Optimal Choice of Crop Insurance: The Case of Winter Barley in France
Abstract
1. Introduction
2. Results
2.1. Model Assumptions
2.2. Optimal Strategies
2.2.1. One Crop Insurance
- 1.
- If the farmer insures their crops with traditional insurance, the optimal savings and coverage rate are given by:
- (a)
- and if .
- (b)
- and if .
- 2.
- If the farmer insures their crops with index insurance, the optimal savings and coverage rate are given by:
- (a)
- and if .
- (b)
- and if .
- 1.
- If the farmer insures their crops with traditional insurance, then their maximum expected utility is given by:
- 2.
- If the farmer insures their crops with index insurance, then their maximum expected utility is given by:
2.2.2. Two Crop Insurances
- 1.
- They do not insure their crop ifIn this case the optimal decision is .
- 2.
- They choose only traditional insurance ifIn this case the optimal decision is where and are the optimal savings and coverage rates in Proposition 1 (1b).
- 3.
- They choose only index insurance ifIn this case the optimal decision is where and are the optimal savings and coverage rates in Proposition 1 (2b).
- 4.
- The farmer insures their crops with both kinds of insurance if ,The optimal savings amount and coverage rates are given by:, andwhere
3. Numerical Application
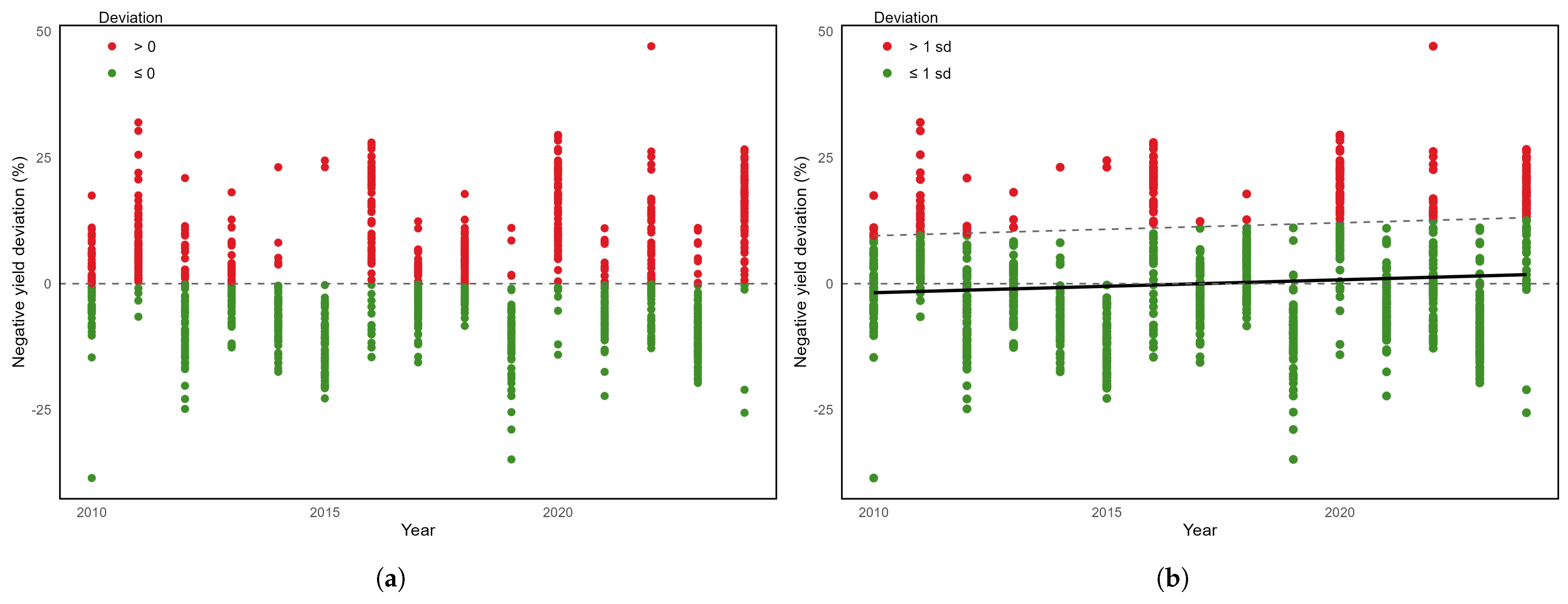
3.1. French Dataset
3.2. Estimation Method
3.3. Estimation Results
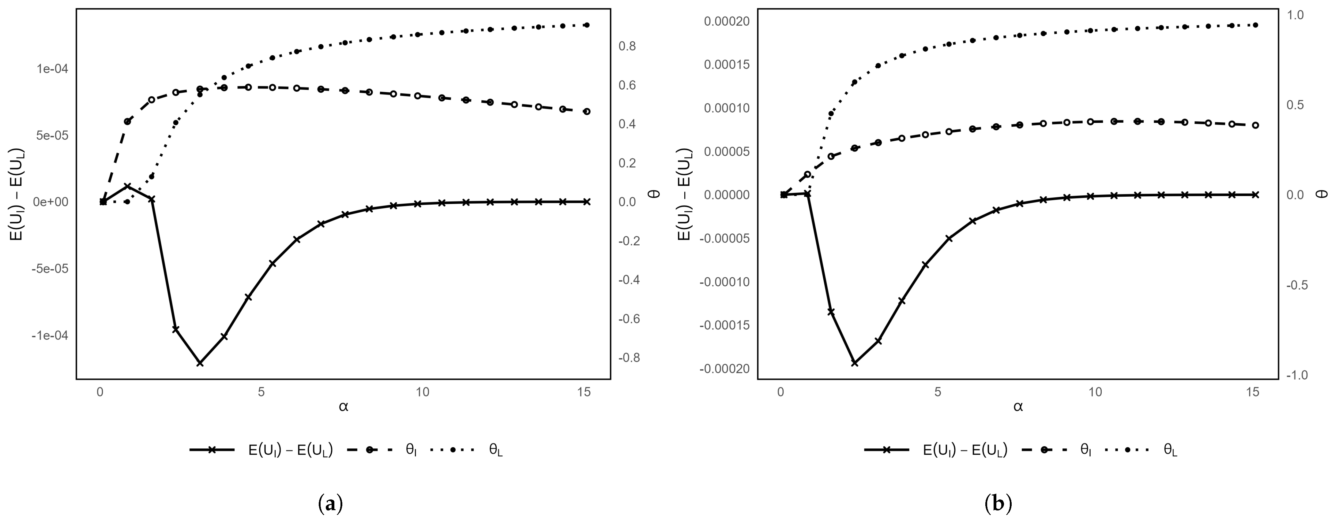
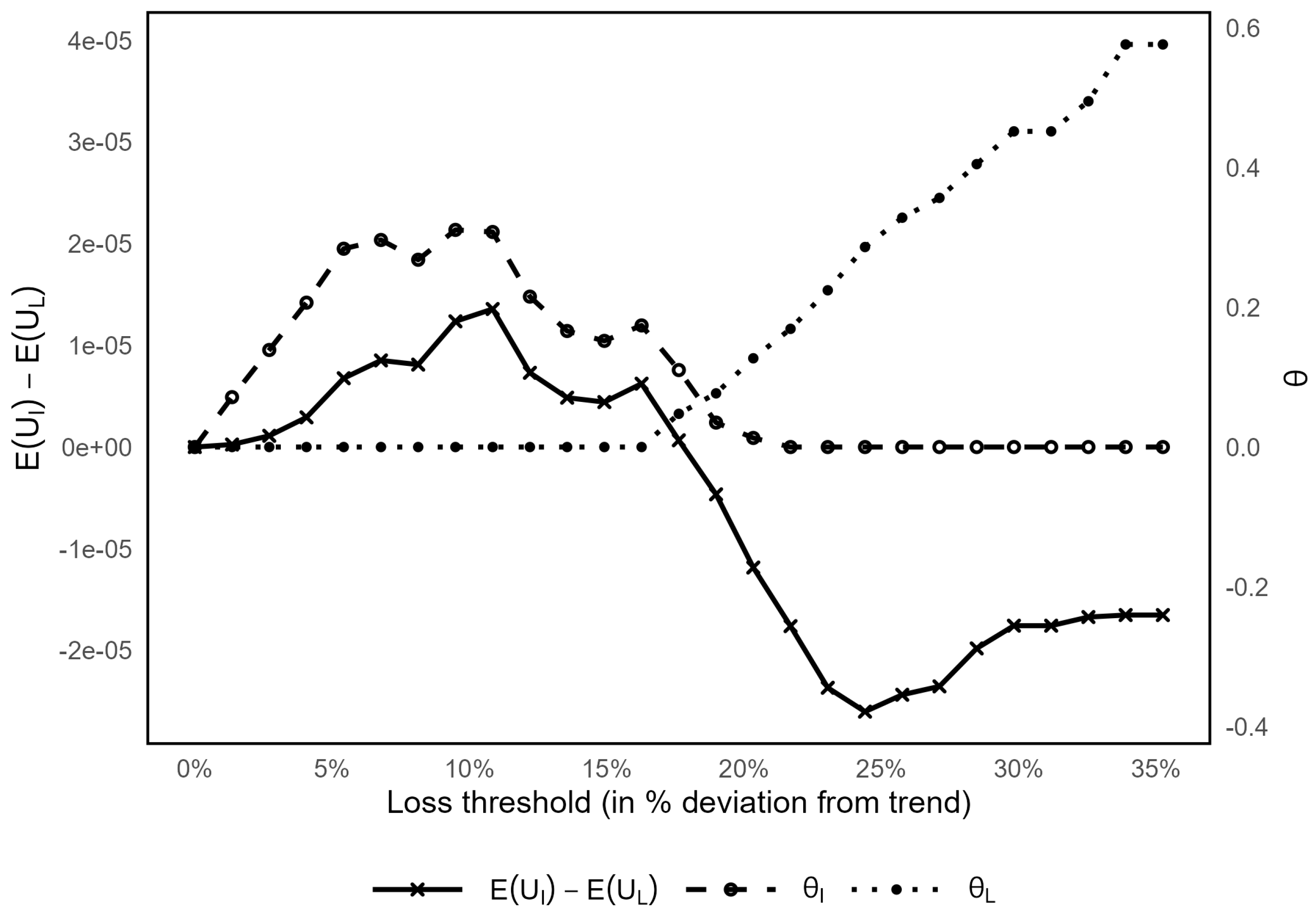
4. Discussion on Insurance Simulation
4.1. Simulation of Traditional Insurance
4.2. Simulation of Index Insurance
4.3. Insurance Selection
5. Conclusions
Author Contributions
Funding
Data Availability Statement
Acknowledgments
Conflicts of Interest
Appendix A. Proofs
Appendix A.1. Proof of Proposition 1
Appendix A.1.1. Traditional Loss-Based Insurance
- : Hence and , and the KKT conditions (A2) are:The first condition implies .
Appendix A.1.2. Index Insurance
- : Hence and the KKT conditions are:We find that . Since , then , where when and . Therefore only if , , .
- : In this case KKT system is:If , then satisfies KKT conditions, where
Appendix A.2. Proof of Proposition 2
Appendix A.2.1. No Insurance Policy
Appendix A.2.2. Only Traditional Insurance Policy
Appendix A.2.3. Only Index Insurance Policy
Appendix A.2.4. Two Different Insurance Policies
- 1.
- Since , then is a convex combination of and . Thereforewith equality when . We also note that is a convex combination of and , hencewith equality when . We deduce that the system has a solution only if .
- 2.
- The last KKT condition gives . Then using the first KKT, we get . Since , then the difference between these two relationships givesTherefore .
