Electrodeformation of White Blood Cells Enriched with Gold Nanoparticles
Abstract
1. Introduction
2. Materials and Methods
2.1. Dielectrophoretic Electrodes on a Chip
2.2. Cells
2.3. Gold Nanoparticles (AuNP)
2.4. Apparatus
2.5. Image Analysis
3. Results
3.1. Electrode Array Fabrication
3.2. X-ray Microfluorescence for Detection of Gold Nanoparticles Absorption
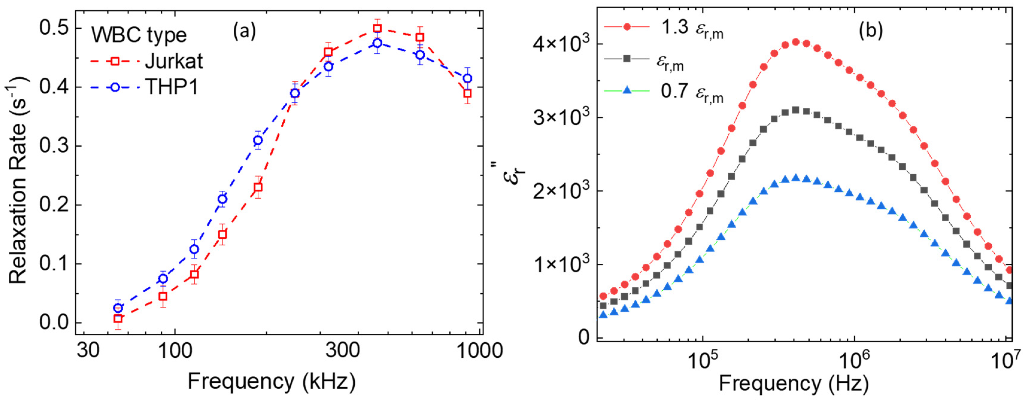
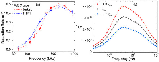
3.3. Frequency-Dependent Response
3.4. Deformation Study
- (a)
- It is apparent that very little deformation occurs below 5.0 V.
- (b)
- It takes some additional voltage increase (+2 to 3 volts, in general) to start observing statistically significant differences for various modifications of WBC with AuNPs.
- (c)
- As expected, the larger the applied voltage, the more difference between deformation curves is observed
- (d)
- The deformation curves (the stretch ratio vs the applied voltage) while generally non-linear, are not as apparently quadratic in voltage as one would expect from numerous electro-deformability studies conducted for red blood cells.
- (1)
- Particles embedded within the cell membrane or floating within the cytoplasm change the electrical impedance enough to affect the permittivity of the system.
- (2)
- Nanoparticles provide additional active surface area for electrical forces, effectively increasing the surface area of the cell without increasing its resting radius.
- (3)
- Furthermore, AuNP modified with molecular conjugates PEG and citrate showed additional changes to the effective elastic modulus for WBCs.
4. Conclusions
Supplementary Materials
Author Contributions
Funding
Institutional Review Board Statement
Informed Consent Statement
Data Availability Statement
Acknowledgments
Conflicts of Interest
References
- Richelme, F.; Benoliel, A.M.; Bongrand, P. Aspiration of THP1 into a micropipette. Mechanical deformation of monocytic THP-1 cells: Occurrence of two sequential phases with differential sensitivity to metabolic inhibitors. Exp. Biol. Online 1997, 2, 1–14. [Google Scholar] [CrossRef]
- Ahmad, I.L.; Ahmad, M.R. Trends in characterizing single cell’s stiffness properties. Micro Nano Syst. Lett. 2014, 2, 8. [Google Scholar] [CrossRef]
- Cross, S.E.; Jin, Y.S.; Rao, J.; Gimzewski, J.K. Nanomechanical analysis of cells from cancer patients. Nat. Nanotechnol. 2007, 2, 780. [Google Scholar] [CrossRef]
- Baker, E.L.; Lu, J.; Yu, D.; Bonnecaze, R.T.; Zaman, M.H. Cancer Cell Stiffness: Integrated Roles of Three-Dimensional Matrix Stiffness and Transforming Potential. Biophys. J. 2010, 99, 2048–2057. [Google Scholar] [CrossRef] [PubMed]
- Guck, J.; Schinkinger, S.; Lincoln, B.; Wottawah, F.; Ebert, S.; Romeyke, M.; Lenz, D.; Erickson, H.M.; Ananthakrishnan, R.; Mitchell, D.; et al. Optical deformability as an inherent cell marker for testing malignant transformation and metastatic competence. Biophys. J. 2005, 88, 3689–3698. [Google Scholar] [CrossRef]
- Otto, O.; Rosendahl, P.; Mietke, A.; Golfier, S.; Herold, C.; Klaue, D.; Girardo, S.; Pagliara, S.; Ekpenyong, A.; Jacobi, A.; et al. Real-time deformability cytometry: On-the-fly cell mechanical phenotyping. Nat. Methods 2015, 12, 199–202. [Google Scholar] [CrossRef] [PubMed]
