Clinical Predictors of Prolonged Hospitalization in Children with Community-Acquired Pneumonia
Highlights
- •
- Disease severity, pneumonia complications, and chronic medical conditions independently predict prolonged hospitalization (≥10 days) in 27.5% of children with community-acquired pneumonia.
- •
- Early identification of these predictors enables risk stratification at admission and the implementation of targeted interventions to reduce length of stay.
- •
- Recognizing these predictors at admission allows for early risk stratification and more accurate caregiver counseling.
- •
- Quality-improvement projects should focus on streamlining care and implementing tailored pathways to reduce unnecessary hospital delays.
Abstract
1. Introduction
2. Materials and Methods
2.1. Study Design
2.2. Study Population
2.3. Primary Outcome
2.4. Data Collection
2.5. Severity Assessment
2.6. Statistical Analysis
3. Results
3.1. Study Population and Baseline Characteristics
3.2. Demographic Characteristics
3.3. Clinical Characteristics and Bivariate Comparisons
3.4. Multivariate Logistic Regression Analysis
4. Discussion
5. Conclusions
Author Contributions
Funding
Institutional Review Board Statement
Informed Consent Statement
Data Availability Statement
Acknowledgments
Conflicts of Interest
Abbreviations
| CAP | Community-acquired pneumonia |
| LOS | Length of stay |
| KSUMC | King Saud University Medical City |
| PIDS | Pediatric Infectious Diseases Society |
| IDSA | Infectious Diseases Society of America |
| IQR | Interquartile ranges |
| OR | Odds ratios |
| CI | Confidence intervals |
| IRB | Institutional Review Board |
References
- McAllister, D.A.; Liu, L.; Shi, T.; Chu, Y.; Reed, C.; Burrows, J.; Adeloye, D.; Rudan, I.; Black, R.E.; Campbell, H.; et al. Global, regional, and national estimates of pneumonia morbidity and mortality in children younger than 5 years between 2000 and 2015: A systematic analysis. Lancet Glob Health 2019, 7, e47–e57. [Google Scholar] [CrossRef]
- Troeger, C.; Blacker, B.; Khalil, I.A.; Rao, P.C.; Cao, J.; Zimsen, S.R.; Albertson, S.B.; Deshpande, A.; Farag, T.; Abebe, Z. Estimates of the global, regional, and national morbidity, mortality, and aetiologies of lower respiratory infections in 195 countries, 1990–2016: A systematic analysis for the Global Burden of Disease Study 2016. Lancet Infect. Dis. 2018, 18, 1191–1210. [Google Scholar] [CrossRef]
- Pneumonia in Children Statistics. Available online: https://data.unicef.org/topic/child-health/pneumonia/ (accessed on 15 October 2025).
- Chisti, M.J.; Tebruegge, M.; La Vincente, S.; Graham, S.M.; Duke, T. Pneumonia in severely malnourished children in developing countries–mortality risk, aetiology and validity of WHO clinical signs: A systematic review. Trop. Med. Int. Health 2009, 14, 1173–1189. [Google Scholar] [CrossRef]
- Le Roux, D.M.; Nicol, M.P.; Vanker, A.; Nduru, P.M.; Zar, H.J. Factors associated with serious outcomes of pneumonia among children in a birth cohort in South Africa. PLoS ONE 2021, 16, e0255790. [Google Scholar] [CrossRef] [PubMed]
