Hybrid Diesel/PV Multi-Megawatt Plant Seasonal Behavioral Model to Analyze Microgrid Effectiveness: Case Study of a Mining Site Electrification
Abstract
1. Introduction
2. Material and Method
| K = ratio of indicated power | Be = fuel oil consumption on test bed [g/kWh] |
| α = power adjustment factor | Biso = fuel oil consumption according to ISO [g/kWh] |
| Px = barometric pressure during the test [hPa] | M = measure fuel quantity [kg] |
| Pra = standard reference barometric pressure [1000 hPa] | S = time [s] |
| m = 0.7 (exponent) | MLS = flow of clean leak fuel [kg/h] |
| Tx = air temperature during test [K] | P = engine power [kW] |
| Tra = reference air temperature [298 K] | LHVtest = lower heating value of the fuel during test [MJ/kg] |
| n = 12 (exponent) | LHViso = lower heating value of the fuel oil ISO [MJ/kg] |
| Tcr = reference charge air coolant temperature [298 K] | EDP = Engine driven pumps [g/kWh] |
| Tcx = charge air coolant temperature during test [K] | |
| s = 1 (exponent) | |
| mek = mechanical efficiency |
2.1. Study Scope, Objectives and the Case-Study in Brief Overview
2.1.1. Objectives in Characterizing Interactions
2.1.2. Approach to Power Analysis
- Two entities contribute in a strictly complementary manner and in “real time” to the production of electricity. These are the thermal generators on one hand, and the PV generators on the other. A busbar and three transformers allow to create the right coupling conditions. The load profile does not change much at full power, it is modified at low frequency, and changes little around 40 MW (Figure 6);
- The TPS are controlled in a classical way by operating under loop, which synchronizes and ensures the secured and balanced dispatching;
- The PVGs operate under the control of an algorithm (MPPT) imposing in real time an injection of power in connection with the variations of the sunshine;
- The interactions are then under the influence of the load profile, the variations of the sunshine, and the operational multi-criteria control rules. At the PCC, we observe an exact compensation effect between the generated (TPS and PVGs) and totalized (PSR) power at the busbar levels:The share of PV on the service rendered SR for a given period T is written:
- The reactive power exchanges are assumed to be well managed by means of generator excitation, the inverters control, system inductors, and capacitors. Only active power balancing is considered in the management policies that are later exposed.
2.2. Seasonal Sensitive Monitoring of the System
2.2.1. Average Monthly Irradiation on Site
2.2.2. Categorization of Seasonality of the Solar Irradiance
2.3. State of the Art of Production System Technologies and Operating Principles of Season Sensitive Autonomous PV/Diesel Power Plants
2.3.1. Generator Set Technologies
- Low investment costs—due to their widespread application and manufacturing.
- High reliability—diesel engines are proven and robust machines, well suited to harsh operating environments. Engine maintenance is based on the amount of regular operating hours and is therefore quite predictable in such context.
- Fast start and loading requiring minimal warm-up time before they can accept the load.
- Good load fluctuations tracking capabilities.
- Diesel engines are relatively easy to install.
- Fixed speed generator sets
2.3.2. Photovoltaic System and Power Production Modelling
2.3.3. Structure and Operating Strategies of the Essakane PV/Diesel Hybrid Power Plant
- 132,000 PV panels: 96,000 panels of 115 Wp and 36,000 panels of 117.5 Wp (3 × (32,000 + 12,000));
- 06 ABB trade mark inverters of 2 MVA rated power;
- 03 ABB trade mark transformers of 4 MVA rated power.

- To regulate the integration of the solar PV power acting as unpredictable “negative load” by providing real time compensation of fluctuations;
- To maximize the efficiency of the hybrid system through operator dispatching rules, keeping both thermal generators and PV always close to the best running point with the active MPPT;
- To guarantee the stability of the hybrid system by means of a spinning reserve and/or the limitation of the active power of the solar PV plant. The spinning reserve is sized to recover the energy surge during hazards like sudden power decrease/increase by cloud shadowing or load and even technical events.
2.4. Analysis Patterns of Behavior
2.4.1. Methodology
- Measurement and data collection: It is necessary to inventory the instrumentation of the existing system and to complete it if necessary, in accordance with the necessary data and data processing to successfully characterize the behavior of the system;
- Analysis of interactions inside the system: This step consists of analyzing the operation mode of the PV/Diesel hybrid system by focusing on the interactions at the common coupling point. It will identify operating constraints and the energy exchange balance and adequacy;
- Behavioral model: Several behavioral models will be developed, including the consumption model of the thermal power plant, the behavioral model of the solar PV plant at the point of coupling, and the behavioral model of the genset losses. The development of these models consists of establishing correlations between data formal relationships between the inputs and outputs of the subsystems;
- Knowledge Model: This is about establishing definitions of causalities that make the outputs of the subsystems predictable from the inputs, the physical parameters are clearly expressed in such cases;
- The development of operating scenarios and simulations: this involves proposing operating scenarios that are not currently feasible on the physical reference system. These scenarios are developed to characterize special operations that are not feasible in practice due to potential damage or time lack.

