Next Article in Journal
The Impact of Research and Development Investment on the Performance of Portuguese Companies
Next Article in Special Issue
A Financial Stability Model for Iraqi Companies
Previous Article in Journal
On the Motivations for Purchasing Long-Term Care Insurance: Protecting Bequest and Unreliability of Family Care
Previous Article in Special Issue
Impact of Audit Fees on Earnings Management and Financial Risk: An Analysis of Corporate Finance Practices
 
 
Font Type:
Arial Georgia Verdana
Font Size:
Aa Aa Aa
Line Spacing:
Column Width:
Background:
Article

Mapping the Landscape of Key Performance and Key Risk Indicators in Business: A Comprehensive Bibliometric Analysis

by
Ștefan Ionescu
1,
Gabriel Dumitrescu
2,
Corina Ioanăș
2 and
Camelia Delcea
1,*
1
Department of Economic Informatics and Cybernetics, Bucharest University of Economic Studies, 010552 Bucharest, Romania
2
Department of Accounting and Audit, Bucharest University of Economic Studies, 010552 Bucharest, Romania
*
Author to whom correspondence should be addressed.
Risks 2024, 12(8), 125; https://doi.org/10.3390/risks12080125
Submission received: 22 June 2024 / Revised: 31 July 2024 / Accepted: 2 August 2024 / Published: 6 August 2024
(This article belongs to the Special Issue Financial Analysis, Corporate Finance and Risk Management)

Abstract

Our study investigates the relevance and application of key performance indicators (KPIs) and key risk indicators (KRIs) in business management from 1992 to 2023 through a comprehensive bibliometric analysis performed in RStudio using the Bibliometrix platform and in VOSviewer. Utilizing data from the Web of Science database, we identify trends, key themes, and influential research in this domain, observing an annual growth rate of 17.76%. Our analyses include the top 10 most globally cited documents, word clouds based on authors’ keywords and Keywords Plus, clustering by coupling, co-occurrence networks, and factorial analysis. Our findings reveal a significant increase in research interest post-2004, with sustainability and corporate social responsibility emerging as central themes. We confirm positive correlations between KPIs, improved organizational performance, and effective risk management via KRIs. This research underscores the importance of international collaboration and diverse thematic exploration in advancing the field.

1. Introduction

The ability to successfully manage risks and monitor performance is essential for organizational success in today’s dynamic business climate. The usage of key performance indicators (KPIs) and key risk indicators (KRIs) has grown in importance as enterprises attempt sustainable growth while navigating through uncertainty (Frederico et al. 2020). These indicators support strategic choices that lead to long-term success in addition to assisting with performance evaluation and threat identification.
Performance management is a crucial concept for any economic system, whether we are discussing the microeconomic, mesoeconomic, or macroeconomic levels. While its core function is to measure and manage the performance of an entity such as a business, organization, or industry, the most challenging aspect of performance management is defining it from the perspective of each entity. In other words, the way we measure performance can vary depending on the goals we set and the strategic, tactical, or operational decisions we make. In fact, we can say that performance management aims to build and develop an organization capable of achieving its goals, making good choices, ensuring that the various objectives of the company align with performance indicators.
The recent literature indicates a lack of comprehensive studies exploring the interdependent relationships between KPIs and KRIs in the context of performance and risk management. This study aims to fill this gap by providing a detailed bibliometric analysis of the existing research.
Performance management can also be described and understood from the perspective of three essential characteristics or components. The first person to describe performance management was Anthony (1965), where in his study, he defined management control as “the process by which managers ensure that resources are obtained and used efficiently and effectively in the accomplishment of the organization’s objectives”. This definition practically affirms that performance management is a process, not an isolated act, explicitly referring to the concept of objectives, highlighting the behavioral aspect of performance management. Armstrong (2006), also states that performance management is a systematic process for improving organizational performance by developing the performance of individuals and teams.
Thus, performance management can be seen as a process, a loop that involves iterative learning based on setting core objectives. This approach is similar to a cybernetics approach to business processes, according to Nica and Ionescu (2021). Another perception of performance management is that it can only be understood and applied within an enterprise that has a defined purpose and clear objectives. Another perspective relies on applying incentives to increase the motivation of managers and employees. Mainly, performance management control systems have a monitoring dimension that should implement performance measures based on learning processes or cybernetics control loops and the implementation of strategic objectives and an incentive system.
This iterative approach is essential for developing an organization capable of achieving its objectives and adapting to changes in the business environment. In this context, the role of KPIs and KRIs becomes crucial.
KPIs are essential tools for measuring an organization’s efficiency and effectiveness in achieving its strategic goals. These indicators provide a clear picture of organizational performance and help identify areas needing improvement. For example, KPIs may include metrics such as sales revenue (Van De Ven et al. 2023), customer satisfaction levels (Setijono and Dahlgaard 2007), or product delivery times (Munmun et al. 2023). By monitoring these indicators, organizations can make informed decisions and implement strategies to enhance performance.
On the other hand, KRIs are used to identify and monitor risks that could negatively impact organizational performance. These indicators provide early warning signals, allowing for organizations to take preventive measures to manage risks before they become major issues. Risk can be encountered in any type of business and in any type of environment—e.g., affected or not by different economic, social, or pandemic crises (Santos et al. 2022; Tavares et al. 2023, 2024). For instance, KRIs may include the incidence of cybersecurity breaches (Melançon et al. 2021; Giudici et al. 2024) or rate of attrition of high-value customers (Salamah et al. 2022). Constant monitoring of these risks helps organizations prioritize resources and implement effective mitigation measures.
KRIs and KPIs should not be confused, as both are essential tools for evaluating the performance of the economic system. To successfully use them in business management and decision-making, it is crucial to understand the differences and similarities between KPIs and KRIs. For example, the customer retention rate can be considered a performance indicator (KPIs) aimed at evaluating customer satisfaction and measuring success in maintaining customer loyalty (Valenzuela-Fernández et al. 2016). From a KRI perspective, the rate of losing high-value customers can serve as a risk indicator for identifying and managing the risk of losing valuable customers.
The use of KPIs and KRIs can significantly improve the strategic decision-making process within organizations. By continuously monitoring performance and identifying risks early, managers can make informed decisions that reduce uncertainty and optimize resources to achieve organizational objectives. Additionally, implementing a robust system of KPIs and KRIs allows for organizations to optimize resource utilization and improve operational efficiency. This can lead to reduced operational costs and increased profitability while ensuring a rapid response to potential threats. Continuous monitoring of KPIs and KRIs enables organizations to become more agile and capable of quickly adapting to changes in the business environment. This ability to promptly respond to new challenges and opportunities is essential for maintaining competitiveness in the market.
In this context, integrating KPIs and KRIs is essential for ensuring long-term organizational success. These indicators not only support performance evaluation and risk identification but also facilitate strategic choices that lead to sustainable growth. This research fills a gap in the specialized literature by providing a comprehensive and systematic analysis of key performance and risk indicators in the business context. The use of a bibliometric approach is justified by the need to understand the current research landscape and identify future directions. Given the importance of KPIs and KRIs in performance and risk management, it is essential to understand how these tools are utilized and what their impact on organizations is. Previous studies have highlighted various aspects of these indicators, but there are still gaps in our knowledge. For example, it is not clear whether the use of KPIs is consistently correlated with the improvement in organizational performance or how the implementation of KRIs contributes to reducing operational risks.
To develop our research, we propose the following hypotheses:
H1. 
The specialized literature frequently highlights a correlation between the use of KPIs and the improvement in organizational performance.
H2. 
Existing studies suggest that the implementation of KRIs is associated with a reduction in operational risks in companies.
H3. 
International collaboration in KPIs and KRIs research is correlated with the production of more influential and highly cited studies.
H4. 
The specialized literature indicates that the effective management of a variety of KPIs and KRIs is essential for organizational success and value growth.
To answer this question, we conducted a bibliometric analysis to identify existing studies on business model KPIs and KRIs. The bibliometric approach allows for the analysis of a large volume of specialized literature, identification of research trends, determination of the influence of specific works and researchers, and highlighting of international collaborations. By using bibliometric techniques, we can provide a clear and detailed picture of the evolution of research and identify gaps and future opportunities. Hypothesis H1 explores the impact of KPIs on the overall performance of companies, evaluating whether their use leads to measurable increases in efficiency and effectiveness. The second research hypothesis, H2, analyzes whether the use of KRIs helps companies anticipate and manage risks more efficiently, thereby preventing major issues. Hypothesis H3 examines the impact of international collaboration on the quality and influence of research, suggesting that global partnerships can lead to more robust and recognized results. The final proposed hypothesis, H4, aims to identify the types of KPIs and KRIs most frequently mentioned in the literature and to evaluate their impact on organizational performance and value.
Thus, the primary aim of this study is to map the research landscape of KPIs and KRIs in the business context through a bibliometric analysis. This study aims to identify and evaluate the correlations between the use of KPIs and the improvement of organizational performance, the impact of implementing KRIs on reducing operational risks, the influence of international collaboration on research quality, and the diversity in KPIs and KRIs frequently mentioned in the academic literature, as well as their effective management for organizational success and value growth.
This study primarily focuses on performance and risk indicators at the micro- and mesoeconomic levels. We concentrated on these economic levels, considering that the concept of business is central to the selection of keywords used for database extraction. Thus, our analysis aims to enhance the understanding of how KPIs and KRIs are applied at the organizational and industry levels, without directly focusing on macroeconomic indicators. This approach allows for us to provide more precise and relevant recommendations for performance and risk management in specific business contexts.

2. Literature Review

Organizational success and strategic decision-making in the context of the dynamic and evolving business world make the measurement and analysis of economic system performances a critical component influencing these objectives (Asiaei and Bontis 2019; Tasheva and Nielsen 2022).
The study of KPIs and KRIs has gained significant attention in the field of business management and performance analysis. The main objectives of performance management systems are the identification and monitoring of KPIs (Cruz Villazón et al. 2020). These indicators are critical for organizations to monitor and manage their performance and risk effectively. KPIs are metrics that help organizations understand how well they are achieving their strategic and operational goals, while KRIs provide early warning signals about potential risks that could impact these objectives.
Research in this domain has evolved over the years, with a growing body of literature exploring various aspects of KPIs and KRIs. Early studies focused on defining and categorizing these indicators, establishing their importance in performance management frameworks. As the field increased in maturity, researchers began to investigate the application of KPIs and KRIs in different industries and contexts, examining their impact on organizational performance and risk management.
Recent advancements in technology and data analytics have further expanded the scope of KPI and KRI research. The integration of big data, artificial intelligence, and machine learning techniques has enabled more sophisticated and real-time monitoring of performance and risk. This has led to a more nuanced understanding of how organizations can leverage these indicators to drive decision-making and strategic planning.
Burlea-Schiopoiu and Ferhati (2020) aim to identify specific KPIs for the healthcare system to help propose recommendations for managers and employees in this sector. These recommendations will contribute to the evaluation and monitoring of critical factors that can influence the performance of this sector in Algeria. Khalifa and Khalid (2015), in their study, classify key performance indicators into three levels: operational, tactical, and strategic. Another study conducted by (Braglia et al. 2022) proposes investigating how to design and implement KPIs that can be used to monitor the evolution of core processes that will benefit from Industry 4.0 technologies. Additionally, Gackowiec et al. (2020) consider it essential to identify the most relevant KPIs for the analyzed processes within an organization. Their study emphasizes efficiency indicators adjusted to the needs of the mining industry specific to Industry 4.0.
In the study conducted by (Tseng et al. 2011), the authors develop an integrated approach that includes key risk factors along with management strategy risk. The aim is to facilitate the periodic evaluation of these risk factors and their involvement in the dynamics of business-to-business international internet banking.
Dahal et al. (2024) conducted a bibliometric analysis to address and respond to the gaps observed in the characteristics proposed by performance management systems. Based on their analysis, they concluded that (i) there is a notable increase in the collaborative nature of KPI research; (ii) there is a significant shift towards integrating sustainability and technological advancements into performance parameters; organizations can better understand performance by combining multiple performance perspectives such as internal regulatory frameworks, social effects, and customer satisfaction.
Another study conducted by (Van De Ven et al. 2023) aimed to systematically review the specialized literature to analyze and consolidate the current state of KPIs used in business models. The main findings focused on synthesizing business model-specific KPIs into a catalog structured around the dimensions of the business model. Additionally, Li et al. (2023) reviewed energy flexibility KPIs and open datasets that can be used for testing these KPIs. They concluded that incorporating occupant comfort and the acceptance of reduced comfort in the development of KPIs can provide valuable insights and improve the performance of B2G services.
Regarding the importance of KRIs, Niță et al. (2023) analyzed the impact of preventive measures against cyber fraud, focusing on the implementation of risk indicators and the use of protection mechanisms based on artificial intelligence. They addressed economic and legal perspectives and proposed a method for evaluating the compliance of artificial intelligence tools for cyber fraud prevention and monitoring, and adjusting them based on the evolution of key risk indicators over time. Additionally, F. Liu (2023) presents in his study that the increasing uncertainty in the operations and development of many enterprises due to the new global economic recession leads to the emergence of new risks. Enterprises urgently need more effective methods and approaches for risk management to improve the sensitivity in identifying and responding to risks. Establishing a risk early warning mechanism, especially the construction of a key risk indicator system, can become one of the effective methods to help enterprises respond rapidly to risks.
Lihachev (2024), through his study, emphasizes that the selection of a system of indicators can aid in evaluating the economic efficiency of production industries and in choosing the most efficient investment projects.
The literature review highlights the importance of performance and risk management systems, particularly using KPIs and KRIs, in the context of organizational success and strategic decision-making. The analyzed studies emphasize that the identification and monitoring of these indicators are essential for the effective evaluation and management of organizational performance and risks.

