Constructing Counting and Arithmetic Learning Trajectories for Kindergarteners: A Preliminary Investigation in Taiwan
Abstract
1. Introduction
- to clarify the differences between the theoretical and empirical LTs of counting and arithmetic concepts.
- to examine the differences between boys and girls regarding the LT of counting and arithmetic concepts.
2. Methodology
2.1. Participants
2.2. Instruments
2.3. Analysis
3. Results
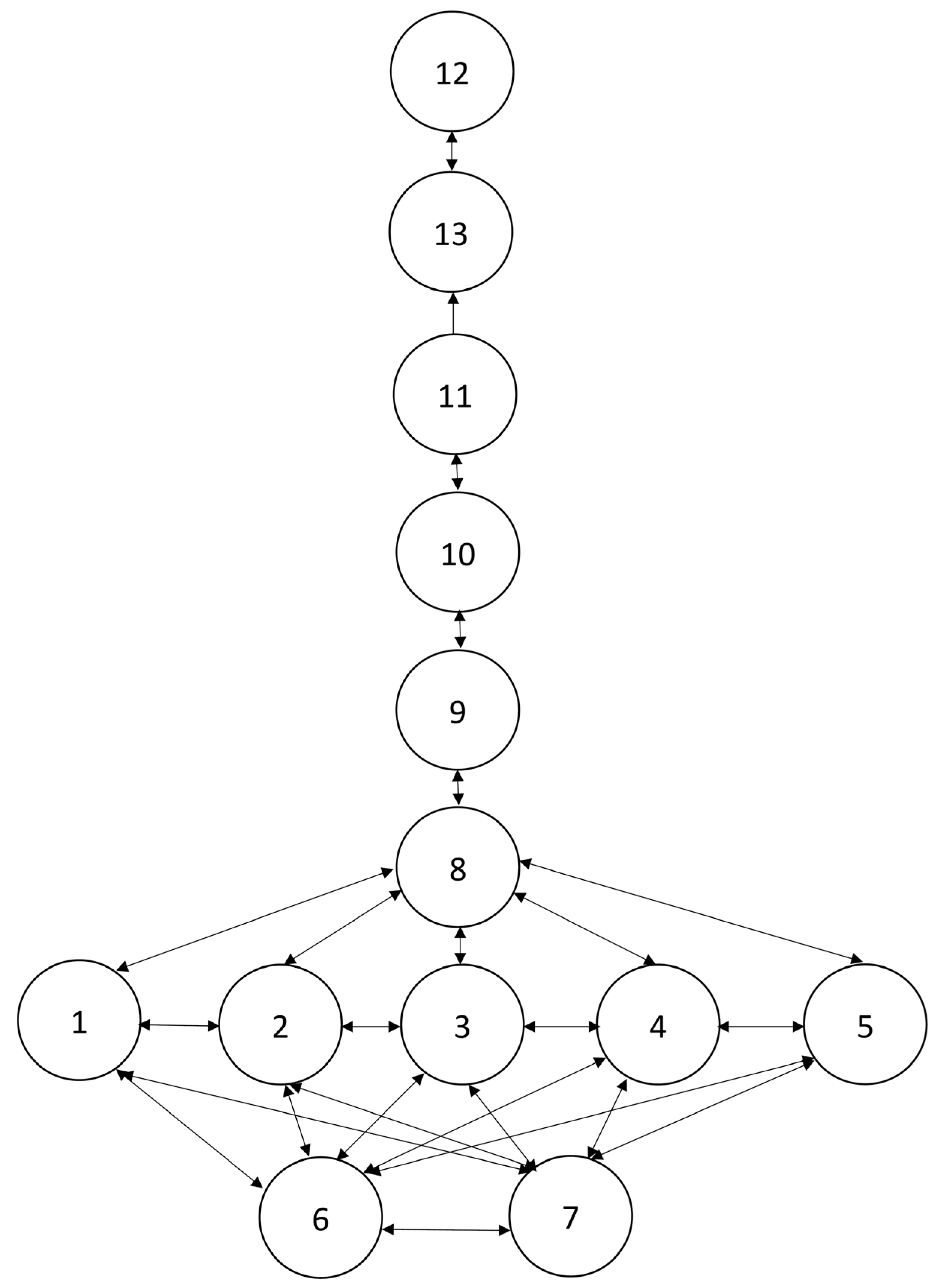
3.1. Levels of Counting and Arithmetic Concepts in Learning Trajectory
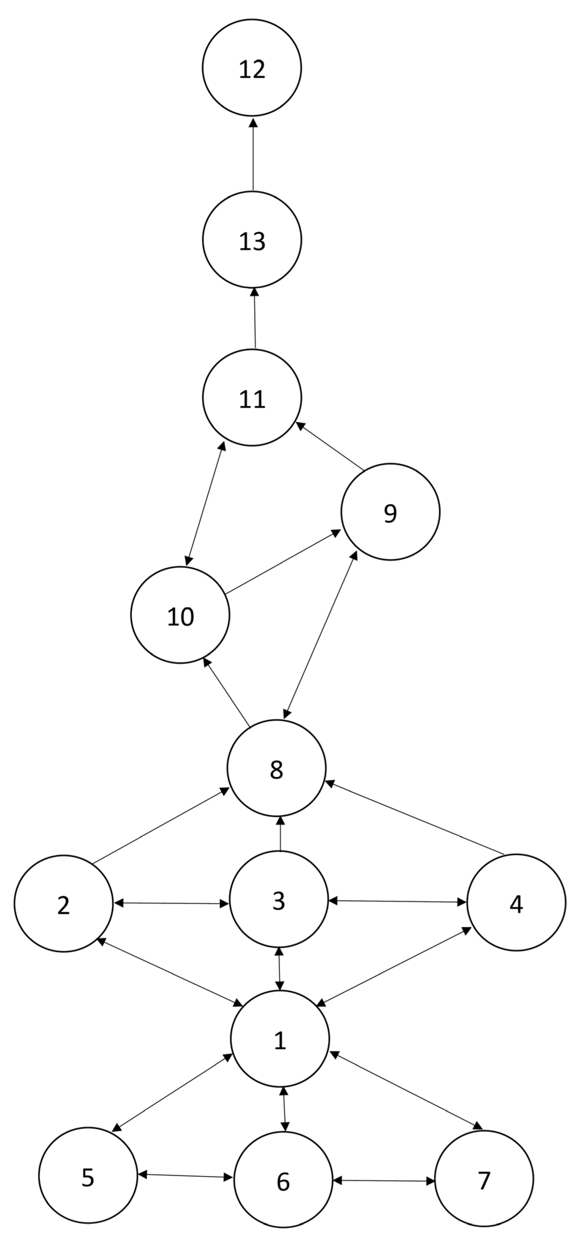
3.2. Learning Trajectories of Counting and Arithmetic Concepts for Boys and Girls
4. Discussion
5. Conclusions
Funding
Institutional Review Board Statement
Informed Consent Statement
Data Availability Statement
Acknowledgments
Conflicts of Interest
References
- Engel, M.; Claessens, A.; Watts, T.; Farkas, G. Mathematics Content Coverage and Student Learning in Kindergarten. Educ. Res. 2016, 45, 293–300. [Google Scholar] [CrossRef] [PubMed]
- Jordan, N.C.; Kaplan, D.; Ramineni, C.; Locuniak, M.N. Early Math Matters: Kindergarten Number Competence and Later Mathematics Outcomes. Dev. Psychol. 2009, 45, 850–867. [Google Scholar] [CrossRef] [PubMed]
- National Research Council. Mathematics Learning in Early Childhood: Paths toward Excellence and Equity; Cross, T.C., Woods, T.A., Schweingruber, H., Eds.; National Academy Press: Washington, DC, USA, 2009.