2.4.2. Behavioral Models of Thermal Plant Consumption
Observation of Interaction between Solar and Thermal Production at the Coupling Point
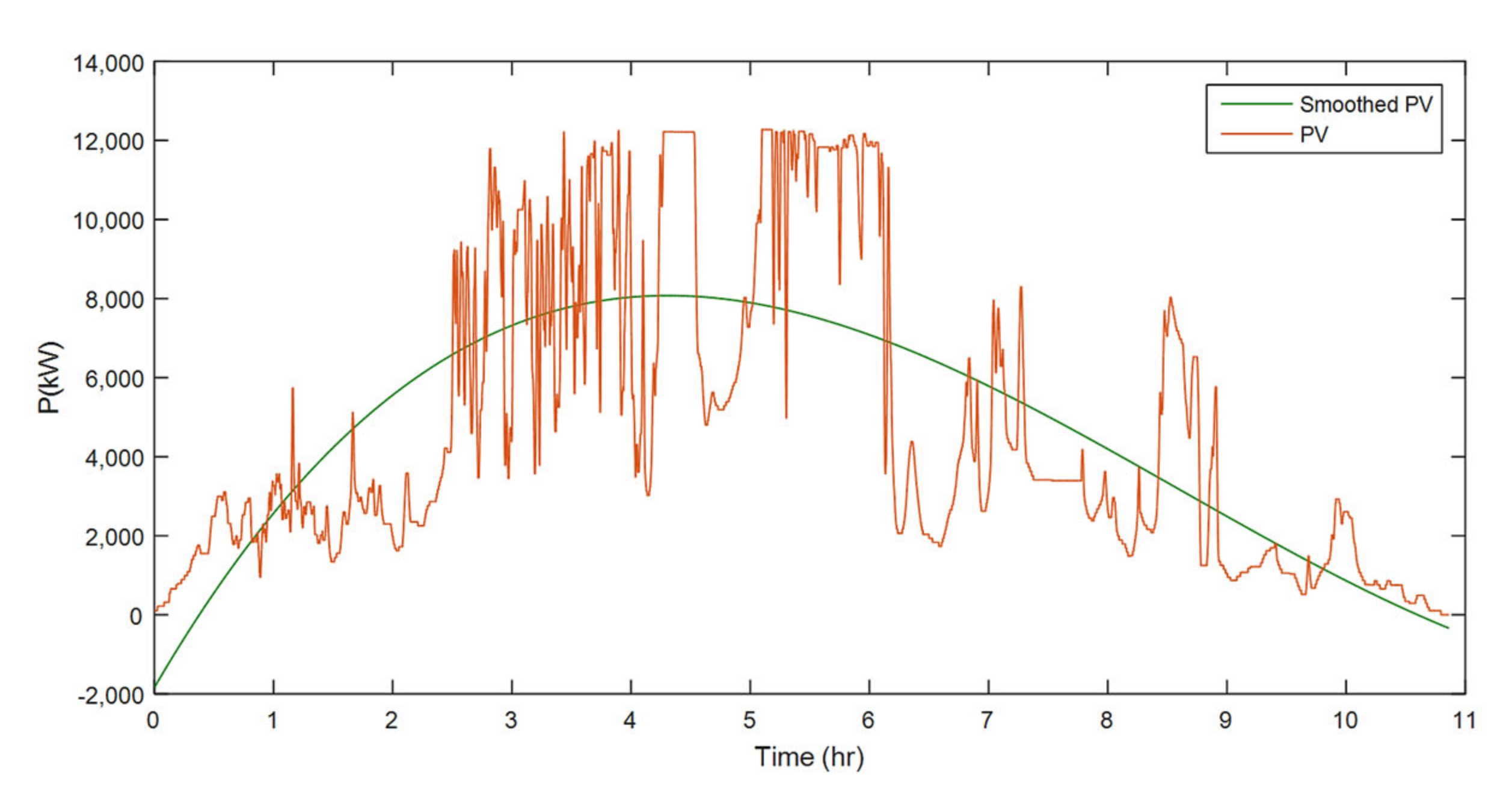
- The behavior gives evidence to the instantaneous complementarity of the solar and thermal powering mine activities;
- Daily magnitude variation of solar PV production appears. Some days, although few, show superposed disturbances.