3. Results

3.1. Preliminary Data Analysis

In this section, we provide an initial analysis of the most significant data collected from our bibliometric study on KPIs and KRIs in business. This analysis offers insights into the research landscape, highlighting the active and extensive community of researchers involved in this field. We explore the dynamics and impact of the research, underscoring a clear trend towards collaboration and internationalization. These findings offer a comprehensive view of the current state and future directions of research in KPIs and KRIs, emphasizing the importance of global cooperation in advancing knowledge and practices.
Table 1 provides an overview of the data analyzed in our bibliometric study. Thus, our analysis covers the years 1992–2023, reflecting over three decades of research. The total number of sources used, including journals, books, and other documents, is 760. The total number of documents analyzed is 1395. Additionally, we observe that the annual average growth rate of the number of documents is 17.67% and the average age of the documents is 7.41 years. Furthermore, each document has an average of 18.16 citations, and the total number of references cited in all documents is 58,511. These data indicate growing interest and robust academic production in the analyzed field, with a significant growth rate and a considerable number of citations, suggesting the relevance and influence of research on KPIs and KRIs in business.
Table 2 provides key information about the content of the documents analyzed in our bibliometric study. We observe that the total number of Keywords Plus used in the analyzed articles is 1789. These keywords are generated by databases to enhance searches and better reflect the content of the articles. Additionally, the total number of author’s keywords is 4317. These keywords reflect the main themes and subjects addressed in the articles, offering insight into the points of interest in KPI and KRI research. The large number of Keywords Plus and author’s keywords indicates significant thematic diversity in the studied literature. This suggests a comprehensive approach to topics related to KPIs and KRIs, highlighting the complexity and multidimensionality of research in this field.
Important details regarding the writers of the examined articles are shown in Table 3, as can be seen. There are 4094 authors in all who have contributed to the materials under analysis. This figure indicates the size of the community of active researchers in the subject of business KPIs and KRIs. Only 179 authors can claim to have authored articles. This implies that while there are a lot of collaborations in this sector, there is also a lot of interest in solitary study. The total number of authors as well as the number of single authors in the papers signal a vibrant and varied research community. The existence of both individual and collaborative efforts highlights the complexity and diversity of techniques in the study of KPIs and KRIs and advises a balance between cooperative and independent research.
The data from Table 4 reflect a balance between individual and collaborative research, with a strong emphasis on international collaborations. There are 182 single-authored documents, indicating that while collaboration is prevalent, individual research holds significant importance in the field. On average, each document has 3.15 co-authors, highlighting a high level of collaboration among researchers. Additionally, 23.87% of the documents involve international collaborations. This high percentage underscores the importance of international cooperation in KPI and KRI research. This suggests that the field benefits from a global network of researchers working together to advance knowledge and practices.
Thus, regarding the preliminary analysis of the most important data, we observe that research on KPIs and KRIs in business is characterized by a vast and active community of researchers. All this information provides a complex picture of the dynamics and impact of research in the analyzed field, highlighting a clear trend towards collaboration and internationalization.

3.2. Research Output and Impact Analysis

In this section, we analyze key visualizations to better understand the research landscape for KPIs and KRIs in business. Specifically, we examine the annual scientific production, the average citation per year, and a three-field plot. These analyses provide insights into the evolution, impact, and interconnectedness of research in this domain.
The scientific output for the considered time-period is highlighted with the help of Figure 1. With regard to the number of articles that have been published annually, a slight fluctuation can be observed between 1992 and 2003, but this period contains only a few articles, ranging from 1 in 1992 to 8 in 2002. However, starting from 2004 onwards, significant interest in the subject’s matter took place, making the number of published articles range between 9 in 2004 and 159 in 2023, leading the trend to gradually increase over the years, most notably for the recent ones, registering a growth rate higher than the one in the late 2000s. This exponential growth for the recent years reflects that the researchers are more engaged and interested in the subject.
It can be observed in Figure 2 that, throughout the considered period, there was very high fluctuation in the average citations, ranging from 0.1 to 3.9. From 1992 to 1998, the fluctuation was relatively small. Yet, 1999 registered a first peak in the trend with 3.5 citations, as companies began to think about risk indicators, considering the fact that specialists in the area of economics predicted the recession that was to come in the next year. However, in the following years, from 2000 to 2006, it is evident that interest in key performance indicators and key risk indicators decreased, compared to 1999, but still with fluctuations in this timeframe. Despite that, the year 2007 registered the trend’s second and highest peak, with 3.9 citations, as everyone was expecting the next year’s global economic crisis. For the remaining period, between 2008 and 2023, the number of citations still fluctuated, particularly for year 2011, when the global stock market crashed, and the year 2019, considering the start of the COVID-19 pandemic. Considering the dynamic of the average citations over the years, it is notable that the researchers’ interest in the analyzed field is strongly linked with expected major world events that may impact the global economy.
In Figure 3, we created a three-field plot describing the keywords, countries and Keywords Plus. The plot’s first column shows how the considered keywords are linked to the countries, allowing for us to examine if a balanced distribution exists or if there are certain countries that dominate in a specific field. The second column orients our focus to the countries that are involved in the research, providing information about how each of them is related to the used keywords and Keywords Plus. The third and last column showcases, similarly to the first one, the association between Keywords Plus and the countries of origin, offering insights on how they are distributed.

3.3. Author’s Analysis

According to Figure 4, it is certain that Resinas M. is the most relevant author from the top 20, having the most contributions, with six articles, closely followed by Del-Rio-Ortega A. and Mate A., both of them having published five scientific papers. Among other authors that stand out, with four publications each, there are Loizia P., Ruiz-Cortes A., Singh S., Skouloudis A., Tadic D., Voukkali I., and Zorpas AA.
With regard to the publication date of the scientific papers considered for the analyzed topic, in which only the first 20 most productive authors are taken into consideration, there is no doubt that there is a notable emerging trend, according to Figure 5. More explicitly, this trend is described by the fact that most of the articles were published from the year 2013 onwards.
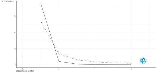
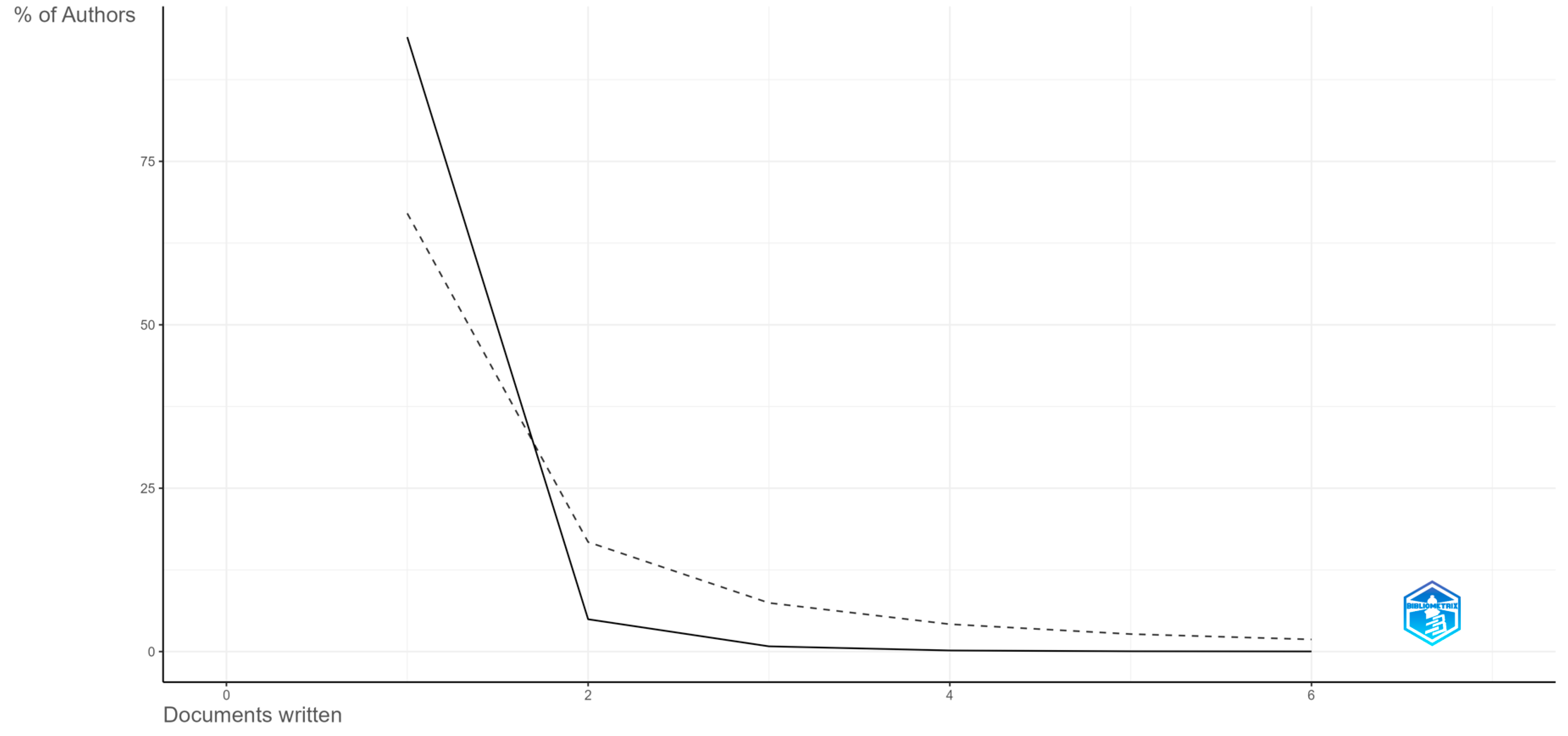
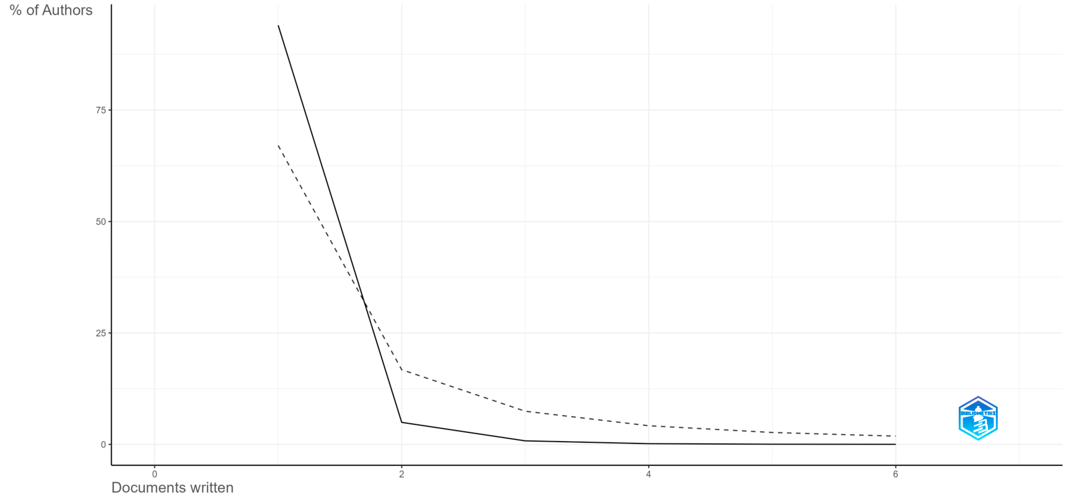
Figure 6 illustrates the distribution of authors’ productivity based on Lotka’s Law, which states that the number of authors publishing n papers is inversely proportional to n2. We observe that 94% of the authors have written only one paper (3857 authors), indicating that the majority of contributors are occasional authors. Then, the vast majority of authors contribute infrequently, writing only one paper. A very small proportion of authors produce multiple papers, reflecting higher effort, specialization, or sustained research activity in the field. This distribution supports Lotka’s Law, demonstrating that prolific authors are rare, while most authors have limited publications.

3.4. Affiliations and Funding Agencies

In this subsection, we analyze the top 20 most relevant affiliations of authors. This analysis puts an emphasis on the institutions and countries that contribute the most to research on KPIs and KRIs. It can help recognize centers of excellence in this field. Additionally, the analysis can show how collaborations are distributed among different countries and institutions, suggesting trends in international collaboration and academic partnerships. Furthermore, identifying institutions that frequently publish in this field can help in assessing the impact and relevance of their research, providing a broader context for the quality and influence of these works. Funding agencies and academic institutions can use these data to direct resources to the areas and institutions with the highest activity and research potential. We also conduct an analysis from a funding perspective.
Table 5 highlights the most relevant affiliations of authors, showing the number of published articles and the countries of origin. We observe that the most prolific contributor is the Ministry of Education and Science of Ukraine with 63 articles, indicating substantial academic interest in Ukraine. Additionally, with 25 articles, the Indian Institute of Technology System (IIT System) ranks second, reflecting significant involvement in KPI and KRI research. Another important contributor is the University of Belgrade in Serbia with 22 articles, demonstrating a strong academic base in Serbia. Furthermore, the Bucharest University of Economic Studies in Romania, with 17 articles, indicates increased interest and notable academic activity in Romania. Other institutions, including universities from Croatia, Spain, Slovakia, Italy, the USA, Australia, Greece, and others, also contribute to this field, underscoring the global and collaborative nature of research on KPIs and KRIs.
Figure 7 highlights the top 20 funding agencies that support research on KPIs and KRIs, showing the number of funded projects. We observe that with 43 funded projects, the European Union is the main supporter of research, reflecting a strong commitment to advancing knowledge in this field. Additionally, the Spanish government has funded 16 projects, indicating significant involvement in KPI and KRI research. The Ministry of Science and Technology Taiwan has supported 11 projects, underscoring the importance of research in Taiwan. Other funding agencies, including those from Australia, Canada, Korea, and others, underscore the global nature of financial support for research. This suggests a vast international commitment to advancing knowledge and practices in the field of KPIs and KRIs.

