Influence of Financial Variables on the Development of Rural Communes of Eastern Poland in 2009–2018
Abstract
1. Introduction
2. Literature Review
3. Materials and Methods
3.1. Selection of Variables Describing the Studied Phenomenon. Determining the Direction of Variable Preferences in Relation to the Analyzed Phenomenon (Indication of a Stimulant and Destimulant)
3.2. Standardization of Variables According to the Zero Unitarization Method
3.3. Determining the Synthetic Measure According to the Technique for Order Preference by Similarity to Ideal Solution (TOPSIS) Method for Individual Objects
3.4. Division of the Surveyed Population into Typological Groups and Evaluation of the Obtained Results
- b is the regression coefficient calculated for individual predictors in the model;
- x is the independent variable;
- y is the dependent variable in the model; and a is an intercept.
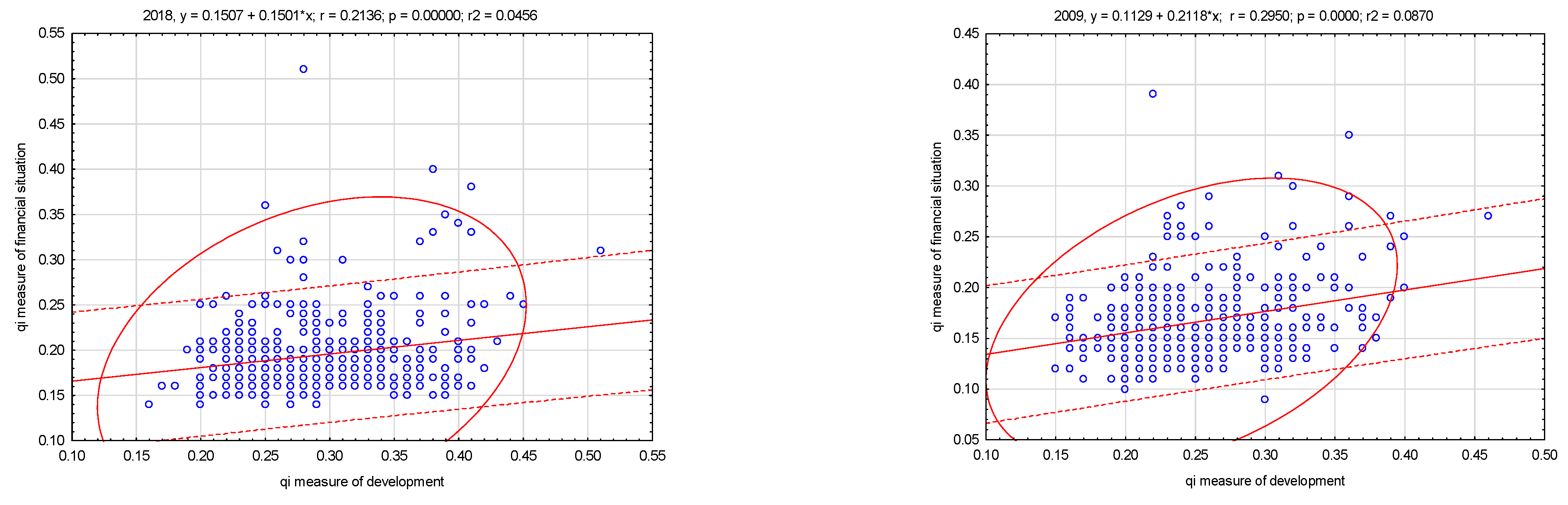
4. Results
- (1)
- Group 1 communes are no longer typically agricultural, as evidenced by the number of economic entities and natural persons running a business. Thus, the multifunctionality of rural areas contributes to their development. The use of the rent of the location in relation to urban areas (local development centers) creates opportunities for their rapid development.
- (2)
- The communes in Group 1 (the best group), in relation to the communes of the fourth and fifth groups (the weakest groups), were characterized by lower financial ratio values, which allow for a conclusion about the lower freedom of use of financial resources and, thus, the smaller financial possibilities of these communes.
- (3)
- The group with the best financial situation consisted of 33 communes (28% of all rural communes in the provinces of eastern Poland). These communes were characterized by the highest share of the population per 2 km in relation to the weakest communes.
- (4)
- The communes in the best financial situation (Group 1 communes) obtained higher ratios of the share of personal incomes in total incomes than the weakest communes.
- (5)
- The poorer the financial situation of communes, the smaller was the importance of income sources.
- (6)
- The budget of the weakest communes was the most supported by income from transfers (which weakens their independence).
- (7)
- The main reason for the low impact of financial conditions on the socio-economic development of communes is their dependence on income transferred from the state budget and the amount of current expenditure. These circumstances stiffen and stabilize the financial economy, making it relatively insensitive to the influence of other factors.
