Next Article in Journal
Modeling Structural Deviation in 10-K Risk Factors: A Semantic Anomaly Detection and Explainable AI Approach
Previous Article in Journal
Risk-Sensitive Performance Evaluation of Life Insurance Markets in EU and EEA Countries: A MPSI–CoCoSo Approach
 
 
Font Type:
Arial Georgia Verdana
Font Size:
Aa Aa Aa
Line Spacing:
Column Width:
Background:
Article

Copula Asymmetry Index (CAI++): Measuring Asymmetric Equity–Volatility Tail Dependence for Defensive Allocation

by
Peter Hatzopoulos
1 and
Anastasios D. Statiou
2,*
1
Department of Statistics and Insurance Science, University of Piraeus, 185 34 Piraeus, Greece
2
Department of Statistics and Actuarial-Financial Mathematics, School of Sciences, University of the Aegean, Karlovasi, 832 00 Samos, Greece
*
Author to whom correspondence should be addressed.
Risks 2026, 14(4), 86; https://doi.org/10.3390/risks14040086
Submission received: 21 January 2026 / Revised: 2 April 2026 / Accepted: 3 April 2026 / Published: 13 April 2026

Abstract

This paper introduces the Copula Asymmetry Index (CAI), a rolling, rank-based measure of asymmetric tail dependence between equity returns and implied-volatility proxies. CAI is defined as the difference between the empirical frequency of joint “equity-down & volatility-up” tail events and that of the mirror state (“equity-up & volatility-down”) within a rolling window. Building on this core asymmetry measure, we develop CAI++, an implementation framework that transforms CAI into an operational defensive allocation signal through smoothing, standardization, delayed execution, hysteresis, and cost-aware portfolio mapping. Using daily data from 2000 onward across a broad cross-section of 50 equity-volatility pairs, we evaluate the CAI++ strategy against buy-and-hold equity, a 60/40 benchmark, an inverse-volatility risk-parity portfolio, and a moving-average timing rule. Cross-sectional results indicate that CAI improves terminal outcomes relative to equity-only exposure for most pairs and shows particularly strong performance versus 60/40 in both final wealth and Sharpe. However, CAI does not dominate structurally diversified low-volatility allocations: risk parity retains a pronounced advantage in downside risk and risk-adjusted metrics. Overall, the findings support CAI as a tail-aware overlay for equity-centric and balanced portfolios rather than a substitute for institutional low-volatility baselines.

1. Introduction

Sharp equity drawdowns tend to coincide with abrupt rises in implied volatility (e.g., VIX-family indices), reflecting both a leverage/feedback channel in equity markets and a surge in variance risk premia demanded by option sellers. This “crash–volatility” linkage is notably asymmetric: dependence strengthens in the joint left tail of equity returns and right tail of volatility changes far more than it does in benign or “mirror” states, and it is precisely this asymmetry that makes downside risk difficult to hedge using linear correlation alone (Patton 2006; Engle and Siriwardane 2018; Carr and Wu 2009). In practice, the same average correlation can conceal very different joint-extreme behavior—an important limitation when portfolio losses are dominated by rare, clustered tail events.
Copula theory provides a natural framework for modeling and measuring nonlinear dependence structures separately from marginal distributions, including tail dependence and state asymmetries that are not well captured by Gaussian assumptions (Nelsen 2006; McNeil et al. 2015; Patton 2012). In financial applications, copulas are routinely used to study contagion, systemic tail co-movement, and regime-dependent patterns of dependence patterns across asset classes and geographies, particularly during stress episodes such as the Global Financial Crisis and the COVID-19 shock (Benkraiem et al. 2022; Mensi et al. 2017; Ito 2025). At the same time, a large portfolio-management literature documents the value—and pitfalls—of dynamic risk scaling approaches such as volatility targeting and volatility-managed portfolios, which reduce exposure as realized risk rises (Moreira and Muir 2017; Bongaerts et al. 2020; Harvey et al. 2018). These approaches can improve risk-adjusted performance and tail outcomes in some settings, yet their benefits may be sensitive to implementation frictions and trading costs (Barroso and Detzel 2021; Patton and Weller 2020).
Against this background, the Copula Asymmetry Index (CAI) research program is motivated by a simple but high-stakes question: can we build a robust, implementable defensive overlay that is triggered specifically by asymmetric tail dependence between an equity leg and its associated implied-volatility proxy, and does it generalize across many equity–volatility pairs? The key idea is to measure, in rolling windows, how often “equity down & vol up” tail events co-occur relative to a “mirror” state (“equity up & vol down”), forming an asymmetry score designed to be most informative precisely when diversification tends to fail. The broader empirical objective is to evaluate whether such a tail-asymmetry signal remains meaningful out-of-sample and across subperiods, and whether it adds value beyond well-known defensive mechanisms such as trend filters, volatility targeting, and balanced benchmarks (Moskowitz et al. 2012; Georgopoulou and Wang 2017; Asness et al. 2012).
In the present paper, this incremental value is interpreted in an operational benchmark-relative sense rather than in a formal asset-pricing or spanning-test sense. That is, the empirical question is whether a CAI-based overlay improves portfolio outcomes relative to widely used defensive rules and benchmark allocations when evaluated under the same chronological implementation design. The paper therefore does not claim to prove that CAI++ spans or subsumes all existing tail-risk measures; rather, it examines whether the signal contains practically useful regime information not fully captured by the selected benchmark rules.
A consistent empirical regularity in equity markets is that negative returns and volatility shocks are tightly connected, an effect often interpreted through leverage/feedback mechanisms and time-varying risk premia (Engle and Siriwardane 2018). Implied volatility indices such as the VIX are constructed from option prices and embed market expectations of future variance as well as variance risk premia (Cboe 2022, 2023). Foundational work on variance risk premia shows that option-implied variance systematically exceeds subsequently realized variance, implying that selling variance tends to earn compensation—especially in periods of heightened fear (Carr and Wu 2009). More recent evidence extends variance risk premium measurement across markets and decompositions (e.g., emerging markets and intraday/overnight components), reinforcing the view that option-implied volatility contains economically meaningful information about tail risk and risk pricing (Qiao et al. 2024; Papagelis and Dotsis 2025). Microstructure and methodology details also matter; for example, the behavior of very-short-term implied volatility indices can exhibit structural biases tied to index construction (Albers and Kestner 2024).
Crucially, the equity–volatility relationship is not merely “high negative correlation.” It is state-dependent and becomes most pronounced in joint extremes—precisely when portfolio losses are most severe. This motivates dependence measures that target tail regions directly rather than relying on unconditional or linear association. Stress episodes such as COVID-19 further emphasize that dependence structures can shift abruptly, with stronger lower-tail co-movement and reduced diversification benefits (Benkraiem et al. 2022; Ito 2025). These findings support building signals and risk overlays that explicitly react to tail-state diagnostics rather than average conditions.
Copulas allow the researcher to model dependence separately from marginals, which is particularly valuable when marginals are heavy-tailed, skewed, or heteroskedastic—features ubiquitous in asset returns (Nelsen 2006; McNeil et al. 2015). In finance, copulas have been used to examine time variation, tail dependence, and asymmetry in dependence structures across markets and asset classes (Patton 2006, 2012). Patton’s work is especially influential in demonstrating how asymmetries can be tested and modeled within conditional copula frameworks, highlighting that dependence may differ materially between joint appreciations and joint depreciations (Patton 2006).
A major modeling choice concerns which copula family can capture tail dependence and asymmetric extremes. Student-t copulas are widely used because they introduce symmetric tail dependence, improving over Gaussian dependence in stress scenarios (Demarta and McNeil 2005). Extensions such as skewed or dynamic copula specifications, as well as factor and vine constructions, further improve flexibility—especially in higher dimensions (Aas et al. 2009; Oh and Patton 2015). Empirically, copula methods have been applied to detect contagion and systemic risk, including during crisis regimes (Mensi et al. 2017; Benkraiem et al. 2022). More recent work continues to develop and apply dynamic and asymmetric tail-dependence structures for portfolio management questions, documenting that lower-tail dependence often increases relative to upper-tail dependence during macro shocks and high-inflation stress regimes (Ito 2025).
Alongside modeling, statistical testing of tail dependence structures has progressed. For example, two-sample procedures for tail copulas provide tools to test whether tail dependence has changed across subsamples or regimes—directly relevant for validating whether a tail-asymmetry signal is stable out-of-sample (Can et al. 2021). Related contributions propose tail-copula estimation and inference under heteroscedastic extremes, emphasizing finite-sample behavior and robustness (Einmahl and Zhou 2024). Collectively, this literature suggests that (i) tail dependence is economically central, (ii) it is time-varying and regime-sensitive, and (iii) it can be quantified and tested with modern copula-based econometrics—precisely the ingredients needed for a copula-asymmetry indicator.
Volatility targeting and volatility-managed strategies adjust exposure inversely with a volatility estimate, aiming to stabilize risk and, often, to reduce drawdowns by mechanically de-risking in high-volatility states (Moreira and Muir 2017; Harvey et al. 2018). Moreira and Muir (2017) show that volatility-managed market exposure can improve Sharpe ratios and deliver economically large utility gains, consistent with the idea that expected returns do not scale one-for-one with volatility. Bongaerts et al. (2020) extend this line by proposing conditional volatility targeting approaches and studying their performance implications.
However, these strategies introduce turnover and time-varying leverage, and performance can deteriorate after costs—particularly when applied to anomalies or when implemented naively at high frequency (Barroso and Detzel 2021; Patton and Weller 2020). This has led to a parallel literature emphasizing cost-aware execution, smoothing, and robustness checks to distinguish “paper” alphas from implementable results. In this context, a tail-asymmetry-driven overlay (such as CAI++) is best viewed as complementary: rather than continuously scaling exposure, it attempts to trigger defensive behavior specifically when dependence conditions imply elevated crash risk, potentially reducing unnecessary turnover in normal regimes while still responding decisively in tail-risk regimes.
Time-series momentum (trend following) is among the most documented defensive return patterns, often performing well in sustained drawdowns and crisis periods (Moskowitz et al. 2012; Hurst et al. 2017). The mechanism is conceptually distinct from copula tail dependence: trend signals rely on persistence in price dynamics, while tail-asymmetry signals rely on joint-extreme co-movement between equity and implied volatility. Empirical evidence across equity and commodity markets further supports the breadth of time-series momentum effects (Georgopoulou and Wang 2017). As a result, trend filters are frequently used either as standalone defensive strategies or as overlays combined with other risk signals.
For CAI, trend filters and hysteresis can be interpreted as stabilization devices that reduce whipsaw around decision thresholds, aligning with broader implementation insights from systematic strategies. In empirical evaluation, trend-based benchmarks (e.g., SMA timing) are therefore natural comparators, helping establish whether tail-asymmetry contains incremental information beyond well-known crisis-protective signals.
Balanced allocations such as 60/40 and risk-parity-style diversification are widely used institutional baselines. Risk parity, in particular, is often motivated by leverage aversion and the tendency for investors to under-allocate to low-volatility assets absent leverage, implying a rationale for risk-balanced portfolios overweighting safer assets (Asness et al. 2012). However, in periods of rapidly rising correlations, even diversified portfolios can experience simultaneous losses, underscoring the need for conditional risk management and tail-aware overlays. Thus, evaluating CAI++ against both buy-and-hold and diversified benchmarks is consistent with standard empirical practice in systematic allocation research.
Against this background, the relevant question is not only whether CAI++ performs well in absolute terms, but whether it adds information and portfolio value beyond established trend-following and diversified allocation frameworks. This is precisely where the present study is positioned: it asks whether asymmetric equity–volatility tail dependence can be measured in a tractable way and then translated into a practical defensive overlay with incremental value relative to standard benchmarks.
More precisely, CAI should be understood as a new descriptive dependence statistic constructed from familiar building blocks in the tail-dependence literature rather than as a new copula family or a parametric tail-dependence coefficient. The novelty does not lie in introducing a new lower- or upper-tail dependence coefficient in the classical copula-theoretic sense, nor in reformulating an existing asymmetric copula specification. Instead, CAI operationalizes, in rolling empirical form, the difference between the recent frequency of crash–volatility co-exceedances and that of the corresponding mirror state. In this sense, the measure is related to the broader literature on co-exceedances, tail-event frequencies, and asymmetric dependence, but differs from standard tail-dependence coefficients because it is directional, window-specific, rank-based, and explicitly benchmarked against the mirror tail state rather than summarizing only one tail in isolation.
The academic contribution of this study is twofold. First, it introduces the Copula Asymmetry Index (CAI) as a rank-based, rolling measure designed to capture directional asymmetry in joint equity–volatility tail behavior, thereby extending the use of copula-based dependence analysis from static tail characterization to dynamic stress detection. Second, it develops CAI++ as an implementable portfolio overlay that translates this asymmetric dependence signal into allocation decisions under realistic trading frictions, including smoothing, delayed execution, and transaction-cost awareness. In this sense, the paper contributes not only a new dependence-based indicator, but also a systematic bridge between tail-dependence measurement and practical defensive asset allocation. Relative to the existing literature on copulas, volatility timing, and defensive portfolio construction, the novelty of the present study lies in combining an empirically tractable asymmetry metric with a transparent implementation framework and evaluating it across a broad cross-section of equity–volatility pairs and benchmark portfolios.