References
- Aina, Ifedotun, Opeyemi Ayinde, Djiby Thiam, and Mario Miranda. 2024. Crop index insurance as a tool for climate resilience: Lessons from smallholder farmers in Nigeria. Natural Hazards 120: 4811–28. [Google Scholar] [CrossRef]
- Alderman, Harold, and Trina Haque. 2006. Countercyclical safety nets for the poor and vulnerable. Food Policy 31: 372–83. [Google Scholar] [CrossRef]
- Bakker, Martha M., Gerard Govers, Frank Ewert, Mark Rounsevell, and Robert Jones. 2005. Variability in regional wheat yields as a function of climate, soil, and economic variables: Assessing the risk of confounding. Agriculture, Ecosystems & Environment 110: 195–209. [Google Scholar] [CrossRef]
- Barnett, Barry J., and Olivier Mahul. 2007. Weather index insurance for agriculture and rural areas in lower-income countries. American Journal of Agricultural Economics 89: 1241–47. [Google Scholar] [CrossRef]
- Barnett, Barry J., John R. Black, Youzhi Hu, and Jerry R. Skees. 2005. Is area yield insurance competitive with farm yield insurance? Journal of Agricultural and Resource Economics 30: 285–301. [Google Scholar]
- Beillouin, Damien, Benjamin Schauberger, Aline Bastos, Philippe Ciais, and Didier Makowski. 2020. Impact of extreme weather conditions on European crop production in 2018. Philosophical Transactions of the Royal Society B: Biological Sciences 375: 20190510. [Google Scholar] [CrossRef]
- Binswanger-Mkhize, Hans P. 2012. Is there too much hype about index-based agricultural insurance? Journal of Development Studies 48: 187–200. [Google Scholar] [CrossRef]
- Cao, Jingyi, Dongchen Li, Virginia R. Young, and Bin Zou. 2024. Optimal insurance to maximize exponential utility when premium is computed by a convex functional. SIAM Journal on Financial Mathematics 15: 15–27. [Google Scholar] [CrossRef]
- Carter, Michael R., Lan Cheng, and Alexander Sarris. 2016. Where and how livestock insurance can boost the adoption of improved agricultural technologies. Journal of Development Economics 118: 59–71. [Google Scholar] [CrossRef]
- Chantarat, Sommarat, Andrew G. Mude, Christopher B. Barrett, and Michael R. Carter. 2013. Designing index-based livestock insurance for managing asset risk in northern Kenya. Journal of Risk and Insurance 80: 205–37. [Google Scholar] [CrossRef]
- Clarke, Daniel J. 2016. A theory of rational demand for index insurance. American Economic Journal: Microeconomics 8: 283–306. [Google Scholar] [CrossRef]
- Eltazarov, Shakhzod, Iskandar Bobojonov, Lena Kuhn, and Thomas Glauben. 2023. The role of crop classification in detecting wheat yield variation for index-based agricultural insurance in arid and semiarid environments. Environmental and Sustainability Indicators 18: 100250. [Google Scholar] [CrossRef]
- Hatfield, Jerry L., and John H. Prueger. 2015. Temperature extremes: Effect on plant growth and development. Weather and Climate Extremes 10: 4–10. [Google Scholar] [CrossRef]
- Hess, Ulrike, Jerry Skees, Barry Barnett, Andrea Stoppa, and John Nash. 2005. Managing Agricultural Production Risk: Innovations in Developing Countries. Washington: The World Bank, Agriculture and Rural Development Region. Available online: https://www.findevgateway.org/paper/2005/06/managing-agricultural-production-risk-innovations-developing-countries (accessed on 15 October 2025).