Developing Models in Quasi-Static Solar Profile (QSP) or Dynamic Solar Profile (DSP) Conditions
- The producing units reveal a linear behavior for the evolution of their hourly flow according to the electrical power produced, in the form of an affine law used as Unit Referenced Model (URM) under QSP/DSP:D_Gu = A × PGu + Bu
- With D_Gu: hourly flow in kg/h per producing unit “u” and PGu = electrical power supplied per producing unit;
- In each configuration the overall behavior (of N unities producing) of consumption is also linear in the affine form:D_GNu = N × D_Gue = N × (A × PGue + Bue)
- With D_GNu: global hourly flow of N units. The index “ue” refers to an equivalent producing unit theoretically uniformized;
- The producing units have quite similar behaviors even if some disparities are noticed due, partially, to the adjustments, which are not rigorously identical for all servo loops and the inherent non linearities. A maximum error of 1.3% was evaluated between these different coefficients;
- The “A” is a multiplier or factor that reflect dynamic property of the consumption models of a unit and is roughly equal to the slope coefficient of the overall behavior model when N units producing power PGNu = N × PGue is considered;
- On the other hand, the constant BNu of the global behavior model represents the sum of the constants of the “original step up” of the N equivalent producing units;
- (BNu = N × Bue).
2.5. Evaluation of Relevancies of the Models
3. Results
3.1. Impact of Transient Regimes Due to Rapid Variation in Sunshine
3.1.1. Analysis of Fuel Consumption Patterns
3.1.2. Assessment of a Loss of Fuel Economy Due to Transient Regimes from Solar
- The direct mode makes it possible to calculate the consumption from the QSP and the DSP adequate models, resulting in an effective amount of fuel consumed (EFC);
- Then, we apply the average model of sunshine that leads to the same amount of energy of PVG origin EPVG (same share in the SR). Assuming a SR without the impacts of the disturbances, the resulting fuel consumption (QFC) is estimated by applying the QSP model;
- The shortfall, which therefore reflects overconsumption, is then calculated by:EFG = EFC − QFC
- It is observed that the specific consumption provided by the model between 8:00 a.m. and 4:00 p.m. on 11 October 2019 is slightly higher than the value provided by the meters (0.8%). This small deviation validates the model;
- The solar production for this day of 11 October 2019 was thus estimated 58,408 kWh. Compared with actual production, the idealized smoothed production yielded 1009 kg shortfall in fuel. This method can therefore be judiciously generalized and adopted for day-to-day estimation.
3.2. Expected, Achieved and Achievable Energy Contribution of PV
- The TWS (Thermal Without Solar) scenario: In this scenario, the SR is accomplished by the gensets alone. This makes it possible to calculate the maximum fuel oil (MF) potentially required and the corresponding specific consumption (SC);
- The MST (Mean Solar/Thermal) scenario: In this scenario, the SR is accomplished by the thermal groups and the idealized “medium” solar. It allows to evaluate the expected fuel gain (FG) by power injection at the “sun’s edge” without any perturbation of the sunshine. This FG is also evaluated by simulating an “equivalent” average sunshine effect. Doing so allows to calculate the specific consumption (CS) corresponding to this expected behavior scenario;
- The DST (Disturbed Solar/Thermal) scenario: In this scenario, the SR is accomplished by the thermal groups and the so-called “disturbed” solar (DSP). It makes it possible to calculate the shortfall (EFG) by comparing the (EFC) to the simulated QFC for any observation window.
3.2.1. Impact of PV Power Injection on the Performance of the Thermal Power Plant
3.2.2. Enhancement Capability Evaluation by Means of Indicators
- Fluctuation of the PV production: Indeed, for the operations impacted by frequent sunshine disturbances (cloudy passages), we have established that the consumption model is penalized by an overconsumption. Mainly due to the dynamic acceleration-deceleration regime of the internal combustion generators, it is known that an increase in pollution due to the emission of harmful gases and particles also occurs. Fouling of the combustion chamber components leads to more expensive maintenance;
- Derating of thermal units: According to the current operating strategy of the hybrid plant, the spinning reserve must remain above 80% of the active power supplied by the solar plant. As a result, more generators than necessary for the powering are kept in operation. In addition, due to the unavoidable variation in sunlight between sunrise and sunset, there is a shift in the operating points of the active generators with respect to a rated reference. This behavior induces a derating factor for the power units. The further the operating point is from the nominal point, the worse the efficiency.
4. Discussion
4.1. Technical and Economic Evaluation of the Enhancement of Options
4.1.1. Selected Potential Gain Options for Consideration
- A period of strong disturbances: this is the period from May to September and corresponds to the rainy season of the mine site;
- A period of moderate disturbances: this is the period from October to April, which corresponds to the dry season of the mining site.