2. Data and Methods

2.1. Data

We study a broad cross-section of 50 equity–volatility pairs at the daily frequency. Each pair consists of (i) an equity ETF representing a market, sector, style, or regional sleeve, and (ii) an associated implied-volatility index used as a risk signal. Equity prices are taken as adjusted close series when available; implied volatility series are index levels (e.g., VIX-family indices). The sample start date is fixed at 1 January 2000 (or the earliest date available for each instrument), with all computations performed on the intersection of available dates per pair.
Volatility indices as signals (not traded assets). The VIX-family indices are constructed from option prices and are standard measures of forward-looking implied variance. They are not directly investable as indices, but are widely used as indicators of market-implied tail risk and risk premia. We use them strictly for signal extraction (tail co-movement diagnostics), not as tradable legs.
Defensive/hedge instruments. Portfolio allocations are implemented using liquid ETFs representing defensive sleeves (e.g., long-duration treasuries and gold), which are investable and provide a practical hedge set relative to equity risk.

2.2. Price Alignment and Return Construction

Let P t ( s ) denote the adjusted close (or close) price of series s on trading day t . We compute simple daily returns as
r t ( s ) = P t ( s ) P t 1 ( s ) 1 .
For each equity–volatility pair ( e , v ) , we align both return series on the common trading-date set T e , v . Missing hedge returns may be handled in either a strict inception mode (dropping dates when hedges are unavailable) or a pragmatic default mode (treating missing hedge returns as zero, i.e., cash-like) to preserve continuity of the backtest; both variants can be reported as robustness checks.

2.3. Copula Foundations and Pseudo-Observations

The dependence structure between two return series can be studied via copulas, which separate marginal distributions from dependence. For rolling-window dependence measurement, we use a rank-based (semi-parametric) approach via pseudo-observations, a standard technique in empirical copula work. Formally, for a rolling window of size n , let ( X t , Y t ) , t = 1 , , n , denote the paired observations, and let R X , t and R Y , t be their within-window ranks. The associated pseudo-observations are defined as U t = R X , t / ( n + 1 ) and V t = R Y , t / ( n + 1 ) , which map the original data into the unit square while preserving their dependence structure in rank form. The empirical copula is then the nonparametric estimator of the joint dependence structure given by
C ^ n ( u , v ) = 1 n t = 1 n 1 { U t u ,   V t v } ,   ( u , v ) [ 0 , 1 ] 2 .
In this study, the pseudo-observations therefore constitute the building blocks of the empirical copula: they are the rank-transformed data points on which the local dependence structure is estimated within each rolling window. This construction allows CAI to focus on asymmetric joint tail behavior independently of the marginal scales of returns and volatility proxies. Fix a rolling window length W . For each day t W , define the windowed samples { r t W + 1 ( e ) , , r t ( e ) } and { r t W + 1 ( v ) , , r t ( v ) } . Within the window, convert each observation to a pseudo-uniform score using ranks,
u t , j = r a n k ( r t W + j ( e ) ) W + 1 ,   w t , j = r a n k ( r t W + j ( v ) ) W + 1 ,   j = 1 , , W .
These ( u t , j , w t , j ) values are the window-specific pseudo-observations and can be viewed as empirical copula draws for the pair ( r ( e ) , r ( v ) ) within that rolling window.