- Toepfner, N.; Herold, C.; Otto, O.; Rosendahl, P.; Jacobi, A.; Kräter, M.; Stächele, J.; Menschner, L.; Herbig, M.; Ciuffreda, L.; et al. Detection of human disease conditions by single-cell morpho-rheological phenotyping of blood. eLife 2018, 7, e29213. [Google Scholar] [CrossRef] [PubMed]
- Radmacher, M.; Fritz, M.; Kacher, C.M.; Cleveland, J.P.; Hansma, P.K. Measuring the viscoelastic properties of human platelets with the atomic force microscope. Biophys. J. 1996, 70, 556–567. [Google Scholar] [CrossRef]
- Wu, P.-H.; Aroush, D.R.-B.; Asnacios, A.; Chen, W.-C.; Dokukin, M.E.; Doss, B.L.; Durand-Smet, P.; Ekpenyong, A.; Guck, J.; Guz, N.V.; et al. A comparison of methods to assess cell mechanical properties. Nat. Methods 2018, 15, 491–498. [Google Scholar] [CrossRef] [PubMed]
- Hwang, H.; Choi, Y.-J.; Choi, W.; Kim, S.-H.; Jang, J.; Park, J.-K. Interactive manipulation of blood cells using a lens-integrated liquid crystal display based optoelectronic tweezers system. Electrophoresis 2008, 29, 1203–1212. [Google Scholar] [CrossRef]
- Henon, S.; Lenormand, G.; Richert, A.; Gallet, F. A New Determination of the Shear Modulus of the Human Erythrocyte Membrane Using Optical Tweezers. Biophys. J. 1999, 76, 1145–1151. [Google Scholar] [CrossRef]
- Mills, J.P.; Qie, L.; Dao, M.; Lim, C.T.; Suresh, S. Nonlinear elastic and viscoelastic deformation of the human red blood cell with optical tweezers. Mech. Chem. Biosyst. 2004, 1, 169–180. [Google Scholar] [CrossRef] [PubMed]
- Guck, J.; Ananthakrishnan, R.; Mahmood, H.; Moon, T.J.; Cunningham, C.C.; Käs, J. The Optical Stretcher: A Novel Laser Tool to Micromanipulate Cells. Biophys. J. 2001, 81, 767–784. [Google Scholar] [CrossRef]
- Pethig, R. Dielectrophoresis: Theory, Methodology and Biological Applications; Wiley: Hoboken, NJ, USA, 2017; ISBN 978-1118671450. [Google Scholar]
- Guido, I.; Jaeger, M.S.; Duschl, C. Dielectrophoretic stretching of cells allows for characterization of their mechanical properties. Eur. Biophys. J. 2010, 40, 281–288. [Google Scholar] [CrossRef]
- Thom, F.; Gollek, H. Calculation of mechanical properties of human red cells based on electrically induced deformation experiments. J. Electrostatics 2006, 64, 53. [Google Scholar] [CrossRef]
- Engelhardt, H.; Sackmann, E. On the measurement of shear elastic moduli and viscosities of erythrocyte plasma membranes by transient deformation in high frequency electric fields. Biophys. J. 1988, 54, 495–508. [Google Scholar] [CrossRef]
- Doh, I.; Lee, W.C.; Cho, Y.-H.; Pisano, A.P.; Kuypers, F.A. Deformation measurement of individual cells in large populations using a single-cell microchamber array chip. Appl. Phys. Lett. 2012, 100, 173702–1737023. [Google Scholar] [CrossRef] [PubMed]
- Du, E.; Dao, M.; Suresh, S. Quantitative biomechanics of healthy and diseased human red blood cells using dielectrophoresis in a microfluidic system. Extreme Mech. Lett. 2014, 1, 35–41. [Google Scholar] [CrossRef]
- Wang, R.X.; Beling, C.D.; Fung, S.; Djurišić, A.B.; Ling, C.C.; Kwong, C.; Li, S. Influence of annealing temperature and environment on the properties of indium tin oxide thin films. J. Phys. D: Appl. Phys. 2005, 38, 2000–2005. [Google Scholar] [CrossRef]