3.5. Countries Analysis

The first 20 countries with the most remarkable corresponding authors can be seen in Figure 8, which showcases the global distribution with regards to the scientific papers that have been written for the analyzed matter. Based on the below figure, it can be seen that the United States of America is the country with the most corresponding authors, having 112 articles, whereas China and United Kingdom follow closely, with 96 and 93 scientific papers each. This suggests that the aforementioned countries are able to produce a very high level of research output, emphasizing the strong engagement in the academic activities that are linked to the analyzed subject. Yet, countries such as India, Australia, Spain, and Italy are also among the top contributors, considering their number of articles, along with Germany, Russia, and Ukraine. It is worth mentioning that for Canada, even if the number of scientific papers is relatively low when compared to other countries, the rate between main corresponding publications and the total number of articles is rather high, implying that the country is more focused on research that is impactful. The distribution of the corresponding author countries emphasizes the global nature and importance of academic collaboration, highlighting the fact that these are the main catalysts related to the overall expertise in the subject’s matter.
With the help of a visualization map covering all the world’s countries, according to Figure 9, we can easily see the states that have had the highest scientific contribution. In addition to this, the colors follow a certain pattern, ranging from dark blue to gray, basically underscoring the scientific production of each country. Due to a darker color used, the countries with the most contributions can be observed rather easily—countries such as the United States of America, with 241 articles; China, having 203 scientific papers; the United Kingdom, with 189 articles; and Italy and Spain, with a combined 156 publications. Yet, there are also countries that had a low contribution, implicitly a lighter blue or gray color on the visual map, for instance, Argentina, with two scientific papers, or Peru, with three articles.
By examining the global trend with regard to the scientific research, it is visible in Figure 10 that the United States of America and China are the countries with the most citations, being cited 3331 and 3149 times, respectively.

3.6. Sources Analysis

The conducted analysis on the top 20 journals most relevant to the subject matter illustrates the diversification and importance of research among various journals, as can be observed in Figure 11.
The most significant one is Sustainability, with 67 articles, highlighting the significance of KPIs and KRIs in businesses, organizations, and companies with regard to the overall economic state of the countries. Among other noteworthy journals, we find the International Journal of Productivity and Performance Management, with 20 scientific papers; Journal of Cleaner Production, taking into account 16 articles; Benchmarking: An International Journal, with 15 articles; Financial and Credit Activity: Problems of Theory and Practice and the International Journal of Production Economics, each of them having 12 publications; and the Business Process Management Journal and Expert Systems with Applications, each accounting for 11 articles. Therefore, this journal variation indicates that the analyzed topic is a comprehensive one, covering not only the impact that the studied indicators may have on the general economic context within the countries, but also the performance of companies themselves, thus opening the door to more strategic decision-making for implementation within organizations, but only after the business itself chooses the right KPIs and KRIs as measurement units for its performance.

3.7. Document Analysis

In this section, we delve into various analytical methods to understand the research landscape regarding key performance indicators (KPIs) and key risk indicators (KRIs). We present the top 10 most globally cited documents, providing insights into the foundational works in this field. Additionally, we utilize word clouds based on authors’ keywords and Keywords Plus to identify the most frequent terms. Our analysis extends to clustering by coupling, co-occurrence networks, and factorial analysis, revealing the structural relationships and thematic clusters within the research. These comprehensive analyses offer a multifaceted view of the key trends and priorities in the literature on KPIs and KRIs.
Table 6 lists the top 10 most globally cited documents. The analysis of these highly cited documents highlights significant contributions to the specialized literature on KPIs and KRIs. The first document, published by Sun et al. (2007) in the Academy of Management Journal, has the highest total number of citations, indicating major influence. Hanna et al. (2011) in Business Horizons presents the highest annual and normalized citations, reflecting a continuous and robust impact. Overall, the analyzed articles come from renowned journals and cover diverse themes, ranging from financial performance and sustainability to supply chain management and corporate governance. This diversity underscores the relevance and complexity of research on KPIs and KRIs, as well as their importance for various aspects of organizational management. We continue with a qualitative analysis of these articles to observe how performance and risk metrics and indicators are utilized.
With regard to the article published by Sun et al. (2007), service-oriented organizational citizenship behavior was studied in order to reveal how much it can impact the linkage between performant human resource policies and KPIs, the latter taking into account only turnover and productivity. The authors conducted their analysis on hotels in the People’s Republic of China.
For the second research article (Hanna et al. 2011), the authors gave insights about the importance of setting and the right KPIs and how to measure these with regard to the online social media world, for platforms such as YouTube, Twitter, or Facebook, in order for them to reach their target audience—that of young consumers. More than this, the researchers treated this matter by approaching the social media context as a mix of both traditional and digital media, suggesting some best practices for these aforementioned online social platforms to increase the potential range of strategic marketing decisions that can be made with the help of KPIs.
From a critical point of view, Milne and Gray (2013) emphasized in their research the fact that an analysis of life-supporting ecological systems should also be considered when practices of sustainability reporting are being tackled. Therefore, the authors consider that the corporate or organizational level of sustainability may also be described by the level of environmental, social, and economic performance indicators. Yet, nowadays, from their perspective, even if there are diverse benchmarking approaches that should reinforce the sustainability of a business, it seems that these are not enough to also cover the ecological part that seems to be somehow disregarded in this process, thus arguing about the fact that the benchmarking tools should give more credit to the ecological area.
Ceccagnoli et al. (2012) studied how partnerships between enterprise software companies and relatively small companies that act as software vendors (ISVs) impact the latter, with the help of KPIs proving that these kinds of partnerships are beneficial for ISVs. The software vendors’ sales rose considerably, and the partnership offers they received from software enterprises did as well.
López et al. (2007) analyzed how corporate social responsibility (CSR) accounting practices impact business performance, if adopted. The researchers did this by comparing the differences between the KPIs of European organizations that had already adopted some of the CSR practices to those who did not. The authors proved that there was a slight negative impact on the KPIs of companies that adopted CSR practices in comparison to businesses that had not implemented any CSR norms.
Lee et al. (2008) highlighted how important information technology (IT) is in the context of any business, underscoring the way that IT departments can contribute to the strategic goals of organizations. The scientists highlighted the fact that these kinds of technical departments cannot apply their performance measurement from a monetary unit perspective, but rather from four major ones: financial, internal business process, customer, and growth. Therefore, the authors implied that each perspective should have its own set of KPIs, as all these perspectives are different from a performance point of view. Furthermore, the results that the scientists obtained after constructing a model in which any of the abovementioned perspectives was considered separately in order to rightly evaluate the overall performance of the IT departments proved to offer very valuable insights within the department. Therefore, a detailed productivity tree of the department via performance evaluation should provide enough data for the business to consider the right strategy for further development of the department.
By their study, Hermann et al. (2007) provided a tool that can be used by businesses to find out essential information on the environmental impact they have. The authors mentioned that parts of diverse tools, such as environmental performance indicators, multi-criteria analysis, and life cycle assessment were integrated with their solution and environmental performance indicators.
The study published by Franklin-Johnson et al. (2016) proposes a new indicator in order to assess the environmental performance with regard to the circular economy, mentioning that the current methodology is quite cumbersome. This new suggested indicator considers the earned recycled lifetime, initial lifetime, and earned refurbished lifetime, and its management is crucial for the decision-making process, but also for making the right KPI assessment with regard to the circular economy, as per the authors’ mentioning. The researchers also state that the indicator should play a major role on a managerial level as well, not only on an organizational one, thus helping in the measurement that a business decision has against the longevity of materials.
The article published by Varsei et al. (2014) proposes a framework that can be used by the focal companies to assist them in developing supply chains that are sustainable. Therefore, the authors’ framework excels in detecting and assessing a specter of various key performance, economic, and environmental indicators, thus helping the companies achieve a sustainable supply chain. Certainly, this is of utmost need nowadays, as the researchers believe that there is an increasingly tendency for these focal companies to incorporate the assessment and advancement of sustainability with regard to supply chains in the supply chain’s management, pointing out that the companies may otherwise miss out on an overall better estimation of the supply chain’s sustainability.
The aim that Turner and Zolin (2012) had in their paper was to propose a set of critical KPIs in order to help managers who handle big projects give a better prognosis about stakeholder perceptions of success while projects are still ongoing. The researchers mentioned with certainty that some of these projects may be very long-living within an organization, basically increasing the chance that the project’s stakeholders’ definitions of success change over time. Thus, the authors suggested a model that should achieve stakeholder success at any point in the future. The advised model extends the traditional triple constraint that is described by scope, cost, and time, each of them with their own specific KPIs, to also include two KPIs related to the projects’ success and seven KPIs linked to the stakeholders’ satisfaction about the projects. Therefore, the usage of this tool by project managers should provide them with better control over the projects they lead.
Figure 12 presents the word cloud analysis created based on the authors’ keywords, revealing frequently used terms in the specialized literature on KPIs and KRIs, providing valuable insights into the dominant themes and their alignment with our research hypotheses. The central term “key performance indicators” reflects the focus on KPIs as essential tools for measuring and improving organizational performance. Additionally, the appearance of the keyword “sustainability” highlights the importance of sustainability in organizational performance and the alignment of KPIs with sustainable development goals. The keywords “performance”, “performance measurement”, and “performance indicators” reflect major interest in measuring and evaluating performance in various organizational contexts. Furthermore, “business performance”, “business intelligence”, and “benchmarking” emphasize the link between KPIs and business performance, the use of business intelligence, and benchmarking practices for performance evaluation.
Regarding the authors’ keywords relevant to KRIs, we observe “risk management” and “risk”. These terms highlight the importance of identifying and managing risks within organizations. Risk management is essential for protecting and optimizing business operations and emphasizing the role of KRIs in anticipating and mitigating risks. Additionally, the appearance of the keyword “supply chain management” may indicate that managing risks in supply chains is a major concern. KRIs are used to identify risks in the supply chain and implement mitigation measures to ensure continuity and efficiency in operations. Additionally, the concept of “financial performance” is highly relevant to KRIs because financial risks are a crucial part of KRI assessment. These terms underscore the central role of KRIs in identifying, monitoring, and managing risks from various aspects of business, from supply chains to financial performance and corporate governance. These perspectives provide a deeper understanding of how KRIs are integrated into risk management strategies and highlight their relevance in ensuring organizational success.
The word cloud in Figure 13, created based on Keywords Plus, provides valuable insights into the dominant themes and their frequency in the literature related to KPIs and KRIs in business. The most frequent term is “management”, indicating that management is a central topic in discussions about KPIs and KRIs. Additionally, key concepts such as “impact” and “performance” highlight the importance of evaluating effects and performance in the context of using KPIs and KRIs. Keywords like “model” and “framework” reflect the extensive use of models and conceptual frameworks in analyzing and applying KPIs and KRIs. More than this, we observe a high frequency of keywords such as “innovation” and “strategy”. This demonstrates the connection between innovation, strategy, and organizational performance. Significant concern is also highlighted for “sustainability” and “corporate social responsibility”.
Additionally, other keywords found in this word cloud include “decision-making”, “quality”, “satisfaction”, “risk”, and “balanced scorecard”. The keyword “decision-making” is highly relevant to our analysis, as the ability to make informed decisions is essential for organizational success, emphasizing the importance of KPIs and KRIs in the decision-making process. KPIs and KRIs provide data and information that support strategic and tactical decision-making. The keyword “quality” highlights that it is a vital aspect of organizational performance, and the use of KPIs is essential for monitoring and improving the quality of products and services. The keyword “satisfaction” indicates the importance of customer and employee satisfaction in evaluating organizational success through KPIs. Satisfaction KPIs help measure satisfaction levels and identify areas needing improvement. The concept of “risk” is crucial in KRI analysis, underscoring the importance of identifying and managing risks to protect and optimize business operations. The appearance of this keyword in the word cloud reflects the focus on risk evaluation and reduction using specific indicators. Finally, “balanced scorecard” is also a keyword observed in our word cloud. The balanced scorecard is a frequently used strategic methodology to align business activities with the organization’s vision and strategy, and its integration into KPI research indicates a structured and holistic approach to performance management.
The clustering by coupling graph in Figure 14 provides a visualization of clusters based on centrality and impact. On the vertical axis, we have impact, and on the horizontal axis, we have centrality. Each cluster is colored differently and represented by a specific set of dominant keywords. Table 7 presents the values of centrality and impact for each label and formed cluster.
Thus, Cluster 1 (red) focuses on corporate social responsibility and sustainability, with very high impact and moderate centrality, suggesting these themes are essential for KPI and KRI research. Cluster 2 (blue), with a centrality of 0.311 and an impact of 2.725, indicates moderate values, reflecting the importance of performance evaluation and management in the analyzed research. Cluster 3 (green) combines organizational performance with risk and business performance, having relatively high centrality and moderate impact. Cluster 4 (purple) has a high centrality level of 0.439 and high impact, indicating the importance of KPIs and supply chain management. Cluster 5 (orange) has the highest centrality, but a more moderate impact compared to Cluster 4, highlighting the strategic use of these tools. Regarding Cluster 6 (brown), this cluster reflects the importance of business performance and competitive advantage, with moderate centrality and impact. Finally, Cluster 7 (pink) focuses on performance evaluation and benchmarking, with moderate impact and centrality.
Thus, the information in Figure 14 and Table 7 shows how various themes are grouped in KPI and KRI research. The most central and impactful themes are KPIs, balanced scorecard, and supply chain management, highlighting their importance in the organizational context. The clusters illustrate the distribution and relevance of different subjects in the specialized literature, providing a clear picture of research priorities.
The co-occurrence network created in Figure 15 is based on the authors’ keywords reveals the structure and relationships among central themes in KPI and KRI research. Each node represents a keyword, and the clusters indicate thematic groups. The values of centrality and impact provide additional information about the importance and interconnectedness of these terms. We observe that seven clusters were formed, which can be interpreted as follows:
Cluster 1 (red): Key concepts include “performance measurement”, “balanced scorecard”, “benchmarking”, “performance management”, and “supply chain management”. This cluster has medium centrality and high impact and focuses on performance measurement and management methods, including balanced scorecard and supply chain management, emphasizing the importance of these tools in evaluating organizational performance.
Cluster 2 (blue): Includes terms such as “process mining” and “machine learning”. This cluster, with low centrality and moderate impact, reflects the use of advanced technologies such as process mining and machine learning in performance analysis.
Cluster 3 (green): Key concepts such as “key performance indicators”, “performance”, “business performance”, and “business intelligence” are identified in this cluster, which has high centrality and impact. The cluster has a clear focus on KPIs and business intelligence, highlighting the role of KPIs in improving business performance and decision-making.
Cluster 4 (purple): Terms such as “sustainability”, “performance indicators”, “corporate social responsibility”, and “innovation” are present in this cluster. It is centered on sustainability and corporate social responsibility, indicating concern for the social and environmental impact of organizations, having medium centrality but high impact.
Cluster 5 (orange): With medium centrality and low impact, this classification includes terms such as “big data” and “data mining”, reflecting their use in performance analysis and risk management.
Cluster 6 (brown): Includes terms such as “COVID-19” and “risk”. It has both low centrality and impact, highlighting the recent concern for risk management in the context of the COVID-19 pandemic (Munmun et al. 2023).
Cluster 7 (pink): Includes the concept of “business process management” and has medium centrality and moderate impact. The cluster emphasizes the importance of managing business processes for improving organizational performance.
The co-occurrence network shows how various themes are interconnected in KPI and KRI research. The most central and impactful themes include performance measurement, balanced scorecard, KPIs, and sustainability, highlighting the importance of these aspects in the organizational context. The clusters show the distribution and relevance of different subjects in the specialized literature, providing a clear picture of research priorities.
The factorial analysis in Figure 16 shows how various themes are interconnected and grouped in the research on KPIs and KRIs. Additionally, the factorial analysis of the authors’ keywords highlights the structure and relationships among the different research themes regarding KPIs and KRIs. In this case, using the multiple correspondence analysis (MCA) method, five clusters were formed as follows:
Cluster 1 (red) includes keywords such as “key performance indicators”, “performance”, “performance measurement”, “business process management”, “business performance”, “firm performance”, “business intelligence”, etc. This cluster comprises essential terms for performance measurement and management. The positioning of the terms in Dim1 and Dim2 shows that they are closely related to organizational performance evaluation and the use of management tools.
Cluster 2 (blue) groups keywords such as “financial performance”, “sustainability”, and “performance indicator”. This cluster is focused on sustainability and financial performance, highlighting the importance of integrating sustainable development goals into organizational performance.
Cluster 3 (green) groups keywords like “benchmarking”, “supply chain management”, “environmental management”, etc. This cluster concentrates on supply chain management and benchmarking, indicating performance comparison practices and efficient supply chain management.
Cluster 4 (purple) includes keywords such as “corporate social responsibility”, “competitiveness”, and “corporate governance”. This cluster focuses on corporate social responsibility and corporate governance, reflecting concerns about social impact and business competitiveness.
Cluster 5 (orange) groups key terms such as “innovation”, “management”, “productivity”, and “entrepreneurship”, highlighting innovation, management, and productivity, and emphasizing the importance of innovation and entrepreneurship in organizational performance.
Thus, we observe that the most prominent themes include performance measurement, sustainability, supply chain management, and corporate social responsibility, underscoring the importance of these aspects in the organizational context.
Figure 17 is a map created in VOSviewer that highlights the most relevant key concepts.
VOSviewer identified 999 relevant key concepts and automatically calculated a relevance score for each term, reflecting its importance in the context of the scientific articles analyzed in our study. Of all the identified terms, the top 60% of most relevant terms were selected based on their calculated relevance scores. This selection was made to focus the analysis on the terms that are most significant and contribute most meaningfully to the understanding of the research domain. Thus, the created map visualizes the structure and relationships among the essential terms, highlighting crucial themes, topics, and connections within the analyzed articles.
The keyword map from Figure 17 generated 12 clusters as follows:
Cluster 1: Technological Integration and AI in business processes—This cluster, with 154 keywords, includes keywords such as “accuracy”, “artificial intelligence”, “business process management”, “customer service”, “digitalization”, “enterprise performance”, “IoT”, “machine learning”, and “predictive model”. These terms highlight the increasing integration of advanced technologies and analytics in enhancing business processes and performance. This cluster underlines the role of digital transformation and smart technologies in optimizing KPIs, suggesting a trend towards more data-driven and technology-enabled business strategies.
Cluster 2: Business Environment and Competitive Strategies—Cluster 2, with 92 keywords, features terms like “agricultural enterprise”, “auditor”, “business incubator”, “competitive environment”, “digital transformation”, “economic development”, and “strategic management”. This cluster indicates the importance of external economic factors and competitive dynamics in shaping business strategies and performance metrics. It underscores the necessity for businesses to adapt to economic changes and competitive pressures through strategic management and innovation.
Cluster 3: Industrial and Educational Performance—This cluster includes 73 keywords such as “construction industry”, “economic performance”, “education”, and “human factor”. The focus here is on the performance metrics specific to different industries and sectors. The inclusion of terms related to education and human factors highlights the role of human capital and industry-specific knowledge in driving performance.
Cluster 4: Business Intelligence and Strategic Planning—Cluster 4, with 65 keywords, contains terms like “agility”, “balanced scorecard”, “business intelligence”, “cloud computing”, and “strategic planning”. This cluster points to the strategic tools and methodologies used in measuring and enhancing business performance. It highlights the use of balanced scorecards and business intelligence as essential tools in strategic planning and decision-making.
Cluster 5: Environmental Performance and Sustainability—This cluster, containing 50 keywords, includes terms such as “circular economy”, “environmental performance”, “energy efficiency”, and “social impact”. It underscores the growing underline on sustainability and social responsibility in business performance metrics. This cluster reflects how environmental and social factors are becoming integral to the evaluation of business performance.
Cluster 6: Business success and quality management—With 38 keywords, this cluster features terms like “DEA (Data Envelopment Analysis)”, “business success”, “Confirmatory Factor Analysis”, and “quality management system”. It indicates a focus on quality management and success metrics in various industries, particularly in the hotel industry. This cluster points to the use of sophisticated analytical methods to assess and improve business success and quality.
Cluster 7: Financial Health and Risk Management—Cluster 7 includes 33 keywords such as “accounting”, “capital”, “financial distress”, “financial ratio”, “ICT investment”, and “intellectual capital”. This cluster highlights the financial metrics and risk factors that are critical to business performance. It emphasizes the importance of financial health, investment in information and communication technologies, and intellectual capital in achieving business success.
Cluster 8: Corporate Responsibility and Reporting—Featuring terms like “annual report”, “content analysis”, “corporate social responsibility”, “regulator”, and “sustainability performance”, this cluster underscores the importance of corporate governance, regulatory compliance, and social responsibility in business performance. It highlights the role of transparency and accountability in achieving sustainable business success.
Cluster 9: Innovation and Training—This cluster includes terms such as “conceptual framework”, “innovation performance”, “sales performance”, “training”, and “skill”. It underlines the role of innovation, skills development, and training in driving business performance. This cluster suggests that continuous improvement and innovation are key to maintaining a competitive advantage.
Cluster 10: Risk Indicators and Economic Crises—With significant terms like “business risk”, “credit risk”, “economic crisis”, “financial risk”, “firm performance”, “operational risk”, “risk management”, and “risk indicator”, this cluster highlights the critical importance of identifying, assessing, and managing risks in business. It underscores the various types of risks that can impact firm performance and the necessity of robust risk management strategies.
Cluster 11: Value Creation and Stability—This smaller cluster, with 15 keywords, includes terms like “car company”, “further development”, “value creation”, and “stability”. It focuses on the industrial sector and the factors contributing to business stability and value creation.
Cluster 12: Market and Economic Conditions—Containing six keywords, namely, “climate risk”, “economic condition”, “market value”, “nation”, “price”, and “regression analysis”, this cluster emphasizes the broader economic conditions and market factors that influence business performance and risk.
In order to validate the clusters formed and the trends resulting from the previous analyses, Table 8 was created, in which several works that support the analytical trends were extracted and reviewed. These references support the clusters identified in our bibliometric analysis, providing a comprehensive understanding of the key performance and risk indicators in business contexts.

