Biochar-Based Compost Affects Bacterial Community Structure and Induces a Priming Effect on Soil Organic Carbon Mineralization
Abstract
:1. Introduction
2. Materials and Methods
2.1. Preparation of Biochar and Organic Compost
2.2. Study Site, Amendment Process, and Sampling Procedures
2.3. Soil and Biochar Physicochemical Parameters
2.4. DNA Extraction, Bacterial Amplicon Libraries, and DNA Sequencing
2.5. Bioinformatics and Statistical Analyses
3. Results
3.1. Effects of Biochar and Compost on Soil Physicochemical Properties
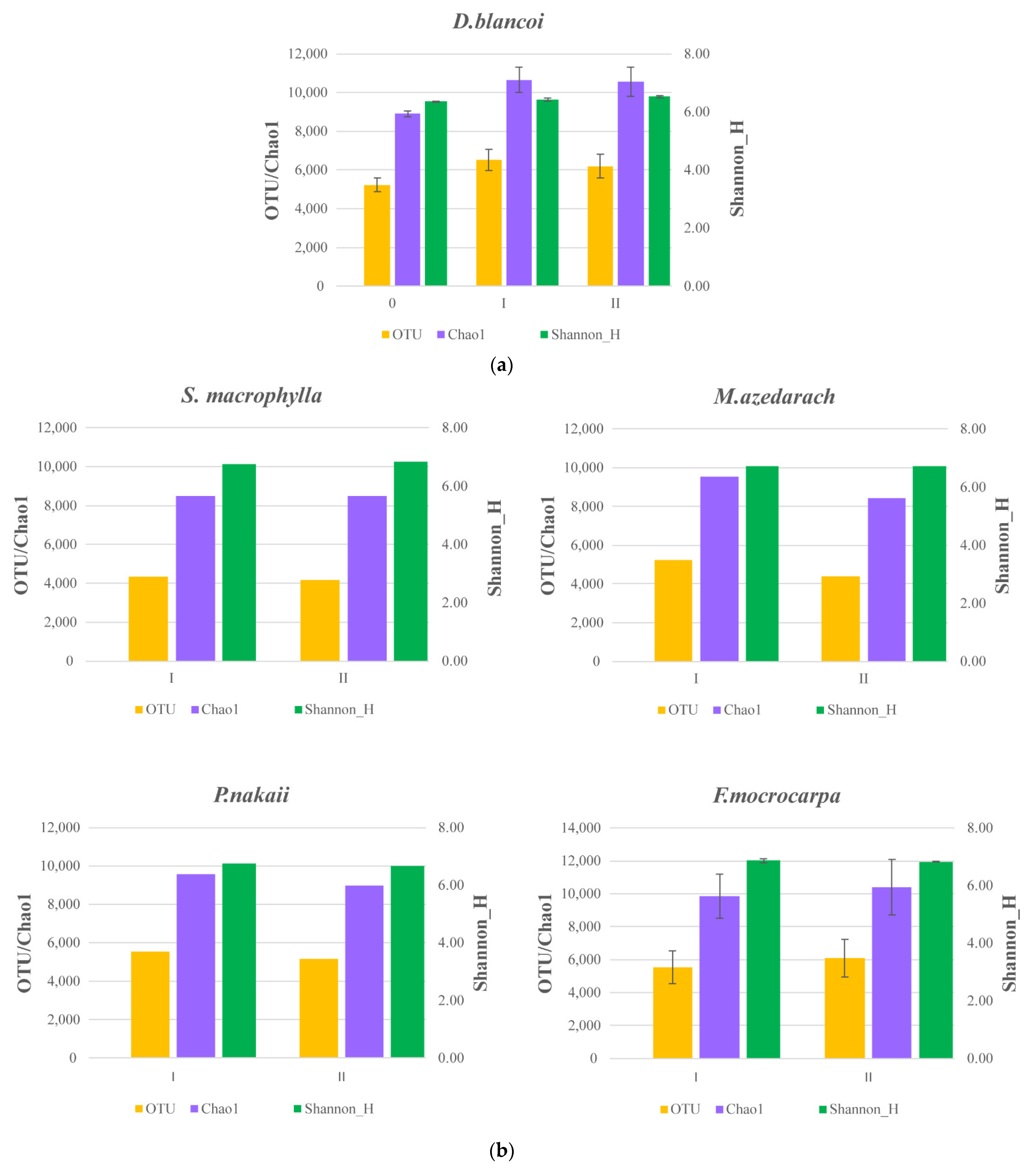
3.2. Response of Soil Microbial Community Composition to Biochar and Compost Addition
3.3. Soil Physicochemical Parameters Shaped Urban Tree-Associated Bacterial Community Composition
4. Discussion
4.1. Newly Developed Biochar-Based Compost Improved the Physicochemical Properties of Soil
4.2. Microbial Community Structure Is Driven by Biochar/Compost Amendment
4.3. The Interaction between Bacterial Community Structure and Physicochemical Properties
5. Conclusions
Supplementary Materials
Author Contributions
Funding
Data Availability Statement
Acknowledgments
Conflicts of Interest
References
- Wong, N.H.; Yu, C. Study of green areas and urban heat island in a tropical city. Habitat Int. 2005, 29, 547–558. [Google Scholar] [CrossRef]
- Aram, F.; Higueras Garcia, E.; Solgi, E.; Mansournia, S. Urban green space cooling effect in cities. Heliyon 2019, 5, e01339. [Google Scholar] [CrossRef] [PubMed] [Green Version]
- Lai, D.; Liu, W.; Gan, T.; Liu, K.; Chen, Q. A review of mitigating strategies to improve the thermal environment and thermal comfort in urban outdoor spaces. Sci. Total Environ. 2019, 661, 337–353. [Google Scholar] [CrossRef] [PubMed]
- Solecki, W.D.; Rosenzweig, C.; Parshall, L.; Pope, G.; Clark, M.; Cox, J.; Wiencke, M. Mitigation of the heat island effect in urban New Jersey. Glob. Environ. Chang. Part B Environ. Hazards 2005, 6, 39–49. [Google Scholar] [CrossRef]
- Tan, Z.; Lau, K.K.-L.; Ng, E. Urban tree design approaches for mitigating daytime urban heat island effects in a high-density urban environment. Energy Build. 2016, 114, 265–274. [Google Scholar] [CrossRef]
- Wang, X.; Dallimer, M.; Scott, C.E.; Shi, W.; Gao, J. Tree species richness and diversity predicts the magnitude of urban heat island mitigation effects of greenspaces. Sci. Total Environ. 2021, 770, 145211. [Google Scholar] [CrossRef]
- Tiessen, H.; Cuevas, E.; Chacon, P. The Role of Soil Organic-Matter in Sustaining Soil Fertility. Nature 1994, 371, 783–785. [Google Scholar] [CrossRef]
