Association between Physical Fitness Index and Psychological Symptoms in Chinese Children and Adolescents
Abstract
:1. Introduction
2. Methods
2.1. Data Source and Participants
2.2. Psychological Symptoms
2.3. Physical Fitness Index
2.4. Statistical Analysis
3. Results
4. Discussion
5. Conclusions
Author Contributions
Funding
Institutional Review Board Statement
Informed Consent Statement
Data Availability Statement
Acknowledgments
Conflicts of Interest
References
- Pan, L.; Li, X.; Feng, Y.; Hong, L. Psychological assessment of children and adolescents with obesity. J. Int. Med. Res. 2018, 46, 89–97. [Google Scholar] [CrossRef] [PubMed]
- Zhang, F.; Yin, X.; Bi, C.; Ji, L.; Wu, H.; Li, Y.; Sun, Y.; Ren, S.; Wang, G.; Yang, X.; et al. Psychological symptoms are associated with screen and exercise time: A cross-sectional study of Chinese adolescents. BMC Public Health 2020, 20, 1695. [Google Scholar] [CrossRef] [PubMed]
- Violant-Holz, V.; Gallego-Jimenez, M.G.; Gonzalez-Gonzalez, C.S.; Munoz-Violant, S.; Rodriguez, M.J.; Sansano-Nadal, O.; Guerra-Balic, M. Psychological Health and Physical Activity Levels during the COVID-19 Pandemic: A Systematic Review. Int. J. Environ. Res. Public Health 2020, 17, 9419. [Google Scholar] [CrossRef] [PubMed]
- Jones, E.; Mitra, A.K.; Bhuiyan, A.R. Impact of COVID-19 on Mental Health in Adolescents: A Systematic Review. Int. J. Environ. Res. Public Health 2021, 18, 2470. [Google Scholar] [CrossRef] [PubMed]
- Harris, T.B.; Udoetuk, S.C.; Webb, S.; Tatem, A.; Nutile, L.M.; Al-Mateen, C.S. Achieving Mental Health Equity: Children and Adolescents. Psychiatr. Clin. N. Am. 2020, 43, 471–485. [Google Scholar] [CrossRef]
- Nesi, J. The Impact of Social Media on Youth Mental Health: Challenges and Opportunities. North Carol. Med. J. 2020, 81, 116–121. [Google Scholar] [CrossRef]
- O’Reilly, M. Social media and adolescent mental health: The good, the bad and the ugly. J. Ment. Health 2020, 29, 200–206. [Google Scholar] [CrossRef]
- Ortuno-Sierra, J.; Lucas-Molina, B.; Inchausti, F.; Fonseca-Pedrero, E. Special Issue on Mental Health and Well-Being in Adolescence: Environment and Behavior. Int. J. Environ. Res. Public Health 2021, 18, 2975. [Google Scholar] [CrossRef]
- Viejo, C.; Gomez-Lopez, M.; Ortega-Ruiz, R. Adolescents’ Psychological Well-Being: A Multidimensional Measure. Int. J. Environ. Res. Public Health 2018, 15, 2325. [Google Scholar] [CrossRef]