- Hott, Christian, and Johannes Regner. 2023. Weather extremes, agriculture and the value of weather index insurance. Geneva Risk and Insurance Review 48: 230–59. [Google Scholar] [CrossRef]
- Jensen, Nathan, and Christopher Barrett. 2017. Agricultural index insurance for development. Applied Economic Perspectives and Policy 39: 199–219. [Google Scholar] [CrossRef]
- Kropko, Jonathan, and Robert Kubinec. 2020. Interpretation and identification of within-unit and cross-sectional variation in panel data models. PLoS ONE 15: e0231349. [Google Scholar] [CrossRef]
- Leblois, Anne, and Philippe Quirion. 2013. Agricultural insurances based on meteorological indices: Realizations, methods and research challenges. Meteorological Applications 20: 1–9. [Google Scholar] [CrossRef]
- Lesk, Courtney, Pedram Rowhani, and Navin Ramankutty. 2016. Influence of extreme weather disasters on global crop production. Nature 529: 84–87. [Google Scholar] [CrossRef]
- Lichtenberg, Erik, and Eva Iglesias. 2022. Index insurance and basis risk: A reconsideration. Journal of Development Economics 158: 102883. [Google Scholar] [CrossRef]
- Lobell, David B., and Christopher B. Field. 2007. Global scale climate–crop yield relationships and the impacts of recent warming. Environmental Research Letters 2: 014002. [Google Scholar] [CrossRef]
- Lopez, Olivier, and Daniel Nkameni. 2025. Index insurance under demand and solvency constraints. arXiv arXiv:2507.18240. [Google Scholar] [CrossRef]
- Louaas, Alexis, and Pierre Picard. 2024. On the Design of Optimal Parametric Insurance. Unpublished Manuscript. Available online: https://hal.science/hal-04511811 (accessed on 12 June 2025).
- Mensah, Nicholas Oppong, Enoch Owusu-Sekyerea, and Cosmos Adjeie. 2023. Revisiting preferences for agricultural insurance policies: Insights from cashew crop insurance development in Ghana. Food Policy 118: 102496. [Google Scholar] [CrossRef]
- Miranda, Mario J. 1991. Area-yield crop insurance reconsidered. American Journal of Agricultural Economics 73: 233–242. [Google Scholar] [CrossRef]
- Miranda, Mario J., and Katie Farrin. 2012. Index insurance for developing countries. Applied Economic Perspectives and Policy 34: 391–427. [Google Scholar] [CrossRef]
- Nguyen, Thuy T., Shahbaz Mushtaq, Jarrod Kath, Thong Nguyen-Huy, and Louis Reymondin. 2025. Satellite-based data for agricultural index insurance: A systematic quantitative literature review. Natural Hazards and Earth System Sciences 25: 913–27. [Google Scholar] [CrossRef]
- Skees, Jerry R. 2008. Innovations in index insurance for the poor in lower income countries. Agricultural and Resource Economics Review 37: 1–15. [Google Scholar] [CrossRef]









| Variable | Mean | Sd | Min | Pctile[25] | Median | Pctile[75] | Max |
|---|---|---|---|---|---|---|---|
| Yield | 61.81 | 12.50 | 21.00 | 53.00 | 62.00 | 70.00 | 98.00 |
| MeanYield | 61.81 | 10.43 | 39.01 | 54.17 | 61.04 | 68.58 | 83.33 |