4. Discussion

In this section, a discussion regarding the research hypothesis is provided, along with a brief comparison in terms of scientific production, authors’ keywords, and most cited papers of a dataset extracted from the Scopus database using the same extraction keywords.

4.1. Discussion on Research Hypotheses

This section focuses on discussing the research hypotheses proposed in our study on KPIs and KRIs in business. Through bibliometric analysis and various visualization methods, we gained valuable insights into the research landscape and the ways these concepts are applied and studied in the literature. We analyze each hypothesis in turn to highlight the main findings and their implications for organizational management and business policies. KRIs play an important role in risk management by providing early warning signs of potential threats. These indicators help organizations anticipate and mitigate risks before they escalate, ensuring the continuity and stability of operations. For instance, KRIs can be used to monitor financial health, supply chain vulnerabilities, and compliance risks, allowing for proactive risk management strategies. In the financial sector, the use of KRIs such as liquidity ratios and market volatility indicators has enabled firms to maintain financial stability during economic downturns. Similarly, in the manufacturing industry, monitoring KRIs related to supplier reliability and production downtime has helped companies mitigate supply chain disruptions. Integrating KPIs and KRIs into a unified performance and risk management system allows for organizations to achieve a comprehensive view of their operations. While KPIs focus on tracking and improving performance metrics such as sales growth and operational efficiency, KRIs provide insights into potential risks that could hinder these performance goals. For example, an organization might use KPIs to measure customer satisfaction and delivery times, while simultaneously monitoring KRIs related to cybersecurity threats and regulatory compliance to ensure uninterrupted service and adherence to legal standards.
Regarding hypothesis H1, which proposed the investigation of a positive correlation between the use of KPIs and the improvement of organizational performance, several results from our bibliometric analysis validated this correlation. The exponential growth in scientific production from 2004 to 2023 indicates increased interest in using KPIs, suggesting a positive correlation with organizational performance. Additionally, the analysis of highly cited documents and keywords shows continuous interest in performance measurement and management (e.g., “key performance indicators”, “performance”, “business performance”). This indicates that the use of KPIs is crucial for improving organizational performance, supporting hypothesis H1. Furthermore, the word clouds highlight key terms such as “performance”, “efficiency”, and “impact”, supporting H1 and suggesting that the use of KPIs is essential for improving organizational performance. Essential concepts such as “key performance indicators”, “performance”, “performance measurement”, and “business performance” further support the hypothesis that the use of KPIs is positively correlated with improving organizational performance.
Hypothesis H2 proposed that the implementation of KRIs significantly contributes to reducing operational risks. This hypothesis is also validated, with the observation that KRIs are often documented and used in a broad sense as part of risk management. The fluctuation in citations during economic crises (2007, 2011, and 2019) indicates increased interest in KRIs for anticipating and managing risks, validating H2. Additionally, terms such as “risk management” and “risk”, identified in the co-occurrence analysis, factorial analysis, and word clouds, highlight the importance of identifying and managing risks within organizations. The cluster including these terms emphasizes the role of KRIs in anticipating and mitigating risks, supporting hypothesis H2.
Hypothesis H3 posited that international collaboration in KPI and KRI research is correlated with producing more influential and highly cited studies. This hypothesis is validated by our results. The analysis of affiliations and funding agencies shows extensive international collaboration, with institutions from various countries significantly contributing to research. For example, the Ministry of Education and Science of Ukraine and the Indian Institute of Technology reflect strong international collaboration. This indicates that global partnerships can lead to more robust and recognized results, supporting H3. The analysis of international collaboration networks shows strong collaboration, with the USA, China, and the UK being research leaders, reflecting the influence of global collaboration on research quality. Word clouds highlight terms such as innovation, big data, and integration, suggesting the importance of collaboration and integration in research, supporting hypothesis H3 regarding international collaboration and its impact.
Finally, hypothesis H4 suggests that the diversity in KPIs and KRIs and their effective management contribute to organizational success. The tree field plot and cluster analysis highlights the diversity in research themes and the use of KPIs and KRIs in various contexts, underscoring their importance for organizational success. Additionally, the analysis of keywords, clustering, and co-occurrence networks shows the thematic diversity in research related to KPIs and KRIs (e.g., “sustainability”, “corporate social responsibility”, “supply chain management”, “circular economy”). These themes are essential for organizational success, supporting hypothesis H4.
In order to emphasize the previous conclusions, an empirical analysis was also carried out based on analysis developed in VOSviewer that highlighted 12 main clusters of key concepts related to KPIs and KRIs. Each cluster is supported by empirical references that demonstrate the validity and relevance of our conclusions. For example, Cluster 1, which includes terms such as artificial intelligence and business process management, is supported by studies showing how these technologies improve the efficiency and accuracy of decisions (Davenport and Rajeev 2018; Chen et al. 2022; Jawad and Balázs 2024). Similarly, Cluster 5, which focuses on environmental performance and the circular economy, is supported by work highlighting the positive impact of sustainable practices on organizational performance (Geissdoerfer et al. 2017; Marrucci et al. 2024).
Our detailed analysis supports all four hypotheses, highlighting the importance of KPIs and KRIs in improving organizational performance, reducing risks, fostering international collaboration, and thematic diversity. These conclusions underscore the relevance and complexity of research in KPIs and KRIs, providing a solid foundation for understanding how these tools are used to ensure organizational success and value.
From our perspective, policy implications could include recommendations for establishing common standards and practices in the use of KPIs and KRIs across different industries. Additionally, our study emphasizes the importance of integrating these tools into organizational strategies to support informed decision-making and efficient risk management. The findings can guide the development of public policies by highlighting the benefits of using KPIs and KRIs in the contexts of sustainability, social responsibility, and operational efficiency. Moreover, this study can influence future research directions by encouraging further exploration of the interdependencies between these indicators in various industrial and cultural contexts.