- Kieling, C.; Baker-Henningham, H.; Belfer, M.; Conti, G.; Ertem, I.; Omigbodun, O.; Rohde, L.A.; Srinath, S.; Ulkuer, N.; Rahman, A. Child and adolescent mental health worldwide: Evidence for action. Lancet 2011, 378, 1515–1525. [Google Scholar] [CrossRef]
- Minh, A.; Bultmann, U.; Reijneveld, S.A.; van Zon, S.; McLeod, C.B. Childhood Socioeconomic Status and Depressive Symptom Trajectories in the Transition to Adulthood in the United States and Canada. J. Adolesc. Health 2021, 68, 161–168. [Google Scholar] [CrossRef] [PubMed]
- Francis, A.; Pai, M.S.; Badagabettu, S. Psychological Well-being and Perceived Parenting Style among Adolescents. Compr. Child Adolesc. Nurs. 2021, 44, 134–143. [Google Scholar] [CrossRef] [PubMed]
- Mayou, R. Are treatments for common mental disorders also effective for functional symptoms and disorder? Psychosom. Med. 2007, 69, 876–880. [Google Scholar] [CrossRef] [PubMed]
- Belfer, M.L. Child and adolescent mental disorders: The magnitude of the problem across the globe. J. Child Psychol. Psychiatry 2008, 49, 226–236. [Google Scholar] [CrossRef]
- Li, W.; Yang, Y.; Liu, Z.H.; Zhao, Y.J.; Zhang, Q.; Zhang, L.; Cheung, T.; Xiang, Y.T. Progression of Mental Health Services during the COVID-19 Outbreak in China. Int. J. Biol. Sci. 2020, 16, 1732–1738. [Google Scholar] [CrossRef]
- Shah, K.; Mann, S.; Singh, R.; Bangar, R.; Kulkarni, R. Impact of COVID-19 on the Mental Health of Children and Adolescents. Cureus 2020, 12, e10051. [Google Scholar] [CrossRef]
- Duan, L.; Shao, X.; Wang, Y.; Huang, Y.; Miao, J.; Yang, X.; Zhu, G. An investigation of mental health status of children and adolescents in china during the outbreak of COVID-19. J. Affect. Disord. 2020, 275, 112–118. [Google Scholar] [CrossRef]
- Zhang, Y.; Wu, C.; Yuan, S.; Xiang, J.; Hao, W.; Yu, Y. Association of aggression and suicide behaviors: A school-based sample of rural Chinese adolescents. J. Affect. Disord. 2018, 239, 295–302. [Google Scholar] [CrossRef]
- Yin, X.; Li, D.; Zhu, K.; Liang, X.; Peng, S.; Tan, A.; Du, Y. Comparison of Intentional and Unintentional Injuries Among Chinese Children and Adolescents. J. Epidemiol. 2020, 30, 529–536. [Google Scholar] [CrossRef]
- Wang, Q.L.; Zhang, X.D.; Wu, X.Y.; Zhang, Q.; Zhang, Y.; Sun, J.; Zhang, S.C.; Wang, X.; Zong, Q.; Tao, S.M.; et al. Sleep status associated with psychological and behavioral problems in adolescents and children. Zhonghua Liu Xing Bing Xue Za Zhi 2021, 42, 859–865. [Google Scholar] [CrossRef]