- Song, S.; Yang, T.; Liu, J.; Xin, Y.; Li, Y.; Han, S. Rapid thermal annealing of ITO films. Appl. Surf. Sci. 2011, 257, 7061–7064. [Google Scholar] [CrossRef]
- Xu, Z.; Chen, P.; Wu, Z.; Xu, F.; Yang, G.; Liu, B.; Tan, C.; Zhang, L.; Zhang, R.; Zheng, Y. Influence of thermal annealing on electrical and optical properties of indium tin oxide thin films. Mater. Sci. Semicond. Process. 2014, 26, 588–592. [Google Scholar] [CrossRef]
- Rana, S.; Bajaj, A.; Mout, R.; Rotello, V. Monolayer coated gold nanoparticles for delivery applications. Adv. Drug Delivery Rev. 2012, 64, 200–216. [Google Scholar] [CrossRef] [PubMed]
- Fede, C.; Fortunati, I.; Weber, V.; Rossetto, N.; Bertasi, F.; Petrelli, L.; Guidolin, D.; Signorini, R.; De Caro, R.; Albertin, G.; et al. Evaluation of gold nanoparticles toxicity towards human endothelial cells under static and flow conditions. Microvasc. Res. 2015, 97, 147–155. [Google Scholar] [CrossRef]
- Martin, M.N.; Basham, J.I.; Chando, P.; Eah, S.-K.; Martin, M.N.; Basham, J.I.; Chando, P.; Eah, S.-K. Charged Gold Nanoparticles in Non-Polar Solvents: 10-min Synthesis and 2D Self-Assembly. Langmuir 2010, 26, 7410–7417. [Google Scholar] [CrossRef]
- Cheheltani, R.; Ezzibdeh, R.M.; Chhour, P.; Pulaparthi, K.; Kim, J.; Jurcova, M.; Hsu, J.C.; Blundell, C.; Litt, H.I.; Ferrari, V.A.; et al. Tunable, biodegradable gold nanoparticles as contrast agents for computed tomography and photoacoustic imaging. Biomaterials 2016, 102, 87–97. [Google Scholar] [CrossRef]
- Rahman, W.N.; Bishara, N.; Ackerly, T.; He, C.F.; Jackson, P.; Wong, C.; Davidson, R.; Geso, M. Enhancement of radiation effects by gold nanoparticles for superficial radiation therapy. Nanomed. Nanotechnol. Biol. Med. 2009, 5, 136–142. [Google Scholar] [CrossRef] [PubMed]
- Cole, L.E.; Ross, R.D.; Tilley, J.M.R.; Vargo-Gogola, T.; Roeder, R.K. Gold nanoparticles as contrast agents in x-ray imaging and computed tomography. Nanomedicine 2015, 10, 321–341. [Google Scholar] [CrossRef]
- Gierhart, B.; Howitt, D.; Chen, S.; Smith, R.; Collins, S.D. Frequency Dependence of Gold Nanoparticle Super assembly by Dielectrophoresis. Langmuir 2007, 23, 12450–12456. [Google Scholar] [CrossRef]
- Pohl, H.A.; Pohl, H. Dielectrophoresis: The Behavior of Neutral Matter in Nonuniform Electric Fields; Cambridge University Press: Cambridge, UK, 1978; Volume 80. [Google Scholar]
- Purnell, M.C.; Butawan, M.B.; Ramsey, R.D. Bio-field array: A dielectrophoretic electromagnetic toroidal excitation to restore and maintain the golden ratio in human erythrocytes. Physiol. Rep. 2018, 6, e13722. [Google Scholar] [CrossRef]
- Gabriel, S.; Lau, R.W.; Gabriel, C. The dielectric properties of biological tissues: II. Measurements in the frequency range 10 Hz to 20 GHz. Phys. Med. Biol. 1996, 41, 2251–2269. [Google Scholar] [CrossRef]
- Spadavecchia, J.; Movia, D.; Moore, C.; Maguire, C.M.; Moustaoui, H.; Casale, S.; Volkov, Y.; Prina-Mello, A. Targeted polyethylene glycol gold nanoparticles for the treatment of pancreatic cancer: From synthesis to proof-of-concept in vitro studies. Int. J. Nanomed. 2016, 11, 791–822. [Google Scholar] [CrossRef]