- Ginsburg, H.; Lee, J.; Boyd, J. Mathematics Education for Young Children: What It Is and How to Promote It. Soc. Res. Child Dev. Soc. Policy Rep. 2008, 22, 3–22. [Google Scholar] [CrossRef]
- Claessens, A.; Engel, M.; Curran, F.C. Academic Content, Student Learning, and the Persistence of Preschool Effects. Am. Educ. Res. J. 2014, 51, 403–434. [Google Scholar] [CrossRef]
- Engel, M.; Claessens, A.; Finch, M.A. Teaching Students What They Already Know? The (Mis) Alignment between Mathematics Instructional Content and Student Knowledge in Kindergarten. Educ. Eval. Policy Anal. 2013, 35, 157–178. [Google Scholar] [CrossRef]
- Li, L.; Zhou, X.; Gao, X.; Tu, D. The Development and Influencing Factors of Kindergarteners’ Mathematics Problem Solving Based on Cognitive Diagnosis Assessment. ZDM Math. Educ. 2020, 52, 677–690. [Google Scholar] [CrossRef]
- Daro, P.; Mosher, F.A.; Corcoran, T.B. Learning Trajectories in Mathematics: A Foundation for Standards, Curriculum, Assessment and Instruction; University of Pennsylvania: Philadelphia, PA, USA, 2011. [Google Scholar]
- Clements, D.H.; Sarama, J.; Baroody, A.J.; Kutaka, T.S.; Chernyavskiy, P.; Joswick, C.; Cong, M.; Joseph, E. Comparing the Efficacy of Early Arithmetic Instruction Based on a Learning Trajectory and Teaching-to-a-Target. J. Educ. Psychol. 2021, 113, 1323–1337. [Google Scholar] [CrossRef]
- Wilson, P.H.; Sztajn, P.; Edgington, C.; Myers, M. Teachers’ Uses of a Learning Trajectory in Student-Centered Instructional Practices. J. Teach. Educ. 2015, 66, 227–244. [Google Scholar] [CrossRef]
- Confrey, J. A Synthesis of Research on Learning Trajectories/Progressions in Mathematics; OECD Publishing: Paris, France, 2019; Available online: http://www.oecd.org/education/2030/A-Synthesis-of-Research-on-Learning-Trajectories-Progressions-in-Mathematics.pdf (accessed on 3 November 2022).
- Confrey, J.; Maloney, A.P.; Corley, A.K. Learning Trajectories: A Framework for Connecting Standards with Curriculum. ZDM Math. Educ. 2014, 46, 719–733. [Google Scholar] [CrossRef]
- Benz, C. Identifying Quantities—Children’s Constructions to Compose Collections from Parts or Decompose Collections into Parts. In Early Mathematics Learning; Kortenkamp, U., Brandt, B., Benz, C., Krummheuer, G., Ladel, S., Vogel, R., Eds.; Springer Science & Business Media: Berlin, Germany, 2013; pp. 189–203. [Google Scholar]
- Lembke, E.; Foegen, A. Identifying Early Numeracy Indicators for Kindergarten and First-Grade Students. Learn. Disabil. Res. Pract. 2009, 24, 12–20. [Google Scholar] [CrossRef]
- Sarama, J.; Clements, D.H. Early Childhood Mathematics Education Research: Learning Trajectories for Young Children; Routledge: New York, NY, USA, 2009. [Google Scholar]
