Investigation of the Time Series Users’ Reactions on Instagram and Its Statistical Modeling
Abstract
1. Introduction
2. Materials and Methods
2.1. Measurement Methodology
2.1.1. Target Business Accounts
- Highly frequent posting (multiple posts per week)
- Same posts as other social networking services (X, etc.)
- Different genres compared to other accounts
2.1.2. Obtaining Timeline Data
| Account Label | Headquarters | # of Followers (Millions) | Description |
|---|---|---|---|
| A | California, USA | 630 | A major provider of a visual-centric social media service where users primarily share photos and videos. |
| B | Paris, France | 49 | A French luxury fashion brand and one of the world’s most famous luxury brands, that mainly manufactures and sells luxury goods such as leather goods, bags, wallets, accessories, clothing, and shoes. |
| C | Tokyo, Japan | 4.6 | A Japanese cooking site providing daily one-minute cooking recipe videos. It provides cooking enthusiasts and novice cooks with videos of recipes and cooking methods for various cuisines, allowing viewers to easily enjoy cooking at home. |
| D | Oregon, USA | 200 | A United States-based global sporting goods company that company that manufactures and sells sports shoes, apparel, and sporting goods. The company offers several products for sports enthusiasts and athletes woridwide and is particularly well-known for sports such as running, basketball, and soccer. |