2.4. Copula Asymmetry Index

Let q ( 0 , 1 ) be the tail threshold (e.g., q = 0.90 ).
In the empirical implementation, we use q = 0.90 as the baseline tail threshold. This choice reflects a trade-off between tail specificity and estimation stability in rolling-window analysis. A stricter threshold such as q = 0.95 would focus on more extreme observations, but it would also generate fewer joint tail events within each 126-day window, making the estimated tail-event frequencies noisier and less stable. Conversely, a looser threshold such as q = 0.85 would increase the number of observations classified as tail events, but at the cost of including less extreme market moves and thereby weakening the stress interpretation of the index. We therefore adopt q = 0.90 as a pragmatic middle-ground specification.
We define two “opposite” joint-tail events inside each window:
  • Crash–vol tail (down equity, up vol):
    A t , j = 1 ( u t , j < 1 q w t , j > q ) .
  • Mirror tail (up equity, down vol):
    B t , j = 1 ( u t , j > q w t , j < 1 q ) .
The corresponding empirical probabilities are
p ^ t xtail = 1 W j = 1 W A t , j , p ^ t mirror = 1 W j = 1 W B t , j .
The use of these two mirror-tail states is symmetric by construction, but this should not be interpreted as implying that financial markets themselves are symmetric. In empirical asset pricing and volatility dynamics, downside equity moves are often associated with stronger volatility reactions than upside moves of comparable magnitude, consistent with the well-known leverage effect and related forms of volatility asymmetry. The purpose of the CAI construction is therefore not to impose empirical symmetry, but to provide a transparent benchmark against which departures from symmetry can be measured. In this sense, the index is deliberately defined in a structurally symmetric way so that economically meaningful market asymmetry can appear in the estimated difference.
The Copula Asymmetry Index (CAI) is defined as the difference
C A I t = p ^ t xtail p ^ t mirror .
C A I t > 0 indicates that “equity-down & vol-up” tail co-occurrences are more frequent than the mirror state within the recent window, consistent with asymmetric tail dependence.
Conceptually, CAI is not intended as a replacement for classical lower- or upper-tail dependence coefficients, which summarize extremal dependence within a single tail region under a copula model, nor as a parametric asymmetric copula specification. Rather, it is a rolling empirical asymmetry diagnostic comparing two opposite tail-event states within the same recent window, designed for directional and operational stress detection.
This directly targets dependence asymmetry emphasized in the copula literature.
To reduce noise, CAI++ applies a moving-average smoother of length S days to both C A I t and p ^ t xtail :
C A I ¯ t = 1 S k = 0 S 1 C A I t k , p ¯ t xtail = 1 S k = 0 S 1 p ^ t k xtail .
For clarity, we distinguish between the raw asymmetry measure, its smoothed version, and the final operational signal used in the allocation rule. Specifically, let C A I t = p t ( c r a s h v o l ) p t ( m i r r o r ) denote the raw Copula Asymmetry Index computed in rolling window t from the difference between the empirical probability of the crash–vol tail event and that of the mirror tail event. To reduce short-run estimation noise, we next smooth both tail probabilities using an s -day moving average, so that p ~ t ( c r a s h v o l ) = M A s ( p t ( c r a s h v o l ) ) and p ~ t ( m i r r o r ) = M A s   ( p t ( m i r r o r ) ) .
The corresponding smoothed asymmetry measure is then defined as
C A I ~ t = p ~ t ( c r a s h v o l ) p ~ t ( m i r r o r ) .
Put differently, the symmetry lies in the comparison rule, not in the expected data-generating process. If financial markets were fully symmetric in their joint tail behavior, the two empirical frequencies would tend to be similar, and CAI would fluctuate around zero. Persistent positive values of CAI are economically interesting precisely because they reveal that the crash–volatility state occurs more often than its mirror counterpart, reflecting an underlying asymmetry in market dynamics rather than an artifact of the index definition.
In the terminology of this paper, CAI refers strictly to the raw dependence-asymmetry measure, whereas CAI++ refers to the full implementation signal constructed from the smoothed tail probabilities, and subsequently standardized in Section 2.5 before being mapped into portfolio decisions in Section 2.6, Section 2.7 and Section 2.8. This distinction is important because the objective of CAI is descriptive, namely, to quantify directional asymmetry in recent joint tail behavior, while the objective of CAI++ is operational, namely, to transform that information into a stable and transparent defensive allocation signal.

2.5. Standardization into a Stress Score (z-Scores)

The standardization step is applied to the smoothed tail-probability estimates introduced in Section 2.4. Accordingly, CAI++ should not be interpreted as the raw quantity CAI_t itself, but as the standardized and implementation-ready signal obtained from the smoothed crash–vol and mirror tail frequencies.
Under an independence baseline within a window, the probability of landing in a rectangle of mass ( 1 q ) × ( 1 q ) is
p 0 = ( 1 q ) 2 .
Treating p ^ t xtail as a binomial proportion estimator over W trials, an approximate standard error is
σ p = p 0 ( 1 p 0 ) W .
Since C A I t is a difference of two proportions measured on the same window, CAI++ uses the approximation
σ C A I 2   σ p .
This approximation is used as a pragmatic scaling device rather than as an exact variance decomposition. Since both tail-event proportions are estimated from the same rolling window, the covariance term is not, in principle, guaranteed to be zero. Accordingly, the expression should be interpreted as a simplifying approximation adopted for signal standardization and portfolio implementation, not as a formal inferential result. Its role in CAI++ is operational, namely to stabilize the magnitude of the stress score across windows, while more exact covariance-aware or bootstrap-based alternatives remain possible extensions.
We then define two z-scores:
z t C A I = C A I ¯ t σ C A I , z t p = p ¯ t xtail p 0 σ p .
The combined stress score is their average:
z t = 1 2 ( z t C A I + z t p ) .
This construction gives weight both to asymmetry ( C A I ) and to level of crash–vol tail intensity ( p ^ xtail ).

2.6. Trend Conditioning

CAI++ optionally conditions thresholds on an equity trend state. Let D t { 0 , 1 } be a downtrend indicator built from rule-based filters such as SMA200 and/or 12–1 momentum. Trend filters are standard crisis-control baselines in systematic allocation and are used here only to modulate sensitivity.
We implement:
z t on = z on + Δ ( D t ) , z t max = z max + Δ ( D t ) ,
where Δ ( D t ) is a small bonus/penalty (e.g., ± trend_bonus) depending on whether the equity is in a downtrend (more defensive) or not.
Here, max ( ) denotes the standard maximum operator, used to impose a lower bound on the equity weight, while 1 { o n } is an indicator function taking value 1 when the trend filter is active (“on”) and 0 otherwise. In other words, “on” denotes the state in which the corresponding trend or allocation condition is satisfied.

2.7. Mapping Stress Score to a Defensive Intensity α t

Methodologically, CAI++ is implemented here as a transparent rule-based allocation overlay rather than as the solution to an explicit intertemporal portfolio optimization problem. Its components—signal smoothing, threshold activation, hysteresis, delayed execution, and defensive reweighting—are introduced as practical design choices intended to improve stability, interpretability, and implementability under realistic trading frictions.
Define thresholds z t on < z t max . The raw defensive intensity is:
α t raw = c l i p ( z t z t on z t max z t on , 0 , 1 ) ,
where c l i p ( x , 0 , 1 ) = m i n ( 1 , m a x ( 0 , x ) ) .
If z t is near the switching threshold z t on , CAI++ blends today’s raw signal with yesterday’s output to reduce flip-flopping:
If | z t z t on |   < h band , then
α t = h blend   α t 1 + ( 1 h blend )   α t raw ,
else α t = α t raw .
Execution lag and rebalance frequency. To avoid look-ahead, allocations use a one-day lag:
α ~ t = α t 1 .
CAI++ then applies a discrete rebalance schedule (e.g., monthly). Let m t { 0 , 1 } indicate rebalance days. Define the traded intensity:
α t trd = { α ~ t , m t = 1 , α t 1 trd , m t = 0 .
Optionally, α t trd is capped by pair-specific limits 0 α t trd α m a x ( e ) .