- Spaepen, E.; Gunderson, E.A.; Gibson, D.; Goldin-Meadow, S.; Levine, S.C. Meaning before Order: Cardinal Principle Knowledge Predicts Improvement in Understanding the Successor Principle and Exact Ordering. Cognition 2018, 180, 59–81. [Google Scholar] [CrossRef] [PubMed]
- Chen, L.; Akarsu, M.; Boferding, L. Finding the Boundary of Kindergarteners’ Subtraction Understanding: Prospective Teachers’ Problem Development and Questioning. J. Math. Teach. Educ. 2022, 25, 91–118. [Google Scholar] [CrossRef]
- Elia, I. Word Problem Solving and Pictorial Representations: Insights from an Exploratory Study in Kindergarten. ZDM 2020, 52, 17–31. [Google Scholar] [CrossRef]
- Else-Quest, N.M.; Hyde, J.S.; Linn, M.C. Cross-National Patterns of Gender Differences in Mathematics: A Meta-Analysis. Psychol. Bull. 2010, 136, 103–127. [Google Scholar] [CrossRef] [PubMed]
- Ryoo, J.H.; Molfese, V.J.; Brown, E.T. Strategies to Encourage Mathematics Learning in Early Childhood: Discussions and Brainstorming Promote Stronger Performance. Early Educ. Dev. 2018, 29, 603–617. [Google Scholar] [CrossRef]
- Ginsburg, H.P.; Baroody, A.J. TEMA-3: Test of Early Mathematics Ability, 3rd ed.; Pro-Ed: Austin, TX, USA, 2003. [Google Scholar]
- Yao, S.Y.; Muñez, D.; Bull, R.; Lee, K.; Khng, K.H.; Poon, K. Rasch Modeling of the Test of Early Mathematics Ability–Third Edition with a Sample of K1 Children in Singapor. J. Psychoeduc. Assess. 2017, 35, 615–627. [Google Scholar] [CrossRef]
- Bart, W.M.; Krus, D.J. An Ordering-Theoretic Method to Determine Hierarchies among Items. Educ. Psychol. Meas. 1973, 33, 291–300. [Google Scholar] [CrossRef]
- Liu, Y.L.; Tseng, S.C.; Kuo, B.C. A Study of Developing Knowledge Structure-Based Adaptive Testing System. J. Res. Meas. Stat. 2006, 14, 17–35. [Google Scholar]


| Item j | ||||
|---|---|---|---|---|
| Correct | Incorrect | Total | ||
| Item i | Correct | A (11) | B (10) | A + B |
| Incorrect | C (01) | D (00) | C + D | |
| Total | A + C | B + D | N | |
| 1 | 2 | 3 | 4 | 5 | 6 | 7 | 8 | 9 | 10 | 11 | 12 | 13 | |
|---|---|---|---|---|---|---|---|---|---|---|---|---|---|
| 1 | - | 0.02/0.00 | 0.02/0.00 | 0.02/0.00 | 0.03/0.02 | 0.02/0.02 | 0.03/0.02 | 0.02/0.00 | 0.00/0.00 | 0.00/0.02 | 0.00/0.02 | 0.00/0.00 | 0.00/0.00 |
| 2 | 0.02/0.02 | - | 0.00/0.00 | 0.00/0.00 | 0.03/0.03 | 0.02/0.03 | 0.03/0.03 | 0.00/0.00 | 0.00/0.02 | 0.00/0.02 | 0.00/0.02 | 0.00/0.00 | 0.02/0.00 |
| 3 | 0.02/0.02 | 0.00/0.00 | - | 0.00/0.00 | 0.03/0.03 | 0.02/0.03 | 0.03/0.03 | 0.00/0.00 | 0.00/0.02 | 0.00/0.02 | 0.00/0.02 | 0.00/0.00 | 0.02/0.00 |