- Whiting, S.; Buoncristiano, M.; Gelius, P.; Abu-Omar, K.; Pattison, M.; Hyska, J.; Duleva, V.; Music, M.S.; Zamrazilova, H.; Hejgaard, T.; et al. Physical Activity, Screen Time, and Sleep Duration of Children Aged 6-9 Years in 25 Countries: An Analysis within the WHO European Childhood Obesity Surveillance Initiative (COSI) 2015-2017. Obes. Facts 2021, 14, 32–44. [Google Scholar] [CrossRef] [PubMed]
- Eisenmann, J.C.; Bartee, R.T.; Smith, D.T.; Welk, G.J.; Fu, Q. Combined influence of physical activity and television viewing on the risk of overweight in US youth. Int. J. Obes. (Lond.) 2008, 32, 613–618. [Google Scholar] [CrossRef] [PubMed]
- Hwang, I.C.; Ahn, H.Y.; Choi, S.J. Association between handgrip strength and mental health in Korean adolescents. Fam. Pr. 2021, 38, 826–829. [Google Scholar] [CrossRef] [PubMed]
- Ludyga, S.; Puhse, U.; Gerber, M.; Mucke, M. Muscle strength and executive function in children and adolescents with autism spectrum disorder. Autism Res. 2021, 14, 2555–2563. [Google Scholar] [CrossRef] [PubMed]
- Tao, F.B.; Xu, M.L.; Kim, S.D.; Sun, Y.; Su, P.Y.; Huang, K. Physical activity might not be the protective factor for health risk behaviours and psychopathological symptoms in adolescents. J. Paediatr. Child Heal. 2007, 43, 762–767. [Google Scholar] [CrossRef]
- Rothon, C.; Edwards, P.; Bhui, K.; Viner, R.M.; Taylor, S.; Stansfeld, S.A. Physical activity and depressive symptoms in adolescents: A prospective study. BMC Med. 2010, 8, 32. [Google Scholar] [CrossRef] [PubMed]
- Sampasa-Kanyinga, H.; Colman, I.; Goldfield, G.S.; Janssen, I.; Wang, J.; Podinic, I.; Tremblay, M.S.; Saunders, T.J.; Sampson, M.; Chaput, J.P. Combinations of physical activity, sedentary time, and sleep duration and their associations with depressive symptoms and other mental health problems in children and adolescents: A systematic review. Int. J. Behav. Nutr. Phys. Act. 2020, 17, 72. [Google Scholar] [CrossRef]
- Strohle, A.; Hofler, M.; Pfister, H.; Muller, A.G.; Hoyer, J.; Wittchen, H.U.; Lieb, R. Physical activity and prevalence and incidence of mental disorders in adolescents and young adults. Psychol. Med. 2007, 37, 1657–1666. [Google Scholar] [CrossRef]
- Jalene, S.; Pharr, J.; Shan, G.; Poston, B. Estimated Cardiorespiratory Fitness Is Associated With Reported Depression in College Students. Front. Physiol. 2019, 10, 1191. [Google Scholar] [CrossRef]