- Bationo, A.; Kihara, J.; Vanlauwe, B.; Waswa, B.; Kimetu, J. Soil organic carbon dynamics, functions and management in West African agro-ecosystems. Agric. Syst. 2007, 94, 13–25. [Google Scholar] [CrossRef] [Green Version]
- Vanlauwe, B.; Bationo, A.; Chianu, J.; Giller, K.E.; Merckx, R.; Mokwunye, U.; Ohiokpehai, O.; Pypers, P.; Tabo, R.; Shepherd, K.D.; et al. Integrated soil fertility management Operational definition and consequences for implementation and dissemination. Outlook Agric. 2010, 39, 17–24. [Google Scholar] [CrossRef] [Green Version]
- Palansooriya, K.N.; Wong, J.T.F.; Hashimoto, Y.; Huang, L.; Rinklebe, J.; Chang, S.X.; Bolan, N.; Wang, H.; Ok, Y.S. Response of microbial communities to biochar-amended soils: A critical review. Biochar 2019, 1, 3–22. [Google Scholar] [CrossRef] [Green Version]
- Igalavithana, A.D.; Kim, K.H.; Jung, J.M.; Heo, H.S.; Kwon, E.E.; Tack, F.M.G.; Tsang, D.C.W.; Jeon, Y.J.; Ok, Y.S. Effect of biochars pyrolyzed in N2 and CO2, and feedstock on microbial community in metal(loid)s contaminated soils. Environ. Int. 2019, 126, 791–801. [Google Scholar] [CrossRef] [PubMed]
- Ma, X.; Chao, L.; Li, J.; Ding, Z.; Wang, S.; Li, F.; Bao, Y. The Distribution and Turnover of Bacterial Communities in the Root Zone of Seven Stipa Species Across an Arid and Semi-arid Steppe. Front. Microbiol. 2021, 12, 782621. [Google Scholar] [CrossRef] [PubMed]
- Liu, L.; Zhu, K.; Wurzburger, N.; Zhang, J. Relationships between plant diversity and soil microbial diversity vary across taxonomic groups and spatial scales. Ecosphere 2020, 11, e02999. [Google Scholar] [CrossRef] [Green Version]
- Jacoby, R.; Peukert, M.; Succurro, A.; Koprivova, A.; Kopriva, S. The Role of Soil Microorganisms in Plant Mineral Nutrition-Current Knowledge and Future Directions. Front. Plant. Sci. 2017, 8, 1617. [Google Scholar] [CrossRef] [PubMed] [Green Version]
- Joyner, J.L.; Kerwin, J.; Deeb, M.; Lozefski, G.; Prithiviraj, B.; Paltseva, A.; McLaughlin, J.; Groffman, P.; Cheng, Z.; Muth, T.R. Green Infrastructure Design Influences Communities of Urban Soil Bacteria. Front. Microbiol. 2019, 10, 982. [Google Scholar] [CrossRef] [Green Version]
- Ao, L.; Zhao, M.; Li, X.; Sun, G. Different Urban Forest Tree Species Affect the Assembly of the Soil Bacterial and Fungal Community. Microb. Ecol. 2021, 83, 447–458. [Google Scholar] [CrossRef]
- Jien, S.-H.; Wang, C.-S. Effects of biochar on soil properties and erosion potential in a highly weathered soil. Catena 2013, 110, 225–233. [Google Scholar] [CrossRef] [Green Version]