| E | California, USA | 4.2 | An online multiplayer strategy game was launched in 2009. After its release, the game became the most popular PC game in the world in 2012. The event has attracted attention as an electronic sports event where professional gamers compete, including the provision of visas to professional athletes in the United States. It has also attracted attention as an electronic sports event where professional gamers compete. |
| F | Tokyo, Japan | 3.2 | A Japanese account managed by one of the world’s largest coffee chains that announces new products and describes how to enjoy these services. |
| G | Manchester, UK | 1 | A UK-based global nutritional supplement brand that primarily sells protein powders and supplements. The company markets several nutritional supplements to fitness enthusiasts, athletes, and the public who are health conscious. |
| H | Florence, Italy | 49 | A global luxury brand based in Italy, offering luxury fashion items, leather goods, accessories, perfumes, and watches. |
| Listing 1. Instagram Graph API. |
| curl -g -X GET “https://graph.facebook.com/v14.0/$USER_ID?fields= business_discovery.username($account){name,followers_count,media {like_count,comments_count,timestamp}}&access_token=$ACCESS_TOKEN” |
| Listing 2. Example of one post data. |
| { “like_count”: 371997, “comments_count”: 43393, “timestamp”: “2022-01-04T17:07:49+0000”, “id”: “17933486782∗∗∗∗∗∗” }, |
| Listing 3. Example of aggregated data. |
| 202201050215 2022-01-04T17:07:49+0000 17552 76 202201050230 2022-01-04T17:07:49+0000 33770 164 202201050245 2022-01-04T17:07:49+0000 43993 222 202201050300 2022-01-04T17:07:49+0000 52310 243 202201050315 2022-01-04T17:07:49+0000 59008 274 202201050330 2022-01-04T17:07:49+0000 65026 293 |
2.1.3. Measurement Period
2.2. Modeling
2.2.1. Candidate Distributions
Logistic Distribution
Exponential Distribution
Weibull Distribution
Log-Normal Distribution
2.2.2. Parameter Estimation
3. Results
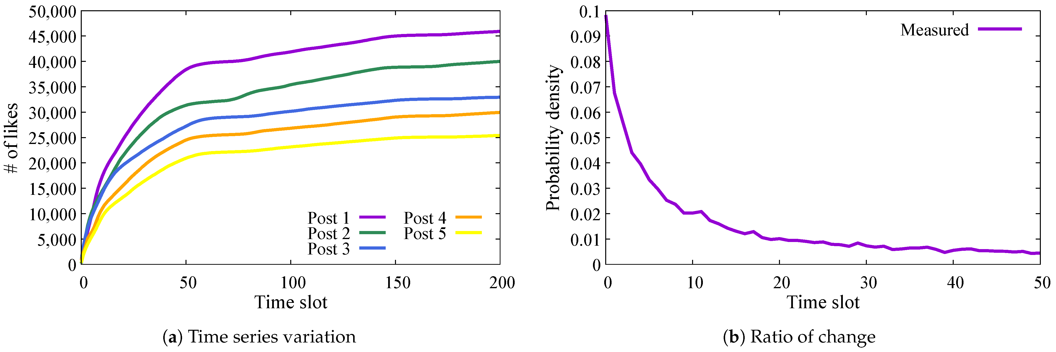
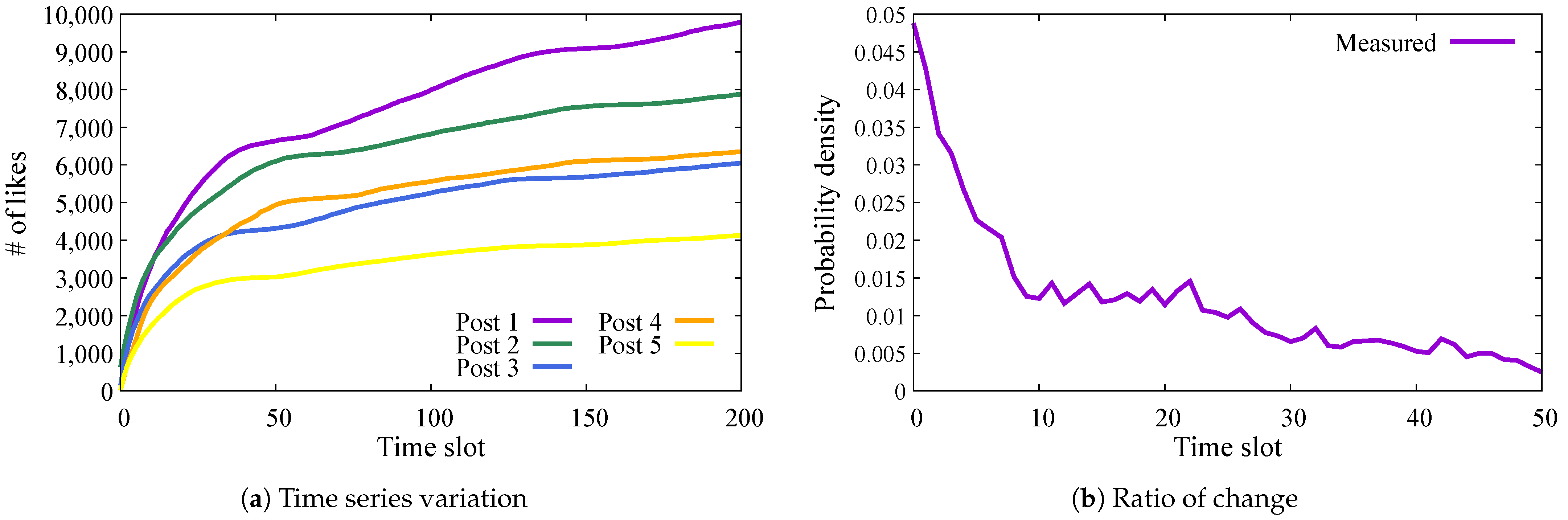
3.1. Time Series Variations
3.2. Trends in the Time of Posting
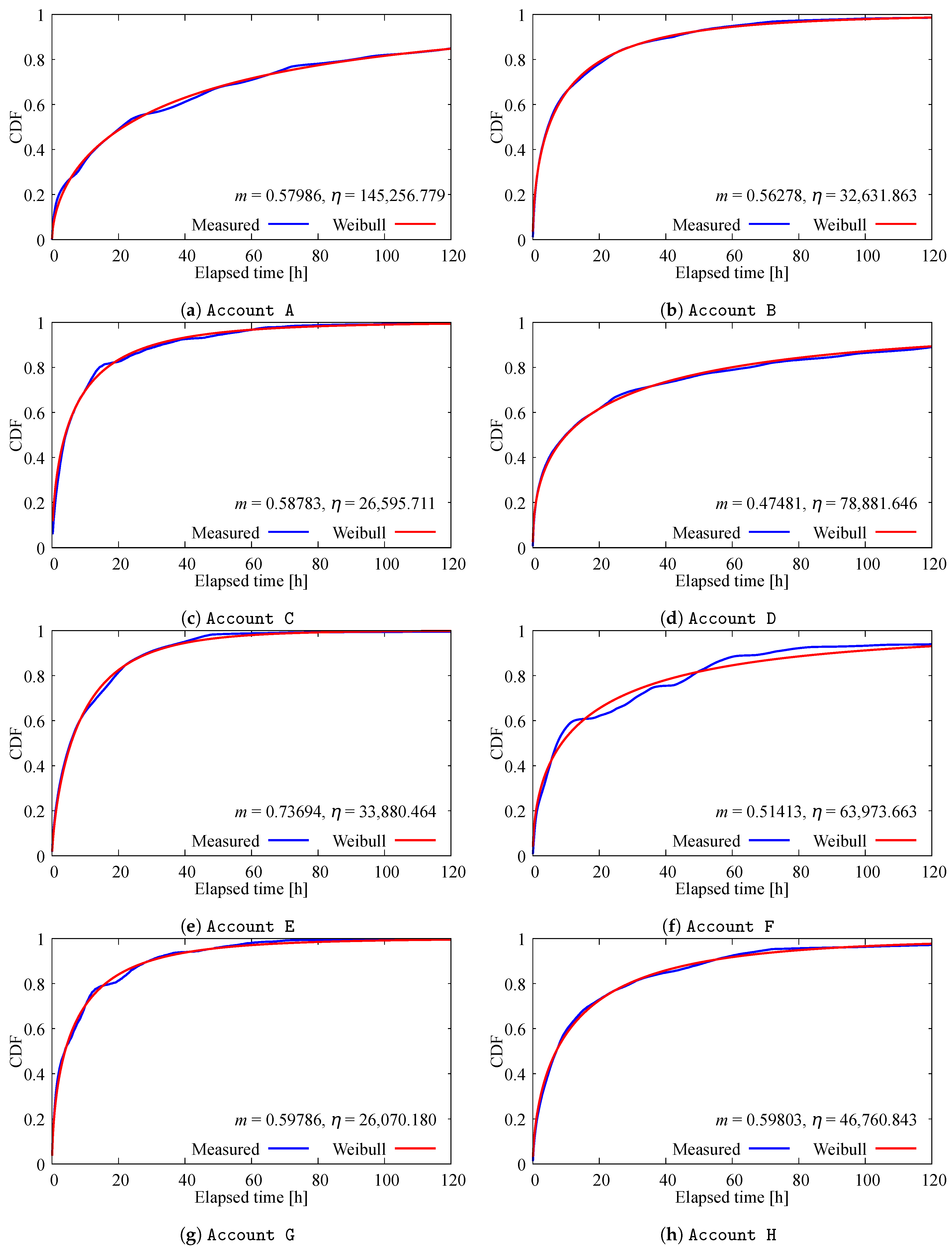
3.3. Parameter Estimation


4. Conclusions
Author Contributions
Funding
Institutional Review Board Statement
Informed Consent Statement
Data Availability Statement
Conflicts of Interest
References
- CISCO. Cisco Annual Internet Reposrt (2018–2023) White Paper. 2020. Available online: https://www.cisco.com/ (accessed on 15 May 2023).
- DENTSU. 2019 Advertising Expenditures in Japan. 2019. Available online: https://www.dentsu.com (accessed on 29 June 2022).
