [Google Scholar] [CrossRef]
- El-Eskandarany, M.S. Metallic glassy Zr70Ni20Pd10 powders for improving the hydrogenation/dehydrogenation behavior of MgH2. Sci. Rep. 2016, 6, 156. [Google Scholar] [CrossRef] [PubMed]
- Amira, S.; Huot, J. Effect of cold rolling on hydrogen sorption properties of die-cast and as-cast magnesium alloys. J. Alloy. Compd. 2012, 520, 287–294. [Google Scholar] [CrossRef]
- Kalisvaart, W.P.; Harrower, C.T.; Haagsma, J.; Zahiri, B.; Luber, E.J.; Ophus, C.; Poirier, E.; Fritzsche, H.; Mitlin, D. Hydrogen storage in binary and ternary Mg-based alloys: A comprehensive experimental study. Int. J. Hydrog. Energy 2010, 35, 2091–2103. [Google Scholar] [CrossRef] [Green Version]
- Chen, J.; Xia, G.; Guo, Z.; Huang, Z.; Liu, H.; Yu, X. Porous Ni Nanofibers with Enhanced Catalytic Effect on the Hydrogen Storage Performance of MgH2. J. Mater. Chem. A 2015, 3, 15843–15848. [Google Scholar] [CrossRef]
- Ding, X.; Li, Y.; Fang, F.; Sun, D.; Zhang, Q. Hydrogen-induced magnesium–zirconium interfacial coupling: Enabling fast hydrogen sorption at lower temperatures. J. Mater. Chem. A 2017, 5, 5067–5076. [Google Scholar] [CrossRef]
- Chen, Y.; Zhang, H.; Wu, F.; Sun, Z.; Zheng, J.; Zhang, L.; Chen, L. Mn nanoparticles enhanced dehydrogenation and hydrogenation kinetics of MgH2 for hydrogen storage. Trans. Nonferrous Met. Soc. 2021, 31, 3469–3477. [Google Scholar] [CrossRef]
- El-Eskandarany, M.S.; Al-Nasrallah, E.; Banyan, M.; Al-Ajmi, F. Bulk nanocomposite MgH2/10 wt.% (8 Nb2O5/2 Ni) solid-hydrogen storage system for fuel cell applications. Int. J. Hydrog. Energy 2018, 43, 23382–23396. [Google Scholar] [CrossRef]
- Wang, P.; Wang, A.M.; Zhang, H.F.; Ding, B.Z.; Hu, Z.Q. Hydrogenation characteristics of Mg–TiO2 (rutile) composite. J. Alloy. Compd. 2000, 313, 218–223. [Google Scholar] [CrossRef]
- Lu, X.; Zhang, L.; Yu, H.; Lu, Z.; He, J.; Zheng, J.; Wu, F.; Chen, L. Achieving superior hydrogen storage properties of MgH2 by the effect of TiFe and carbon nanotubes. Chem. Eng. J. 2021, 422, 130101. [Google Scholar] [CrossRef]
- Vijay, R.; Sundaresan, R.; Maiya, M.P.; Srinivasa Murthy, S.; Fu, Y.; Klein, H.P.; Groll, M. Characterization of Mg–x wt.% FeTi (x = 5–30) and Mg–40wt.% FeTiMn hydrogen absorbing materials prepared by mechanical alloying. J. Alloys Compd. 2004, 384, 283–295. [Google Scholar] [CrossRef]
- Jorge, A.M.; de Lima, G.F.; Triques, M.R.M.; Botta, W.J.; Langdon, T.G. Correlation between hydrogen storage properties and textures induced in magnesium through ECAP and cold rolling. Int. J. Hydrog. Energy 2014, 39, 3810–3821. [Google Scholar] [CrossRef]










| Material | Preparation | Properties | References |
|---|---|---|---|
| MgH2 | As-received | Storage density of up to 7.6 wt.% with slow kinetics and poor thermodynamic characteristics necessitating dehydrogenation temperatures of 300 °C. | [28] |