4.2. Brief Comparison with Scopus Extracted Dataset

Using the methodology described in Section 5, we extracted a dataset from the Scopus database to provide a brief comparison between it and the previously obtained dataset. The purpose of this comparison is to determine whether relevant information might differ when using the WoS database compared to Scopus in this specific context.
First, in terms of extracted papers, as can be observed from Table 9, there is a difference of 559 papers. It shall be noted that for the papers’ extraction from Scopus database we have used the same keywords as in the case of the papers extracted using WoS database. The “*” placed at the end of the keyword indicates that any ending is possible for the search keyword—e.g., the use of the “risk_indicator*” keyword will search for both “risk indicator” and “risk indicators” keywords. Also, it shall be noted that “_” used in the search keyword will return only the papers in which both words between which the “_” is used are subsequent in the text—e.g., not separated by another word or one/more phrase/s.
As the quality of a research article highly depends on missing information, we performed a data quality check for the dataset extracted from the Scopus database and compared it with the one provided in Section 5 for the dataset extracted from WoS. The results of the data quality check in the case of the two datasets are presented in Table 10. In Table 10, the categories in which the extracted information is excellent are marked in green, the categories in which the information is good are in light green, the categories considered acceptable from the point of view of extracted information are in yellow, poor information is marked in yellow, and categories with completely missing information are marked in red. It should be noted that the data quality check was performed using Biblioshiny software 4.3.0.
As can be observed from Table 10, the data quality check revealed that both datasets show excellent data quality for most metadata fields, including author (AU), document type (DT), journal (SO), language (LA), publication year (PY), title (TI), total citation (TC), and abstract (AB), with no missing data. However, significant discrepancies exist in other fields:
  • Science Categories (SC): Completely missing in the Scopus dataset, whereas the WoS dataset is complete.
  • Corresponding Author (RP): The WoS dataset has a 0.86% missing rate (good), while the Scopus dataset has a 28.77% missing rate (poor).
  • Cited References (CR): The WoS dataset has a 0.93% missing rate (good), but the Scopus dataset is completely missing this data.
  • Affiliation (C1): The WoS dataset has a 0.93% missing rate (good), compared to a 2.44% missing rate (good) for the Scopus dataset.
  • Keywords (DE): The WoS dataset has a 9.75% missing rate (good), while the Scopus dataset has a 12.65% missing rate (acceptable).
  • DOI (DI): The WoS dataset has a 10.68% missing rate (acceptable), slightly better than the Scopus dataset with a 13.53% missing rate (acceptable).
In conclusion, while both datasets maintain excellent quality in several core fields, the Scopus dataset shows notable deficiencies in science categories, corresponding author, and cited references compared to the WoS dataset. This observation supports our initial decision to conduct the analysis in the present paper by using only the WoS database.
In the following, we present some results obtained through the use of the Scopus extracted dataset and compare the results with the ones obtained through the use of the WoS dataset.
First, in terms of annual scientific production—as presented in Figure 18—the same trend can be observed as in Figure 1, with the only difference represented by the inclusion of publications starting from 1986, rather than from 1992 as in the case of the WoS extracted dataset.
Second, in terms of the most relevant sources, the journal Sustainability (Switzerland) ranks first in both databases, with 65 publications in Scopus and 67 publications in WoS. The International Journal of Productivity and Performance Management holds second place in both Scopus and WoS, with 21 articles in each. This consistency indicates that the differences between the two databases are not significant enough to impact our results for the analyzed topic.
Furthermore, in Figure 19, we present a word cloud based on the authors’ keywords from the Scopus database. The results obtained from the WoS database are similarly aligned, with “key performance indicators” being the central concept. Other prominent keywords include “performance measurement,” “sustainability,” “balanced scorecard,” and “corporate social responsibility.”
Lastly, in Table 11, we present the top 7 most cited documents based on Scopus data. The ranking matches the one derived from the WoS source. The key difference is that the articles have more citations in Scopus, although the order remains the same.
Based on the above observations, it can be stated that similar trends are uncovered when using the Scopus database and WoS database for the field of key performance and risk indicators in Business.

5. Research Methodology

5.1. Conducting Bibliometric Analysis Using RStudio and VOSviewer

R is a programming language used for statistical computing and graphics, and RStudio is its integrated development environment (IDE). It offers a user-friendly interface that makes R more powerful and accessible to statisticians, data scientists, and academics (Hair et al. 2021).
A fundamental tool for data-driven research and decision-making, RStudio is excellent for data analysis, statistical testing, and data visualization. It is useful in many applications, from business analytics to academic research, thanks to its large package ecosystem and vibrant community (Gromping 2015).
Through comprehensive data visualization and reporting features, researchers may use RStudio to ensure repeatability, expedite workflow, and improve the impact and clarity of their findings.
Developed by Aria and Cuccurullo (2017), the Bibliometrix package in RStudio is an open-source tool used for quantitative and bibliometric research encompassing multiple analysis methods. Bibliometric analysis is considered a complex method applicable in any research area or discipline (Briner and Denyer 2012; Guler et al. 2016; Delcea et al. 2024), involving numerous complex stages. Several specialists recommend a workflow for scientific research analyses (Cobo et al. 2011; Zupic and Čater 2015), which includes five stages:
i.
Study design, which may involve the narrative description of research hypotheses;
ii.
Data collection using databases such as Scopus and Web of Science;
iii.
Analysis of the extracted data;
iv.
The use of specific techniques or tools for data visualization;
v.
Interpretation of the results.
In our bibliometric study, we address the five stages to conduct a bibliometric analysis on scientific research in the field of KPI and KRI usage in business.
In Figure 20, a methodological diagram illustrating the data selection process and the stages of bibliometric analysis used in this study is presented. This approach aids in visualizing how the data were selected and processed, facilitating understanding of the analytical process employed in our study.
Initially developed in 2010 (Meng et al. 2020), VOSviewer 1.6.20 is a software solution that allows for the creation of maps based on input data extracted from data sources such as Web of Science (WoS), useful for bibliometric analysis. Elements in these networks can be linked by co-authorship, co-appearance, citation, bibliographic, or co-citation links (Martins et al. 2022).
Bibliometric analysis is an essential tool for evaluating and understanding the academic literature in a specific field (Delcea et al. 2023; Ionescu et al. 2024). By using bibliometric techniques, researchers can identify research trends, collaborations between authors and institutions, and the influence of certain works or authors in the field (Nica et al. 2024a). This type of analysis helps map the research landscape, highlighting emerging themes and knowledge gaps (Nica et al. 2024b). In our study, bibliometric analysis allows for us to discover research trends in the use of KPIs and KRIs in business, showing the evolution of academic and practical interest. Additionally, by identifying the most cited works and authors, we can determine the impact and influence of certain studies on the field, providing a framework for evaluating research quality and relevance. Moreover, the Bibliometrix platform enables us to conduct co-authorship and international collaboration network analyses, helping visualize research partnerships and highlighting cooperation between different institutions and countries. Another perspective we explore is the identification of emerging research themes. Through keyword co-occurrence, we can identify emerging research topics, offering insights into future study directions in the use of KPIs and KRIs. Thus, the results obtained from the bibliometric analysis can provide a solid basis for making informed decisions regarding research and development directions in the field of KPIs and KRIs.

5.2. Data Collection

In our study, we used the Web of Science (WoS) database of scientific publications to collect the data for analysis on the Bibliometrix platform using the biblioshiny () library in RStudio. Although there are multiple data sources from which we can collect scientific research, such as Scopus, Crossref, or Dimensions, we decided to use the Web of Science platform because it has over 18 million documents, according to Visser et al. (2021). Although it is known that Scopus generally covers a larger database of scientific articles than WoS, this coverage varies greatly depending on the field of study (Thelwall et al. 2015; Mongeon and Paul-Hus 2016; Visser et al. 2021). For example, in Pranckutė’s study (Pranckutė 2021), it was demonstrated that Scopus covers up to 99% of nursing journals that are also identified in WoS, whereas other studies focused on computer sciences cover only 63% of the documents retrieved by WoS and identified in Scopus (Bar-Ilan 2018). Moreover, to make an objective choice of the input data source, using the same queries, we extracted the database from Scopus to ensure that the results obtained from WoS are not skewed. It was observed that for our analyzed field, there were no significant differences, with both WoS and Scopus yielding the same results. Additionally, in the data quality stage, several criteria contain more missing data in Scopus than in WoS. This aspect cannot be generalized to any bibliometric research but only to our analyzed topic or other cases already identified in the scientific literature.
Regarding the dataset extraction, it is important to note that the WoS platform provides personalized access to data based on subscription. Consequently, as observed by (Liu 2019) and (F. Liu 2023), the results of bibliometric analysis are significantly influenced by the user’s access to the ten indexes available on WoS. In this context, the authors recommend that bibliometric studies clearly specify the access levels users had to the WoS indexes (Liu 2019; F. Liu 2023).
The choice of the WoS platform is justified by its extensive coverage of a wide range of disciplines and its strong reputation within the scientific community, as highlighted in the literature (Cobo et al. 2015; Mulet-Forteza et al. 2018; Modak et al. 2019). Moreover, WoS is one of the few platforms that support data reading by both Bibliometrix and VOSviewer for datasets extracted based on the search criteria.
The first stage of the proposed five-step bibliometric analysis was conducted in the Introduction Section by defining four research hypotheses. The second stage involves data collection, as described in this subsection. Based on the established research hypotheses and the primary aim of our study, we selected the keywords “risk_indicator*”, “performance_indicator*”, and “business” for extracting scientific articles, with the asterisk “*” allowing for both singular and plural forms.
Within the WoS platform, using these keywords, we conducted the seven steps/queries described in Table 12.
In the first step, we searched for all scientific documents containing either the keyword “risk_indicator*” or “performance_indicator*” correlated with scientific articles that also contain the word “business” in the title. Thus, Query #1 extracted 64 scientific documents. In the second step, we performed the same query but for abstracts. Query #2 returned 2457 scientific documents. In Query #3, we conducted the same search but focused on keywords, resulting in 231 documents. For Query #4, we used the “OR” operator to include all documents containing the keywords in the title, abstract, or keywords, resulting in 2602 scientific articles. The next query, #5, aimed to exclude all documents written in languages other than English, retaining only English-written articles. The English language is recognized as one of the most spoken international languages, facilitating the exchange of knowledge and collaboration among researchers from different countries. Bibliometric analysis requires a standardized approach to ensure data comparability and consistency. Translating articles from other languages would have been a complex process and could have introduced the risk of errors and ambiguities in interpreting the results. This query returned 2473 documents. Another criterion, Query #6, aimed to keep only scientific articles, resulting in 1489 documents. The final query, #7, excluded all articles from the year 2024, as they would not capture the full year’s results or the scientific evolution of the last year. Thus, the analysis retained 1395 scientific documents.

5.3. Quality Assessment of Bibliographic Data

In this stage of our analysis, we evaluated the completeness of various bibliographic metadata fields to ensure the quality and reliability of our dataset. This step is crucial, as it helps identify any gaps or missing information that could impact the accuracy and comprehensiveness of our bibliometric analysis (Delcea et al. 2023; Domenteanu et al. 2023; Sandu et al. 2024).
Table 13 evaluates the completeness of various bibliographic metadata fields in the dataset analyzed using Bibliometrix. We observe that the fields author (AU), document type (DT), journal (SO), language (LA), publication year (PY), science categories (SC), title (TI), total citations (TC), and abstract (AB) have no missing values, indicating complete and excellent-quality data. Good completeness with less than 1% missing is observed for corresponding author (RP) with 12 missing records, cited references (CR) with 13 missing records, and affiliation (C1) also with 13 missing observations. Additionally, for 149 records, DOI (DI) was not identified, indicating acceptable completeness. The metadata are mostly complete for the majority of fields, indicating good data quality for bibliometric analysis. However, the DOI field has significant gaps that may require attention to ensure comprehensive analysis.

6. Conclusions

The study of key performance indicators (KPIs) and key risk indicators (KRIs) in business holds major relevance in the current context of organizational management. KPIs and KRIs are essential tools that help organizations monitor and improve performance, manage risks, and make informed decisions. In a world characterized by economic uncertainty and rapid changes, the ability to efficiently use these tools can determine an organization’s long-term success. Our research contributes to a deeper understanding of how KPIs and KRIs can be implemented and managed to achieve strategic objectives and ensure organizational sustainability and competitiveness. Our bibliometric analysis revealed several key conclusions regarding the research landscape on KPIs and KRIs in business. Highly cited studies, such as those by Sun et al. (2007) and Hanna et al. (2011), emphasize the importance of KPIs in various organizational contexts, from human resource management to social media marketing. The frequent observations of the term’s “sustainability” and “corporate social responsibility” in keywords indicate a growing concern for sustainability and the social impact of businesses. Clustering and co-occurrence network analysis highlighted that central themes include performance measurement, supply chain management, and corporate social responsibility. The clusters demonstrate the thematic diversity and relevance of these subjects in the specialized literature, indicating current research priorities.
Our results indicate that sustainability should be promoted. Considering the growing significance of the topic in both practice and research (Van De Ven et al. 2023), organizations should incorporate KPIs related to sustainability and corporate social responsibility into their strategic planning to ensure a sustained positive impact. Additionally, implementing and monitoring KRIs should be a priority (Mouatassim and Ibenrissoul 2015) to efficiently anticipate and manage operational risks. Moreover, promoting international research partnerships can lead to more robust and influential results, as evidenced in our analysis. Also, our findings confirm the initial hypotheses, demonstrating a positive correlation between the use of KPIs and the improvement of organizational performance, as well as the significant contribution of KRIs to reducing operational risks. The data support the hypothesis that international collaboration in KPI and KRI research leads to more influential studies. Furthermore, the effective management of a variety of KPIs and KRIs is important for organizational success and value growth. Based on the findings, we recommend that companies integrate both KPIs and KRIs into their management systems to improve performance and proactively manage risks. Researchers should further explore the interdependencies between these indicators to develop more robust models. Additionally, future research should focus not only on qualitative analysis but also on exploring the impact of KPIs and KRIs across various industries and cultural contexts. Comparative studies between industries could provide valuable insights.
Regarding the limitations of our research, although the bibliometric analysis provides valuable information and a detailed holistic perspective, an extended qualitative analysis could further enhance our understanding of research themes, especially regarding KRIs. Another potential limitation could be the dependence on specific data sources (e.g., WoS, Scopus) in bibliometric analysis, and that the effectiveness of Bibliometrix may vary depending on the comprehensiveness and quality of data obtained from these sources. Excluding certain databases or non-indexed publications could limit the coverage and representativeness of bibliometric analyses. Therefore, another direction for future research could focus on conducting a comprehensive analysis by combining multiple specific databases.
Organizations can use the findings of this study to enhance their strategic decision-making processes through the efficient implementation of key performance indicators and key risk indicators. Our study demonstrates that the use of KPIs is positively associated with improving organizational performance, while KRIs play an important role in operational risk management by early identification of potential threats. Organizations should integrate these tools into their management systems to gain a comprehensive view of operations and facilitate informed decision-making. Implementing KPIs for performance measurement and simultaneous monitoring of KRIs for risk management ensures organizational success in a dynamic and fluctuating business environment.