- Luo, Z.; Zhu, H.; Zeng, D.; Yao, H. A Trace-Driven Analysis on the User Behaviors in Social E-Commerce Network. In Proceedings of the 2014 IEEE International Conference on Communications (ICC), Sydney, Australia, 10–14 June 2014; pp. 4108–4113. [Google Scholar]
- Taylor, D.G.; Lewin, J.E.; Strutton, D. Friends, Fans, and Followers: Do Ads Work on Social Networks? J. Advert. Res. 2011, 51, 258–275. [Google Scholar] [CrossRef]
- Yang, X.; Kim, S.; Sun, Y. How Do Influencers Mention Brands in Social Media? Sponsorship Prediction of Instagram Posts. In Proceedings of the 2019 IEEE/ACM International Conference on Advances in Social Networks Analysis and Mining (ASONAM), Vancouver, BC, Canada, 27–30 August 2019; pp. 101–104. [Google Scholar]
- Segev, N.; Avigdor, N.; Avigdor, E. Measuring Influence on Instagram: A Network-Oblivious Approach. In Proceedings of the 41st International ACM SIGIR Conference on Research & Development in Information Retrieval (SIGIR ’18), Ann Arbor, MI, USA, 8–12 July 2018; pp. 1009–1012. [Google Scholar]
- Zarei, K.; Ibosiola, D.; Farahbakhsh, R.; Gilani, Z.; Garimella, K.; Crespi, N.; Tyson, G. Characterising and Detecting Sponsored Influencer Posts on Instagram. In Proceedings of the 2020 IEEE/ACM International Conference on Advances in Social Networks Analysis and Mining (ASONAM), Hague, The Netherlands, 7–10 December 2020; pp. 327–331. [Google Scholar]
- de Oliveira, L.M.; Goussevskaia, O. Topic Trends and User Engagement on Instagram. In Proceedings of the 2020 IEEE/WIC/ACM International Joint Conference on Web Intelligence and Intelligent Agent Technology (WI-IAT), Melbourne, Australia, 14–17 December 2020; pp. 488–495. [Google Scholar]
- Hong, S.J.; Ko, Y.Y.; Joe, M.; Kim, S.W. Influence Maximization for Effective Advertisement in Social Networks: Problem, Solution, and Evaluation. In Proceedings of the 34th ACM/SIGAPP Symposium on Applied Computing (SAC), Limassol, Cyprus, 8–12 April 2019; pp. 1314–1321. [Google Scholar]
- Zhan, Q.; Yang, H.; Wang, C.; Xie, J. CPP-SNS: A Solution to Influence Maximization Problem under Cost Control. In Proceedings of the 2013 IEEE 25th International Conference on Tools with Artificial Intelligence, Herndon, VA, USA, 4–6 November 2013; pp. 849–856. [Google Scholar]
- Allaymoun, M.H.; Hamid, O.A.H. Business Intelligence Model to Analyze Social Network Advertising. In Proceedings of the 2021 International Conference on Information Technology (ICIT), Amman, Jordan, 14–15 July 2021; pp. 326–330. [Google Scholar]
- Hernandez-Bocanegra, D.C.; Borchert, A.; Brünker, F.; Shahi, G.K.; Ross, B. Towards a Better Understanding of Online Influence: Differences in Twitter Communication Between Companies and Influencers. In Proceedings of the Australian Conference on Information Systems (ACIS 2020), Wellington, New Zealand, 1–4 December 2020. [Google Scholar]
- Kumar, A.; Rayne, D.; Salo, J.; Yiu, C.S. Battle of Influence: Analysing the Impact of Brand-Directed and Influencer-Directed Social Media Marketing on Customer Engagement and Purchase Behaviour. Australas. Mark. J. 2024, 33, 87–95. [Google Scholar] [CrossRef]
- Zhao, K.; Stehlé, J.; Bianconi, G.; Barrat, A. Social Network Dynamics of Face-to-Face Interactions. Phys. Rev. E 2011, 83, 056109. [Google Scholar] [CrossRef] [PubMed]
- Vassio, L.; Garetto, M.; Leonardi, E.; Chiasserini, C.F. Mining and Modelling Temporal Dynamics of Followers’ Engagement on Online Social Networks. Soc. Netw. Anal. Min. 2022, 12, 96. [Google Scholar] [CrossRef] [PubMed]
- Bild, D.R.; Liu, Y.; Dick, R.P.; Mao, Z.M.; Wallach, D.S. Aggregate Characterization of User Behavior in Twitter and Analysis of the Retweet Graph. ACM Trans. Internet Technol. 2015, 15, 1–24. [Google Scholar] [CrossRef]
- Atienza-Barthelemy, J.; Losada, J.C.; Benito, R.M. Modeling Information Diffusion on Social Media: The Role of the Saturation Effect. Mathematics 2025, 13, 963. [Google Scholar] [CrossRef]
- Instagram Graph API. Available online: https://developers.facebook.com/docs/instagram-api (accessed on 15 October 2021).