- Bradley, J.S.; Byington, C.L.; Shah, S.S.; Alverson, B.; Carter, E.R.; Harrison, C.; Kaplan, S.L.; Mace, S.E.; McCracken, G.H., Jr.; Moore, M.R. The management of community-acquired pneumonia in infants and children older than 3 months of age: Clinical practice guidelines by the Pediatric Infectious Diseases Society and the Infectious Diseases Society of America. Clin. Infect. Dis. 2011, 53, e25–e76. [Google Scholar] [CrossRef] [PubMed]
- Demetriou, E.A.; Boulton, K.A.; Thapa, R.; Sun, C.; Gilroy, J.; Bowden, M.R.; Guastella, A. Burden of paediatric hospitalisations to the health care system, child and family: A systematic review of Australian studies (1990–2022). Lancet Reg. Health–West. Pac. 2023, 40, 100878. [Google Scholar] [CrossRef] [PubMed]
- de Souza, D.M.; Nascimento, R.D.S.; Ferrer, A.P.S.; de Souza, M.V.; Rossato, L.M.; Damião, E.B.C. Family perceptions of prolonged hospitalization for children with complex chronic conditions: Between losses and adaptations in an uncertain future. J. Child Health Care Prof. Work. Child. Hosp. Community 2025. Online ahead of print. [Google Scholar] [CrossRef]
- Aktar, F.; Tekin, R.; Güneş, A.; Ülgen, C.; Tan, I.; Ertuğrul, S.; Köşker, M.; Balık, H.; Karabel, D.; Yolbaş, I. Determining the independent risk factors and mortality rate of nosocomial infections in pediatric patients. BioMed Res. Int. 2016, 2016, 7240864. [Google Scholar] [CrossRef] [PubMed]
- Dinku, H.; Amare, D.; Mulatu, S.; Abate, M.D. Predictors of prolonged hospitalization among children aged 2–59 months with severe community-acquired pneumonia in public hospitals of Benishangul-Gumuz Region, Ethiopia: A multicenter retrospective follow-up study. Front. Pediatr. 2023, 11, 1189155. [Google Scholar] [CrossRef]
- Pınar, S.; Cinel, G. Pnömoni Tanısı İle Hastaneye Yatırılan Çocuk Hastalarda Olası Risk Faktörlerinin Morbidite Üzerine Etkileri. Türkiye Çocuk Hast. Derg. 2021, 15, 262–271. [Google Scholar]
- Zhou, X.; Zhang, B.; Li, Y.; Zhao, X. Association between Gustave Roussy Immune Score and delay in discharge among children and adolescents with mycoplasma pneumoniae pneumonia: A retrospective cohort study. Front. Pediatr. 2025, 13, 1564217. [Google Scholar] [CrossRef] [PubMed]
- Breuer, O.; Picard, E.; Benabu, N.; Erlichman, I.; Reiter, J.; Tsabari, R.; Shoseyov, D.; Kerem, E.; Cohen-Cymberknoh, M. Predictors of prolonged hospitalizations in pediatric complicated pneumonia. Chest 2018, 153, 172–180. [Google Scholar] [CrossRef] [PubMed]
- Kuti, B.P.; Adegoke, S.A.; Oyelami, O.A.; Ota, M.O. Predictors of prolonged hospitalisation in childhood pneumonia in a rural health centre. S. Afr. J. Child Health 2014, 8, 11–15. [Google Scholar] [CrossRef]
- Jain, S.; Williams, D.J.; Arnold, S.R.; Ampofo, K.; Bramley, A.M.; Reed, C.; Stockmann, C.; Anderson, E.J.; Grijalva, C.G.; Self, W.H. Community-acquired pneumonia requiring hospitalization among US children. N. Engl. J. Med. 2015, 372, 835–845. [Google Scholar] [CrossRef]