- (8)
- The low independence constitutes a barrier to the local development of rural communes.
- (9)
- The growing importance of transfers from the state budget in the group with poor financial standing proves the declining level of financial independence (see Table 3).
5. Discussion
6. Conclusions
Author Contributions
Funding
Conflicts of Interest
References
- Abidin, Mardhati Zainal, Risza Rusli, and Azmi Mohd Shariff. 2016. Technique for Order Performance by Similarity to Ideal Solution (TOPSIS)—Entropy Methodology for Inherent Safety Design Decision Making Tool. Procedia Engineering 148: 1043–50. [Google Scholar] [CrossRef][Green Version]
- Aleksandrova-Zlatanska, Svetlana K. 2019. Ocena czynników stabilności fiskalnej gmin wiejskich: Przypadek Bułgarii. Problems of Agricultural Economics, Zagadnienia Ekonomiki Rolnej 3: 156–70. [Google Scholar] [CrossRef]
- Antony, Jürgen, Torben Klarl, and Erik E. Lehmann. 2017. Productive and harmful entrepreneurship in a knowledge economy. Small Business Economics 49: 189–202. [Google Scholar] [CrossRef]
- Bąk, Andrzej. 2018. Zastosowanie metod wielowymiarowej analizy porównawczej do oceny stanu środowiska w województwie dolnośląskim. Wiadomości Statystyczne 680: 7–20. [Google Scholar] [CrossRef]
- Banwo, Adeleke O., Jianguo Du, and Uchechi Onokala. 2017. The determinants of location specific choice: Small and medium-sized enterprises in developing countries. Journal of Global Entrepreneurship Research 16: 2–17. [Google Scholar] [CrossRef]
- Barthelemy, Johan, and Philippe L. Toint. 2013. Synthetic Population Generation without a Sample. Transportation Science 47: 266–79. [Google Scholar] [CrossRef]
- Behzadian, Majid, Otaghsara S. Khanmohammadi, Morteza Yazdani, and Joshua Ignatius. 2012. A state-of the-art survey of TOPSIS applications. Expert Systems with Applications 39: 13051–69. [Google Scholar] [CrossRef]
- Berne, Robert, and Richard Schramm. 1986. The Financial Analysis of Governments. Englewood Cliffs: Prentice Hall. [Google Scholar]
- Cabaleiro, Roberto, Enrique Buch, and Antonio Vaamonde. 2013. Developing a Method to Assessing the Municipal Financial Health. The American Review of Public Administration 43: 729–51. [Google Scholar] [CrossRef]
- Capello, Roberta. 2014. Regional Economics. Routledge Advanced Texts in Economics and Finance. London and New York: Routledge Taylor & Francis Group. [Google Scholar]
- Churski, Paweł, and Bartłomiej Kołsut. 2017. Potencjał rozwojowy gminy Powidz w okresie postępującej endogenizacji procesów rozwoju. Rozwój Regionalny i Polityka Regionalna 40: 35–52. [Google Scholar]
- Churski, Paweł, Aanna Dolata, Borowczak Dominik, Michał Hauke, Joanna Perdał, Jan Konecka-Szydłowska, and Barbara Robert. 2013. Czynniki Rozwoju Obszarów Wzrostu i Obszarów Stagnacji Gospodarczej w Polsce. Poznań: Uniwersytet im. A. Mickiewicza. [Google Scholar]
- Dobrowolski, Zbysław. 2020a. After COVID-19: Reorientation of crisis management in crisis. Entrepreneurship and Sustainability Issues 8: 799–810. [Google Scholar] [CrossRef]
- Dobrowolski, Zbysław. 2020b. The supreme audit institutions readiness to uncertainty. Entrepreneurship and Sustainability Issues 8: 513–25. [Google Scholar] [CrossRef]
- Douglas, James W., and Ronald K. Gaddie. 2002. State rainy day funds and fiscal crises: Rainy day funds and the 1990–91 recession revisited. Public Budgeting & Finance 22: 19–30. [Google Scholar] [CrossRef]
- Drozdowski, Grzegorz. 2017. Emotional components of competence among executives: An empirical study. Economic Annals 162: 89–92. [Google Scholar] [CrossRef]
- Drozdowski, Grzegorz. 2021. Economic Calculus Qua an Instrument to Support Sustainable Development under Increasing Risk. Journal of Risk and Financial Management 14: 15. [Google Scholar] [CrossRef]