- Hseu, Z.Y.; Jien, S.H.; Chien, W.H.; Liou, R.C. Impacts of biochar on physical properties and erosion potential of a mudstone slopeland soil. Sci. World J. 2014, 2014, 602197. [Google Scholar] [CrossRef]
- Somerville, P.D.; Farrell, C.; May, P.B.; Livesley, S.J. Biochar and compost equally improve urban soil physical and biological properties and tree growth, with no added benefit in combination. Sci. Total Environ. 2020, 706, 135736. [Google Scholar] [CrossRef]
- Lee, M.-H.; Chang, E.-H.; Lee, C.-H.; Chen, J.-Y.; Jien, S.-H. Effects of Biochar on Soil Aggregation and Distribution of Organic Carbon Fractions in Aggregates. Processes 2021, 9, 1431. [Google Scholar] [CrossRef]
- Abel, S.; Peters, A.; Trinks, S.; Schonsky, H.; Facklam, M.; Wessolek, G. Impact of biochar and hydrochar addition on water retention and water repellency of sandy soil. Geoderma 2013, 202–203, 183–191. [Google Scholar] [CrossRef]
- Zheng, H.; Wang, X.; Luo, X.; Wang, Z.; Xing, B. Biochar-induced negative carbon mineralization priming effects in a coastal wetland soil: Roles of soil aggregation and microbial modulation. Sci. Total Environ. 2018, 610–611, 951–960. [Google Scholar] [CrossRef] [PubMed]
- Liao, J.; Hu, A.; Zhao, Z.; Liu, X.; Jiang, C.; Zhang, Z. Biochar with large specific surface area recruits N2O-reducing microbes and mitigate N2O emission. Soil Biol. Biochem. 2021, 156, 108212. [Google Scholar] [CrossRef]
- Whitman, T.; Pepe-Ranney, C.; Enders, A.; Koechli, C.; Campbell, A.; Buckley, D.H.; Lehmann, J. Dynamics of microbial community composition and soil organic carbon mineralization in soil following addition of pyrogenic and fresh organic matter. ISME J. 2016, 10, 2918–2930. [Google Scholar] [CrossRef] [Green Version]
- Anderson, C.R.; Condron, L.M.; Clough, T.J.; Fiers, M.; Stewart, A.; Hill, R.A.; Sherlock, R.R. Biochar induced soil microbial community change: Implications for biogeochemical cycling of carbon, nitrogen and phosphorus. Pedobiologia 2011, 54, 309–320. [Google Scholar] [CrossRef]
- Igalavithana, A.D.; Lee, S.E.; Lee, Y.H.; Tsang, D.C.W.; Rinklebe, J.; Kwon, E.E.; Ok, Y.S. Heavy metal immobilization and microbial community abundance by vegetable waste and pine cone biochar of agricultural soils. Chemosphere 2017, 174, 593–603. [Google Scholar] [CrossRef]
- Lehmann, J.; Rillig, M.C.; Thies, J.; Masiello, C.A.; Hockaday, W.C.; Crowley, D. Biochar effects on soil biota—A review. Soil Biol. Biochem. 2011, 43, 1812–1836. [Google Scholar] [CrossRef]