- Alpsoy, S. Exercise and Hypertension. Adv. Exp. Med. Biol. 2020, 1228, 153–167. [Google Scholar] [CrossRef]
- Bakker, E.A.; Sui, X.; Brellenthin, A.G.; Lee, D.C. Physical activity and fitness for the prevention of hypertension. Curr. Opin. Cardiol. 2018, 33, 394–401. [Google Scholar] [CrossRef] [PubMed]
- Kanaley, J.A.; Colberg, S.R.; Corcoran, M.H.; Malin, S.K.; Rodriguez, N.R.; Crespo, C.J.; Kirwan, J.P.; Zierath, J.R. Exercise/Physical Activity in Individuals with Type 2 Diabetes: A Consensus Statement from the American College of Sports Medicine. Med. Sci. Sports Exerc. 2022, 54, 353–368. [Google Scholar] [CrossRef] [PubMed]
- McGough, J.; Curry, J.F. Utility of the SCL-90-R with depressed and conduct-disordered adolescent inpatients. J. Pers. Assess 1992, 59, 552–563. [Google Scholar] [CrossRef] [PubMed]
- Alves, D.A.; Waclawovsky, A.J.; Tonello, L.; Firth, J.; Smith, L.; Stubbs, B.; Schuch, F.B.; Boullosa, D. Association between cardiorespiratory fitness and depressive symptoms in children and adolescents: A systematic review and meta-analysis. J. Affect. Disord. 2021, 282, 1234–1240. [Google Scholar] [CrossRef]
- Mao, Y.; He, Y.; Xia, T.; Xu, H.; Zhou, S.; Zhang, J. Examining the Dose-Response Relationship between Outdoor Jogging and Physical Health of Youths: A Long-Term Experimental Study in Campus Green Space. Int. J. Environ. Res. Public Health 2022, 19, 5648. [Google Scholar] [CrossRef]
- Cheng, S. A study on the relationship between mental health literacy and anxiety and depression symptoms in college students. Master’s Thesis, Shandong University, Jinan, China, 2021. [Google Scholar]
- Tao, F.; Hu, C.; Sun, Y.; Hao, J. The development and application of multidimensional sub-health questionnaire of adolescents (MSQA). Chin. J. Dis. Control Prev. 2008, 12, 309–314. [Google Scholar]
- Tao, S.; Wan, Y.; Wu, X.; Sun, Y.; Xu, S.; Zhang, S.; Hao, J.; Tao, F. Psychological evaluation and application of “Concise Questionnaire for Adolescent Mental Health Assessment”. Chin. Sch. Health 2020, 41, 1331–1334. [Google Scholar]
- Wan, Y.; Hu, C.; Tao, F. Research on responsiveness of multidimensional sub-health questionnaire of adolescents. Chin. J. Public Health 2008, 24, 1035–1036. [Google Scholar]
- Xing, C.; Tao, F.; Yuan, C. Evaluation of reliability and validity of the multi-dimensional sub-health questionnaire of adolescents. Chin. J. Public Health 2008, 24, 1031–1033. [Google Scholar]