- Dylewski, Marek. 2011. Elastyczność zarządzania finansami samorządowymi w warunkach wahań koniunkturalnych. In Nowe Zarządzanie Finansami Publicznymi w Warunkach Kryzysu. Edited by Stanisław Owsiak. Warszawa: Wydawnictwo PWE. [Google Scholar]
- Dziekański, Paweł. 2014. Koncepcja wskaźnika syntetycznego oceny poziomu rozwoju gmin wiejskich województwa świętokrzyskiego w warunkach Globalizacji. Problemy Rolnictwa Światowego 14: zeszyt3. [Google Scholar]
- Dziekański, Paweł. 2016. Spatial Differentiation of the Financial Condition of the Świętokrzyskie Voivodship Counties. Barometr Regionalny 14: 79–91. [Google Scholar]
- Dziekański, Paweł, and Andrzej Pawlik. 2019. Intraregional diversification of the level of the financial situation of the poviats of Eastern Poland in relation to the development potential. Baltic Journal of Economic Studies 5: 3. [Google Scholar] [CrossRef]
- Dziekański, Paweł, and Piotr Prus. 2020. Financial diversity and the development process: Case study of rural communes of Eastern Poland in 2009–2018. Sustainability 12: 6446. [Google Scholar] [CrossRef]
- Dziekański, Paweł, and Adam Wyszkowski. 2018. Ocena przestrzennego zróżnicowania sytuacji finansowej gmin województwa świętokrzyskiego z wykorzystaniem miary syntetycznej. Optimum. Economic Studies 91: 219–38. [Google Scholar] [CrossRef]
- Eini, Saeed, Bahman Abdolhamidzadeha, Genserik Reniers, and Davood Rashtchiana. 2015. Optimization procedure to select an inherently safer design scheme. Process Safety and Environmental Protection 93: 89–98. [Google Scholar] [CrossRef]
- Fang, Xuening, Bingbing Zhou, Xingyue Tu, Qun Ma, and Jianguo Wu. 2018. What Kind of a Science is Sustainability Science? An Evidence-Based Reexamination. Sustainability 10: 1478. [Google Scholar] [CrossRef]
- Filipiak, Beata, ed. 2009. Metodyka Kompleksowej Oceny Gospodarki Finansowej Jednostki Samorządu Terytorialnego. Warszawa: Difin, p. 336. [Google Scholar]
- Fischer, Ronald. 2004. Standardization to Account for Cross-Cultural Response Bias. Journal of Cross-Cultural Psychology 35: 263–82. [Google Scholar] [CrossRef]
- Gigerenzer, Gerd. 2004. Mindless statistics. The Journal of Socio-Economics 33: 587–606. [Google Scholar] [CrossRef]
- Głowicka-Wołoszyn, Romana, and Feliks Wysocki. 2016. Kondycja finansowa gmin wiejskich a źródła ich dochodów w województwie wielkopolskim. Roczniki Naukowe Stowarzyszenia Ekonomistów Rolnictwa i Agrobiznesu 18: 51–58. [Google Scholar]
- Głowicka-Wołoszyn, Romana, Andrzej Wołoszyn, and Agnieszka Kozera. 2017. Nierówności dochodowe samorządów gminnych. Nierówności Społeczne a Wzrost Gospodarczy 49: 396–405. [Google Scholar] [CrossRef]
- Grabiński, Tadeusz. 1985. Metody określania charakteru zmiennych w wielowymiarowej analizie porównawczej. Zeszyty Naukowe Akademii Ekonomicznej w Krakowie 213: 35–63. [Google Scholar]
- Grosse, Tomasz Grzegorz. 2004. Polityka regionalna Unii Europejskiej. Przykład Grecji, Włoch, Irlandii i Polski, Wyd. Warszawa: Instytutu Spraw Publicznych. [Google Scholar]
- Groves, Sanford M., and Maureen G. Valente. 1994. Evaluating Financial Condition: A Handbook for Local Government. Washington, DC: International City/County Management Association. [Google Scholar]
- Hall, Robert. 2015. The ecovillage experience as an evidence base for national wellbeing strategies. Inntellectual Economics 9: 30–42. [Google Scholar] [CrossRef]
- Heller, Janusz, and Eliza Farelnik. 2013. Finanse i samodzielność ekonomiczna a ustrój samorządów terytorialnych w Polsce. Studia Regionalne i Lokalne 2: 81–94. [Google Scholar]
- Hendershot, Dennis C. 2011. Inherently safer design: An overview of key elements. Professional Safety 56: 48. [Google Scholar]