| DevYield | 0.00 | 11.30 | −38.54 | −8.20 | −1.38 | 6.79 | 47.10 |
| NBJRR10 | 26.97 | 8.64 | 7.20 | 20.50 | 25.60 | 31.70 | 62.00 |
| NBJRR30 | 2.42 | 1.98 | 0.00 | 1.10 | 1.80 | 3.10 | 15.60 |
| NBJTX0 | 4.58 | 5.61 | 0.00 | 0.50 | 2.50 | 6.40 | 32.30 |
| NBJTX25 | 63.06 | 23.44 | 10.00 | 46.87 | 60.55 | 79.90 | 139.60 |
| RR_Aut | 239.91 | 86.92 | 61.40 | 177.57 | 231.40 | 288.50 | 660.70 |
| RR_Spr | 203.53 | 81.33 | 32.40 | 145.95 | 194.25 | 250.70 | 549.60 |
| RR_Sum | 193.10 | 64.65 | 63.60 | 146.07 | 186.20 | 230.10 | 473.90 |
| RR_Win | 240.94 | 86.70 | 70.00 | 181.00 | 228.35 | 291.65 | 743.40 |
| INST_Aut | 409.14 | 77.98 | 0.00 | 355.96 | 405.89 | 463.87 | 698.90 |
| INST_Spr | 574.57 | 102.58 | 0.00 | 510.10 | 580.93 | 639.48 | 831.57 |
| INST_Sum | 726.58 | 109.94 | 0.00 | 651.80 | 721.87 | 801.01 | 1023.70 |
| INST_Win | 244.89 | 72.91 | 0.00 | 196.58 | 235.66 | 281.92 | 625.57 |
| TM_Aut | 12.58 | 1.55 | 7.50 | 11.60 | 12.50 | 13.60 | 17.20 |
| TM_Spr | 10.86 | 1.52 | 5.40 | 9.90 | 11.00 | 11.90 | 14.90 |
| TM_Sum | 19.26 | 1.46 | 15.30 | 18.20 | 19.20 | 20.20 | 24.30 |
| TM_Win | 5.05 | 1.87 | −1.50 | 3.90 | 5.20 | 6.40 | 9.30 |
| Variable | Definition |
|---|---|
| Yield | Annual winter barley production by regions (q/ha). |
| MeanYield | Average winter barley production by regions (q/ha). |
| DevYield | Negative deviation from the regional mean (%). |
| NBJRR10/50 | Number of days in year with cumulative precipitation ≥10 or ≥50 mm. |
| NBJTX0/30 | Number of days in year with maximum temperature ≤0 °C or ≥30 °C. |
| RR_Spr/Sum/Aut/Win | Seasonal cumulative precipitation (mm). |
| INST_Spr/Sum/Aut/Win | Seasonal cumulative sunshine hours. |
| TM_Spr/Sum/Aut/Win | Seasonal mean temperature (°C). |
| Dependent Variable | DevYield | ||
|---|---|---|---|
| Model | (1) | (2) | (3) |
| Year | 0.742 *** | 0.602 *** | 0.839 *** |
| NBJRR10 | – | – | −2.957 *** |
| NBJRR30 | – | – | 2.219 *** |
| NBJTX0 | – | 4.733 *** | – |
| NBJTX25 | – | 3.910 *** | – |
| RR_Spr | 1.188 ** | 3.541 *** | – |
| RR_Sum | −2.573 *** | −0.525 | – |
| RR_Aut | −1.258 *** | −3.212 *** | – |
| RR_Win | −1.287 ** | −1.737 *** | – |
| TM_Spr | 6.140 *** | – | 6.250 *** |
| TM_Sum | −3.932 *** | – | −2.692 *** |
| TM_Aut | −0.335 | – | −1.148 * |
| TM_Win | −5.917 *** | – | −6.969 *** |
| INST_Spr | −2.001 *** | 1.365 ** | −3.175 *** |
| INST_Sum | −0.832 | −3.288 *** | −0.233 |
| INST_Aut | −1.689 *** | −4.055 *** | −1.603 *** |
| INST_Win | 2.384 *** | 1.427 ** | 3.170 *** |
| Observations | 1080 | 1080 | 1080 |
| R2 | 0.302 | 0.226 | 0.285 |
| Dependent Variable | DevYield | ||
|---|---|---|---|
| Model | Baseline | Time-Fixed Effects | Two-Way Fixed Effects |
| Year | 0.742 *** | – | – |
| RR_Spr | 1.188 ** | −0.150 | 0.538 |
| RR_Sum | −2.573 *** | 0.256 | 1.559 *** |
| RR_Aut | −1.258 *** | 0.293 | 0.478 |
| RR_Win | −1.287 ** | −0.721 * | −1.700 *** |
| TM_Spr | 6.140 *** | 5.369 *** | 8.561 *** |