- Li, Y.; Zhang, F.; Chen, Q.; Yin, X.; Bi, C.; Yang, X.; Sun, Y.; Li, M.; Zhang, T.; Liu, Y.; et al. Levels of Physical Fitness and Weight Status in Children and Adolescents: A Comparison between China and Japan. Int. J. Environ. Res. Public Health 2020, 17, 9569. [Google Scholar] [CrossRef]
- Bi, C.; Zhang, F.; Gu, Y.; Song, Y.; Cai, X. Secular Trend in the Physical Fitness of Xinjiang Children and Adolescents between 1985 and 2014. Int. J. Environ. Res. Public Health 2020, 17, 2195. [Google Scholar] [CrossRef] [PubMed]
- Bi, C.; Yang, J.; Sun, J.; Song, Y.; Wu, X.; Zhang, F. Benefits of normal body mass index on physical fitness: A cross-sectional study among children and adolescents in Xinjiang Uyghur Autonomous Region, China. PLoS ONE 2019, 14, e220863. [Google Scholar] [CrossRef] [PubMed]
- Zhang, F.; Bi, C.; Yin, X.; Chen, Q.; Li, Y.; Liu, Y.; Zhang, T.; Li, M.; Sun, Y.; Yang, X. Physical fitness reference standards for Chinese children and adolescents. Sci. Rep. 2021, 11, 4991. [Google Scholar] [CrossRef] [PubMed]
- Zou, Z.; Chen, P.; Yang, Y.; Xiao, M.; Wang, Z. Assessment of physical fitness and its correlates in Chinese children and adolescents in Shanghai using the multistage 20-M shuttle-run test. Am. J. Hum. Biol. 2019, 31, e23148. [Google Scholar] [CrossRef] [Green Version]
- Zhang, F.; Yin, X.; Bi, C.; Li, Y.; Sun, Y.; Zhang, T.; Yang, X.; Li, M.; Liu, Y.; Cao, J.; et al. Normative Reference Values and International Comparisons for the 20-Metre Shuttle Run Test: Analysis of 69,960 Test Results among Chinese Children and Youth. J. Sports Sci. Med. 2020, 19, 478–488. [Google Scholar]
- FB, T.; C, X.; CJ, Y. Development of national norm for multidimensional sub-health questionnaire of adolescents. Chin. J. Sch. Health 2009, 30, 292–295. [Google Scholar]
- Xuan, G.; Hong, Y.; Jian, J.; Yu, H. Analysis of related factors between health literacy and mental sub-health symptoms of middle school students in Bengbu City, Anhui Province. Chin. Health Educ. 2017, 33, 8–11. [Google Scholar]
- Li, X.; Krumholz, H.M.; Yip, W.; Cheng, K.K.; De Maeseneer, J.; Meng, Q.; Mossialos, E.; Li, C.; Lu, J.; Su, M.; et al. Quality of primary health care in China: Challenges and recommendations. Lancet 2020, 395, 1802–1812. [Google Scholar] [CrossRef]
- Diamond, R.; Waite, F. Physical activity in a pandemic: A new treatment target for psychological therapy. Psychol. Psychother. Theory Res. Pr. 2021, 94, 357–364. [Google Scholar] [CrossRef]