- Zhang, H.; Selim, H.M. Competitive Sorption-Desorption Kinetics of Arsenate and Phosphate in Soils. Soil Sci. 2008, 173, 3–12. [Google Scholar] [CrossRef]
- Tandy, S.; Healey, J.R.; Nason, M.A.; Williamson, J.C.; Jones, D.L. Remediation of metal polluted mine soil with compost: Co-composting versus incorporation. Environ. Pollut. 2009, 157, 690–697. [Google Scholar] [CrossRef]
- Naeem, M.A.; Khalid, M.; Aon, M.; Abbas, G.; Amjad, M.; Murtaza, B.; Khan, W.-U.-D.; Ahmad, N. Combined application of biochar with compost and fertilizer improves soil properties and grain yield of maize. J. Plant. Nutr. 2018, 41, 112–122. [Google Scholar] [CrossRef]
- Ghosh, S.; Ow, L.F.; Wilson, B. Influence of biochar and compost on soil properties and tree growth in a tropical urban environment. Int. J. Environ. Sci. Technol. 2014, 12, 1303–1310. [Google Scholar] [CrossRef] [Green Version]
- MacDonald, C.C. Methods of Soil and Tissue Analysis Used in the Analytical Laboratory; Information Report; Canadian Forestry Service, Maritimes Forest Research Centre: Fredericton, NB, Canada, 1977; M-X-78.
- Nelson, D.W.; Sommers, L.E. Total carbon, organic carbon, and organic matter. In Methods of Soil Analysis; Part 3. Chemical Methods, SSSA Book Series No. 5; SSSA and ASA: Madison, WI, USA, 1996; pp. 961–1010. [Google Scholar]
- Gee, G.W.; Bauder, J.W. Particle-size Analysis. In Methods of Soil Analysis; Wiley Online Library: Hoboken, NJ, USA, 1986; pp. 383–411. [Google Scholar]
- Rhoades, J.D. Cation Exchange Capacity. In Methods of Soil Analysis; Wiley Online Library: Hoboken, NJ, USA, 1986; pp. 149–157. [Google Scholar]
- Thomas, G.W. Exchangeable Cations. In Methods of Soil Analysis; Wiley Online Library: Hoboken, NJ, USA, 1986; pp. 159–165. [Google Scholar]
- Carter, M.R.; Gregorich, E.G. Soil Sampling and Methods of Analysis; Lewis Publishers: Boca Raton, FL, USA, 1993. [Google Scholar]
- Edgar, R.C. UPARSE: Highly accurate OTU sequences from microbial amplicon reads. Nat. Methods 2013, 10, 996–998. [Google Scholar] [CrossRef] [PubMed]
- Team, R.C. R: A language and environment for statistical computing. MSOR Connect. 2014, 1, 2673. [Google Scholar]
- Warnes, G.R.; Bolker, B.M.; Bonebakker, L.; Gentleman, R.; Liaw, W.; Lumley, T.; Maechler, M.; Magnusson, A.; Moeller, S.; Schwartz, M.L.; et al. Gplots: Various R Programming Tools for Plotting Data. R Package Version 3.1.1. 2009. Available online: https://cran.r-project.org/web/packages/gplots/gplots.pdf (accessed on 5 March 2022).