- Soman, K.; Misra, K. A Least Square Estimation of Three Parameters of a Weibull Distribution. Microelectron. Reliab. 1992, 32, 303–305. [Google Scholar] [CrossRef]



| Account Label | # of Followers (Millions) | # of Posts | Estimated Parameters (The Median Estimated Value per Account) | ||||||
|---|---|---|---|---|---|---|---|---|---|
| Logistic | Exponential | Weibull | Log-Normal | ||||||
| A | 630 | 30 | 62,453.9 | 104,927.7 | 118,983.5 | 100,356.2 | 54,277.2 | ||
| B | 49 | 462 | 33,503.3 | 62,473.6 | 64,548.6 | 54,536.8 | 29,733.3 | ||
| C | 1,985 | 21,060.4 | 56,069.5 | 47,903.4 | 38,982.4 | 20,586.5 | |||
| D | 200 | 5 | 60,858.6 | 97,645.3 | 109,439.6 | 89,506.7 | 46,460.3 | ||
| E | 12 | 24,413.6 | 41,710.9 | 40,065.2 | 35,156.4 | 19,441.4 | |||
| F | 92 | 8,698.3 | 55,075.8 | 36,962.5 | 28,214.8 | 14,906.5 | |||
| G | 1 | 330 | 23,688.8 | 59,079.3 | 53,316.8 | 42,449.6 | 22,723.9 | ||
| H | 49 | 463 | 36,659.3 | 66,530.5 | 69,761.8 | 58,874.4 | 32,588.5 | ||
| Account Label | Logistic | Exponential | Weibull | Log-Normal | ||||||||||||
|---|---|---|---|---|---|---|---|---|---|---|---|---|---|---|---|---|
| RMSE | AIC | RMSE | AIC | RMSE | AIC | RMSE | AIC | |||||||||
| Mean | SD | Mean | SD | Mean | SD | Mean | SD | Mean | SD | Mean | SD | Mean | SD | Mean | SD | |
| A | −18,505.62 | 5,417.92 | −17,807.57 | 5,355.83 | −23,865.48 | 7,546.49 | −23,704.20 | 7,703.88 | ||||||||
| B | −6,772.66 | 2,575.77 | −6,180.02 | 2,393.64 | −8,524.86 | 3,367.42 | −7,503.02 | 3,166.61 | ||||||||
| C | −3,216.32 | −2,859.28 | −4,067.51 | −3,653.05 | ||||||||||||
| D | −9,751.60 | 7,280.19 | −8,218.34 | 6,229.70 | −12,670.70 | 10,999.17 | −11,105.03 | 9,202.20 | ||||||||
| E | −8,681.15 | 4,065.41 | −8,193.54 | 3,853.10 | −11,220.57 | 5,261.07 | −10,105.78 | 4,933.12 | ||||||||
| F | −23,672.01 | 6,256.07 | −22,359.04 | 6,051.46 | −30,589.65 | 8,145.82 | −31,746.17 | 8,463.56 | ||||||||
| G | −11,530.47 | 4,714.93 | −10,290.95 | 4,140.16 | −13,647.13 | 5,917.69 | −12,584.72 | 5,724.76 | ||||||||
| H | −9,513.84 | 5,537.61 | −8,804.04 | 5,276.03 | −11,907.86 | 7,115.34 | −10,974.85 | 7,273.42 | ||||||||
Disclaimer/Publisher’s Note: The statements, opinions and data contained in all publications are solely those of the individual author(s) and contributor(s) and not of MDPI and/or the editor(s). MDPI and/or the editor(s) disclaim responsibility for any injury to people or property resulting from any ideas, methods, instructions or products referred to in the content. |
© 2025 by the authors. Licensee MDPI, Basel, Switzerland. This article is an open access article distributed under the terms and conditions of the Creative Commons Attribution (CC BY) license (https://creativecommons.org/licenses/by/4.0/).
Share and Cite
Sato, Y.; Doka, Y. Investigation of the Time Series Users’ Reactions on Instagram and Its Statistical Modeling. Informatics 2025, 12, 59. https://doi.org/10.3390/informatics12030059
Sato Y, Doka Y. Investigation of the Time Series Users’ Reactions on Instagram and Its Statistical Modeling. Informatics. 2025; 12(3):59. https://doi.org/10.3390/informatics12030059
Chicago/Turabian StyleSato, Yasuhiro, and Yuhei Doka. 2025. "Investigation of the Time Series Users’ Reactions on Instagram and Its Statistical Modeling" Informatics 12, no. 3: 59. https://doi.org/10.3390/informatics12030059
APA StyleSato, Y., & Doka, Y. (2025). Investigation of the Time Series Users’ Reactions on Instagram and Its Statistical Modeling. Informatics, 12(3), 59. https://doi.org/10.3390/informatics12030059