- Haegele, J.A.; Zhu, X.; Wilson, P.B.; Kirk, T.N.; Davis, S. Physical activity, nutrition, and psychological well-being among youth with visual impairments and their siblings. Disabil. Rehabil. 2021, 43, 1420–1428. [Google Scholar] [CrossRef]
- Moral-García, J.E.; Román-Palmero, J.; García, S.L.; García-Cantó, E.; Pérez-Soto, J.J.; Rosa-Guillamón, A.; Urchaga-Litago, J.D. Self-esteem and sports practice in adolescents. Int. J. Med. Sci. Phys. Act. Sport 2021, 21, 157–174. [Google Scholar]
- Moral-Garcia, J.E.; Lopez-Garcia, S.; Urchaga, J.D.; Maneiro, R.; Guevara, R.M. Relationship Between Motivation, Sex, Age, Body Composition and Physical Activity in Schoolchildren. Notes Phys. Educ. Sports 2021, 144, 1–9. [Google Scholar] [CrossRef]
- Lema-Gomez, L.; Arango-Paternina, C.M.; Eusse-Lopez, C.; Petro, J.; Petro-Petro, J.; Lopez-Sanchez, M.; Watts-Fernandez, W.; Perea-Velasquez, F. Family aspects, physical fitness, and physical activity associated with mental-health indicators in adolescents. BMC Public Health 2021, 21, 2324. [Google Scholar] [CrossRef] [PubMed]
- Matute-Llorente, A.; Gonzalez-Aguero, A.; Gomez-Cabello, A.; Vicente-Rodriguez, G.; Casajus, J.A. Physical activity and cardiorespiratory fitness in adolescents with Down syndrome. Nutr. Hosp. 2013, 28, 1151–1155. [Google Scholar] [CrossRef] [PubMed]
- Aires, L.; Silva, P.; Silva, G.; Santos, M.P.; Ribeiro, J.C.; Mota, J. Intensity of physical activity, cardiorespiratory fitness, and body mass index in youth. J. Phys. Act. Health 2010, 7, 54–59. [Google Scholar] [CrossRef]
- Chen, W.; Gu, X.; Chen, J.; Wang, X. Association of Cardiorespiratory Fitness and Cognitive Function with Psychological Well-Being in School-Aged Children. Int. J. Environ. Res. Public Health 2022, 19, 1434. [Google Scholar] [CrossRef]
- Dimitri, P.; Joshi, K.; Jones, N. Moving more: Physical activity and its positive effects on long term conditions in children and young people. Arch. Dis. Child. 2020, 105, 1035–1040. [Google Scholar] [CrossRef]
- Jimenez, B.R.; Arriscado, A.D.; Gargallo, I.E.; Dalmau, T.J. [Determinants of health in adolescence: Cardiorespiratory fitness and body composition]. Nutr. Hosp. 2021, 38, 697–703. [Google Scholar] [CrossRef]


| Classification | Total | Boys | Girls |
|---|---|---|---|
| N | 7199 | 3600 | 3599 |
| Physical fitness indicators (M ± SD) | |||
| Grip strength (kg) | 31.45 ± 9.99 | 37.05 ± 9.83 | 25.85 ± 6.36 |