- The density of the fuel used is 0.970 kg/L;
- The cost of HFO is 0.75 USD/L.
4.1.2. Storage Sizing
- The first step is to evaluate the energy needed to be stored each day with disturbances. The residual profile, obtained by differentiating the instantaneous PVd(t) and averaged PVdave(t), provides storage energy evolution. A daily evolution EstockD(t) is calculated by Equation (16).
- The second step of the approach consists in determining the storage capacity for the “worst case” i.e., for the most restrictive day. The variability of solar radiation from one day to another, from one season to another, or from one year to another, induce following assumptions:
- The most restrictive days are the cloudy ones on site (in particular the July–August in chosen case);
- Solar radiation behaves statistically the same from one year to another on site.
- In the third step, the same time trade-off analysis among different storage technologies must be performed to make a choice according to the LCOE targeted.
Application to the Essakane PV/Diesel Hybrid Power Plant
4.2. Production Cost and LCOE Analysis Performed Coupled to Energy Storage
4.2.1. Production Cost and the LCOE of the Thermal Power Plant Alone
4.2.2. Production Cost and LCOE of the PV/Diesel Hybrid Power Plant
5. Conclusions
Author Contributions
Funding
Data Availability Statement
Acknowledgments
Conflicts of Interest
Abbreviations
| AC | Alternating current |
| BNu | Consumption of N gensets when electrical supplied is zero |
| Bu | Consumption of one genset when electrical supplied is zero |
| CFD | Compensation of Fluctuations and Derating management option |
| CFO | Compensation of the Fluctuations Only option |
| CFS | Compensation of Fluctuations by staggered storage power option |
| DC | Direct Current |
| DSM | Demand Side Management |
| DSP | Dynamic Solar Profile |
| DST | Disturbed Solar/Thermal scenario |
| EFC | Effective fuel consumed |
| EFG | Shortfall |
| EPVG | Solar energy production (kWh) |
| ESR | Electrical consumption (kWh) |
| ETPS | Thermal energy production (kWh) |
| FC | Fuel Consumption |
| FCA | Annual fuel consumed |
| FS | Fuel Saved appliying a given scenario |
| FSM | Fuel saving margin |
| G | Irradiance in W/m2 |
| G1…G12 | Nomenclature of gensets |
| HFCNu | Hourly fuel Consumption per N producing unit (kg/h/kW) |
| HFCu | Hourly fuel Consumption per single producing unit (kg/h/kW) |
| HFO | Heavy Fuel Oil |
| MF | Maximum Fuel oil potentialy required for thermal gensets working alone |
| MST | Mean solar/Thermique scenario |
| OPEX | Operating expenses |
| PCC | Point of Common Coupling |
| PG | Thermal plant power generation in kW |
| PGNu | Electrical power supplied per N producing units in kW |
| PGu | Electrical power supplied per producing unit in kW |
| Pn | Rated Power in kW |
| PSR | Electrical demand Profile |
| PV | Solar Power in kW |
| PVd(t) | Instantaneous PV Power of D day |
| PVdave(t) | Instantaneous averaged PV Power of D day |
| PVG | Photovoltaic generator |
| QFC | Fuel consumed by applying QSP model |
| QSP | Quasi-static solar Profile |
| QSP-E | Equivalent of Quasi-static solar Profile |
| RNI | Burkina’s National Interconnected Grid |
| SBM | Seasonal Behavioral Models |
| SC | Specific Consumption |
| SR | Service to be rendered |
| T1, T2, T3 | Transformer |
| TPS | Thermal Power Station |
| TWS | Thermal power without solar |
References
- IRENA. Renewable Power Generation Costs 2020; IRENA: Abu Dhabi, United Arab Emirates, 2021. [Google Scholar]
- Blechinger, P.; Cader, C.; Bertheau, P.; Huyskens, H.; Seguin, R.; Breyer, C. Global Analysis of the Techno-Economic Potential of Renewable Energy Hybrid Systems on Small Islands. Energy Policy 2016, 98, 674–687. [Google Scholar] [CrossRef]