- Zimmerman, A.R.; Gao, B.; Ahn, M.-Y. Positive and negative carbon mineralization priming effects among a variety of biochar-amended soils. Soil Biol. Biochem. 2011, 43, 1169–1179. [Google Scholar] [CrossRef]
- Dai, Z.; Xiong, X.; Zhu, H.; Xu, H.; Leng, P.; Li, J.; Tang, C.; Xu, J. Association of biochar properties with changes in soil bacterial, fungal and fauna communities and nutrient cycling processes. Biochar 2021, 3, 239–254. [Google Scholar] [CrossRef]
- Jien, S.H.; Kuo, Y.L.; Liao, C.S.; Wu, Y.T.; Igalavithana, A.D.; Tsang, D.C.W.; Ok, Y.S. Effects of field scale in situ biochar incorporation on soil environment in a tropical highly weathered soil. Environ. Pollut. 2021, 272, 116009. [Google Scholar] [CrossRef]





| Ntot (%) | Corg (%) | C/N | pH | SBET (m2 g−1) | Ash (%) | H (%) | P (%) | |
|---|---|---|---|---|---|---|---|---|
| Biochar 1 | 0.55 ± 0.01 | 75.86 ± 1.14 | 138.17 | 6.55 ± 0.04 | 0.7 | 9.6 | 3.9 | - |
| Biochar 2 | 0.53 ± 0.00 | 99.13 ± 0.88 | 188.27 | 8.20 ± 0.01 | 41.8 | 8.2 | 2.7 | - |
| Compost | 2 | 36 | 18 | 7.9 | 0.02 |
| (a) | Conductivity (μS/cm) | pH | Ntot (%) | OM (%) | Phosphorus (mg/kg) | K+ (cmol (+)kg−1) | Na+ (cmol (+)kg−1) | Ca2+ (cmol (+)kg−1) | Mg2+ (cmol (+)kg−1) | CEC (cmol (+)kg−1) | Sand (%) | Clay (%) | Silt (%) | Porosity (%) |
|---|---|---|---|---|---|---|---|---|---|---|---|---|---|---|
| D. blancoi (0) | 244.2 ± 36.16 a | 7.89 ± 0.15 a | 0.09 ± 0.01 a | 1.22 ± 0.19 a | 53.53 ± 3.75 a | 0.39 ± 0.08 a | 0.67 ± 0.19 a | 9.24 ± 2.15 a | 1.22 ± 0.01 a | 5.12 ± 0.14 a | 74 ± 3.0 a | 14 ± 0.3 a | 12 ± 2.6 a | 47.59 ± 3.42 a |
| D. blancoi (+) | 240.9 ± 10.24 a | 8.03 ± 0.02 a | 0.08 ± 0.00 a | 1.11 ± 0.08 a | 53.80 ± 1.99 a | 0.29 ± 0.01 a | 1.07 ± 0.30 a | 13.53 ± 1.96 a | 1.30 ± 0.03 a | 5.53 ± 0.48 a | 68 ± 3.0 a | 14 ± 2.2 a | 18 ± 1.3 a | 50.06 ± 2.28 a |
| (b) | ||||||||||||||
| D. blancoi 1I | 235.7 ± 0.67 a | 8.07 ± 0.01 a | 0.08 ± 0.00 a | 1.34 ± 0.05 a | 58.27 ± 1.74 a | 0.33 ± 0.24 b | 0.45 ± 0.10 a | 9.89 ± 4.54 a | 1.29 ± 0.03 a | 5.30 ± 0.35 a | 74 | 10 | 16 | |
| D. blancoi 1II | 71.3 ± 3.3 b | 7.80 ± 0.03 b | 0.07 ± 0.01 a | 0.75 ± 0.12 b | 34.87 ± 6.33 b | 1.59 ± 0.01 a | 0.17 ± 0.01 a | 0.87 ± 0.66 b | 0.19 ± 0.13 a | 2.54 ± 0.81 a | 87 | 4 | 8 | |
| D. blancoi 2I | 217.3 ± 0.33 a | 8.04 ± 0.02 a | 0.07 ± 0.00 a | 0.98 ± 0.01 a | 49.82 ± 4.59 a | 0.25 ± 0.08 a | 1.79 ± 0.42 a | 12.7 ± 0.23 a | 1.24 ± 0.02 a | 6.67 ± 1.32 a | 71 | 14 | 15 | |