- Jakhar, S.K.; Pandey, M.; Shah, D.; Ramachandran, V.; Saha, R.; Gupta, N.; Gupta, P. Etiology and risk factors determining poor outcome of severe pneumonia in under–five children. Indian J. Pediatr. 2018, 85, 20–24. [Google Scholar] [CrossRef]
- Dinka, I.R.; Seyoum, D.; Debelo, S.; Fikadu, G.; Regasa, M.T.; Abdena, H.F.; Jiren, R.T.; Ayana, W.G. Time to recovery and its predictors among under-five children admitted with severe pneumonia in East Wallaga Zone public hospitals, western Ethiopia, 2023; a retrospective cohort study. BMC Pediatr. 2024, 24, 459. [Google Scholar] [CrossRef]
- Fenta Kebede, B.; Dagnaw Genie, Y.; Biyazin Tesfa, T.; Yetwale Hiwot, A.; Kindie Mulu, K.; Adugnaw, E.; Mihretu, E.; Sewmehone Endalew, E. Predictors of Prolonged Hospital Stay Among Pediatric Patients with Severe Pneumonia, Southwest Ethiopia: Prospective Follow-Up Study. Health Serv. Res. Manag. Epidemiol. 2024, 11, 23333928241258057. [Google Scholar] [CrossRef]
- McClain, L.; Hall, M.; Shah, S.S.; Tieder, J.S.; Myers, A.L.; Auger, K.; Statile, A.M.; Jerardi, K.; Ann Queen, M.; Fieldston, E. Admission chest radiographs predict illness severity for children hospitalized with pneumonia. J. Hosp. Med. 2014, 9, 559–564. [Google Scholar] [CrossRef]
- Nair, H.; Simoes, E.A.; Rudan, I.; Gessner, B.D.; Azziz-Baumgartner, E.; Zhang, J.S.F.; Feikin, D.R.; Mackenzie, G.A.; Moiisi, J.C.; Roca, A.; et al. Global and regional burden of hospital admissions for severe acute lower respiratory infections in young children in 2010: A systematic analysis. Lancet 2013, 381, 1380–1390. [Google Scholar] [CrossRef]
- Gonapaladeniya, M.; Dissanayake, T.; Kavirathna, M.; Liyanage, G. Length of hospital stay in children with severe community-acquired pneumonia: Influence of clinical and laboratory parameters. Sri Lanka J. Child Health 2025, 54, 46–52. [Google Scholar] [CrossRef]
- Mengist, B.; Tesfa, M.; Kassie, B. Time to recovery and predictors of severe community-acquired pneumonia among pediatric patients in Debre Markos referral hospital, North West Ethiopia: A retrospective follow-up study. PLoS ONE 2020, 15, e0239655. [Google Scholar] [CrossRef] [PubMed]

| Signs of Respiratory Distress |
|---|
| Tachypnea (respiratory rate, breaths/min): • Age 0–2 months: >60 • Age 2–12 months: >50 • Age 1–5 years: >40 • Age > 5 years: >20 Dyspnea Retractions (suprasternal, intercostal, or subcostal) Grunting Nasal flaring Apnea Altered mental status Pulse oximetry measurement <90% on room air |
| Variable | Shorter Stay n = 330 | Prolonged Hospitalization n = 125 | p Value |
|---|---|---|---|
| Male sex, n (%) | 175 (53.0) | 64 (51.2) | 0.73 |
| Age, median (IQR), years | 2 (3.9) | 2 (4.1) | 0.97 |
| Chronic conditions, n (%) | 178 (53.9) | 87 (69.6) | <0.01 |
| Moderate-to-severe disease, n (%) | 70 (21.2) | 91 (72.8) | <0.01 |
| Oxygen supply, n (%) | 207 (62.7) | 114 (91.2) | <0.01 |
| Ventilation support, n (%) | 34 (10.3) | 43 (34.4) | <0.01 |
| Pneumonia complications, n (%) | 1 (<1) | 15 (12.0) | <0.01 |
| 1 | 9 | |
| 0 | 2 | |
| 0 | 4 | |
| Bacteremia, n (%) | 10 (3.0) | 15 (12.0) | <0.01 |
| Clinical Category | Included Conditions | n (%) |
|---|---|---|