Author Contributions

Conceptualization, C.D.; Data curation, G.D.; Formal analysis, Ș.I., G.D., C.I. and C.D.; Investigation, Ș.I., G.D. and C.I.; Methodology, Ș.I. and C.D.; Project administration, C.D.; Resources, C.I. and C.D.; Software, Ș.I.; Supervision, C.D.; Validation, Ș.I., G.D. and C.I.; Visualization, G.D., C.I. and C.D.; Writing—original draft, Ș.I.; Writing—review and editing, G.D., C.I. and C.D. All authors have read and agreed to the published version of the manuscript.

Funding

The work was supported by a grant of the Romanian Ministry of Research and Innovation, project CNFIS-FDI-2024-F-0302—“Development and adaptation of collaborative processes in excellence research conducted at BUES, in the context of modern challenges brought by Open Science and Artificial Intelligence (eXROS)”. This work was also supported by a grant from the Bucharest University of Economic Studies through the project “Analysis of the Economic Recovery and Resilience Process in Romania in the Context of Sustainable Development”, contract number: 1353/10.06.2024.

Data Availability Statement

Data are included within this paper.

Conflicts of Interest

The authors declare no conflicts of interest.

References

  1. Anthony, Robert Newton. 1965. Planning and Control Systems: A Framework for Analysis. Cambridge: Division of Research, Graduate School of Business Administration, Harvard University. [Google Scholar]
  2. Aria, Massimo, and Corrado Cuccurullo. 2017. Bibliometrix: An R-Tool for Comprehensive Science Mapping Analysis. Journal of Informetrics 11: 959–75. [Google Scholar] [CrossRef]
  3. Armstrong, Michael. 2006. Performance Management: Key Strategies and Practical Guidelines. London: Kogan Place. [Google Scholar]
  4. Asiaei, Kaveh, and Nick Bontis. 2019. Translating Knowledge Management into Performance: The Role of Performance Measurement Systems. Management Research Review 43: 113–32. [Google Scholar] [CrossRef]
  5. Bar-Ilan, Judit. 2018. Tale of Three Databases: The Implication of Coverage Demonstrated for a Sample Query. Frontiers in Research Metrics and Analytics 3: 6. [Google Scholar] [CrossRef]
  6. Braglia, Marcello, Roberto Gabbrielli, Leonardo Marrazzini, and Luca Padellini. 2022. Key Performance Indicators and Industry 4.0—A Structured Approach for Monitoring the Implementation of Digital Technologies. Procedia Computer Science 200: 1626–35. [Google Scholar] [CrossRef]
  7. Briner, Rob B., and David Denyer. 2012. Systematic Review and Evidence Synthesis as a Practice and Scholarship Tool. In The Oxford Handbook of Evidence-Based Management, 1st ed. Edited by Denise M. Rousseau. Oxford: Oxford University Press, pp. 112–29. [Google Scholar] [CrossRef]
  8. Brühl, Volker. 2023. The Green Asset Ratio (GAR): A New Key Performance Indicator for Credit Institutions. Eurasian Economic Review 13: 57–83. [Google Scholar] [CrossRef]
  9. Burlea-Schiopoiu, Adriana, and Koudoua Ferhati. 2020. The Managerial Implications of the Key Performance Indicators in Healthcare Sector: A Cluster Analysis. Healthcare 9: 19. [Google Scholar] [CrossRef] [PubMed]
  10. Ceccagnoli, Marco, Chris Forman, Peng Huang, and D. J. Wu. 2012. Co-Creation of Value in a Platform Ecosystem: The Case of Enterprise Software. MIS Quarterly 36: 263–90. [Google Scholar] [CrossRef]
  11. Cernisevs, Olegs, Yelena Popova, and Dmitrijs Cernisevs. 2023. Risk-Based Approach for Selecting Company Key Performance Indicator in an Example of Financial Services. Informatics 10: 54. [Google Scholar] [CrossRef]
  12. Chen, Yili, Congdong Li, and Han Wang. 2022. Big Data and Predictive Analytics for Business Intelligence: A Bibliographic Study (2000–2021). Forecasting 4: 767–86. [Google Scholar] [CrossRef]
  13. Cobo, M. J., A. G. López-Herrera, E. Herrera-Viedma, and F. Herrera. 2011. Science Mapping Software Tools: Review, Analysis, and Cooperative Study among Tools. Journal of the American Society for Information Science and Technology 62: 1382–402. [Google Scholar] [CrossRef]
  14. Cobo, M. J., M. A. Martínez, M. Gutiérrez-Salcedo, H. Fujita, and E. Herrera-Viedma. 2015. 25years at Knowledge-Based Systems: A Bibliometric Analysis. Knowledge-Based Systems 80: 3–13. [Google Scholar] [CrossRef]
  15. Cruz Villazón, Carolina, Leonardo Sastoque Pinilla, José Ramón Otegi Olaso, Nerea Toledo Gandarias, and Norberto López De Lacalle. 2020. Identification of Key Performance Indicators in Project-Based Organisations through the Lean Approach. Sustainability 12: 5977. [Google Scholar] [CrossRef]
  16. Dahal, Rewan Kumar, Dipendra Karki, Binod Ghimire, Rajesh Gurung, and Surendra Prasad Joshi. 2024. Direction of Business Performance Metrics: A Bibliometric and Thematic Review. Available online: https://www.researchgate.net/profile/Rewan-Dahal/publication/380104254_Direction_of_Business_Performance_Metrics_A_Bibliometric_and_Thematic_Review/links/662b4a4d08aa54017ac17490/Direction-of-Business-Performance-Metrics-A-Bibliometric-and-Thematic-Review.pdf (accessed on 8 April 2024).
  17. Damanpour, Fariborz, and Deepa Aravind. 2012. Organizational Structure and Innovation Revisited. In Handbook of Organizational Creativity. Amsterdam: Elsevier, pp. 483–513. [Google Scholar] [CrossRef]
  18. Davenport, Thomas, and Ronanki Rajeev. 2018. Artificial Intelligence for the Real World. Harvard Business Review. Available online: https://hbr.org/2018/01/artificial-intelligence-for-the-real-world (accessed on 8 April 2024).
  19. Delcea, Camelia, Saad Ahmed Javed, Margareta-Stela Florescu, Corina Ioanas, and Liviu-Adrian Cotfas. 2023. 35 Years of Grey System Theory in Economics and Education. Kybernetes. ahead-of-print. [Google Scholar] [CrossRef]
  20. Delcea, Camelia, Simona-Vasilica Oprea, Adrian Domenteanu, Adela Bara, and Liviu-Adrian Cotfas. 2024. Insights from Scientific Publications on Energy Communities. Under Journal Review. [Google Scholar]
  21. Deverell, Edward, and Adrian Ganic. 2024. Crisis and Performance: A Contingency Approach to Performance Indicators. International Journal of Disaster Risk Reduction 105: 104417. [Google Scholar] [CrossRef]
  22. Domenteanu, Adrian, Camelia Delcea, Nora Chiriță, and Corina Ioanăș. 2023. From Data to Insights: A Bibliometric Assessment of Agent-Based Modeling Applications in Transportation. Applied Sciences 13: 12693. [Google Scholar] [CrossRef]
  23. Eccles, Robert, Michael Krzus, and Sydney Ribot. 2014. The Integrated Reporting Movement: Meaning, Momentum, Motives, and Materiality. New York: Wiley. [Google Scholar]
  24. Elyasiani, Elyas, and Jingyi (Jane) Jia. 2019. Relative Performance and Systemic Risk Contributions of Small and Large Banks during the Financial Crisis. The Quarterly Review of Economics and Finance 74: 220–41. [Google Scholar] [CrossRef]
  25. Ennis, Kay, and Denis Harrington. 1999. Quality Management in Irish Health Care. International Journal of Health Care Quality Assurance 12: 232–44. [Google Scholar] [CrossRef]
  26. Filho, Pedro Cezar Saccol, Julio Cezar Mairesse Siluk, Cláudia De Freitas Michelin, Paula Donaduzzi Rigo, Alvaro Luiz Neuenfeldt Júnior, Carmen Brum Rosa, and Wesley Vieira Da Silva. 2023. A Measurement Tool for the Competitiveness of Startups’ Innovation Ecosystem. Journal of the Knowledge Economy 2023: 1–28. [Google Scholar] [CrossRef]
  27. Franklin-Johnson, Elizabeth, Frank Figge, and Louise Canning. 2016. Resource Duration as a Managerial Indicator for Circular Economy Performance. Journal of Cleaner Production 133: 589–98. [Google Scholar] [CrossRef]
  28. Frederico, Guilherme Francisco, Jose Arturo Garza-Reyes, Anil Kumar, and Vikas Kumar. 2020. Performance Measurement for Supply Chains in the Industry 4.0 Era: A Balanced Scorecard Approach. International Journal of Productivity and Performance Management 70: 789–807. [Google Scholar] [CrossRef]
  29. Gackowiec, Paulina, Marta Podobińska-Staniec, Edyta Brzychczy, Christopher Kühlbach, and Toyga Özver. 2020. Review of Key Performance Indicators for Process Monitoring in the Mining Industry. Energies 13: 5169. [Google Scholar] [CrossRef]
  30. Geissdoerfer, Martin, Paulo Savaget, Nancy M. P. Bocken, and Erik Jan Hultink. 2017. The Circular Economy—A New Sustainability Paradigm? Journal of Cleaner Production 143: 757–68. [Google Scholar] [CrossRef]
  31. Giudici, Paolo, Mattia Centurelli, and Stefano Turchetta. 2024. Artificial Intelligence Risk Measurement. Expert Systems with Applications 235: 121220. [Google Scholar] [CrossRef]
  32. Gromping, Ulrike. 2015. Using R and RStudio for Data Management, Statistical Analysis and Graphics (2nd Edition). Journal of Statistical Software 68. [Google Scholar] [CrossRef]
  33. Guler, Arzu Tugce, Cathelijn J. F. Waaijer, and Magnus Palmblad. 2016. Scientific Workflows for Bibliometrics. Scientometrics 107: 385–98. [Google Scholar] [CrossRef]
  34. Hair, Joseph F., G. Tomas M. Hult, Christian M. Ringle, Marko Sarstedt, Nicholas P. Danks, and Soumya Ray. 2021. Overview of R and RStudio. In Partial Least Squares Structural Equation Modeling (PLS-SEM) Using R. Edited by Joseph F. Hair, G. Tomas M. Hult, Christian M. Ringle, Marko Sarstedt, Nicholas P. Danks and Soumya Ray. Classroom Companion: Business. Cham: Springer International Publishing, pp. 31–47. [Google Scholar] [CrossRef]
  35. Hanna, Richard, Andrew Rohm, and Victoria L. Crittenden. 2011. We’re All Connected: The Power of the Social Media Ecosystem. Business Horizons 54: 265–73. [Google Scholar] [CrossRef]
  36. Hermann, B. G., C. Kroeze, and W. Jawjit. 2007. Assessing Environmental Performance by Combining Life Cycle Assessment, Multi-Criteria Analysis and Environmental Performance Indicators. Journal of Cleaner Production 15: 1787–96. [Google Scholar] [CrossRef]
  37. Hess, Thomas, Christian Matt, Alexander Benlian, and Florian Wiesböck. 2020. Options for Formulating a Digital Transformation Strategy, 5th ed. New York: Routledge. [Google Scholar]
  38. Ionescu, Ștefan, Camelia Delcea, Nora Chiriță, and Ionuț Nica. 2024. Exploring the Use of Artificial Intelligence in Agent-Based Modeling Applications: A Bibliometric Study. Algorithms 17: 21. [Google Scholar] [CrossRef]
  39. Jawad, Zainab Nadhim, and Villányi Balázs. 2024. Machine Learning-Driven Optimization of Enterprise Resource Planning (ERP) Systems: A Comprehensive Review. Beni-Suef University Journal of Basic and Applied Sciences 13: 4. [Google Scholar] [CrossRef]
  40. Kaplan, Robert, and David Norton. 1996. The Balanced Scorecard: Translating Strategy into Action. Boston: Harvard Business School Press. [Google Scholar]
  41. Kavadis, Nikolaos, Niels Hermes, Jana Oehmichen, Alessandro Zattoni, and Stav Fainshmidt. 2024. Sustainable Value Creation in Multinational Enterprises: The Role of Corporate Governance Actors. Journal of World Business 59: 101503. [Google Scholar] [CrossRef]
  42. Khalifa, Mohamed, and Parwaiz Khalid. 2015. Developing Strategic Health Care Key Performance Indicators: A Case Study on a Tertiary Care Hospital. In Proceedings of the 5th International Conference on Current and Future Trends of Information and Communication Technologies in Healthcare (ICTH 2015). Procedia Computer Science 63: 459–66. [Google Scholar] [CrossRef]
  43. Lee, Amy H. I., Wen-Chin Chen, and Ching-Jan Chang. 2008. A Fuzzy AHP and BSC Approach for Evaluating Performance of IT Department in the Manufacturing Industry in Taiwan. Expert Systems with Applications 34: 96–107. [Google Scholar] [CrossRef]
  44. Li, Han, Hicham Johra, Flavia De Andrade Pereira, Tianzhen Hong, Jérôme Le Dréau, Anthony Maturo, Mingjun Wei, Yapan Liu, Ali Saberi-Derakhtenjani, Zoltan Nagy, and et al. 2023. Data-Driven Key Performance Indicators and Datasets for Building Energy Flexibility: A Review and Perspectives. Applied Energy 343: 121217. [Google Scholar] [CrossRef]
  45. Lihachev, V. N. 2024. Comparative analysis of key indicators to assess production efficiency. Social’no-Ekonomiceskoe Upravlenie: Teoria i Praktika 20: 47–60. [Google Scholar] [CrossRef]
  46. Liu, Fang. 2023. Retrieval Strategy and Possible Explanations for the Abnormal Growth of Research Publications: Re-Evaluating a Bibliometric Analysis of Climate Change. Scientometrics 128: 853–59. [Google Scholar] [CrossRef]
  47. Liu, Weishu. 2019. The Data Source of This Study Is Web of Science Core Collection? Not Enough. Scientometrics 121: 1815–24. [Google Scholar] [CrossRef]
  48. López, M. Victoria, Arminda Garcia, and Lazaro Rodriguez. 2007. Sustainable Development and Corporate Performance: A Study Based on the Dow Jones Sustainability Index. Journal of Business Ethics 75: 285–300. [Google Scholar] [CrossRef]
  49. Marrucci, Luca, Tiberio Daddi, and Fabio Iraldo. 2024. Creating Environmental Performance Indicators to Assess Corporate Sustainability and Reward Employees. Ecological Indicators 158: 111489. [Google Scholar] [CrossRef]
  50. Martins, José, Ramiro Gonçalves, and Frederico Branco. 2022. A Bibliometric Analysis and Visualization of E-Learning Adoption Using VOSviewer. Universal Access in the Information Society 2022: 1–15. [Google Scholar] [CrossRef]
  51. McCullough, Brian P., and Galen T. Trail. 2023. Assessing Key Performance Indicators of Corporate Social Responsibility Initiatives in Sport. European Sport Management Quarterly 23: 82–103. [Google Scholar] [CrossRef]
  52. Melançon, Gabrielle Gauthier, Philippe Grangier, Eric Prescott-Gagnon, Emmanuel Sabourin, and Louis-Martin Rousseau. 2021. A Machine Learning-Based System for Predicting Service-Level Failures in Supply Chains. INFORMS Journal on Applied Analytics 51: 200–12. [Google Scholar] [CrossRef]
  53. Meng, Lingchao, Kuo-Hsun Wen, Richard Brewin, and Qiong Wu. 2020. Knowledge Atlas on the Relationship between Urban Street Space and Residents’ Health—A Bibliometric Analysis Based on VOSviewer and CiteSpace. Sustainability 12: 2384. [Google Scholar] [CrossRef]
  54. Milne, Markus J., and Rob Gray. 2013. W(h)Ither Ecology? The Triple Bottom Line, the Global Reporting Initiative, and Corporate Sustainability Reporting. Journal of Business Ethics 118: 13–29. [Google Scholar] [CrossRef]
  55. Modak, Nikunja M., José M. Merigó, Richard Weber, Felipe Manzor, and Juan De Dios Ortúzar. 2019. Fifty Years of Transportation Research Journals: A Bibliometric Overview. Transportation Research Part A: Policy and Practice 120: 188–223. [Google Scholar] [CrossRef]
  56. Mongeon, Philippe, and Adèle Paul-Hus. 2016. The Journal Coverage of Web of Science and Scopus: A Comparative Analysis. Scientometrics 106: 213–28. [Google Scholar] [CrossRef]
  57. Mouatassim, Hajar, and Abdelmajid Ibenrissoul. 2015. Proposal for an Implementation Methodology of Key Risk Indicators System: Case of Investment Management Process in Moroccan Asset Management Company. Journal of Financial Risk Management 4: 187–205. [Google Scholar] [CrossRef][Green Version]
  58. Mulet-Forteza, Carles, Onofre Martorell-Cunill, José M. Merigó, Juanabel Genovart-Balaguer, and Emilio Mauleon-Mendez. 2018. Twenty Five Years of the Journal of Travel & Tourism Marketing: A Bibliometric Ranking. Journal of Travel & Tourism Marketing 35: 1201–21. [Google Scholar] [CrossRef]
  59. Munmun, Sajneen Akter, Md. Abdul Moktadir, Sunil Tiwari, Mohammad Zoynul Abedin, and Charbel Jose Chiappetta Jabbour. 2023. Investigation of Key Performance Indicators for Performance Management of the Manufacturing Industry in the Era of the COVID-19 Pandemic. Annals of Operations Research 2023: 1–44. [Google Scholar] [CrossRef]
  60. Nica, Ionuț, and Ștefan Ionescu. 2021. Business Analysis and Measurement of Enterprise Performance: Digital Transformation of Economic Systems from a Holistic Business Perspective. Chisinau: Lambert Academic Publishing. [Google Scholar]
  61. Nica, Ionuț, Camelia Delcea, and Nora Chiriță. 2024a. Mathematical Patterns in Fuzzy Logic and Artificial Intelligence for Financial Analysis: A Bibliometric Study. Mathematics 12: 782. [Google Scholar] [CrossRef]
  62. Nica, Ionuț, Camelia Delcea, Nora Chiriță, and Ștefan Ionescu. 2024b. Quantifying Impact, Uncovering Trends: A Comprehensive Bibliometric Analysis of Shadow Banking and Financial Contagion Dynamics. International Journal of Financial Studies 12: 25. [Google Scholar] [CrossRef]
  63. Niță, Gabriel, Larisa Găbudeanu, Cosmin Constantin Cernaeanu, Gabriel Mărgărit Raicu, and Mircea Constantin Șcheau. 2023. Artificial Intelligence and Key Risk Indicators in Cyber Frauds Prevention. Journal of Financial and Monetary Economics, Centre of Financial and Monetary Research “Victor Slavescu” 11: 92–111. [Google Scholar]
  64. Pindyck, Robert S. 2013. Climate Change Policy: What Do the Models Tell Us. Journal of Economic Literature 51: 860–72. [Google Scholar] [CrossRef]
  65. Pranckutė, Raminta. 2021. Web of Science (WoS) and Scopus: The Titans of Bibliographic Information in Today’s Academic World. Publications 9: 12. [Google Scholar] [CrossRef]
  66. Qiao, Wanzhen, Yanbing Ju, Peiwu Dong, and Robert L.K. Tiong. 2024. How to Realize Value Creation of Digital Transformation? A System Dynamics Model. Expert Systems with Applications 244: 122667. [Google Scholar] [CrossRef]
  67. Salamah, Anas A., Shahizan Hassan, Ali Aljaafreh, Walaa A. Zabadi, Mohammad Ali AlQudah, Naeem Hayat, Abdullah Al Mamun, and Thavamaran Kanesan. 2022. Customer Retention through Service Quality and Satisfaction: Using Hybrid SEM-Neural Network Analysis Approach. Heliyon 8: e10570. [Google Scholar] [CrossRef]
  68. Sandu, Andra, Liviu-Adrian Cotfas, Aurelia Stănescu, and Camelia Delcea. 2024. Guiding Urban Decision-Making: A Study on Recommender Systems in Smart Cities. Electronics 13: 2151. [Google Scholar] [CrossRef]
  69. Santos, Eulalia, Vasco Tavares, Fernando Oliveira Tavares, and Vanessa Ratten. 2022. How Is Risk Different in Family and Non-Family Businesses? A Comparative Statistical Analysis during the COVID-19 Pandemic. Journal of Family Business Management 12: 1113–30. [Google Scholar] [CrossRef]
  70. Setijono, Djoko, and Jens J. Dahlgaard. 2007. Customer Value as a Key Performance Indicator (KPI) and a Key Improvement Indicator (KII). Measuring Business Excellence 11: 44–61. [Google Scholar] [CrossRef]