- Jin, Q.; Verdier, C.; Singh, P.; Aubry, N.; Chotard-Ghodsnia, R.; Duperray, A. Migration and deformation of leukocytes in pressure driven flows. Mech. Res. Comms. 2007, 34, 411. [Google Scholar] [CrossRef][Green Version]
- Cemazar, J.; Ghosh, A.; Davalos, R.V. Electrical manipulation and sorting of cells. In Microtechnology for Cell Manipulation and Sorting; Springer: Cham, Switzerland, 2017; pp. 57–92. [Google Scholar]
- Anand, R.K.; Johnson, E.S.; Chiu, D.T. Negative Dielectrophoretic Capture and Repulsion of Single Cells at a Bipolar Electrode: The Impact of Faradaic Ion Enrichment and Depletion. J. Am. Chem. Soc. 2015, 137, 776. [Google Scholar] [CrossRef]
- Sodhi, C.S.; de Sena Monterio OZelim, L.C.; Rathie, P.N. Dielectric relaxation model of human blood as a superposition of Debye functions with relaxation times following a Modified-Weibull distribution. Heliyon 2021, 7, e06606. [Google Scholar] [CrossRef] [PubMed]
- Fuhr, G.; Glasser, H.; Müller, T.; Schnelle, T. Cell manipulation and cultivation under ac electric field influence in highly conductive culture media. Biochim. Biophys. Acta—General Subjects 1994, 1201, 353. [Google Scholar] [CrossRef]
- Piacentini, N.; Mernier, G.; Tornay, R.; Renaud, P. Separation of platelets from other blood cells in continuous-flow by dielectrophoresis field-flow-fractionation. Biomicrofluidics 2011, 5, 034122–341228. [Google Scholar] [CrossRef]
- Chen, D.; Du, H. A dielectrophoretic barrier-based microsystem for separation of microparticles. Microfluid. Nanofluidics 2007, 3, 603–610. [Google Scholar] [CrossRef]
- Morimoto, A.; Mogami, T.; Watanabe, M.; Iijima, K.; Akiyama, Y.; Katayama, K.; Futami, T.; Yamamoto, N.; Sawada, T.; Koizumi, F.; et al. High-Density Dielectrophoretic Microwell Array for Detection, Capture, and Single-Cell Analysis of Rare Tumor Cells in Peripheral Blood. PLoS ONE 2015, 10, e0130418. [Google Scholar] [CrossRef] [PubMed]
- Borgatti, M.; Altomare, L.; Baruffa, M.; Fabbri, E.; Breveglieri, G.; Feriotto, G.; Manaresi, N.; Medoro, G.; Romani, A.; Tartagni, M.; et al. Separation of white blood cells from erythrocytes on a dielectrophoresis (DEP) based ‘Lab-on-a-chip’ device. Int. J. Mol. Med. 2005, 15, 913–920. [Google Scholar] [CrossRef] [PubMed]
- Yang, J.; Huang, Y.; Wang, X.-B.; Becker, F.F.; Gascoyne, P.R. Differential Analysis of Human Leukocytes by Dielectrophoretic Field-Flow-Fractionation. Biophys. J. 2000, 78, 2680–2689. [Google Scholar] [CrossRef]
- Zheng, Y.; Nguyen, J.; Wei, Y.; Sun, Y. Recent advances in microfluidic techniques for single-cell biophysical characterization. Lab Chip 2013, 13, 2464–2483. [Google Scholar] [CrossRef]
- Yang, L.; Banada, P.P.; Bhunia, A.K.; Bashir, R. Effects of Dielectrophoresis on Growth, Viability and Immuno-reactivity of Listeria monocytogenes. J. Biol. Eng. 2008, 2, 6. [Google Scholar] [CrossRef]
- Pan, D.C.; Myerson, J.W.; Brenner, J.S.; Patel, P.N.; Anselmo, A.; Mitragotri, S.; Muzykantov, V. Nanoparticle Properties Modulate Their Attachment and Effect on Carrier Red Blood Cells. Sci. Rep. 2018, 8, 1–12. [Google Scholar] [CrossRef] [PubMed]
- Zhang, H.; Chang, H.; Neuzil, P. DEP-on-a-Chip: Dielectrophoresis Applied to Microfluidic Platforms. Micromachines 2019, 10, 423. [Google Scholar] [CrossRef]