| D. blancoi 2II | 195.2 ± 7.9 b | 7.86 ± 0.01 b | 0.05 ± 0.01 a | 0.79 ± 0.03 b | 44.63 ± 4.67 a | 1.19 ± 0.29 a | 0.12 ± 0.05 a | 0.26 ± 0.05 b | 0.47 ± 0.35 a | 3.06 ± 0.55 a | 88 | 2 | 10 | |
| D. blancoi 3I | 266.7 ± 0.33 a | 7.99 ± 0.03 a | 0.07 ± 0.00 a | 0.97 ± 0.21 a | 55.94 ± 1.00 a | 0.29 ± 0.12 a | 0.75 ± 0.10 a | 12.44 ± 0.64 a | 1.31 ± 0.01 a | 4.37 ± 0.23 a | 68 | 12 | 20 | |
| D. blancoi 3II | 117.5 ± 5.4 b | 7.95 ± 0.05 a | 0.06 ± 0.01 a | 0.78 ± 0.01 a | 22.26 ± 1.22 b | 0.08 ± 0.00 a | 0.19 ± 0.03 a | 0.27 ± 0.13 b | 0.37 ± 0.21 a | 5.37 ± 0.90 a | 85 | 2 | 12 | |
| D. blancoi 4I | 243.7 ± 1.20 a | 8.01 ± 0.04 a | 0.08 ± 0.00 a | 1.16 ± 0.06 a | 51.16 ± 4.60 a | 0.27 ± 0.04 a | 1.29 ± 0.64 a | 19.09 ± 0.94 a | 1.37 ± 0.00 a | 5.76 ± 1.16 a | 60 | 20 | 20 | |
| D. blancoi 4II | 233.7 ± 1.7 b | 8.12 ± 0.01 a | 0.07 ± 0.01 a | 1.04 ± 0.02 a | 25.02 ± 5.15 b | 2.24 ± 0.00 a | 0.21 ± 0.01 b | 0.34 ± 0.07 b | 0.82 ± 0.18 b | 3.48 ± 0.12 a | 89 | 4 | 6 |
| Conductivity (μS/cm) | pH | Ntot (%) | OM (%) | Phosphorus (mg/kg) | K+ (cmol (+)kg−1) | Na+ (cmol (+)kg−1) | Ca2+ (cmol (+)kg−1) | Mg2+ (cmol (+)kg−1) | CEC (cmol (+)kg−1) | Sand (%) | Clay (%) | Silt (%) | |
|---|---|---|---|---|---|---|---|---|---|---|---|---|---|
| S. macrophylla I | 184.5 ± 0.69 a | 7.81 ± 0.05 a | 0.04 ± 0.00 a | 0.83 ± 0.04 a | 106.82 ± 3.19 a | 0.25 ± 0.08 a | 1.92 ± 0.36 a | 18.12 ± 0.54 a | 1.18 ± 0.13 a | 5.06 ± 0.92 a | 86 | 9 | 5 |
| S. macrophylla II | 134.4 ± 1.9 b | 7.74 ± 0.09 a | 0.06 ± 0.01 a | 0.41 ± 0.21 a | 79.48 ± 5.04 b | 0.35 ± 0.03 a | 0.26 ± 0.01 a | 0.29 ± 0.03 b | 0.87 ± 0.09 b | 3.79 ± 0.50 b | 88 | 6 | 6 |
| M. azedarach I | 139.9 ± 0.25 b | 7.00 ± 0.02 b | 0.10 ± 0.00 a | 1.84 ± 0.03 a | 78.45 ± 3.81 b | 0.20 ± 0.05 b | 0.81 ± 0.16 a | 2.78 ± 1.47 a | 0.71 ± 0.18 a | 3.78 ± 0.98 a | 85 | 7 | 8 |
| M. azedarach II | 163.5 ± 0.3 a | 7.18 ± 0.04 a | 0.08 ± 0.00 b | 1.40 ± 0.08 b | 126.42 ± 10.30 a | 0.78 ± 0.00 a | 0.28 ± 0.01 a | 0.92 ± 0.11 b | 1.23 ± 0.17 a | 3.77 ± 0.21 a | 88 | 8 | 4 |
| P. nakaii I | 134.1 ± 0.23 a | 6.40 ± 0.04 b | 0.07 ± 0.00 a | 1.43 ± 0.04 a | 145.06 ± 3.69 a | 0.25 ± 0.05 b | 0.82 ± 0.07 a | 2.68 ± 0.56 a | 1.07 ± 0.03 b | 4.26 ± 0.01 a | 81 | 9 | 9 |