  71. Silva, Carlos Santos, Diana Vieira Fernandes, Ricardo Gomes, Francisco Pires Costa, Ligia Pinto, Sabrina Scuri, Andre Brito, Baltazar Nunes, and Susana Pereira Silva. 2024. CLIMAEXTREMO: A New Risk Indicator for the Health Risk to Building Occupants during Extreme Weather Events in Portugal. Sustainability 16: 5171. [Google Scholar] [CrossRef]
  72. Sun, Li-Yun, Samuel Aryee, and Kenneth S. Law. 2007. High-Performance Human Resource Practices, Citizenship Behavior, and Organizational Performance: A Relational Perspective. Academy of Management Journal 50: 558–77. [Google Scholar] [CrossRef]
  73. Tambare, Parkash, Chandrashekhar Meshram, Cheng-Chi Lee, Rakesh Jagdish Ramteke, and Agbotiname Lucky Imoize. 2021. Performance Measurement System and Quality Management in Data-Driven Industry 4.0: A Review. Sensors 22: 224. [Google Scholar] [CrossRef] [PubMed]
  74. Tasheva, Sabina, and Bo Bernhard Nielsen. 2022. The Role of Global Dynamic Managerial Capability in the Pursuit of International Strategy and Superior Performance. Journal of International Business Studies 53: 689–708. [Google Scholar] [CrossRef]
  75. Tavares, Fernando, Eulália Santos, Mafalda Venâncio de Vasconcelos, and Vasco Capela Tavares. 2023. A Statistical Analysis of Companies’ Financing Strategies in Portugal during the COVID-19 Pandemic. Journal of Risk and Financial Management 16: 116. [Google Scholar] [CrossRef]
  76. Tavares, Fernando, Eulália Santos, Margarida Freitas Oliveira, and Luís Almeida. 2024. Determinants of Corporate Indebtedness in Portugal: An Analysis of Financial Behaviour Clusters. Risks 12: 91. [Google Scholar] [CrossRef]
  77. Teece, David J. 2018. Business Models and Dynamic Capabilities. Long Range Planning 51: 40–49. [Google Scholar] [CrossRef]
  78. Thelwall, Mike, Kayvan Kousha, Paul Wouters, Ludo Waltman, Sarah De Rijcke, Alex Rushforth, and Thomas Franssen. 2015. The Metric Tide: Literature Review. Bristol: HEFCE. [Google Scholar] [CrossRef]
  79. Tseng, Shu-Feng, Chien-Chih Yu, and Chun-Hao Chiang. 2011. Developing Key Risk Indicators for B2B International Internet Banking: A RM-BSC Approach. NCCU Academic Hub. Available online: https://ah.lib.nccu.edu.tw/item?item_id=53334 (accessed on 8 April 2024).
  80. Turner, Rodney, and Roxanne Zolin. 2012. Forecasting Success on Large Projects: Developing Reliable Scales to Predict Multiple Perspectives by Multiple Stakeholders over Multiple Time Frames. Project Management Journal 43: 87–99. [Google Scholar] [CrossRef]
  81. Marginson, Simon. 2016. The Dream Is Over: The Crisis of Clark Kerr’s California Idea of Higher Education. Berkeley: University of California Press. [Google Scholar] [CrossRef]
  82. Valenzuela-Fernández, Leslier, Carolina Nicolas, Jaime Gil-Lafuente, and José M. Merigó. 2016. Fuzzy Indicators for Customer Retention. International Journal of Engineering Business Management 8: 184797901667052. [Google Scholar] [CrossRef]
  83. Van De Ven, Montijn, Paola Lara Machado, Alexia Athanasopoulou, Banu Aysolmaz, and Oktay Turetken. 2023. Key Performance Indicators for Business Models: A Systematic Review and Catalog. Information Systems and E-Business Management 21: 753–94. [Google Scholar] [CrossRef]
  84. Varsei, Mohsen, Claudine Soosay, Behnam Fahimnia, and Joseph Sarkis. 2014. Framing Sustainability Performance of Supply Chains with Multidimensional Indicators. Edited by Dr Stefan Schaltegger, Prof Roger Burritt. Supply Chain Management: An International Journal 19: 242–57. [Google Scholar] [CrossRef]
  85. Visser, Martijn, Nees Jan Van Eck, and Ludo Waltman. 2021. Large-Scale Comparison of Bibliographic Data Sources: Scopus, Web of Science, Dimensions, Crossref, and Microsoft Academic. Quantitative Science Studies 2: 20–41. [Google Scholar] [CrossRef]
  86. Wixom, Barbara, and Hugh Watson. 2010. The BI-Based Organization. International Journal of Business Intelligence Research 1: 13–28. [Google Scholar] [CrossRef]
  87. Zupic, Ivan, and Tomaž Čater. 2015. Bibliometric Methods in Management and Organization. Organizational Research Methods 18: 429–72. [Google Scholar] [CrossRef]
Figure 1. Annual scientific production.
Figure 1. Annual scientific production.
Risks 12 00125 g001
Figure 2. Average citations per year.
Figure 2. Average citations per year.
Risks 12 00125 g002
Figure 3. Three-field plot.
Figure 3. Three-field plot.
Risks 12 00125 g003
Figure 4. The most relevant 20 authors according to the total number of scientific publications.
Figure 4. The most relevant 20 authors according to the total number of scientific publications.
Risks 12 00125 g004
Figure 5. Top 20 authors’ production over time.
Figure 5. Top 20 authors’ production over time.
Risks 12 00125 g005
Figure 6. Author productivity through Lotka’s Law.
Figure 6. Author productivity through Lotka’s Law.
Risks 12 00125 g006
Figure 7. Top 20 funding agencies.
Figure 7. Top 20 funding agencies.
Risks 12 00125 g007
Figure 8. Global distribution of corresponding authors’ countries.
Figure 8. Global distribution of corresponding authors’ countries.
Risks 12 00125 g008
Figure 9. Corresponding authors’ countries.
Figure 9. Corresponding authors’ countries.
Risks 12 00125 g009
Figure 10. Top 20 most cited countries.
Figure 10. Top 20 most cited countries.
Risks 12 00125 g010
Figure 11. Top 20 most relevant sources.
Figure 11. Top 20 most relevant sources.
Risks 12 00125 g011
Figure 12. Word cloud based on authors’ keywords.
Figure 12. Word cloud based on authors’ keywords.
Risks 12 00125 g012
Figure 13. Word cloud based on Keywords Plus.
Figure 13. Word cloud based on Keywords Plus.
Risks 12 00125 g013
Figure 14. Clusterization by document coupling (coupling by references, global impact, cluster labels, and author keywords).
Figure 14. Clusterization by document coupling (coupling by references, global impact, cluster labels, and author keywords).
Risks 12 00125 g014
Figure 15. Co-occurrence network by authors’ keywords.
Figure 15. Co-occurrence network by authors’ keywords.
Risks 12 00125 g015
Figure 16. Factorial analysis.
Figure 16. Factorial analysis.
Risks 12 00125 g016
Figure 17. VOSviewer map of the most relevant key concepts.
Figure 17. VOSviewer map of the most relevant key concepts.
Risks 12 00125 g017
Figure 18. Annual scientific production (Scopus).
Figure 18. Annual scientific production (Scopus).
Risks 12 00125 g018
Figure 19. Word cloud based on authors’ keywords—Scopus database.
Figure 19. Word cloud based on authors’ keywords—Scopus database.
Risks 12 00125 g019
Figure 20. Methodological flow.
Figure 20. Methodological flow.
Risks 12 00125 g020
Table 1. Main information.
Table 1. Main information.
Main Information about DataResults WoS
Timespan1992:2023
Sources (journals, books, etc.)760
Documents1395
Annual growth rate (%)17.67
Document average age7.41
Average citations per doc18.16
References58,511
Table 2. Document contents.
Table 2. Document contents.
Main Information about DocumentsResults WoS
Keywords Plus1789
Author’s keywords4317
Table 3. Authors.
Table 3. Authors.
Main Information about AuthorsResults WoS
Authors4094
Authors of single-authored docs179
Table 4. Authors collaboration.
Table 4. Authors collaboration.
Main Information about AuthorsResults WoS
Single-authored docs182
Co-authors per doc3.15
International co-authorships (%)23.87
Table 5. Top 20 most relevant affiliations according to the number of articles published.
Table 5. Top 20 most relevant affiliations according to the number of articles published.
AffiliationNo. of ArticlesCountry
Ministry of Education and Science of Ukraine63Ukraine
Indian Institute of Technology System (IIT System)25India
University of Belgrade22Republic of Serbia
Bucharest University of Economic Studies17Romania
National Institute of Technology (NIT System)15India
Egyptian Knowledge Bank15Egypt
University of Zagreb14Croatia
University of Sevilla13Spain
Technical University Kosice13Slovakia
Indian Institute of Technology (IIT)—Delhi12India
Sapienza University Rome12Italy
State University System of Florida12United States of America
Melbourne Genomics Health Alliance11Australia
University of Aegean11Greece
Indian Institute of Management (IIM System)10India
Loughborough University10United Kingdom
Delft University of Technology9Netherlands
Monash University9Australia
Sakarya University9Turkey
Universidade Federal De Santa Catarina (UFSC)9Brazil
Table 6. Top 10 most cited documents globally.
Table 6. Top 10 most cited documents globally.
First Author, Year, Journal, ReferencesTotal CitationsTotal Citation (TC) per YearNormalized TC
Sun LY., 2007, Academy of Management Journal, (Sun et al. 2007)95653.1113.42
Hanna R., 2011, Business Horizons, (Hanna et al. 2011)78355.9321.67
Milne M.J., 2013, Journal of Business Ethics, (Milne and Gray 2013)60850.6723.22
Ceccagnoli M., 2012, MIS Quarterly, (Ceccagnoli et al. 2012)44534.2310.88
López M.V., 2007, Journal of Business Ethics, (López et al. 2007)44024.226.18
Lee A.H.I., 2008, Expert Systems with Applications, (Lee et al. 2008)36621.5311.32
Hermann B.G., 2007, Journal of Cleaner Production, (Hermann et al. 2007)23713.173.33
Franking-Johnson E., 2016, Journal of Cleaner Production, (Franklin-Johnson et al. 2016)22525.0013.27
Varsei M., 2014, Supply Chain Management, (Varsei et al. 2014)22020.007.57
Turner R., 2012, Project Management Journal, (Turner and Zolin 2012)21916.855.35
Table 7. Clusters based on coupling map analysis.
Table 7. Clusters based on coupling map analysis.
LabelClusterFreqCentralityImpact
corporate social responsibility—conf 70% sustainability—conf 26.7% financial performance—conf 60%1—red210.3074.290
performance—conf 30% performance measurement—conf 21.4% performance management—conf 21.4%2—blue330.3112.725
organizational performance—conf 40% risk—conf 40% business performance—conf 18.2%3—green140.3732.201
key performance indicators—conf 26.9% performance measurement—conf 25% supply chain management—conf 41.7%4—purple440.4393.305
balanced scorecard—conf 69% key performance indicators—conf 53.8% performance measurement—conf 35.7%5—orange910.4752.575
business performance—conf 36.4% competitive advantage—conf 66.7% dynamic capabilities—conf 100%6—brown210.3572.519
balanced scorecard—conf 17.2% performance measurement—conf 14.3% benchmarking—conf 42.9%7—pink260.3082.044
Table 8. Empirical analysis for key findings on KPIs and KRIs.
Table 8. Empirical analysis for key findings on KPIs and KRIs.
ClusterKeywordsEmpirical FindingsReferences
Business process and technological integrationAccuracy, artificial intelligence (AI), business process management, machine learning (ML)AI and ML improve business process efficiency and decision-making accuracy. (Davenport and Rajeev 2018; Chen et al. 2022; Jawad and Balázs 2024)
Business environment and competitive strategiesAuditor, competitive environment, digital transformation, strategic managementStrategic management and digital transformation are important for competitiveness in various environments.(Teece 2018; Hess et al. 2020)
Industrial and educational performanceConstruction industry, economic performance, educationImproved construction processes and educational advancements enhance economic performance.(Marginson 2016)
Business intelligence and strategic planningBalanced scorecard, business intelligence, strategy mapBalanced scorecard and BI systems are vital for strategic planning and performance measurement.(Kaplan and Norton 1996; Wixom and Watson 2010)
Environmental performance and sustainabilityCircular economy, environmental performance, social impactCircular economy principles and sustainability initiatives significantly improve environmental performance.(Geissdoerfer et al. 2017; Marrucci et al. 2024)
Business success and quality managementBusiness success, confirmatory factor analysis, hotel industryQuality management systems and confirmatory factor analysis are crucial for achieving business success in the hospitality sector.(Ennis and Harrington 1999; Tambare et al. 2021)
Financial health and risk managementAccounting, financial distress, risk managementFinancial ratios and risk management frameworks help mitigate financial distress and manage business risks.(Brühl 2023; Cernisevs et al. 2023)
Corporate responsibility and reportingAnnual report, corporate social responsibility, sustainability performanceCorporate social responsibility (CSR) practices and integrated reporting enhance sustainability performance and stakeholder trust.(Eccles et al. 2014; McCullough and Trail 2023)
Innovation and trainingConceptual framework, innovation performance, trainingInnovation performance and training programs are key for maintaining competitive advantage and adapting to market changes.(Damanpour and Aravind 2012; Filho et al. 2023)
Risk indicators and economic crisesBusiness risk, economic crisis, risk indicatorIdentifying and managing risk indicators are critical for navigating economic crises and ensuring firm performance.(Elyasiani and Jia 2019; Deverell and Ganic 2024)
Value creation and stabilityValue creation, stability, further developmentCreating value through strategic resource management ensures long-term business stability.(Kavadis et al. 2024; Qiao et al. 2024)
Market and economic conditionsClimate risk, economic condition, market valueManaging climate risk and understanding economic conditions are essential for maintaining market value and sustainability.(Pindyck 2013; Silva et al. 2024)
Table 9. Comparison results for datasets extracted from WoS and Scopus.
Table 9. Comparison results for datasets extracted from WoS and Scopus.
Exploration StepsQuestions on Web of Science/ScopusDescriptionQueryQuery NumberCount WoSCount Scopus
1TitleContains specific keywords related to risk indicators or risk indicators in business context(((TI = (risk_indicator*)) OR TI = (performance_indicator*))) AND TI = (business)#16494
2AbstractContains specific keywords related to risk indicators or risk indicators in business context(((AB = (risk_indicator*)) OR AB = (performance_indicator*))) AND AB = (business)#224574053
3KeywordsContains specific keywords related to risk indicators or risk indicators in business context(((AK = (risk_indicator*)) OR AK = (performance_indicator*))) AND AK = (business)#32311073
4Title/abstract/keywordsContains specific keywords related to risk indicators or risk indicators in business context#1 OR #2 OR #3#426024375
5LanguageContains only documents written in English(#4) AND LA = (English)#524734224
6Document typeLimited to articles(#5) AND DT = (Article)#614892086
7Year publishedExcludes 2024(#6) NOT PY = (2024)#713951954
Table 10. Data quality check for datasets extracted from WoS and Scopus.
Table 10. Data quality check for datasets extracted from WoS and Scopus.
MetadataDescriptionWoS Extracted DatasetScopus Extracted Dataset
Missing CountsMissing (%)Status Missing Counts Missing (%) Status
AUAuthor00.00%Excellent00.00%Excellent
DTDocument type00.00%Excellent00.00%Excellent
SOJournal00.00%Excellent00.00%Excellent
LALanguage00.00%Excellent00.00%Excellent
PYPublication year00.00%Excellent00.00%Excellent
SCScience categories00.00%Excellent1929100.00%Completely missing
TITitle00.00%Excellent00.00%Excellent
TCTotal citation00.00%Excellent00.00%Excellent
ABAbstract00.00%Excellent00.00%Excellent
RPCorresponding author120.86%Good55528.77%Poor
CRCited references130.93%Good1929100.00%Completely missing
C1Affiliation130.93%Good472.44%Good
DEKeywords1369.75%Good24412.65%Acceptable
DIDOI14910.68%Acceptable26113.53%Acceptable
Table 11. Top 7 most cited documents globally.
Table 11. Top 7 most cited documents globally.
First Author, Year, Journal, ReferencesTotal CitationsTotal Citation (TC) per YearNormalized TC
Sun LY., 2007, Academy of Management Journal, (Sun et al. 2007)105658.6719.95
Hanna R., 2011, Business Horizons, (Hanna et al. 2011)103774.0731.29
Milne M.J., 2013, Journal of Business Ethics, (Milne and Gray 2013)75863.1725.66
Ceccagnoli M., 2012, MIS Quarterly, (Ceccagnoli et al. 2012)65550.3818.26
López M.V., 2007, Journal of Business Ethics, (López et al. 2007)52829.339.98
Lee A.H.I., 2008, Expert Systems with Applications, (Lee et al. 2008)49929.3515.38
Hermann B.G., 2007, Journal of Cleaner Production, (Hermann et al. 2007)28015.565.29
Table 12. Data selection steps.
Table 12. Data selection steps.
Exploration StepsQuestions on Web of Science/ScopusDescriptionQueryQuery NumberCount WoS
1TitleContains specific keywords related to risk indicators or risk indicators in business context(((TI = (risk_indicator*)) OR TI = (performance_indicator*))) AND TI = (business)#164
2AbstractContains specific keywords related to risk indicators or risk indicators in business context(((AB = (risk_indicator*)) OR AB = (performance_indicator*))) AND AB = (business)#22457
3KeywordsContains specific keywords related to risk indicators or risk indicators in business context(((AK = (risk_indicator*)) OR AK = (performance_indicator*))) AND AK = (business)#3231
4Title/Abstract/KeywordsContains specific keywords related to risk indicators or risk indicators in business context#1 OR #2 OR #3#42602
5LanguageContains only documents written in English(#4) AND LA = (English)#52473
6Document TypeLimited to articles(#5) AND DT = (Article)#61489
7Year publishedExcludes 2024(#6) NOT PY = (2024)#71395
Table 13. Completeness of bibliographic metadata.
Table 13. Completeness of bibliographic metadata.
MetadataDescriptionMissing Counts WoSMissing (%) WoSStatus WoS
AUAuthor00.00%Excellent
DTDocument type00.00%Excellent
SOJournal00.00%Excellent
LALanguage00.00%Excellent
PYPublication year00.00%Excellent
SCScience categories00.00%Excellent
TITitle00.00%Excellent
TCTotal citation00.00%Excellent
ABAbstract00.00%Excellent
RPCorresponding author120.86%Good
CRCited references130.93%Good
C1Affiliation130.93%Good
DEKeywords1369.75%Good
DIDOI14910.68%Acceptable
Disclaimer/Publisher’s Note: The statements, opinions and data contained in all publications are solely those of the individual author(s) and contributor(s) and not of MDPI and/or the editor(s). MDPI and/or the editor(s) disclaim responsibility for any injury to people or property resulting from any ideas, methods, instructions or products referred to in the content.