- Cader, C.; Blechinger, P.; Bertheau, P. Electrification Planning with Focus on Hybrid Mini-Grids—A Comprehensive Modelling Approach for the Global South. Energy Procedia 2016, 99, 269–276. [Google Scholar] [CrossRef]
- Moner-Girona, M.; Solano-Peralta, M.; Lazopoulou, M.; Ackom, E.K.; Vallve, X.; Szabó, S. Electrification of Sub-Saharan Africa through PV/Hybrid Mini-Grids: Reducing the Gap between Current Business Models and on-Site Experience. Renew. Sustain. Energy Rev. 2018, 91, 1148–1161. [Google Scholar] [CrossRef]
- Bissiri, M.; Moura, P.; Figueiredo, N.C.; Pereira da Silva, P. A Geospatial Approach towards Defining Cost-Optimal Electrification Pathways in West Africa. Energy 2020, 200, 117471. [Google Scholar] [CrossRef]
- Ouedraogo, B.I.; Kouame, S.; Azoumah, Y.; Yamegueu, D. Incentives for Rural off Grid Electrification in Burkina Faso Using LCOE. Renew. Energy 2015, 78, 573–582. [Google Scholar] [CrossRef]
- Kadri, S.M.; Bagre, A.O.; Camara, M.B.; Dakyo, B.; Coulibaly, Y. Electrical Power Distribution Status in West Africa: Assessment and Perspective Overview. In Proceedings of the 2019 8th International Conference on Renewable Energy Research and Applications (ICRERA), Brasov, Romania, 3–6 November 2019; pp. 511–515. [Google Scholar] [CrossRef]
- Polleux, L.; Guerassimoff, G.; Marmorat, J.-P.; Sandoval-Moreno, J.; Schuhler, T. An Overview of the Challenges of Solar Power Integration in Isolated Industrial Microgrids with Reliability Constraints. Renew. Sustain. Energy Rev. 2022, 155, 111955. [Google Scholar] [CrossRef]
- Tankari, M.A.; Camara, M.B.; Dakyo, B.; Lefebvre, G. Use of Ultracapacitors and Batteries for Efficient Energy Management in Wind–Diesel Hybrid System. IEEE Trans. Sustain. Energy 2013, 4, 414–424. [Google Scholar] [CrossRef]
- Ansong, M.; Mensah, L.D.; Adaramola, M.S. Techno-Economic Analysis of a Hybrid System to Power a Mine in an off-Grid Area in Ghana. Sustain. Energy Technol. Assess. 2017, 23, 48–56. [Google Scholar] [CrossRef]
- Datta, M.; Senjyu, T.; Yona, A.; Funabashi, T.; Kim, C.-H. A Frequency-Control Approach by Photovoltaic Generator in a PV–Diesel Hybrid Power System. IEEE Trans. Energy Convers. 2011, 26, 559–571. [Google Scholar] [CrossRef]
- Tani, A.; Camara, M.B.; Dakyo, B. Energy Management in the Decentralized Generation Systems Based on Renewable Energy—Ultracapacitors and Battery to Compensate the Wind/Load Power Fluctuations. IEEE Trans. Ind. Appl. 2015, 51, 1817–1827. [Google Scholar] [CrossRef]
- Anoune, K.; Bouya, M.; Astito, A.; Abdellah, A.B. Sizing Methods and Optimization Techniques for PV-Wind Based Hybrid Renewable Energy System: A Review. Renew. Sustain. Energy Rev. 2018, 93, 652–673. [Google Scholar] [CrossRef]
- Al-falahi, M.D.A.; Jayasinghe, S.D.G.; Enshaei, H. A Review on Recent Size Optimization Methodologies for Standalone Solar and Wind Hybrid Renewable Energy System. Energy Convers. Manag. 2017, 143, 252–274. [Google Scholar] [CrossRef]
- Tazvinga, H.; Xia, X.; Zhang, J. Minimum Cost Solution of Photovoltaic–Diesel–Battery Hybrid Power Systems for Remote Consumers. Sol. Energy 2013, 96, 292–299. [Google Scholar] [CrossRef]
- Kusakaka, K.; Phiri, S.F.; Numbi, B.P. Optimal Energy Management of a Hybrid Diesel Generator and Battery Supplying a RTG Crane with Energy Recovery Capability. Energy Rep. 2021, 7, 4769–4778. [Google Scholar] [CrossRef]
- Tawfik, T.M.; Badr, M.A.; El-Kady, E.Y.; Abdellatif, O.E. Optimization and Energy Management of Hybrid Standalone Energy System: A Case Study. Renew. Energy Focus 2018, 25, 48–56. [Google Scholar] [CrossRef]