| TM_Sum | −3.932 *** | −1.628 ** | 6.508 *** |
| TM_Aut | −0.335 | −1.492 | −1.739 |
| TM_Win | −5.917 *** | −2.255 *** | −5.479 *** |
| INST_Spr | −2.001 *** | −1.976 *** | −1.863 *** |
| INST_Sum | −0.832 | −1.417 *** | −2.218 *** |
| INST_Aut | −1.689 *** | 1.352 ** | 0.854 |
| INST_Win | 2.384 *** | 0.474 | 0.279 |
| Observations | 1080 | 1080 | 1080 |
| R2 | 0.302 | 0.059 | 0.123 |
| Dependent Variable | DevYield | ||||||||
|---|---|---|---|---|---|---|---|---|---|
| Model | (1) | (2) | (3) | (4) | (5) | (6) | (7) | (8) | (9) |
| Year | 0.256 *** | 0.193 ** | 0.238 *** | 0.370 *** | 0.240 *** | 0.103 | 0.584 *** | 0.248 *** | 0.920 *** |
| RR_Spr | – | 1.612 *** | – | – | – | – | – | – | – |
| RR_Sum | – | – | −0.495 | – | – | – | – | – | – |
| RR_Aut | – | – | – | −2.650 *** | – | – | – | – | – |
| RR_Win | – | – | – | – | −1.966 *** | – | – | – | – |
| TM_Spr | – | – | – | – | – | 4.076 *** | – | – | – |
| TM_Sum | – | – | – | – | – | – | −3.784 *** | – | – |
| TM_Aut | – | – | – | – | – | – | – | 0.132 | – |
| TM_Win | – | – | – | – | – | – | – | – | −8.778 *** |
| Observations | 1080 | 1080 | 1080 | 1080 | 1080 | 1080 | 1080 | 1080 | 1080 |
| R2 | 0.01 | 0.024 | 0.011 | 0.047 | 0.028 | 0.065 | 0.036 | 0.01 | 0.166 |
| In billion euros | |||||||||||
| Year | 2010 | 2011 | 2012 | 2013 | 2014 | 2015 | 2016 | 2017 | 2018 | 2019 | 2020 |
| Gross Premiums | 45.5 | 48.4 | 48.7 | 50.2 | 51.2 | 52.4 | 53.3 | 54.6 | 56.2 | 58.6 | 59.2 |
| Incurred Claims | 34.2 | 33.2 | 35.1 | 35.9 | 36.9 | 36.5 | 38.5 | 39.1 | 39.2 | 42.1 | 42.9 |
| Loss Ratio | 75.2% | 68.6% | 72.1% | 71.5% | 72.1% | 69.8% | 72.3% | 71.7% | 69.7% | 71.9% | 72.5% |
Disclaimer/Publisher’s Note: The statements, opinions and data contained in all publications are solely those of the individual author(s) and contributor(s) and not of MDPI and/or the editor(s). MDPI and/or the editor(s) disclaim responsibility for any injury to people or property resulting from any ideas, methods, instructions or products referred to in the content. |
© 2025 by the authors. Licensee MDPI, Basel, Switzerland. This article is an open access article distributed under the terms and conditions of the Creative Commons Attribution (CC BY) license (https://creativecommons.org/licenses/by/4.0/).
Share and Cite
Dorobantu, D.; Pham, G.H. Optimal Choice of Crop Insurance: The Case of Winter Barley in France. Risks 2025, 13, 244. https://doi.org/10.3390/risks13120244
Dorobantu D, Pham GH. Optimal Choice of Crop Insurance: The Case of Winter Barley in France. Risks. 2025; 13(12):244. https://doi.org/10.3390/risks13120244
Chicago/Turabian StyleDorobantu, Diana, and Gia Hien Pham. 2025. "Optimal Choice of Crop Insurance: The Case of Winter Barley in France" Risks 13, no. 12: 244. https://doi.org/10.3390/risks13120244
APA StyleDorobantu, D., & Pham, G. H. (2025). Optimal Choice of Crop Insurance: The Case of Winter Barley in France. Risks, 13(12), 244. https://doi.org/10.3390/risks13120244