| Genetic and Congenital Disorders | Genetic disorders; congenital anomalies; congenital respiratory anomalies; inborn errors of metabolism | 72 (15.8) |
| Cardiac Disorders | Congenital heart disease | 8 (1.8) |
| Neurological Conditions | Neurodevelopmental disorders; neuromuscular disorders; neurological diseases | 62 (13.6) |
| Respiratory Disorders | Pulmonology/respiratory diseases | 49 (10.8) |
| Hematologic Disorders | Hemoglobinopathies; hematologic disorders | 13 (2.9) |
| Immunologic and Inflammatory Disorders | Immune dysregulation/immune defects; allergic/atopic disorders; rheumatologic/vasculitic disorders | 13 (2.9) |
| Other Systemic Disorders | Endocrine; hepatobiliary; oncologic disorders | 6 (1.3) |
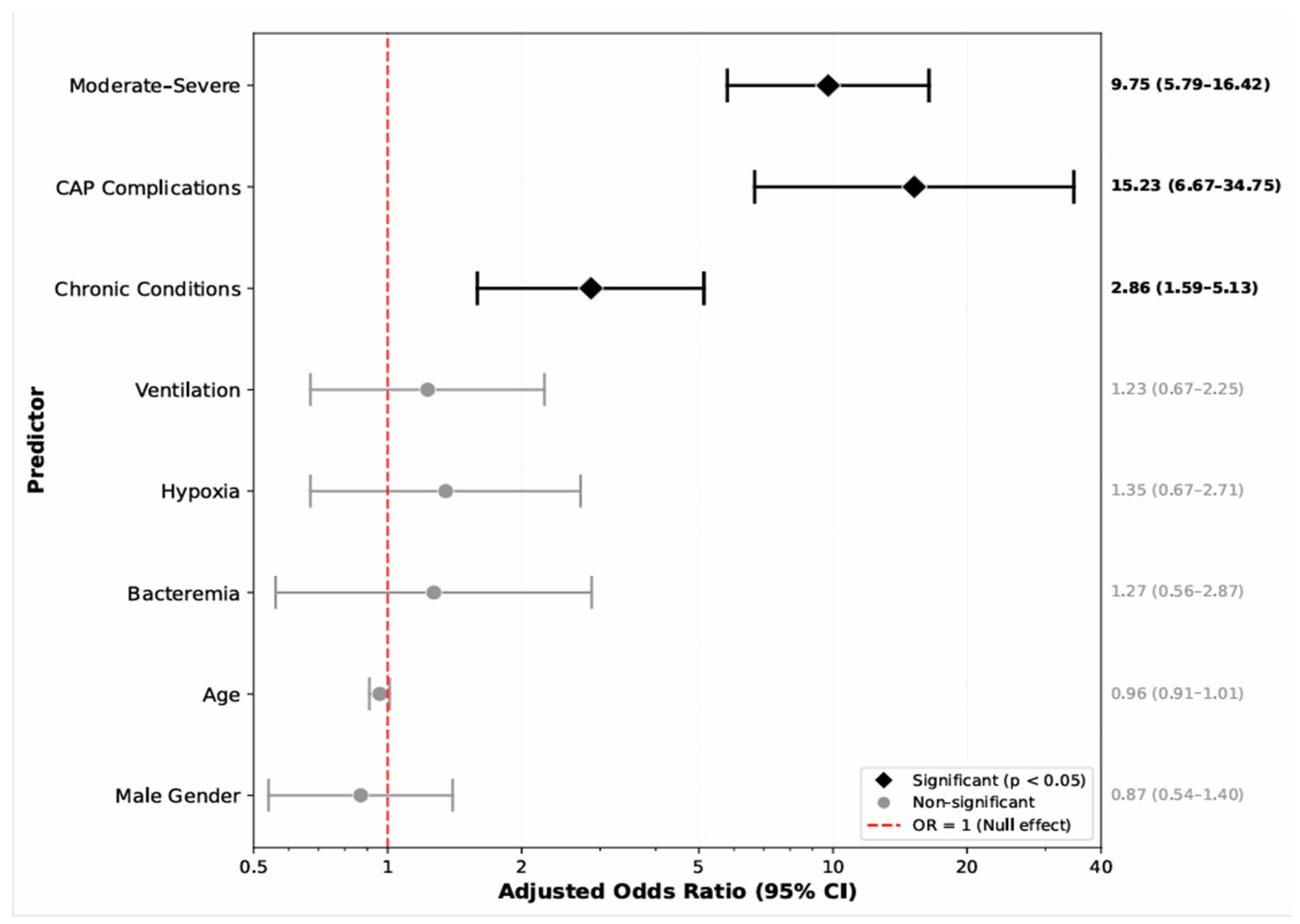
| Variable Category | Coefficient | S.E. | p Value | Odds Ratio | 95% C.I. for Odds Ratio | |
|---|---|---|---|---|---|---|
| Lower | Upper | |||||
| Gender | 0.072 | 0.323 | 0.824 | 1.075 | 0.571 | 2.024 |
| Age | −0.006 | 0.049 | 0.896 | 0.994 | 0.902 | 1.094 |
| Moderate–Severe Disease | 2.277 | 0.589 | <0.001 | 9.752 | 3.077 | 30.908 |
| Hypoxia | 0.426 | 0.456 | 0.350 | 1.531 | 0.626 | 3.745 |
| Ventilation support | −0.107 | 0.618 | 0.862 | 0.898 | 0.268 | 3.013 |
| Bacteremia | 0.572 | 0.730 | 0.433 | 1.772 | 0.424 | 7.406 |
| Pneumonia complication | 2.719 | 1.157 | 0.019 | 15.166 | 1.572 | 146.349 |
| Underlying condition | 1.057 | 0.407 | 0.009 | 2.878 | 1.296 | 6.387 |
Disclaimer/Publisher’s Note: The statements, opinions and data contained in all publications are solely those of the individual author(s) and contributor(s) and not of MDPI and/or the editor(s). MDPI and/or the editor(s) disclaim responsibility for any injury to people or property resulting from any ideas, methods, instructions or products referred to in the content. |
© 2026 by the authors. Licensee MDPI, Basel, Switzerland. This article is an open access article distributed under the terms and conditions of the Creative Commons Attribution (CC BY) license.
Share and Cite
Alharbi, N.S.; Alsohime, F.; Alharthi, W.A.; Alqarni, B.A.; Ghawi, A.; Alrabiaah, A. Clinical Predictors of Prolonged Hospitalization in Children with Community-Acquired Pneumonia. Children 2026, 13, 226. https://doi.org/10.3390/children13020226
Alharbi NS, Alsohime F, Alharthi WA, Alqarni BA, Ghawi A, Alrabiaah A. Clinical Predictors of Prolonged Hospitalization in Children with Community-Acquired Pneumonia. Children. 2026; 13(2):226. https://doi.org/10.3390/children13020226
Chicago/Turabian StyleAlharbi, Nasser S., Fahad Alsohime, Waleed Abdulla Alharthi, Bader A. Alqarni, Afrah Ghawi, and Abdulkarim Alrabiaah. 2026. "Clinical Predictors of Prolonged Hospitalization in Children with Community-Acquired Pneumonia" Children 13, no. 2: 226. https://doi.org/10.3390/children13020226
APA StyleAlharbi, N. S., Alsohime, F., Alharthi, W. A., Alqarni, B. A., Ghawi, A., & Alrabiaah, A. (2026). Clinical Predictors of Prolonged Hospitalization in Children with Community-Acquired Pneumonia. Children, 13(2), 226. https://doi.org/10.3390/children13020226