- Sinha, S.; Chandel, S.S. Review of Software Tools for Hybrid Renewable Energy Systems. Renew. Sustain. Energy Rev. 2014, 32, 192–205. [Google Scholar] [CrossRef]
- Belmili, H.; Haddadi, M.; Bacha, S.; Almi, M.F.; Bendib, B. Sizing Stand-Alone Photovoltaic–Wind Hybrid System: Techno-Economic Analysis and Optimization. Renew. Sustain. Energy Rev. 2014, 30, 821–832. [Google Scholar] [CrossRef]
- Ammari, C.; Belatrache, D.; Touhami, B.; Makhloufi, S. Sizing, Optimization, Control and Energy Management of Hybrid Renewable Energy System—A Review. Energy Built Environ. 2022, 3, 399–411. [Google Scholar] [CrossRef]
- Louis, L.; Polleux, L.; Sandoval-Moreno, J.; Guerassimoff, G.; Marmorat, J.-P. Impacts of Thermal Generation Flexibility on Power Quality and Lcoe of Industrial Off-Grid Power Plants. In Proceedings of the 11th International Conference on Applied Energy (ICAE2019), Västerås, Sweden, 12–15 August 2019. [Google Scholar] [CrossRef]
- Limpitlaw, D. Renewable Energy in the Minerals Sector: Assessing Opportunities for Africa; No. 326, 26; South African Institute of International Affairs: Johannesburg, South Africa, 2021. [Google Scholar]
- Reiners, N.; Bopp, G.; Wullner, J.; Yadav, R.G. Optimal Integration of Photovoltaics in Micro-Grids That Are Dominated by Diesel Power Plants; Technique Report IEA-PVPS T9-19:2019; IEA: Paris, France, 2019; p. 40. [Google Scholar]
- Multon, B.; Moine, G.; Aubry, J.; Haessig, P.; Jaouen, C.; Thiaux, Y.; Ahmed, H.B. Ressources Énergétiques et Solutions Pour l’alimentation En Électricité Des Populations Isolées. In Electrotechnique du Futur 2011; HAL Open Science: Belfort, France, 2011; 12p. [Google Scholar]
- Vuong, Q.D.; Kim, J.; Choi, J.-H.; Lee, J.; Lee, J.; Jeon, H.; Noh, J.-H.; Yoon, S.H.; Lee, W.-J. Study on the Variable Speed Diesel Generator and Effects on Structure Vibration Behavior in the DC Grid. Appl. Sci. 2021, 11, 12049. [Google Scholar] [CrossRef]
- Moradi, M.H.; Eskandari, M.; Showkati, H. A Hybrid Method for Simultaneous Optimization of DG Capacity and Operational Strategy in Microgrids Utilizing Renewable Energy Resources. Int. J. Electr. Power Energy Syst. 2014, 56, 241–258. [Google Scholar] [CrossRef]
- Hamilton, J.; Negnevitsky, M.; Wang, X. The Potential of Variable Speed Diesel Application in Increasing Renewable Energy Source Penetration. Energy Procedia 2019, 160, 558–565. [Google Scholar] [CrossRef]
- Semshchikov, E.; Hamilton, J.; Wu, L.; Negnevitsky, M.; Wang, X.; Lyden, S. Frequency Control within High Renewable Penetration Hybrid Systems Adopting Low Load Diesel Methodologies. Energy Procedia 2019, 160, 483–490. [Google Scholar] [CrossRef]
- Bagre, A.O. Couplage de Centrales Photovoltaïques aux Réseaux Publics Instables: Application au Réseau National du Burkina Faso. Ph.D. Thesis, Université du Havre, Le Havre, France, 2014. [Google Scholar]
- Fathima, A.H.; Palanisamy, K. Optimization in Microgrids with Hybrid Energy Systems—A Review. Renew. Sustain. Energy Rev. 2015, 45, 431–446. [Google Scholar] [CrossRef]
- Koucoï, G.A. Gestion d’Energie Dans les Systèmes Hybrides PV/Diesel pour Zones Isolées et Rurales: Optimisation et Expérimentation. Ph.D. Thesis, Institut International d’Ingénierie de L’Eau et de l’Environnement—2iE, Ouagadougou, Burkina Faso, 2017. [Google Scholar]
- Abdallah, T. Structures des Convertisseurs Modulaires Associes aux Technologies de Stockage: Applications aux Domaines Résidentiels et Véhicules Électriques. Ph.D. Thesis, Université du Havre, Le Havre, France, 2013. [Google Scholar]
- Votteler, R.G. A Mining Perspective on the Potential of Renewable Electricity Sources for Operations in South Africa: Part 2—A Multi-Criteria Decision Assessment. J. S. Afr. Inst. Min. Metall. 2017, 117, 299–312. [Google Scholar] [CrossRef]