2.8. Portfolio Construction

Let w bull = ( w e bull , w tlt bull , w gld bull ) be the “risk-on” weights, and w risk = ( w e risk , w tlt risk , w gld risk ) the “risk-off” weights.
Here, TLT refers to the iShares 20+ Year Treasury Bond ETF, while GLD refers to SPDR Gold Shares. Portfolio construction proceeds in three steps.
(1): blend bull/risk weights by  α t trd .
w i , t raw = ( 1 α t trd ) w i bull + α t trd w i risk , i { e , tlt , gld } .
(2): apply an equity floor. Let w e m i n ( e ) be an equity minimum (possibly ETF-category dependent).
The floor is imposed only on the equity sleeve because CAI++ is designed as a defensive overlay rather than as a full tactical rotation system. The objective is not to eliminate equity exposure altogether, but to allow controlled de-risking while preserving minimum participation in the underlying equity allocation. By construction, the defensive assets serve as contingent hedging sleeves, whereas the equity component remains the strategic core of the portfolio. Then:
w e , t = m a x ( w e m i n ( e ) ,   w e , t raw ) , rem t = 1 w e , t .
(3): allocate the remaining weight across hedges by inverse volatility. Using a hedge volatility lookback L , compute rolling standard deviations:
σ tlt , t = s d ( r t L ( tlt ) , , r t 1 ( tlt ) ) , σ gld , t = s d ( r t L ( gld ) , , r t 1 ( gld ) ) .
Define inverse-vol shares:
π tlt , t = 1 / σ tlt , t 1 / σ tlt , t + 1 / σ gld , t , π gld , t = 1 π tlt , t .
Then:
w tlt , t = rem t   π tlt , t , w gld , t = rem t   π gld , t .
Finally, normalize to ensure w e , t + w tlt , t + w gld , t = 1 .

2.9. Transaction Costs and Net Returns

Let r t gross be the gross portfolio return:
r t gross = w e , t   r t ( e ) + w tlt , t   r t ( tlt ) + w gld , t   r t ( gld ) .
Define one-way turnover as:
T O t = i { e , tlt , gld } | w i , t w i , t 1 | .
On rebalance days, proportional transaction costs are applied:
T C t = m t c T O t ,
where c is the per-rebalance cost rate.
Net return:
r t net = r t gross T C t .

2.10. Volatility Targeting Overlay

CAI++ optionally applies volatility targeting to stabilize ex post risk. Vol targeting is widely studied in the “volatility-managed portfolios” literature.
Let σ ^ t be the realized volatility estimate of the strategy’s net returns over lookback L v (annualized):
σ ^ t = 252   s d ( r t L v net , , r t 1 net ) .
Define leverage scaler:
λ t = m i n ( σ σ ^ t ,   λ m a x ) ,
where σ is the target annual volatility and λ m a x a leverage cap.
The volatility-targeted strategy return is:
r t VT = λ t   r t net .

2.11. Benchmarks

For each equity ETF, we compute the following benchmark strategies, all evaluated on the same aligned date set:
1.
Buy-and-hold equity (BH):
r t BH = r t ( e ) .
2.
60/40 balanced portfolio (60/40):
r t 60 / 40 = 0.6   r t ( e ) + 0.4   r t ( tlt ) ,
with the same rebalance schedule and trading-cost treatment.
3.
Risk parity (inverse-vol) across  { e , tlt , gld } : weights are proportional to 1 / σ ^ i , t computed over lookback L . Risk parity is a standard institutional benchmark and is often motivated by leverage aversion arguments.
4.
SMA200 timing benchmark: SMA200 timing benchmark: for pair i at rebalance date t, let P i , t denote the equity ETF price and let S M A 200 i , t denote its 200-trading-day simple moving average. When P i , t > S M A 200 i , t , the benchmark holds a fully risk-on position in the corresponding equity ETF. When P i , t S M A 200 i , t , the benchmark switches to a defensive allocation and invests equally in the hedge basket, implemented here as 50% TLT and 50% GLD. The rule is evaluated using only information available up to date t, and the resulting position is held until the next scheduled rebalance. This benchmark is intended to represent a simple and transparent trend-following rule against which the incremental value of CAI++ can be assessed.

2.12. Performance Statistics

Let { r t } t = 1 T be daily returns of a strategy. We compute:
  • Cumulative wealth:
    W T = t = 1 T ( 1 + r t ) .
  • Annualized mean and volatility:
    μ ann = 252   r ¯ , σ ann = 252   s d ( r t ) .
  • Sharpe ratio (zero cash rate baseline):
    S h a r p e = μ ann σ ann .
  • Maximum drawdown (MaxDD) from the wealth path W t :
    D D t = W t m a x s t     W s 1 , M a x D D = m i n t     D D t .
  • CVaR at 5% (historical):
    V a R 0.05 = q 0.05 ( r t ) , C V a R 0.05 = E [ r t | r t V a R 0.05 ] .
  • Sortino ratio uses downside deviation (std of r t conditional on r t < 0 ).
These metrics are reported per pair and aggregated across pairs (medians and win rates).

2.13. Validation Design

The empirical evaluation is conducted chronologically and on a pair-specific basis. Although the raw data download begins on 1 January 2000, the effective sample for each equity–volatility pair begins only at the first date on which both the equity ETF and its matched volatility proxy are simultaneously available. The analysis then proceeds over the full common history of that pair. This design is necessary because several ETFs enter the sample materially later than 2000, so imposing a single common calendar interval would either discard usable information for long-history pairs or artificially truncate the effective sample.
For each pair, CAI-based portfolio performance is evaluated against a set of benchmarks using the same available history. The benchmark set includes buy-and-hold equity exposure, a 60/40 allocation, an inverse-volatility risk-parity allocation, and an SMA(200)-based timing rule. Performance is summarized using final wealth, annualized Sharpe ratio, annualized volatility, and maximum drawdown.
In addition to the baseline specification, robustness is assessed through parameter perturbation scenarios implemented within the same pair-specific chronological framework. These include alternative tail-threshold choices and related implementation settings, allowing us to examine whether the main empirical patterns are sensitive to plausible changes in the construction of the CAI signal.
For each pair, the baseline cross-sectional results are computed over the full available pair-specific evaluation period after return alignment and after the initialization required by the rolling CAI signal construction. Out-of-sample results are then computed separately using a chronological split of each pair-specific sample, with the first 70% of observations assigned to the in-sample segment and the final 30% assigned to the out-of-sample segment.
Although these design choices are motivated by implementation considerations rather than pair-specific optimization, the joint presence of multiple tunable components inevitably raises the possibility of implicit overfitting or data-snooping. In this study, that concern is mitigated, but not eliminated, through chronological evaluation, out-of-sample splits, cross-sectional aggregation, and parameter-perturbation checks. Accordingly, the reported results should be interpreted as evidence for the empirical usefulness of the proposed implementation architecture, rather than as proof that performance is invariant to all reasonable parameterizations.
Likewise, the notion of incremental information value in this study should be interpreted narrowly and operationally. Specifically, CAI++ is evaluated by asking whether it improves outcomes relative to standard benchmark rules implemented on the same data, dates, and trading conventions. The present design does not constitute a formal encompassing test against the full universe of alternative tail-risk statistics; rather, it assesses whether the proposed signal appears to contain usable portfolio information beyond the selected benchmark set. Table 1 summarizes the main variables and default parameter settings used in the empirical implementation of CAI.

2.14. Data Construction, Pair Formation, and Evaluation Design

The empirical analysis is conducted on daily data from 3 January 2000 to 16 January 2026. The study evaluates 50 equity–volatility pairs, where each pair consists of one equity ETF and one matched volatility proxy from the VIX family or a closely related volatility index. Each pair is evaluated separately after alignment of the equity and volatility series and after initialization of the rolling-window signal construction. The full list of the 50 analyzed equity–volatility pairs included in the empirical implementation is provided in Appendix A (Table A1), while the overall empirical design, sample definition, and interpretation framework are summarized in Table 2.

3. Results

3.1. Cross-Sectional Performance: Win Rates (Final Wealth)

Table 3 reports cross-sectional win rates computed over each pair’s full available evaluation period after return alignment and after the initialization required by the strategy and rolling signal construction. Accordingly, these win rates are not based on the out-of-sample segment alone.
Table 3 indicates that CAI++ behaves primarily as an equity-risk overlay: it improves terminal outcomes relative to equity-only exposure in the large majority of pairs (96%) and also beats a balanced 60/40 benchmark in most pairs (86%). However, CAI++ does not consistently dominate allocations that explicitly target low volatility and diversification (risk parity), and it underperforms a pure trend-timing rule in final-wealth win rates.
A “win” is recorded when a pair’s CAI++ cumulative wealth exceeds the corresponding benchmark’s cumulative wealth over that pair’s full available evaluation period after return alignment and strategy initialization. Results are computed separately for each pair and then aggregated across the 50 analyzed pairs.