- Hendrick, Rebecca. 2004. Assessing and measuring the fiscal health of local government: Focus on Chicago suburban municipalities. Urban Affairs Review 40: 78–114. [Google Scholar] [CrossRef]
- Jutengren, Göran, Ellen Jaldestad, Lotta Dellve, and Andrea Eriksson. 2020. The Potential Importance of Social Capital and Job Crafting for Work Engagement and Job Satisfaction among Health-Care Employees. International Journal of Environmental Research and Public Health 17: 4272. [Google Scholar] [CrossRef]
- Kim, Yeonjoo, Eun-Sung Chung, Sang-Mook Jun, and Sang Ug Kim. 2013. Prioritizing the best sites for treated wastewater instream use in an urban watershed using fuzzy {TOPSIS}. Resources, Conservation and Recycling 73: 23–32. [Google Scholar] [CrossRef]
- Kiniorska, Iwona. 2014. Potencjał rozwojowy obszarów wiejskich woj. świętokrzyskiego a polityka spójności. In Polityka Spójności a Rozwój Obszarów Wiejskich. Stare Problemy i Nowe Wyzwania. Edited by W. Kamińska and K. Hoffner. Warszawa: PAN KPZK. t. CLVI, pp. 358–78. [Google Scholar]
- Kumari, Khushbu, and Suniti Yadav. 2018. Linear regression analysis study. Journal of the Practice of Cardiovascular Sciences 4: 33–36. [Google Scholar] [CrossRef]
- Ladd, Helen F. 1992. Population growth, density and the costs of providing public services. Urban Studies 29: 273–95. [Google Scholar] [CrossRef]
- Lenormand, Maxime, and Guillaume Deffuant. 2013. Generating a Synthetic Population of Individuals in Households: Sample-Free vs. Sample-Based Methods. Journal of Artificial Societies and Social Simulation 16: 1–12. [Google Scholar] [CrossRef]
- Malecki, Edward J. 1997. Technology and Economic Development. The Dynamics of Local. In Regional and National Competitiveness. London: Longman. [Google Scholar]
- Milczarek, Darusz. 2005. Potencjał Unii Europejskiej w stosunkach międzynarodowych (część 1). Studia Europejskie 1: 9–18. [Google Scholar]
- Mölders, Tanja. 2014. Multifunctional Agricultural Policies: Pathways towards Sustainable Rural Development? International Journal of Sociology of Agriculture & Food 21: 97–114. [Google Scholar]
- Nelson, Michelle R., and Sharon Shavitt. 2002. Horizontal and vertical individualism and achievement values: A multimethod examination of Denmark and the United States. Journal of Cross-Cultural Psychology 33: 439–58. [Google Scholar] [CrossRef]
- Ngo Dang, Trí, Chi Tran Thuy, Y. Tran Van, and Tuan Nguyen Thanh. 2018. Sets of Sustainable Development Indicators in Vietnam: Status and Solutions. Economies 6: 1. [Google Scholar] [CrossRef]
- Oates, Wallace E. 2008. On The Evolution of Fiscal Federalism: Theory and Institutions. National Tax Journal 61: 323. [Google Scholar] [CrossRef]
- Parysek, Jerzy J. 1997. Podstawy Gospodarki Lokalnej. Poznań: Wyd. Nauk. UAM. [Google Scholar]
- Pawlik, Andrzej, and Paweł Dziekański. 2020. Atrakcyjność Miast i gmin Województwa świętokrzyskiego. Kielce: Wyd. UJK, p. 282. [Google Scholar]
- Perry, James L., and Robert K. Christensen, eds. 2015. Handbook of Public Administration. San Francisco: Jossey-Bass. [Google Scholar]
- Przybytniowski, W. Jarosław. 2016. Współczesne Funkcje i Mechanizmy Transmisji Między Sektorem Ubezpieczeniowym a Sferą Realną Gospodarki. Teoria i Praktyka. Warszawa: Wyd. CeDeWu, pp. 47–66. [Google Scholar]
- Przybytniowski, W. Jarosław. 2019. Metody Badania Jakości Usług w Procesie Zarządzania Rynkiem Ubezpieczeń Majątkowych. Kielce: Wyd. UJK, pp. 17–25. [Google Scholar]
- Quaranta, Giovanni, Elisabetta Citro, and Rosanna Salvia. 2016. Economic and Social Sustainable Synergies to Promote Innovations in Rural Tourism and Local Development. Sustainability 8: 668. [Google Scholar] [CrossRef]