| Standing long jump (cm) | 188.24 ± 33.64 | 209.43 ± 30.15 | 167.06 ± 21.37 |
| Sit-ups | 23.01 ± 6.90 | 24.80 ± 6.98 | 21.21 ± 6.33 |
| 20 m SRT | 36.76 ± 17.17 | 43.12 ± 18.61 | 30.40 ± 12.75 |
| Sit and reach (cm) | 38.77 ± 11.72 | 38.12 ± 11.74 | 39.42 ± 11.66 |
| Repeated straddling | 31.54 ± 9.19 | 33.42 ± 9.72 | 29.66 ± 8.21 |
| 50 m run (s) | 8.53 ± 1.26 | 7.86 ± 1.01 | 9.21 ± 1.12 |
| PFI, n (%) | |||
| Low | 1080 (15.0) | 540 (15.0) | 540 (15.0) |
| Middle | 5040 (70.0) | 2520 (70.0) | 2520 (70.0) |
| High | 1080 (15.0) | 540 (15.0) | 539 (15.0) |
| Psychological symptoms, n (%) | |||
| Emotional symptoms | 1995 (27.7) | 1001 (27.8) | 993 (27.6) |
| Behavioral symptoms | 1981 (27.5) | 1021 (28.4) | 960 (26.7) |
| Social adaptation difficulties | 1236 (17.2) | 656 (18.2) | 580 (16.1) |
| Psychological symptoms | 1540 (21.4) | 797 (22.1) | 743 (20.6) |
| Category | N | Emotional Symptoms | χ2-Value | p-Value | Behavioral Symptoms | χ2-Value | p-Value | Social Adaptation Difficulties | χ2-Value | p-Value | Psychological Symptoms | χ2-Value | p-Value | |
|---|---|---|---|---|---|---|---|---|---|---|---|---|---|---|
| Boys | PFI (Low) | 540 | 167 (30.9) | 5.662 | 0.059 | 164 (30.4) | 3.505 | 0.173 | 112 (20.7) | 7.065 | 0.029 | 130 (24.1) | 8.106 | 0.017 |
| PFI (Middle) | 2520 | 702 (27.9) | 720 (28.6) | 465 (18.5) | 572 (22.7) | |||||||||
| PFI (High) | 540 | 132 (24.4) | 137 (25.4) | 79 (14.6) | 95 (17.6) | |||||||||
| Girls | PFI (Low) | 540 | 171 (31.7) | 5.234 | 0.073 | 156 (28.9) | 1.921 | 0.383 | 105 (19.4) | 6.172 | 0.046 | 140 (25.9) | 10.922 | 0.004 |
| PFI (Middle) | 2520 | 677 (26.9) | 661 (26.2) | 395 (15.7) | 499 (19.8) | |||||||||
| PFI (High) | 539 | 146 (27.0) | 138 (25.6) | 77 (14.3) | 104 (19.3) | |||||||||
| Total | PFI (Low) | 1080 | 338 (31.3) | 9.332 | 0.009 | 320 (29.6) | 4.724 | 0.094 | 217 (20.1) | 12.183 | 0.002 | 270 (25.0) | 14.073 | 0.001 |
| PFI (Middle) | 5040 | 1379 (27.4) | 1381 (27.4) | 860 (17.1) | 1071 (21.3) | |||||||||
| PFI (High) | 1079 | 278 (25.7) | 275 (25.5) | 156 (14.4) | 199 (18.4) | |||||||||
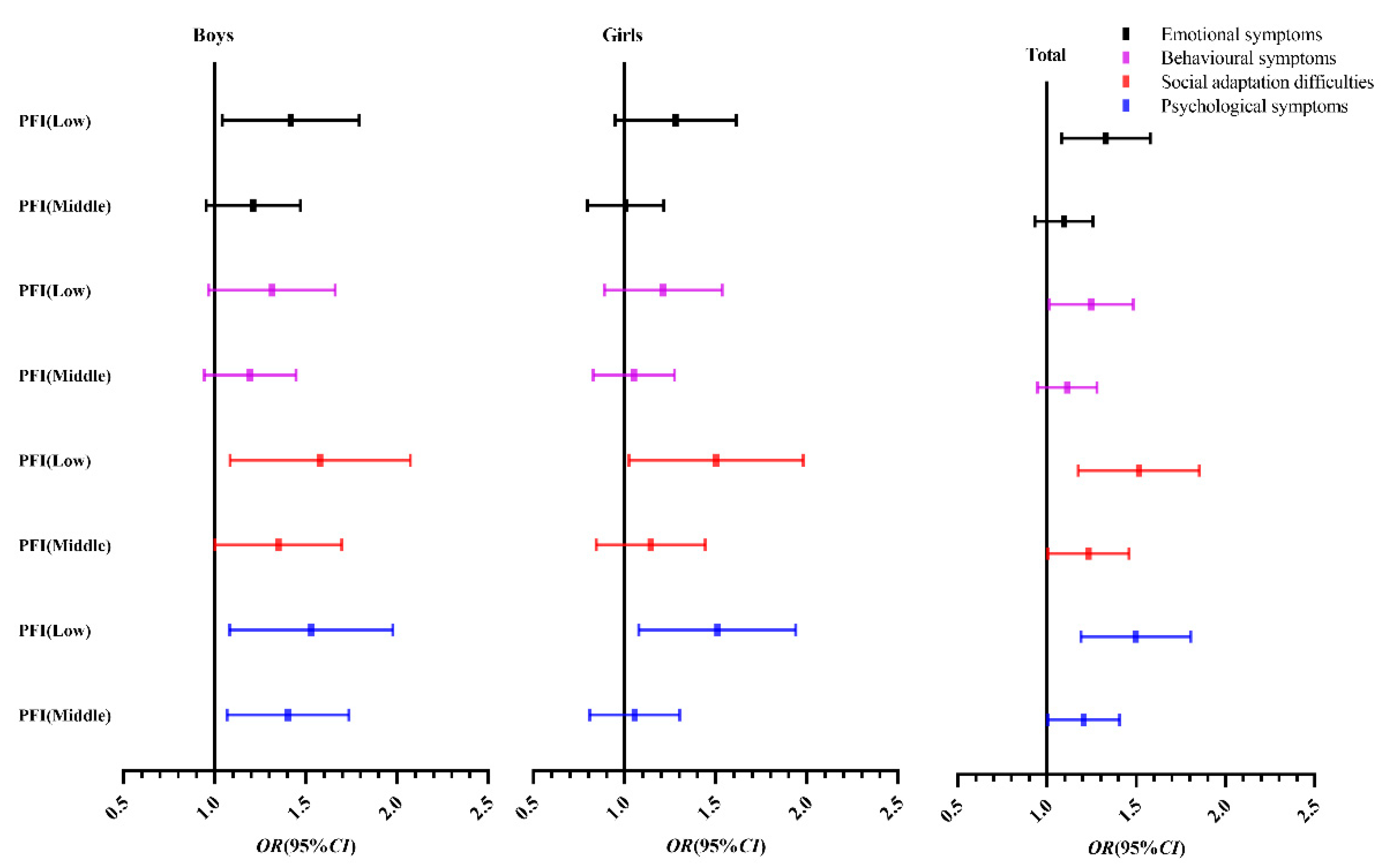
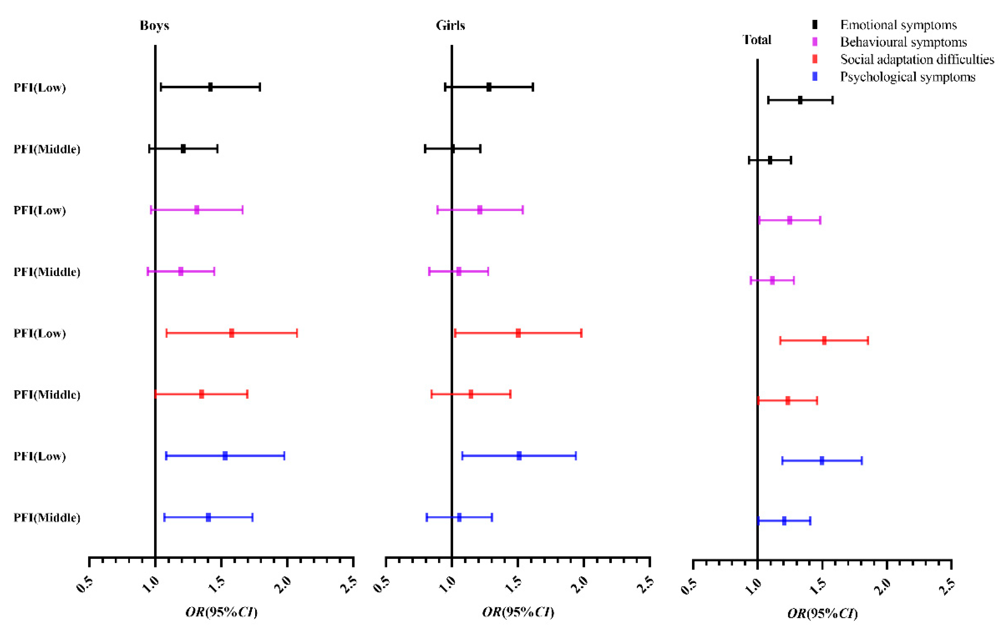
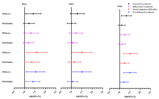
| Category | Emotional Symptoms | Behavioral Symptoms | Social adaptation Difficulties | Psychological Symptoms | |||||||||
|---|---|---|---|---|---|---|---|---|---|---|---|---|---|