3.2. Downside Risk and Risk-Adjusted Performance

Because final wealth can be dominated by a small number of episodes and can obscure risk trade-offs, Table 4 reports cross-sectional medians of key downside and risk-adjusted metrics: maximum drawdown (MaxDD), CVaR at 5%, Sortino ratio, Calmar ratio, annualized volatility, and annualized Sharpe ratio.
Table 4 reports full-sample cross-sectional medians computed over the same pair-specific evaluation periods used in Table 3.
Table 4 shows that CAI++ improves the equity-only baseline in median Sharpe (0.534 vs. 0.408) and modestly improves tail risk metrics (less negative CVaR_5 and slightly smaller drawdowns). However, CAI++ exhibits materially worse median downside risk than diversified low-volatility benchmarks: both 60/40 and risk parity have substantially smaller drawdowns and less severe CVaR_5, with risk parity also achieving a markedly higher median Sharpe. This pattern suggests that CAI is best framed as a signal-driven equity overlay rather than a replacement for structurally diversified, low-volatility allocations.

3.3. Out-of-Sample (OOS) Evidence

To assess generalization, each pair-specific aligned sample is split chronologically into an in-sample (IS) segment comprising the first 70% of observations and an out-of-sample (OOS) segment comprising the final 30%. Performance in Table 5 is computed exclusively on this OOS segment using the same implementation rules and parameter settings.
Table 5 provides the strongest empirical support for CAI relative to common balanced benchmarks: in OOS, CAI++ beats 60/40 in both final wealth and Sharpe for 92% of pairs, and the median OOS Sharpe of CAI++ (0.569) exceeds the 60/40 median (0.374). In contrast, CAI++ rarely exceeds risk parity in Sharpe (2% win rate), consistent with risk parity’s structural emphasis on volatility reduction and diversification. Thus, CAI++ appears to generalize well as a cross-sectional overlay against equity-only and 60/40 baselines, while risk parity remains a difficult benchmark to dominate on risk-adjusted performance.

3.4. Effect Sizes: Median OOS Deltas Versus Benchmarks

Win rates are informative but do not quantify magnitude. Table 6 reports median OOS differences in final wealth and Sharpe between CAI++ and each benchmark.
Table 6 indicates economically meaningful OOS improvements versus 60/40 in both wealth (+0.515 median) and Sharpe (+0.121 median). Improvements versus buy-and-hold are smaller but still positive in the median. Against risk parity, the median wealth delta is near zero, while the median Sharpe delta is strongly negative, implying that risk parity’s risk-adjusted edge persists even when CAI++ delivers comparable terminal wealth in some pairs. This contrast with risk parity is economically informative rather than merely unsurprising. The two approaches are built on fundamentally different principles. Inverse-volatility risk parity is a continuously active allocation rule designed to stabilize portfolio risk by distributing exposure toward lower-volatility assets, and it is therefore naturally advantaged in volatility-normalized metrics such as annualized volatility and Sharpe ratio. CAI++, by contrast, is not a general risk-budgeting portfolio rule. It is a conditional defensive overlay that reacts specifically to directional asymmetry in joint equity–volatility tail behavior. Its purpose is not to minimize portfolio risk in all market states, but to detect periods in which crash-sensitive dependence becomes unusually pronounced and to translate that information into selective de-risking. For this reason, CAI++ should not be expected to dominate risk parity uniformly in risk-adjusted metrics. Its contribution lies instead in dependence-aware regime sensitivity and tail-state detection, whereas risk parity primarily delivers continuous unconditional risk balancing.
Bar chart reporting the fraction of equity–volatility pairs (N = 50) for which CAI++ achieves higher terminal wealth than each benchmark (buy-and-hold, 60/40, risk parity, SMA200 timing). Figure 1 shows that CAI++ wins overwhelmingly versus buy-and-hold equity and frequently versus 60/40, while performance versus risk parity is mixed and versus SMA200 timing is comparatively weak. This pattern is consistent with CAI++ acting as an equity-risk overlay rather than a universal substitute for diversified defensive allocations.
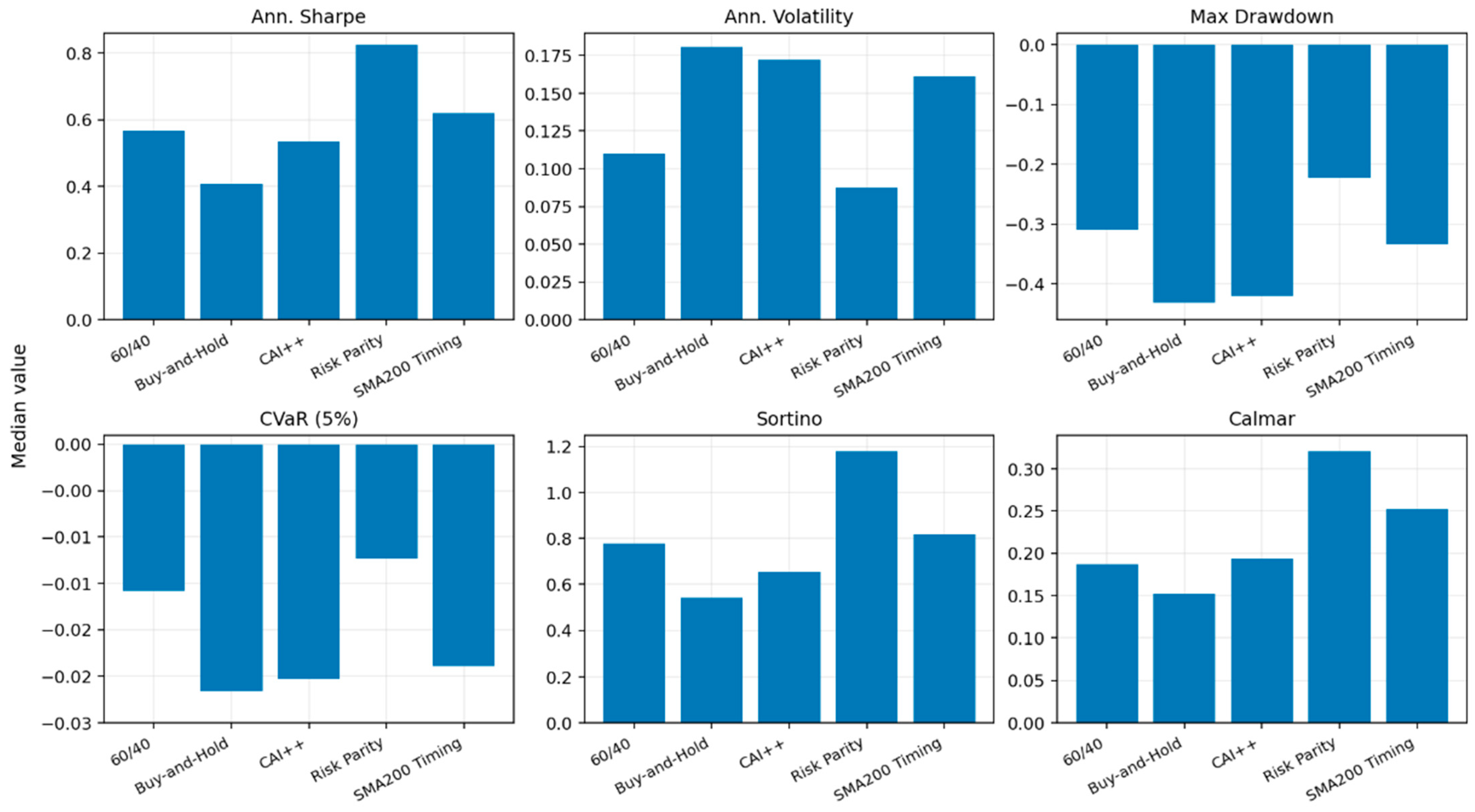
Figure 2 indicates that CAI improves median risk-adjusted performance relative to buy-and-hold equity, but does not match the downside protection and Sharpe of structurally diversified low-volatility benchmarks (especially risk parity). The figure motivates framing CAI as a tail-sensitive equity overlay rather than a drawdown-minimization strategy.
Figure 3 shows that OOS performance remains strong versus 60/40 and buy-and-hold, supporting the stability of the CAI++ signal beyond the calibration segment. In contrast, CAI++ rarely exceeds risk parity on OOS Sharpe, highlighting a clear risk-adjusted trade-off: CAI++ improves equity-centric allocations but does not dominate structurally low-volatility portfolios.
Figure 4 illustrates that the main advantage of CAI++ is not a universal reduction in tail losses relative to diversified benchmarks, but improved performance relative to equity-only and balanced baselines under certain dependence regimes. The 3D plots help communicate the strategy’s positioning as an overlay that trades some downside-optimality for equity participation and cross-sectional robustness.