| P. nakaii II | 112.3 ± 0.2 b | 6.95 ± 0.08 a | 0.08 ± 0.01 a | 0.65 ± 0.22 b | 101.46 ± 24.90 b | 1.43 ± 0.43 a | 0.16 ± 0.03 a | 0.84 ± 0.22 b | 1.36 ± 0.40 a | 3.85 ± 0.88 a | 89 | 6 | 5 |
| F. microcarpa 1I | 276.7 ± 0.33 a | 7.94 ± 0.03 a | 0.04 ± 0.00 a | 0.54 ± 0.02 a | 71.44 ± 2.07 a | 0.45 ± 0.08 a | 1.35 ± 0.76 a | 10.00 ± 2.020 a | 0.66 ± 0.02 a | 4.23 ± 3.77 a | 84 | 10 | 6 |
| F. microcarpa 1II | 230.7 ± 0.3 b | 7.85 ± 0.04 a | 0.06 ± 0.01 a | 0.15 ± 0.04 b | 72.70 ± 5.30 a | 0.47 ± 0.15 a | 0.4 ± 0.97 b | 1.23 ± 0.49 b | 0.97 ± 0.21 a | 4.37 ± 0.63 a | 84 | 12 | 4 |
| F. microcarpa 2I | 232.3 ± 0.33 b | 7.83 ± 0.09 a | 0.04 ± 0.00 a | 0.78 ± 0.02 a | 118.77 ± 3.94 a | 0.50 ± 0.06 a | 1.72 ± 0.28 a | 8.80 ± 2.78 a | 1.23 ± 0.01 b | 5.16 ± 1.46 a | 83 | 7 | 10 |
| F. microcarpa 2II | 282.3 ± 0.9 a | 7.77 ± 0.01 a | 0.05 ± 0.00 a | 0.57 ± 0.06 b | 106.55 ± 10.09 a | 0.55 ± 0.02 a | 0.55 ± 0.01 b | 1.58 ± 0.38 b | 1.28 ± 0.03 a | 3.89 ± 0.53 a | 74 | 18 | 8 |
Publisher’s Note: MDPI stays neutral with regard to jurisdictional claims in published maps and institutional affiliations. |
© 2022 by the authors. Licensee MDPI, Basel, Switzerland. This article is an open access article distributed under the terms and conditions of the Creative Commons Attribution (CC BY) license (https://creativecommons.org/licenses/by/4.0/).
Share and Cite
Shiu, J.-H.; Huang, Y.-C.; Lu, Z.-T.; Jien, S.-H.; Wu, M.-L.; Wu, Y.-T. Biochar-Based Compost Affects Bacterial Community Structure and Induces a Priming Effect on Soil Organic Carbon Mineralization. Processes 2022, 10, 682. https://doi.org/10.3390/pr10040682
Shiu J-H, Huang Y-C, Lu Z-T, Jien S-H, Wu M-L, Wu Y-T. Biochar-Based Compost Affects Bacterial Community Structure and Induces a Priming Effect on Soil Organic Carbon Mineralization. Processes. 2022; 10(4):682. https://doi.org/10.3390/pr10040682
Chicago/Turabian StyleShiu, Jia-Ho, Yi-Chan Huang, Zi-Ting Lu, Shih-Hao Jien, Meng-Ling Wu, and Yu-Ting Wu. 2022. "Biochar-Based Compost Affects Bacterial Community Structure and Induces a Priming Effect on Soil Organic Carbon Mineralization" Processes 10, no. 4: 682. https://doi.org/10.3390/pr10040682
APA StyleShiu, J.-H., Huang, Y.-C., Lu, Z.-T., Jien, S.-H., Wu, M.-L., & Wu, Y.-T. (2022). Biochar-Based Compost Affects Bacterial Community Structure and Induces a Priming Effect on Soil Organic Carbon Mineralization. Processes, 10(4), 682. https://doi.org/10.3390/pr10040682