| OR (95% CI) | p-Value | OR (95% CI) | p-Value | OR (95% CI) | p-Value | OR (95% CI) | p-Value | ||||||
| Boys | PFI (Low) | 1.384 | 1.059–1.809 | 0.017 | 1.283 | 0.983–1.675 | 0.067 | 1.527 | 1.113–2.096 | 0.009 | 1.485 | 1.104–1.998 | 0.009 |
| PFI (Middle) | 1.194 | 0.963–1.479 | 0.106 | 1.177 | 0.952–1.455 | 0.133 | 1.320 | 1.019–1.711 | 0.035 | 1.375 | 1.082–1.749 | 0.009 | |
| PFI (High) | 1.000 | 1.000 | 1.000 | 1.000 | 1.000 | 1.000 | 1.000 | 1.000 | |||||
| Girls | PFI (Low) | 1.251 | 0.962–1.626 | 0.095 | 1.183 | 0.905–1.548 | 0.219 | 1.451 | 1.052–2.003 | 0.023 | 1.467 | 1.100–1.957 | 0.009 |
| PFI (Middle) | 0.991 | 0.804–1.222 | 0.935 | 1.036 | 0.837–1.281 | 0.746 | 1.118 | 0.858–1.455 | 0.409 | 1.035 | 0.818–1.310 | 0.774 | |
| PFI (High) | 1.000 | 1.000 | 1.000 | 1.000 | 1.000 | 1.000 | 1.000 | 1.000 | |||||
| Total | PFI (Low) | 1.314 | 1.089–1.585 | 0.004 | 1.233 | 1.020–1.489 | 0.030 | 1.489 | 1.188–1.866 | 0.001 | 1.476 | 1.200–1.814 | 0.000 |
| PFI (Middle) | 1.087 | 0.935–1.262 | 0.277 | 1.105 | 0.951–1.284 | 0.193 | 1.219 | 1.013–1.466 | 0.036 | 1.195 | 1.010–1.413 | 0.038 | |
| PFI (High) | 1.000 | 1.000 | 1.000 | 1.000 | 1.000 | 1.000 | 1.000 | 1.000 | |||||
Publisher’s Note: MDPI stays neutral with regard to jurisdictional claims in published maps and institutional affiliations. |
© 2022 by the authors. Licensee MDPI, Basel, Switzerland. This article is an open access article distributed under the terms and conditions of the Creative Commons Attribution (CC BY) license (https://creativecommons.org/licenses/by/4.0/).
Share and Cite
Lu, J.; Sun, H.; Zhou, J.; Xiong, J. Association between Physical Fitness Index and Psychological Symptoms in Chinese Children and Adolescents. Children 2022, 9, 1286. https://doi.org/10.3390/children9091286
Lu J, Sun H, Zhou J, Xiong J. Association between Physical Fitness Index and Psychological Symptoms in Chinese Children and Adolescents. Children. 2022; 9(9):1286. https://doi.org/10.3390/children9091286
Chicago/Turabian StyleLu, Jinkui, Hao Sun, Jianfeng Zhou, and Jianping Xiong. 2022. "Association between Physical Fitness Index and Psychological Symptoms in Chinese Children and Adolescents" Children 9, no. 9: 1286. https://doi.org/10.3390/children9091286
APA StyleLu, J., Sun, H., Zhou, J., & Xiong, J. (2022). Association between Physical Fitness Index and Psychological Symptoms in Chinese Children and Adolescents. Children, 9(9), 1286. https://doi.org/10.3390/children9091286