4. Conclusions

This study develops and evaluates CAI++, a tail-sensitive defensive overlay that exploits asymmetric tail dependence between equity returns and implied-volatility proxies. Rather than relying on linear correlation or unconditional volatility alone, CAI++ measures—within rolling windows—the relative frequency of “equity down & volatility up” joint-tail events compared with a mirror state, and maps this dependence asymmetry into a smooth, implementable allocation rule with execution lags, hysteresis, transaction-cost accounting, and (optionally) volatility targeting.
Empirically, across a broad cross-section of equity–volatility pairs, CAI++ delivers a consistent improvement over equity-only baselines and demonstrates particularly strong out-of-sample performance relative to a 60/40 benchmark in both terminal wealth and Sharpe for the majority of pairs. These results suggest that tail-asymmetry diagnostics can contain incremental information about stress regimes that is useful for managing equity exposure. However, CAI++ does not dominate structurally diversified low-volatility approaches: risk-parity allocations retain a clear advantage in risk-adjusted performance and in aggregate tail-risk measures such as drawdowns and CVaR. This pattern is economically coherent given the different objectives: CAI++ aims to preserve equity participation while de-risking selectively when joint tail dependence intensifies, whereas risk parity continuously targets volatility reduction through diversification.
More broadly, the proposed asymmetry measure should be interpreted against the background of a long literature showing that volatility reacts asymmetrically to equity-market movements. Negative return shocks are often associated with disproportionately stronger increases in implied or realized volatility than positive shocks of similar magnitude, whether due to leverage-type mechanisms, volatility feedback, or asymmetric investor risk perception. Against this background, the mirror-tail comparison used in CAI is not meant to assert equal prior probabilities for the two states. Rather, it provides a symmetric measurement device designed to detect and quantify precisely this economically important asymmetry.
Taken together, the evidence supports positioning CAI++ as a tail-aware overlay for equity-centric or balanced allocations, rather than as a universal replacement for institutional low-risk baselines. The approach is transparent, computationally scalable, and naturally extensible to walk-forward evaluation and alternative volatility proxies, providing a practical foundation for further research on tail-dependence-informed portfolio management.

4.1. Limitations

Despite encouraging cross-sectional and out-of-sample evidence against equity and 60/40 baselines, several limitations constrain interpretation and should be stated explicitly.
Non-tradability of volatility indices (signal vs. traded leg).
VIX-family indices are not directly investable instruments; they are used here solely as signals to detect dependence regimes. While this is common in academic and practitioner research, it remains a potential critique. Stronger external validity can be obtained by repeating the analysis using tradable volatility proxies (e.g., volatility futures-based ETFs) or realized volatility measures to test whether the signal depends on option-implied information specifically.
Applying the same methodology across ~50 pairs increases the chance that some apparent successes arise by luck, especially when parameters (e.g., tail threshold, window length, thresholds, hysteresis) are chosen based on performance. While cross-sectional medians and out-of-sample splits mitigate this concern, formal multiple-testing-aware inference (e.g., reality-check-style methods or correlated cross-sectional bootstraps) would strengthen statistical credibility.
CAI++ includes several tunable components: tail threshold q , rolling window W , smoothing length, z-score thresholds, hysteresis settings, trend conditioning, execution frequency, and volatility targeting. Although these are motivated by practical implementation concerns (noise reduction and turnover control), the results may vary with parameter choices. Comprehensive robustness grids and stability diagnostics are important to rule out overfitting.
A further limitation is the inherently lagging nature of the strategy. CAI++ is intentionally designed with smoothing, hysteresis, delayed execution, and in some specifications, trend conditioning, in order to reduce noise and turnover. However, these same implementation features imply that the strategy may react only after stress asymmetry has already started to build, and it may also normalize exposure only gradually after conditions improve. As a result, CAI++ should not be interpreted as an instantaneous crisis-timing mechanism, but rather as a filtered and implementable response to evolving tail-risk conditions. This lag is partly the price paid for robustness and tradability.
Tail-event probabilities in rolling windows are inherently noisy because joint extremes are rare. Higher q improves “tail purity” but reduces sample size; shorter windows improve responsiveness but increase estimation variance. Smoothing and hysteresis reduce noise but can delay responses. These trade-offs are fundamental and imply that CAI++ may under-react to abrupt regime shifts or over-react to transient noise in certain environments.
A further limitation concerns mechanism identification. While the empirical results show that CAI++ captures a useful stress-sensitive dependence pattern between equity returns and implied-volatility proxies, the present design does not formally disentangle the underlying economic channel. In particular, the analysis does not identify whether the signal primarily reflects variance risk premia, leverage-type volatility feedback, behavioral panic, or broader macro-financial stress. The paper therefore documents empirical and portfolio-relevant usefulness, but not a unique structural mechanism. A fuller validation of the economic source of the signal would require an extended design incorporating realized-volatility controls, option-implied versus realized variance decompositions, or broader macro-financial state variables.

4.2. Future Research

Several directions for future research follow naturally from the present findings. First, the CAI++ framework could be extended beyond equity–volatility pairs to other asset classes in which stress dependence may be economically relevant, including fixed income, credit, commodities, currencies, or cross-asset macro portfolios. Second, the strategy currently relies on economically motivated but largely fixed implementation parameters; future work could investigate whether machine-learning methods or adaptive state-space techniques can dynamically optimize thresholds, smoothing intensity, hysteresis settings, or execution rules in a way that improves stability without overfitting. Third, the signal may have applications beyond asset allocation itself, particularly in option hedging and volatility-overlay design, where tail-asymmetry information could help condition hedge ratios, protective option timing, or volatility-budget decisions. These extensions would help clarify whether CAI++ is best viewed as a standalone defensive overlay or as a broader dependence-aware input into multi-layer risk management systems.

Author Contributions

Software, A.D.S.; Writing—original draft, P.H.; Writing—review and editing, A.D.S. All authors have read and agreed to the published version of the manuscript.

Funding

This research received no external funding.

Data Availability Statement

Restrictions apply to the availability of these data. Data were obtained from Yahoo Finance and are available at https://finance.yahoo.com/ with the permission of Yahoo Finance.

Conflicts of Interest

The authors declare no conflict of interest.

Appendix A

Figure A1 visualizes cross-sectional heterogeneity: while CAI++ frequently improves terminal outcomes versus buy-and-hold and 60/40, the magnitude and timing of gains vary by pair and market regime. This figure is useful for diagnosing whether improvements arise from a small number of crisis windows versus persistent compounding.
Figure A1. Wealth curves by pair: CAI++ versus benchmarks (batched panels). Panel plots of cumulative wealth trajectories for CAI++ and each benchmark, faceted by equity–volatility pair and displayed in batches to maintain readability.
Figure A1. Wealth curves by pair: CAI++ versus benchmarks (batched panels). Panel plots of cumulative wealth trajectories for CAI++ and each benchmark, faceted by equity–volatility pair and displayed in batches to maintain readability.
Risks 14 00086 g0a1aRisks 14 00086 g0a1b
Table A1. List of analyzed equity–volatility pairs.
Table A1. List of analyzed equity–volatility pairs.
Pair IDEquity ETFVolatility Proxy
1DIAVXD
2EEMVIX
3EFAVIX
4EWAVIX
5EWCVIX
6EWGVIX
7EWHVIX
8EWJVIX
9EWLVIX
10EWQVIX
11EWSVIX
12EWTVIX
13EWUVIX
14EWYVIX
15EWZVIX
16FEZVIX
17FXIVIX
18IEFAVIX
19IEMGVIX
20INDAVIX
21IWDVIX
22IWFVIX
23IWNVIX
24IWOVIX
25MCHIVIX
26MDYVXD
27MTUMVIX
28QQQVXN
29QUALVIX
30RSPVXD
31SPYVIX
32USMVVIX
33VGKVIX
34VLUEVIX
35VPLVIX
36VTIVIX
37XBIVIX
38XHBVIX
39XLBVIX
40XLCVIX
41XLEOVX
42XLFVIX
43XLIVIX
44XLKVXN
45XLPVIX
46XLUVIX
47XLVVIX
48XLYVIX
49XMEVIX
50XOPVIX