| MgH2 | Pure Mg powders were ball-milled under 50 bar (reactive ball milling, RBM) of hydrogen pressure for 200 h | Single, stable phase of β-MgH2 was obtained upon milling for 25 h. After 200 h of RBM time, the decomposition temperature and activation energy were recorded to be 399 °C and 131 kJ/mol, respectively. The times required for complete absorption and desorption of 7 wt.% of hydrogen at 250 °C were recorded to be 3140 s and 35,207 s under 10 and 0 bar, respectively. Complete 600 absorption/desorption cycles were achieved. | [13] |
| MgH2-10 wt.% TM (TM; Fe, Co, Ni, Cu nanoparticles) | Ar atmosphere/high-energy ball milling (HEBM)/4 h | Mg–Fe: Absorption/10 bar/350 °C: 5.1 wt.%/9.1 min, Ea = 86 kJ/mol Mg–Co: Absorption/10 bar/350 °C: 4.3 wt.%/7.7 min, Ea = 75 kJ/mol Mg–Ni: Absorption/10 bar/350 °C: 5 wt.%/6.1 min, Ea = 72 kJ/mol Mg–Cu: Absorption/10 bar/350 °C: 4.6 wt.%/15.3 min, Ea = 76 kJ/mol | [29] |
| MgH2-1 at % Zr | H2-RBM/300 rpm/20 h + annealing at 100 °C/40 bar H2/24 h | Absorption: 5.5 wt.%/4000 s/300 °C Absorption of nanocomposite: 3.5 wt.% H2/6000 s/100 °C Dehydrogenation: 5.5 wt.% H2/2000 s/350 °C | [30] |
| MgH2-10 wt.% Mn nanoparticles | H2-RBM/450 rpm/5 h | Onset desorption temperature: 175 °C and 6.7, 6.5, and 6.1 wt.% hydrogen released within 5, 10, and 25 min at 300, 275, and 250 °C, respectively. | [31] |
| MgH2/8 wt.% Nb2O5+2 wt.% Ni | Disks of nanocomposite coating with Ni powder (3 layers) | 5.5 wt.% hydrogen storage density and fast absorption/desorption kinetics of 2.6/3 min at 250 °C with 400 h life cycle. MgH2-20 wt.% TiO2 | [32] |
| MgH2-20 wt.% TiO2 nanoparticles | H2-RBM/1 h/8 bar | Absorption/20 bar/350 °C: 3.8 wt.%/2 min Desorption/1 bar/350 °C: 4.4 wt.%/8.5 min | [33] |
| MgH2-15 wt.% TiFe | H2-RBM/450 rpm/5 h | Onset desorption temperature: 175 °C Hydrogen released: 6.5 wt.% H2/10 min at 300 °C Ea: 72.5 kJ/mol | [34] |
| MgH2-40 wt.% TiFeMn | Ar-HEBM/40 h | Absorption/40 bar/80 °C: 4 wt.%/3600 s Desorption/ 3 bar/240 °C: 2.57 wt.%/7200 min | [35] |
Publisher’s Note: MDPI stays neutral with regard to jurisdictional claims in published maps and institutional affiliations. |
© 2022 by the authors. Licensee MDPI, Basel, Switzerland. This article is an open access article distributed under the terms and conditions of the Creative Commons Attribution (CC BY) license (https://creativecommons.org/licenses/by/4.0/).
Share and Cite
El-Eskandarany, M.S.; Ali, N.; Al-Ajmi, F.; Banyan, M.; Al-Duweesh, A.A. Hydrogen Storage Behavior and Performance of Multiple Cold-Rolled MgH2/Nb2O5 Nanocomposite Powders. Processes 2022, 10, 1017. https://doi.org/10.3390/pr10051017
El-Eskandarany MS, Ali N, Al-Ajmi F, Banyan M, Al-Duweesh AA. Hydrogen Storage Behavior and Performance of Multiple Cold-Rolled MgH2/Nb2O5 Nanocomposite Powders. Processes. 2022; 10(5):1017. https://doi.org/10.3390/pr10051017
Chicago/Turabian StyleEl-Eskandarany, M. Sherif, Naser Ali, Fahad Al-Ajmi, Mohammad Banyan, and Ahmed A. Al-Duweesh. 2022. "Hydrogen Storage Behavior and Performance of Multiple Cold-Rolled MgH2/Nb2O5 Nanocomposite Powders" Processes 10, no. 5: 1017. https://doi.org/10.3390/pr10051017
APA StyleEl-Eskandarany, M. S., Ali, N., Al-Ajmi, F., Banyan, M., & Al-Duweesh, A. A. (2022). Hydrogen Storage Behavior and Performance of Multiple Cold-Rolled MgH2/Nb2O5 Nanocomposite Powders. Processes, 10(5), 1017. https://doi.org/10.3390/pr10051017