- Lockhart, E.; Li, X.; Booth, S.S.; Olis, D.R.; Salasovich, J.A.; Elsworth, J.; Lisell, L. Comparative Study of Techno-Economics of Lithium-Ion and Lead-Acid Batteries in Micro-Grids in Sub-Saharan Africa; National Renewable Energy Lab. (NREL): Golden, CO, USA, 2019. [Google Scholar]

























| Test N° | Load [%] | Speed | Fuel | Power [kW] | Air Press [hPa] | Air Temp [°C] | Coolant Temp [°C] | Meas.fuel Amount [kg] | Mean Time [s] | Meas.consumption [kg/h] | Clean Leak Fuel [kg/h] | Eng.driven Pumps [g/kWh] | Be [g/kWh] | Biso [g/kWh] |
|---|---|---|---|---|---|---|---|---|---|---|---|---|---|---|
| 1 | 100 | 750 | HFO | 5447 | 998.2 | 29 | 35 | 60 | 197.9 | 1091.5 | 4.320 | 0 | 199.6 | 190.5 |
|
Lower heating value during test [MJ/kg]: 41,120 Lower heating value (ISO) [MJ/kg]: 42,700 Mechanical efficiency (ηmek): 0.80 | ||||||||||||||
| Zones of Mine Consumption | Devices/Needs |
|---|---|
| Factory (Mine) | Tranche A: 2 × 7 MW grinder |
| Auxiliaries Unit A of the factory | |
| Tranche B: 2 × 7 MW grinder | |
| Auxiliaries Unit B of the factory | |
| Career | Crusher |
| Administrative | Business administration |
| Life Base Camp | Facilities and safety safe working environment |
| Day 8 November 2019 | ||
|---|---|---|
| Electricity Production in kWh | Fuel Oil Consumption in kg | |
| Obtained with sampled data collection from 7:00 a.m. to 5:00 p.m. | 41,812 | 9106 |
| Values on the Meters from 7:00 a.m. to 5:00 p.m. | 41,792 | 9126 |
| Deviation | 0.04% | 0.2% |
| Number of Units Simultaneously Producing (N) | Number of Operating Points Identified | Percentage of Occurrences in Time (%) | Corresponding Operating Time (h) |
|---|---|---|---|
| 6 | 35,896 | 9.45 | 19.942 |
| 5 | 135,461 | 35.65 | 75.256 |
| 4 | 125,648 | 33.06 | 69.804 |
| 3 | 40,797 | 10.74 | 22.665 |
| 2 | 42,231 | 11.11 | 23.462 |
| Total | 380,033 | 100.00 | 211.129 |
| Day: 11 October 2019 with Static Load Profile and Dynamic PV Profile | Deviation [%] | Fuel Consumption in [kg] | Measurement Periods |
|---|---|---|---|
| Value in the counter index (daily report) | 0 | 192,593 | From 11 October 2019 at 6:00 a.m. to 12 October 2019 at 6:00 a.m. |
| Values calculated by flowmeter indicators | 3% | 186,680 | From 11 October 2019 at 6:00 a.m. to 12 October 2019 at 6:00 a.m. |
| Estimated consumption Unified models QSP and DSP | 0.4% | 191,730 | From 11 October 2019 at 6:00 a.m. to 12 October 2019 at 6:00 a.m. |
| Day: 17 July 2020 4:00 a.m. to 8:00 p.m. Load Profile: Static PV Profile: Dynamic | Designation-Production and Consumption | Performance Indicator | |||||
|---|---|---|---|---|---|---|---|
| ESR (kWh) | ETPS (kWh) | EPVG (kWh) | FC (kg) | FS (kg) | EFG (kg) | SC (g/kWh) | |
| TWS Scenario | 668,631 | 668,631 | 0 | 137,780 | 0 | NC | 206 |
| DST scenario | 668,631 | 600,020 | 68,711 | 125,945 | 11,835 | hident | 209.72 |
| MST Scenario | 668,631 | 599,800 | 68,630 | 125,220 | 12,560 | 725 | 208.7 |
| Day: 17 July 2020 from 4:00 a.m. to 8:00 p.m. | ESR (kWh) | ETPS (kWh) | EPVG (kWh) | FC (kg) | EFG (kg) |
|---|---|---|---|---|---|
| DST scenario | 668,631 | 600,020 | 68,711 | 125,945 | 1995 |
| MST Scenario | 668,631 | 599,800 | 68,630 | 125,220 |
| Year 2020 Fuel (LVH in 2020) = 40,700 kJ/kg) | ||||||
|---|---|---|---|---|---|---|
| Observation Windows | TWS Scenario FC (kg) | Scenario DST (Meter Values) FC (kg) | MST Scenario (Simulated) FC (kg) | Fuel Gained FG (kg) | EFG CFO Option (kg) | EFG CFD Option (kg) |
| August (30 days) | 5,137,400 100% | 4,859,013 | 4,812,600 | 100% 314,387 6% | +15% 46,413 | +28% 87,813 |
| October (30 days) | 5,891,346 100% | 5,529,301 | 5,500,080 | 100% 362,045 6% | +8% 29,221 | +18% 65,535 |