References

  1. Aas, Kjersti, Claudia Czado, Arnoldo Frigessi, and Henrik Bakken. 2009. Pair-copula constructions of multiple dependence. Insurance: Mathematics and Economics 44: 182–98. [Google Scholar] [CrossRef]
  2. Albers, Stefan, and Lars N. Kestner. 2024. The daily rise and fall of the VIX1D: Causes and solutions of its overnight bias. Finance Research Letters 62: 105186. [Google Scholar] [CrossRef]
  3. Asness, Clifford S., Andrea Frazzini, and Lasse H. Pedersen. 2012. Leverage aversion and risk parity. Financial Analysts Journal 68: 47–59. [Google Scholar] [CrossRef]
  4. Barroso, Pedro, and Andrew Detzel. 2021. Do limits to arbitrage explain the benefits of volatility-managed portfolios? Journal of Financial Economics 140: 744–75. [Google Scholar] [CrossRef]
  5. Benkraiem, Ramzi, Riadh Garfatta, Faten Lakhal, and Imen Zorgati. 2022. Financial contagion intensity during the COVID-19 outbreak: A copula approach. International Review of Financial Analysis 81: 102136. [Google Scholar] [CrossRef]
  6. Bongaerts, Dion, Xiaowei Kang, and Mathijs van Dijk. 2020. Conditional volatility targeting. Financial Analysts Journal 76: 54–71. [Google Scholar] [CrossRef]
  7. Can, Sami Umut, John Einmahl, and Roger Laeven. 2021. Two-Sample Testing for Tail Copulas with an Application to Equity Indices. Tilburg: Tilburg University, School of Economics and Management. [Google Scholar]
  8. Carr, Peter, and Liuren Wu. 2009. Variance risk premiums. The Review of Financial Studies 22: 1311–41. [Google Scholar] [CrossRef]
  9. Cboe. 2022. Volatility Index® Methodology. Chicago: Cboe. [Google Scholar]
  10. Cboe. 2023. Cboe Volatility Index® Mathematics Methodology. Chicago: Cboe. [Google Scholar]
  11. Demarta, Stefano, and Alexander J. McNeil. 2005. The t copula and related copulas. International Statistical Review 73: 111–29. [Google Scholar] [CrossRef]
  12. Einmahl, John H. J., and Chen Zhou. 2024. Tail copula estimation for heteroscedastic extremes. Econometrics and Statistics. [Google Scholar] [CrossRef]
  13. Engle, Robert F., and Emil N. Siriwardane. 2018. Structural GARCH: The volatility-leverage connection. The Review of Financial Studies 31: 449–92. [Google Scholar] [CrossRef]
  14. Georgopoulou, Athina, and Jiaguo Wang. 2017. The trend is your friend: Time-series momentum strategies across equity and commodity markets. Review of Finance 21: 1557–92. [Google Scholar] [CrossRef]
  15. Harvey, Campbell R., Edward Hoyle, Russell Korgaonkar, Sandy Rattray, Matthew Sargaison, and Otto Van Hemert. 2018. The impact of volatility targeting. The Journal of Portfolio Management 45: 14–33. [Google Scholar] [CrossRef]
  16. Hurst, Brian, Yao Hua Ooi, and Lasse Heje Pedersen. 2017. A century of evidence on trend-following investing. The Journal of Portfolio Management 44: 15–29. [Google Scholar] [CrossRef]
  17. Ito, Toshinao. 2025. Dynamic asymmetric tail dependence structure among multi-asset classes for portfolio management: Dynamic skew-t copula approach. International Review of Financial Analysis 97: 103724. [Google Scholar] [CrossRef]
  18. McNeil, Alexander J., Rüdiger Frey, and Paul Embrechts. 2015. Quantitative Risk Management: Concepts, Techniques and Tools, Revised ed. Princeton: Princeton University Press. [Google Scholar]
  19. Mensi, Walid, Shawkat Hammoudeh, Syed Jawad Hussain Shahzad, and Muhammad Shahbaz. 2017. Modeling systemic risk and dependence structure between oil and stock markets using a copula approach. Journal of Banking & Finance 75: 258–79. [Google Scholar]
  20. Moreira, Alan, and Tyler Muir. 2017. Volatility-managed portfolios. The Journal of Finance 72: 1611–44. [Google Scholar] [CrossRef]
  21. Moskowitz, Tobias J., Yao Hua Ooi, and Lasse Heje Pedersen. 2012. Time series momentum. Journal of Financial Economics 104: 228–50. [Google Scholar] [CrossRef]
  22. Nelsen, Roger B. 2006. An Introduction to Copulas, 2nd ed. Berlin/Heidelberg: Springer. [Google Scholar]
  23. Oh, Dong Hwan, and Andrew Patton. 2015. Modelling Dependence in High Dimensions with Factor Copulas; FEDS Working Paper 2015-051. Washington, DC: Board of Governors of the Federal Reserve System.
  24. Papagelis, Lucas, and George Dotsis. 2025. The variance risk premium over trading and nontrading periods. Journal of Futures Markets 45: 752–70. [Google Scholar] [CrossRef]
  25. Patton, Andrew J. 2006. Modelling asymmetric exchange rate dependence. International Economic Review 47: 527–56. [Google Scholar] [CrossRef]
  26. Patton, Andrew J. 2012. A review of copula models for economic time series. Journal of Multivariate Analysis 110: 4–18. [Google Scholar] [CrossRef]
  27. Patton, Andrew J., and Brian M. Weller. 2020. The costs of trading market anomalies. Journal of Financial Economics 137: 515–49. [Google Scholar] [CrossRef]
  28. Qiao, Fang, Lai Xu, Xiaoyan Zhang, and Hao Zhou. 2024. Variance risk premiums in emerging markets. Journal of Banking & Finance 167: 107259. [Google Scholar] [CrossRef]
Figure 1. Full-sample win rates of CAI++ versus benchmarks based on pair-level terminal wealth.
Figure 1. Full-sample win rates of CAI++ versus benchmarks based on pair-level terminal wealth.
Risks 14 00086 g001
Figure 2. Median downside metrics across pairs: CAI and benchmarks.
Figure 2. Median downside metrics across pairs: CAI and benchmarks.
Risks 14 00086 g002
Figure 3. Out-of-sample (OOS) performance comparison across pairs.
Figure 3. Out-of-sample (OOS) performance comparison across pairs.
Risks 14 00086 g003
Figure 4. 3D cross-sectional trade-off plots illustrating the relationship among Sharpe, maximum drawdown, and CVaR across pairs.Taken together, Table 3, Table 4, Table 5 and Table 6 and Figure 1, Figure 2, Figure 3 and Figure 4 suggest a consistent empirical characterization: CAI is an effective equity-centered defensive overlay that generalizes out-of-sample across a broad ETF cross-section, particularly relative to buy-and-hold and 60/40 baselines. At the same time, CAI++ does not dominate low-volatility, structurally diversified portfolios (risk parity) on risk-adjusted metrics, and its median drawdown and CVaR remain materially worse than those benchmarks. This trade-off is economically coherent: CAI++ conditions de-risking on a tail-asymmetry diagnostic tied to equity–volatility co-extremes, whereas risk parity continuously targets volatility reduction through diversified exposure. Consequently, the most defensible interpretation is that CAI++ provides incremental value as a tail-aware overlay within equity-centric allocations, rather than replacing institutional low-risk baselines.
Figure 4. 3D cross-sectional trade-off plots illustrating the relationship among Sharpe, maximum drawdown, and CVaR across pairs.Taken together, Table 3, Table 4, Table 5 and Table 6 and Figure 1, Figure 2, Figure 3 and Figure 4 suggest a consistent empirical characterization: CAI is an effective equity-centered defensive overlay that generalizes out-of-sample across a broad ETF cross-section, particularly relative to buy-and-hold and 60/40 baselines. At the same time, CAI++ does not dominate low-volatility, structurally diversified portfolios (risk parity) on risk-adjusted metrics, and its median drawdown and CVaR remain materially worse than those benchmarks. This trade-off is economically coherent: CAI++ conditions de-risking on a tail-asymmetry diagnostic tied to equity–volatility co-extremes, whereas risk parity continuously targets volatility reduction through diversified exposure. Consequently, the most defensible interpretation is that CAI++ provides incremental value as a tail-aware overlay within equity-centric allocations, rather than replacing institutional low-risk baselines.
Risks 14 00086 g004
Table 1. Variables and Parameters (CAI).
Table 1. Variables and Parameters (CAI).
Symbol/NameDefinitionDefault/Notes
e Equity asset (ETF ticker)50 equity ETFs
v Volatility proxy (index ticker)VIX-family index used as signal
t Trading day indexdaily
P t ( s ) Price/index level of series s adjusted close where available
r t ( s ) Daily return of series s P t / P t 1 1
W CAI rolling window length126 days
q Tail threshold0.90
u t , j Pseudo-observation rank for equity return in window r a n k / ( W + 1 )
w t , j Pseudo-observation rank for vol return in window r a n k / ( W + 1 )
p ^ t xtail Prob. of (equity left tail, vol right tail) in windowmean of A t , j
p ^ t mirror Prob. of mirror tail event in windowmean of B t , j
C A I t Asymmetry index p ^ t xtail p ^ t mirror
S Smoothing length5 days
p 0 Independence baseline tail prob. ( 1 q ) 2
σ p Std. error of p ^ xtail p 0 ( 1 p 0 ) / W
σ C A I Std. error proxy for CAI 2 σ p
z t Combined stress z-score 1 2 ( z t C A I + z t p )
z on , z max Activation and saturation thresholdse.g., 2.3 and 3.8
α t Defensive intensity (0–1)clipped linear map of z t
h band Hysteresis band around z on 0.20
h blend Hysteresis smoothing weight0.80
m t Rebalance indicatormonthly endpoints
c Transaction cost rate0.0005 per rebalance
σ Target annual volatility0.18
L v Vol-target lookback63 days
λ m a x Max leverage cap1.5
w bull Risk-on weightse.g., mostly equity
w risk Risk-off weightsshifts to TLT/GLD
w e m i n ( e ) Equity floorETF-category dependent
L Hedge inverse-vol lookback63 days
Table 2. Empirical design, sample definition, and interpretation of reported results.
Table 2. Empirical design, sample definition, and interpretation of reported results.
ComponentSpecification Used in This StudyClarification for Interpretation
Data frequencyDailyAll signals, benchmark rules, and performance measures are computed from daily aligned series.
Broad sample period3 January 2000 to 16 January 2026This is the broad calendar span covered by the aligned pair-level datasets.
Number of analyzed pairs50All reported cross-sectional summaries are based on these 50 equity–volatility pairs.
Equity assetsU.S.-listed equity ETFsThe equity leg is represented by ETF-level series rather than individual stocks.
Volatility assetsMatched VIX-family or closely related volatility proxiesThe volatility leg is used as the signal input for CAI++ construction.
Pair compositionOne equity ETF matched to one volatility proxyEach pair is evaluated separately before any cross-pair aggregation is performed.
Unit of analysisPairThe empirical results are not produced from a single pooled portfolio, but from 50 separate pair-level evaluations.
Pair-by-pair aggregation logicPair-level results are aggregated using win rates and cross-sectional mediansThis ensures that no single pair dominates the reported aggregate findings.
List of analyzed pairsReported in Appendix AThe full pair list is disclosed in the Appendix A for transparency of the empirical design.
SMA200 risk-off allocation50% TLT and 50% GLDWhen the trend filter is not satisfied, the benchmark shifts to the defensive hedge basket.
SMA200 information timingUses only information available up to rebalance date tThis avoids look-ahead bias and aligns timing with the CAI++ comparison design.
Rebalancing conventionCommon scheduled rebalance dates across strategiesBenchmark comparisons are implemented on the same rebalance schedule.
The table summarizes the empirical design used throughout the paper. All strategies are first computed separately for each pair and are then aggregated across pairs for reporting purposes.
Table 3. Cross-sectional win rates of CAI++ versus benchmarks over the full pair-specific evaluation sample (Final Wealth; N = 50 pairs).
Table 3. Cross-sectional win rates of CAI++ versus benchmarks over the full pair-specific evaluation sample (Final Wealth; N = 50 pairs).
BenchmarkWinsTotalWin Rate
Buy-and-hold equity48500.96
60/4043500.86
Risk parity (inverse-vol)28500.56
SMA200 timing15500.30
Table 4. Full-sample median downside and risk-adjusted performance across pairs (N = 50).
Table 4. Full-sample median downside and risk-adjusted performance across pairs (N = 50).
Metric (Median Across Pairs)CAIBuy-and-Hold60/40Risk ParitySMA200 Timing
MaxDD−0.420−0.432−0.309−0.222−0.333
CVaR_5−0.0253−0.0266−0.0158−0.0124−0.0239
Sortino0.6530.5420.7781.1780.817
Calmar0.1930.1520.1870.3210.252
AnnVol0.1720.1810.1100.08760.161
AnnSharpe0.5340.4080.5670.8250.619
Note. Medians are computed across pairs to reduce sensitivity to outliers and heterogeneous sample lengths. MaxDD and CVaR are more negative when downside risk is worse.
Table 5. Out-of-sample performance summary based on a 70/30 chronological IS/OOS split (N = 50 pairs).
Table 5. Out-of-sample performance summary based on a 70/30 chronological IS/OOS split (N = 50 pairs).
Panel A. OOS Win Rates
ComparisonWin rate (Final Wealth)Win rate (Sharpe)
CAI++ > Buy-and-hold0.740.76
CAI++ > 60/400.920.92
CAI++ > Risk parity0.520.02
CAI++ > SMA200 timing0.540.50
Panel B. OOS medians (levels)
Metric (median across pairs, OOS)CAIBuy-and-hold60/40Risk paritySMA200 timing
Final Wealth1.9421.5911.3531.8941.844
Sharpe0.5690.4110.3740.8330.553
Note. OOS results are computed per pair on the OOS segment and aggregated across pairs using medians and win rates.
Table 6. Median out-of-sample deltas (CAI++ minus benchmark) based on the OOS segment (N = 50 pairs).
Table 6. Median out-of-sample deltas (CAI++ minus benchmark) based on the OOS segment (N = 50 pairs).
BenchmarkMedian Δ Final WealthMedian Δ Sharpe
Buy-and-hold+0.118+0.0768
60/40+0.515+0.1206
Risk parity+0.0130−0.301
SMA200 timing+0.0120−0.00122
Note. Deltas are computed pair-by-pair in OOS and summarized by cross-sectional medians.
Disclaimer/Publisher’s Note: The statements, opinions and data contained in all publications are solely those of the individual author(s) and contributor(s) and not of MDPI and/or the editor(s). MDPI and/or the editor(s) disclaim responsibility for any injury to people or property resulting from any ideas, methods, instructions or products referred to in the content.