- Radwan, Andrzej, and Łukasz Paluch. 2008. Studium nad przestrzennym zróżnicowaniem infrastruktury w ochronie i jakości środowiska naturalnego w dostosowaniu do wymogów Unii Europejskiej. In Polityka Unijnej Integracji—Wybrane Elementy Zewnętrzne i Wewnętrzne. Edited by M. Dudek. Zielona Góra: Uniwersytet Zielonogórski, pp. 169–85. [Google Scholar]
- Rodríguez Bolívar, Manuel Pedro, Andrés Navarro Galera, Laura Alcaide Muñoz, and María Deseada López Subirés. 2016. Risk Factors and Drivers of Financial Sustainability in Local Government: An Empirical Study. Local Government Studies 42: 29–51. [Google Scholar] [CrossRef]
- Rosner, Andrzej. 2012. Zmiany Rozkładu Przestrzennego Zaludnienia Obszarów Wiejskich. Wiejskie Obszary Zmniejszające Zaludnienie i Koncentrujące Ludność Wiejską. Warszawa: IRWiR PAN. [Google Scholar]
- Rosner, Andrzej, and Monika Stanny. 2016. Monitoring rozwoju obszarów wiejskich—Etap II, Fundacja Europejski Fundusz Rozwoju Wsi i Rolnictwa. Warszawa: Instytut Rozwoju Wsi i Rolnictwa PAN. [Google Scholar]
- Ryńca, Radosław. 2009. Zrównoważona karta Działania Jako Metoda Pomiaru Efektywności Procesów i Działań. Wrocław: Oficyna Wyd. Politechniki Wrocławskiej, pp. 5–8. [Google Scholar]
- Saviotti, Pier-Paolo, Andreas Pyka, and Bogang Jun. 2020. Diversification, structural change, and economic development. Journal of Evolutionary Economics 14: 1301–35. [Google Scholar] [CrossRef]
- Šlander, Sonja, and Marko Ogorevc. 2019. Transport Infrastructure and Economic Growth: From Di-minishing Returns to International Trade. Lex Localis 17: 513–33. [Google Scholar] [CrossRef]
- Sobczyk, Andrzej. 2010. Rozwój lokalny—Wybrane problemy finansowania. Zeszyty Naukowe SGGW, Ekonomika i Organizacja Gospodarki Żywnościowej 81: 125–36. [Google Scholar]
- Standar, Aldona. 2017. Ocena kondycji finansowej gmin oraz jej wybranych uwarunkowań na przykładzie województwa wielkopolskiego przy wykorzystaniu metody TOPSIS. Wieś i Rolnictwo 2: 101–21. [Google Scholar]
- Standar, Aldona. 2019. Lokalizacja względem ośrodków miejskich a sytuacja finansowa gmin wiejskich. Studia Regionalne i Lokalne 20: 110–31. [Google Scholar]
- Standar, Aldona, and Agneszka Kozera. 2019. The Role of Local Finance in Overcoming Socioeconomic Inequalities in Polish Rural Areas. Sustainability 11: 5848. [Google Scholar] [CrossRef]
- Stanny, Monika, and Wojciech Strzelczyk. 2015. Zróżnicowanie przestrzenne sytuacji dochodowej gmin a rozwój społeczno-gospodarczy obszarów wiejskich w Polsce. Roczniki Naukowe Stowarzyszenia Ekonomistów Rolnictwa i Agrobiznesu XVII: 301–7. [Google Scholar]
- Stanny, Monika, and Wojciech Strzelczyk. 2018. Kondycja Finansowa Samorządów Lokalnych a Rozwój Społeczno-Gospodarczy Obszarów wiejskich; Ujęcie Przestrzenne. Warszawa: Wyd. IRWiR PAN oraz Wyd. Naukowe Scholar Spółka z o.o., pp. 113–46. [Google Scholar]
- Strahl, Danuta. 2006. Metody oceny rozwoju regionalnego. Wrocław: Wydaw. AE, p. 160. [Google Scholar]
- Tang, Lijing, and Dongyan Wang. 2018. Optimization of County-Level Land Resource Allocation through the Improvement of Allocation Efficiency from the Perspective of Sustainable Development. International Journal of Environmental Research and Public Health 15: 2638. [Google Scholar] [CrossRef]
- Travers, Tony. 2012. Local Government’s Role in Promoting Economic Growth: Removing Unnecessary Barriers to Success. London: Local Government Association, pp. 7–16. [Google Scholar]
- Trojak, Mariusz, and Tomasz Tokarski. 2013. Statystyczna Analiza Przestrzennego Zróżnicowania Rozwoju Ekonomicznego i Społecznego Polski. Kraków: Uniwersytet Jagielloński w Krakowie, pp. 165–80. [Google Scholar]