| Annual extrapolation (2020) | 100% 4,106,250 | +10% 436,612 | +22% 897,810 | |||
|
FS (kg) | Fuel Density in kg/L |
FS (L) | Fuel Cost in USD/L |
Cash Saved (USD) | |
|---|---|---|---|---|---|
| CFO Option | 436,612 | 0.970 | 450,115 | 0.75 | 337,586 |
| CFD Option | 897,810 | 0.970 | 925,577 | 0.75 | 694,182 |
| Assumptions | |
|---|---|
| Designation | Value |
| Initial cost in USD/kW (Diesel) | 582 |
| O&M cost in USD/kWh (Diesel) | 0.05 |
| Fuel cost in USD/L | 0.75 |
| HFO density in kg/L | 0.970 |
| Discount rate e | 8% |
| Inflation rate i | 2% |
| Project lifetime (year) | 25 |
| Fuel consumption in (L) (operating data 2016) | 69,163,786 |
| Annual electricity production (kWh) (operating data 2016) | 322,543,141 |
| Annual production cost and LCOE of the thermal power plant alone | |
| Annual production cost (USD/kWh) | 0.211 |
| LCOE (USD/kWh) | 0.219 |
| Assumptions | |
|---|---|
| Designation | Value |
| Initial cost in USD/kW (Diesel) | 582 |
| Initial cost in USD/kW (PV) | 883 |
| O&M cost in USD/kWh (Diesel) | 0.05 |
| O&M cost in USD/kW (PV) | 40 |
| Cost of purchasing electricity in USD/kWh | 0.16507 |
| HFO density in kg/L | 0.970 |
| Fuel cost in USD/L | 0.75 |
| Discount rate e | 8% |
| Inflation rate i | 2% |
| Project lifetime | 25 |
| Thermal power plant life | 25 |
| Solar power plant lifetime | 25 |
| Solar production in 2020 in kWh | 23,593,388 |
| Thermal production in 2020 in kWh | 312,468,274 |
| Fuel consumption in 2020 in Liter | 67,196,785 |
| Production cost and LCOE of the PV/Diesel hybrid plant in the current configuration | |
| Annual production cost in USD/kWh | 0.207 |
| LCOE in USD/kWh | 0.209 |
| Assumptions | |
|---|---|
| Designation | Value |
| Initial cost in USD/kWh (Lithium Battery) | 350 |
| O&M cost in USD/kWh (Lithium battery) | 10 |
| Lifespan (Lithium Battery) | 15 years |
| GAIN of fuel oil in liter (In reference year 2020) | 925,577 |
| Fuel cost in USD/L | 0.75 |
| Different plant configurations | LCOE (USD/kWh) |
| Thermal configuration only | 0.219 |
| Current PV/Diesel configuration | 0.209 |
| PV/Diesel configuration with storage and derating management | 0.205 |
Publisher’s Note: MDPI stays neutral with regard to jurisdictional claims in published maps and institutional affiliations. |
© 2022 by the authors. Licensee MDPI, Basel, Switzerland. This article is an open access article distributed under the terms and conditions of the Creative Commons Attribution (CC BY) license (https://creativecommons.org/licenses/by/4.0/).
Share and Cite
Moussa Kadri, S.; Dakyo, B.; Camara, M.B.; Coulibaly, Y. Hybrid Diesel/PV Multi-Megawatt Plant Seasonal Behavioral Model to Analyze Microgrid Effectiveness: Case Study of a Mining Site Electrification. Processes 2022, 10, 2164. https://doi.org/10.3390/pr10112164
Moussa Kadri S, Dakyo B, Camara MB, Coulibaly Y. Hybrid Diesel/PV Multi-Megawatt Plant Seasonal Behavioral Model to Analyze Microgrid Effectiveness: Case Study of a Mining Site Electrification. Processes. 2022; 10(11):2164. https://doi.org/10.3390/pr10112164
Chicago/Turabian StyleMoussa Kadri, Sani, Brayima Dakyo, Mamadou Baïlo Camara, and Yézouma Coulibaly. 2022. "Hybrid Diesel/PV Multi-Megawatt Plant Seasonal Behavioral Model to Analyze Microgrid Effectiveness: Case Study of a Mining Site Electrification" Processes 10, no. 11: 2164. https://doi.org/10.3390/pr10112164
APA StyleMoussa Kadri, S., Dakyo, B., Camara, M. B., & Coulibaly, Y. (2022). Hybrid Diesel/PV Multi-Megawatt Plant Seasonal Behavioral Model to Analyze Microgrid Effectiveness: Case Study of a Mining Site Electrification. Processes, 10(11), 2164. https://doi.org/10.3390/pr10112164