| 4 | 0.02/0.02 | 0.00/0.00 | 0.00/0.00 | - | 0.03/0.03 | 0.02/0.03 | 0.03/0.03 | 0.00/0.00 | 0.00/0.02 | 0.00/0.02 | 0.00/0.02 | 0.00/0.00 | 0.02/0.00 |
| 5 | 0.03/0.00 | 0.03/0.00 | 0.03/0.00 | 0.03/0.00 | - | 0.03/0.00 | 0.03/0.00 | 0.03/0.00 | 0.02/0.00 | 0.02/0.00 | 0.02/0.00 | 0.00/0.00 | 0.00/0.00 |
| 6 | 0.00/0.00 | 0.00/0.00 | 0.00/0.00 | 0.00/0.00 | 0.02/0.00 | - | 0.02/0.00 | 0.00/0.00 | 0.00/0.00 | 0.00/0.00 | 0.00/0.00 | 0.00/0.00 | 0.00/0.00 |
| 7 | 0.02/0.00 | 0.02/0.00 | 0.02/0.00 | 0.02/0.00 | 0.02/0.00 | 0.02/0.00 | - | 0.00/0.00 | 0.00/0.00 | 0.00/0.00 | 0.00/0.00 | 0.00/0.00 | 0.00/0.00 |
| 8 | 0.10/0.14 | 0.08/0.12 | 0.08/0.12 | 0.08/0.12 | 0.12/0.15 | 0.10/0.15 | 0.10/0.15 | - | 0.05/0.03 | 0.05/0.10 | 0.05/0.08 | 0.02/0.00 | 0.02/0.03 |
| 9 | 0.12/0.17 | 0.12/0.17 | 0.12/0.17 | 0.12/0.17 | 0.14/0.19 | 0.14/0.19 | 0.14/0.19 | 0.08/0.07 | - | 0.03/0.12 | 0.02/0.08 | 0.02/0.00 | 0.03/0.03 |
| 10 | 0.15/0.17 | 0.15/0.15 | 0.15/0.15 | 0.15/0.15 | 0.17/0.17 | 0.17/0.17 | 0.17/0.17 | 0.12/0.12 | 0.07/0.10 | - | 0.00/0.00 | 0.00/0.00 | 0.05/0.02 |
| 11 | 0.20/0.24 | 0.20/0.22 | 0.20/0.22 | 0.20/0.22 | 0.22/0.24 | 0.22/0.24 | 0.22/0.24 | 0.17/0.17 | 0.10/0.14 | 0.05/0.07 | - | 0.02/0.00 | 0.08/0.03 |
| 12 | 0.36/0.44 | 0.36/0.42 | 0.36/0.42 | 0.36/0.42 | 0.36/0.46 | 0.37/0.46 | 0.37/0.46 | 0.29/0.31 | 0.25/0.27 | 0.20/0.29 | 0.17/0.22 | - | 0.10/0.14 |
| 13 | 0.27/0.34 | 0.29/0.32 | 0.29/0.32 | 0.29/0.32 | 0.27/0.36 | 0.29/0.36 | 0.29/0.36 | 0.20/0.24 | 0.19/0.20 | 0.17/0.20 | 0.15/0.15 | 0.02/0.03 | - |
Publisher’s Note: MDPI stays neutral with regard to jurisdictional claims in published maps and institutional affiliations. |
© 2022 by the author. Licensee MDPI, Basel, Switzerland. This article is an open access article distributed under the terms and conditions of the Creative Commons Attribution (CC BY) license (https://creativecommons.org/licenses/by/4.0/).
Share and Cite
Wu, C.-C. Constructing Counting and Arithmetic Learning Trajectories for Kindergarteners: A Preliminary Investigation in Taiwan. Children 2022, 9, 1994. https://doi.org/10.3390/children9121994
Wu C-C. Constructing Counting and Arithmetic Learning Trajectories for Kindergarteners: A Preliminary Investigation in Taiwan. Children. 2022; 9(12):1994. https://doi.org/10.3390/children9121994
Chicago/Turabian StyleWu, Chung-Chin. 2022. "Constructing Counting and Arithmetic Learning Trajectories for Kindergarteners: A Preliminary Investigation in Taiwan" Children 9, no. 12: 1994. https://doi.org/10.3390/children9121994
APA StyleWu, C.-C. (2022). Constructing Counting and Arithmetic Learning Trajectories for Kindergarteners: A Preliminary Investigation in Taiwan. Children, 9(12), 1994. https://doi.org/10.3390/children9121994