Share and Cite

MDPI and ACS Style

Hatzopoulos, P.; Statiou, A.D. Copula Asymmetry Index (CAI++): Measuring Asymmetric Equity–Volatility Tail Dependence for Defensive Allocation. Risks 2026, 14, 86. https://doi.org/10.3390/risks14040086

AMA Style

Hatzopoulos P, Statiou AD. Copula Asymmetry Index (CAI++): Measuring Asymmetric Equity–Volatility Tail Dependence for Defensive Allocation. Risks. 2026; 14(4):86. https://doi.org/10.3390/risks14040086

Chicago/Turabian Style

Hatzopoulos, Peter, and Anastasios D. Statiou. 2026. "Copula Asymmetry Index (CAI++): Measuring Asymmetric Equity–Volatility Tail Dependence for Defensive Allocation" Risks 14, no. 4: 86. https://doi.org/10.3390/risks14040086

APA Style

Hatzopoulos, P., & Statiou, A. D. (2026). Copula Asymmetry Index (CAI++): Measuring Asymmetric Equity–Volatility Tail Dependence for Defensive Allocation. Risks, 14(4), 86. https://doi.org/10.3390/risks14040086

Note that from the first issue of 2016, this journal uses article numbers instead of page numbers. See further details here.

Article Metrics

Back to TopTop