- Chen, J.; Abdelgawad, M.; Yu, L.; Shakiba, N.; Chien, W.-Y.; Lu, Z.; Geddie, W.R.; Jewett, M.A.S.; Sun, Y. Electrodeformation for single cell mechanical characterization. J. Micromech. Microeng. 2011, 21, 054012. [Google Scholar] [CrossRef]
- Bai, G.; Li, Y.; Chu, H.K.; Wang, K.; Tan, Q.; Xiong, J.; Sun, D. Characterization of biomechanical properties of cells through dielectrophoresis-based cell stretching and actin cytoskeleton modeling. Biomed. Eng. Online 2017, 16, 41. [Google Scholar] [CrossRef]
- Seo, J.K.; Bera, T.K.; Kwon, H.; Sadleir, R. Effective Admittivity of Biological Tissues as a Coefficient of Elliptic PDE. Comput. Math. Methods Med. 2013, 2013, 353849. [Google Scholar] [CrossRef]
- Adams, T.N.G.; Leonard, K.M.; Minerick, A.R. Frequency sweep rate dependence on the dielectrophoretic response of polystyrene beads and red blood cells. Biomicrofluidics 2013, 7, 064114. [Google Scholar] [CrossRef] [PubMed]
- Lange-Asschenfeldt, S.; Bob, A.; Terhorst, D.; Ulrich, M.; Fluhr, J.W.; Mendez, G.; Roewert-Huber, H.-J.; Stockfleth, E.; Lange-Asschenfeldt, B. Label-free characterization of white blood cells using fluorescence lifetime imaging and flow-cytometry: Molecular heterogeneity and erythrophagocytosis [Invited]. J. Biomed. Opt. 2012, 17, 0760161. [Google Scholar] [CrossRef]
- Lee, D.-H.; Li, X.; Ma, N.; Digman, M.A.; Lee, A.P. Rapid and label-free identification of single leukemia cells from blood in a high-density microfluidic trapping array by fluorescence lifetime imaging microscopy. Lab Chip 2018, 18, 1349–1358. [Google Scholar] [CrossRef]
- Wu, C.-H.; Wang, T.-D.; Hsieh, C.-H.; Huang, S.-H.; Lin, J.-W.; Hsu, S.-C.; Wu, H.-T.; Wu, Y.-M.; Liu, T.-M. Imaging Cytometry of Human Leukocytes with Third Harmonic Generation Microscopy. Sci. Rep. 2016, 6, 37210. [Google Scholar] [CrossRef] [PubMed]







Publisher’s Note: MDPI stays neutral with regard to jurisdictional claims in published maps and institutional affiliations. |
© 2022 by the authors. Licensee MDPI, Basel, Switzerland. This article is an open access article distributed under the terms and conditions of the Creative Commons Attribution (CC BY) license (https://creativecommons.org/licenses/by/4.0/).
Share and Cite
Hallfors, N.G.; Teo, J.C.M.; Bertone, P.M.; Joshi, C.P.; Orozaliev, A.; Martin, M.N.; Isakovic, A.F. Electrodeformation of White Blood Cells Enriched with Gold Nanoparticles. Processes 2022, 10, 134. https://doi.org/10.3390/pr10010134
Hallfors NG, Teo JCM, Bertone PM, Joshi CP, Orozaliev A, Martin MN, Isakovic AF. Electrodeformation of White Blood Cells Enriched with Gold Nanoparticles. Processes. 2022; 10(1):134. https://doi.org/10.3390/pr10010134
Chicago/Turabian StyleHallfors, Nicholas G., Jeremy C. M. Teo, Peter M. Bertone, Chakra P. Joshi, Ajymurat Orozaliev, Matthew N. Martin, and A. F. Isakovic. 2022. "Electrodeformation of White Blood Cells Enriched with Gold Nanoparticles" Processes 10, no. 1: 134. https://doi.org/10.3390/pr10010134
APA StyleHallfors, N. G., Teo, J. C. M., Bertone, P. M., Joshi, C. P., Orozaliev, A., Martin, M. N., & Isakovic, A. F. (2022). Electrodeformation of White Blood Cells Enriched with Gold Nanoparticles. Processes, 10(1), 134. https://doi.org/10.3390/pr10010134