- Velasquez, Mark, and Patrick T. Hester. 2013. An Analysis of Multi-Criteria Decision Making Methods. International Journal of Operations Research 2: 56–66. [Google Scholar]
- Vermeulen, Ben, and Andreas Pyka. 2018. The role of network topology and the spatial distribution and structure of knowledge in regional innovation policy. A calibrated agent-based model study. Computational Economics 52: 773–808. [Google Scholar] [CrossRef]
- Wang, Xiaohu, Lynda Dennis, and Yuan (Jeff) Tu Sen. 2017. Measuring financial condition: A study of U.S. States. Public Budgeting & Finance 27: 1–21. [Google Scholar]
- Ziółkowski, Marek. 2015. Strategiczne zarządzanie rozwojem gminy. Ruch Prawniczy, Ekonomiczny i Socjologiczny LXXVII: 145–63. [Google Scholar] [CrossRef][Green Version]




| Variables | Unit | S/D | |
|---|---|---|---|
| X1 | Operating surplus/total revenues (budget solvency ratio) | % | S |
| X2 | Personal income/total income (financial independence indicator) | % | S |
| X3 | Share in taxes constituting state budget revenues */number of inhabitants (index of fiscal wealth per capita) | PLN | S |
| X4 | Income from local taxes/population (fiscal wealth indicator) | PLN | S |
| X5 | Local tax revenue/current income (tax autonomy indicator) | % | S |
| X6 | Investment expenditure/total expenditure (investment attractiveness index) | % | S |
| X7 | Transfer income/total income (state financial interference index) | % | D |
| X8 | Expenditures on education and upbringing/number of inhabitants | PLN | S |
| X9 | Expenditures on housing/population | PLN | S |
| X10 | Healthcare expenditure/population | PLN | S |
| X11 | Expenditure on the municipal economy and environmental protection/population | PLN | S |
| X12 | Public safety and fire protection expenditure/population | PLN | S |
| X13 | Public administration expenditure/number of inhabitants | PLN | D |
| X14 | Expenditure on agriculture and hunting/population | PLN | S |
| X15 | Interest/personal income (debt service ratio) | % | D |
| X16 | Entities entered in the REGON register per 1000 inhabitants | pcs. | S |
| X17 | Units newly registered in the REGON register per 1000 inhabitants | pcs. | S |
| X18 | Units removed from the REGON register per 1000 inhabitants | pcs. | D |
| X19 | Natural persons conducting economic activity per 1000 inhabitants | pcs. | S |
| X20 | Foundations, associations, and social organizations per 1000 inhabitants | pcs. | S |
| X21 | Population per 1 library (person) | person | S |
| X22 | Population for a public pharmacy | person | S |
| X23 | % of the population using the sewage network | % | S |
| X24 | % of the population using the water supply system | % | S |
| X25 | % of the population using the gas network | % | |
| X26 | Apartments per 1000 inhabitants | pcs. | S |
| X27 | Demographic dependency ratio for the elderly | person | D |
| X28 | Population growth per 1000 inhabitants | person | S |
| X29 | Migration rate per 1000 inhabitants | person | S |
| X30 | Unemployed persons registered in communes per 1000 inhabitants | person | D |
| X31 | Employed persons per 1000 inhabitants | person | S |
| X32 | Total forest area | ha/person | S |
| X33 | Area of farms in the total area | % | S |
| X34 | Areas legally protected in the total area | % | S |
| X35 | Total water consumption in households (water from water supply systems per capita) | m3/person | D |
| X36 | Mixed waste collected during the year in the total per capita | kg/person | D |
| X37 | Wastewater treated during the year treated together | dam3 | S |
| X38 | Emissions of dust pollution | t/r | D |
| X39 | Emissions of gaseous pollutants | t/r | D |
| X40 | % Of the population using sewage treatment plants | % | S |