Share and Cite

MDPI and ACS Style

Ionescu, Ș.; Dumitrescu, G.; Ioanăș, C.; Delcea, C. Mapping the Landscape of Key Performance and Key Risk Indicators in Business: A Comprehensive Bibliometric Analysis. Risks 2024, 12, 125. https://doi.org/10.3390/risks12080125

AMA Style

Ionescu Ș, Dumitrescu G, Ioanăș C, Delcea C. Mapping the Landscape of Key Performance and Key Risk Indicators in Business: A Comprehensive Bibliometric Analysis. Risks. 2024; 12(8):125. https://doi.org/10.3390/risks12080125

Chicago/Turabian Style

Ionescu, Ștefan, Gabriel Dumitrescu, Corina Ioanăș, and Camelia Delcea. 2024. "Mapping the Landscape of Key Performance and Key Risk Indicators in Business: A Comprehensive Bibliometric Analysis" Risks 12, no. 8: 125. https://doi.org/10.3390/risks12080125

APA Style

Ionescu, Ș., Dumitrescu, G., Ioanăș, C., & Delcea, C. (2024). Mapping the Landscape of Key Performance and Key Risk Indicators in Business: A Comprehensive Bibliometric Analysis. Risks, 12(8), 125. https://doi.org/10.3390/risks12080125

Note that from the first issue of 2016, this journal uses article numbers instead of page numbers. See further details here.

Article Metrics

Back to TopTop