| Variable | Range | Mean | Deviation | Variability | Asymmetry |
|---|---|---|---|---|---|
| X1 | 0.31 | 0.08 | 0.04 | 0.48 | 0.75 |
| X2 | 0.59 | 0.28 | 0.10 | 0.34 | 1.55 |
| X3 | 0.42 | 0.09 | 0.05 | 0.54 | 2.62 |
| X4 | 2.11 | 0.10 | 0.14 | 1.36 | 8.14 |
| X5 | 0.62 | 0.11 | 0.06 | 0.56 | 2.89 |
| X6 | 0.47 | 0.21 | 0.09 | 0.45 | 0.42 |
| X7 | 0.64 | 0.64 | 0.10 | 0.15 | −1.05 |
| X8 | 3301.95 | 1368.67 | 304.66 | 0.22 | 2.53 |
| X9 | 933.04 | 65.77 | 108.86 | 1.66 | 4.04 |
| X10 | 569.52 | 16.80 | 34.44 | 2.05 | 10.49 |
| X11 | 3712.70 | 431.05 | 391.39 | 0.91 | 2.95 |
| X12 | 684.28 | 60.87 | 51.40 | 0.84 | 5.27 |
| X13 | 961.19 | 481.96 | 145.77 | 0.30 | 1.78 |
| X14 | 2611.15 | 251.89 | 292.99 | 1.16 | 3.10 |
| X15 | 0.09 | 0.02 | 0.02 | 0.79 | 1.16 |
| 2009 | 2018 | |||||||||
|---|---|---|---|---|---|---|---|---|---|---|
| I | II | II | IV | V | I | II | III | IV | V | |
| q development | 0.32 | 0.26 | 0.24 | 0.21 | 0.19 | 0.37 | 0.30 | 0.27 | 0.24 | 0.21 |
| Number of communes | 102 | 116 | 76 | 98 | 92 | 97 | 127 | 90 | 112 | 58 |
| Determinants of the socio-economic situation | ||||||||||
| Population per km2 | 87 | 53 | 50 | 43 | 44 | 96 | 57 | 45 | 40 | 38 |
| Migration balance per 1000 people | 2.4 | −0.5 | −1.9 | −2.9 | −3.4 | 2.6 | −1.9 | −2.9 | −4.7 | −4.5 |
| Unemployed persons registered in communes per 1000 inhabitants | 70 | 71 | 61 | 56 | 58 | 37 | 38 | 41 | 38 | 44 |
| Employed persons per 1000 inhabitants | 107 | 80 | 66 | 59 | 54 | 117 | 94 | 80 | 61 | 59 |
| Entities entered into the REGON register per 1000 inhabitants | 57 | 51 | 47 | 42 | 40 | 76 | 65 | 57 | 52 | 50 |
| Natural persons conducting economic activity per 1000 inhabitants | 48 | 41 | 36 | 33 | 31 | 62 | 51 | 43 | 40 | 38 |
| Determinants of the financial situation | ||||||||||
| q financial situation | 0.18 | 0.16 | 0.17 | 0.16 | 0.15 | 0.21 | 0.19 | 0.20 | 0.19 | 0.18 |
| Personal income/total income | 0.34 | 0.27 | 0.26 | 0.24 | 0.23 | 0.35 | 0.29 | 0.28 | 0.25 | 0.24 |
| Investment expenditure/total expenditure | 0.21 | 0.18 | 0.21 | 0.20 | 0.18 | 0.22 | 0.21 | 0.20 | 0.20 | 0.20 |
| Transfer income/total income | 0.63 | 0.69 | 0.69 | 0.73 | 0.75 | 0.58 | 0.64 | 0.65 | 0.68 | 0.68 |
| q Development | q Financial Situation | Financial Independence Indicator | Investment Attractiveness Index | State Financial Interference Index | ||||||
|---|---|---|---|---|---|---|---|---|---|---|
| 2009 | 2018 | 2009 | 2018 | 2009 | 2018 | 2009 | 2018 | 2009 | 2018 | |
| Min | 0.15 | 0.16 | 0.09 | 0.14 | 0.09 | 0.11 | 0.00 | 0.01 | 0.18 | 0.20 |
| Max | 0.46 | 0.51 | 0.39 | 0.51 | 0.81 | 0.70 | 0.71 | 0.48 | 0.88 | 0.85 |
| Mean | 0.25 | 0.29 | 0.17 | 0.19 | 0.27 | 0.28 | 0.20 | 0.21 | 0.70 | 0.65 |
| Median | 0.24 | 0.28 | 0.16 | 0.19 | 0.24 | 0.26 | 0.19 | 0.20 | 0.73 | 0.66 |
| Standard deviation | 0.05 | 0.06 | 0.04 | 0.04 | 0.11 | 0.10 | 0.11 | 0.09 | 0.11 | 0.10 |
| Quarter deviation | 0.04 | 0.04 | 0.02 | 0.02 | 0.06 | 0.05 | 0.07 | 0.07 | 0.07 | 0.06 |
| Coefficient of variation | 0.20 | 0.20 | 0.22 | 0.20 | 0.40 | 0.34 | 0.54 | 0.45 | 0.16 | 0.15 |
| Positional coefficient of variation | 0.15 | 0.15 | 0.13 | 0.11 | 0.25 | 0.19 | 0.37 | 0.33 | 0.09 | 0.09 |
| Range | 0.31 | 0.35 | 0.30 | 0.37 | 0.72 | 0.59 | 0.71 | 0.47 | 0.70 | 0.65 |
| Quartile range | 0.07 | 0.08 | 0.04 | 0.04 | 0.12 | 0.10 | 0.14 | 0.13 | 0.13 | 0.12 |
| Skewness (asymmetry) | 0.80 | 0.61 | 1.80 | 2.63 | 1.58 | 1.56 | 0.85 | 0.41 | −1.38 | −1.06 |
| Kurtosis (measure of concentration) | 0.66 | 0.01 | 5.81 | 12.49 | 3.34 | 3.12 | 1.21 | −0.19 | 2.36 | 1.70 |
| Specification | q Development |
|---|---|
| Financial independence indicator | 0.4077 |
| State financial interference index | −0.359 |
| Entities entered in the REGON register per 1000 inhabitants | 0.580 |
| Units newly registered in the REGON register per 1000 inhabitants | 0.5206 |
| Natural persons conducting economic activity per 1000 inhabitants | 0,5759 |
| % of the population using the sewage network | 0.8514 |
| % of the population using the water supply system | 0.3698 |
| % of the population using the gas network | 0.4957 |
| Population growth per 1000 inhabitants | 0.4354 |
| Migration rate per 1000 inhabitants | 0.3948 |
| Wastewater treated during the year treated together | 0.7098 |
| % of the population using sewage treatment plants | 0.8292 |
| Description | Coefficient | Standard Error | Student’s t Test | p-Value | |
|---|---|---|---|---|---|
| Constant | 0.382410 | 0.00639275 | 59.82 | <0.0001 | |
| State financial interference index | −0.128171 | 0.00704407 | −18.20 | <0.0001 | |
| Index of fiscal wealth per capita | 0.136306 | 0.0247880 | 5.499 | <0.0001 | |
| Agricultural tax | −0.214572 | 0.00791490 | −27.11 | <0.0001 | |
| Forest tax | −0.203985 | 0.0263104 | −7.753 | <0.0001 | |
| Vehicle tax | −0.158478 | 0.0411964 | −3.847 | 0.0001 | |
| Investment expenditure | −0.0525267 | 0.00804685 | −6.528 | <0.0001 | |
| Expenditures on education and upbringing/number of inhabitants | 2.84325 × 10−5 | 2.83874 × 10−6 | 10.02 | <0.0001 | |
| Apartments per 1000 inhabitants | 5.07479 × 10−5 | 7.26467 × 10−6 | 6.986 | <0.0001 | |
| Expenditures on the municipal economy and environmental protection/population | 5.38541 × 10−6 | 2.39585 × 10−6 | 2.248 | 0.0246 | |
| Public safety and fire protection expenditure/population | −2.53834 × 10−5 | 1.15646 × 10−5 | −2.195 | 0.0282 | |
| Public administration expenditure/number of inhabitants | −7.61551 × 10−5 | 6.97651 × 10−6 | −10.92 | <0.0001 | |
| Expenditure on agriculture and hunting/population | −1.93975 × 10−5 | 2.85645 × 10−6 | −6.791 | <0.0001 | |
| Arithmetic mean of dependent variable | 0.266829 | Standard deviation of the dependent variable | 0.054140 | ||
| Sum of residual squares | 9.081804 | Residual standard error | 0.043376 | ||
| Coefficient of determination R-square | 0.359698 | Corrected R-square | 0.358106 | ||
| F (12, 4827) | 225.9688 | P-value for the F test | 0.000000 | ||
| Logarithm of credibility | 8326.059 | Akaike Information criterion | −16,626.12 | ||
| Bayesian information criterion Schwarza | −16,541.82 | Crit. Hannana–Quinna | −16,596.52 | ||
Publisher’s Note: MDPI stays neutral with regard to jurisdictional claims in published maps and institutional affiliations. |
© 2021 by the authors. Licensee MDPI, Basel, Switzerland. This article is an open access article distributed under the terms and conditions of the Creative Commons Attribution (CC BY) license (https://creativecommons.org/licenses/by/4.0/).
Share and Cite
Pawlik, A.; Dziekański, P.; Przybytniowski, J.W. Influence of Financial Variables on the Development of Rural Communes of Eastern Poland in 2009–2018. Risks 2021, 9, 145. https://doi.org/10.3390/risks9080145
Pawlik A, Dziekański P, Przybytniowski JW. Influence of Financial Variables on the Development of Rural Communes of Eastern Poland in 2009–2018. Risks. 2021; 9(8):145. https://doi.org/10.3390/risks9080145
Chicago/Turabian StylePawlik, Andrzej, Paweł Dziekański, and Jarosław W. Przybytniowski. 2021. "Influence of Financial Variables on the Development of Rural Communes of Eastern Poland in 2009–2018" Risks 9, no. 8: 145. https://doi.org/10.3390/risks9080145
APA StylePawlik, A., Dziekański, P., & Przybytniowski, J. W. (2021). Influence of Financial Variables on the Development of Rural Communes of Eastern Poland in 2009–2018. Risks, 9(8), 145. https://doi.org/10.3390/risks9080145

