Vitamin D Supplementation During Pregnancy and Maternal and Neonatal Vitamin D Status at ≤32 Weeks Gestation: Romanian Prospective Observational Cohort Study
Abstract
1. Introduction
2. Materials and Methods
2.1. Design
2.2. Study Population
2.3. Data Collection
2.4. Statistical Analysis
3. Results
3.1. Participant Attributes
3.2. Maternal and Neonatal Vitamin D Deficiency and Insufficiency
3.3. Correlations Between Maternal and Neonatal Vitamin D Status at Birth
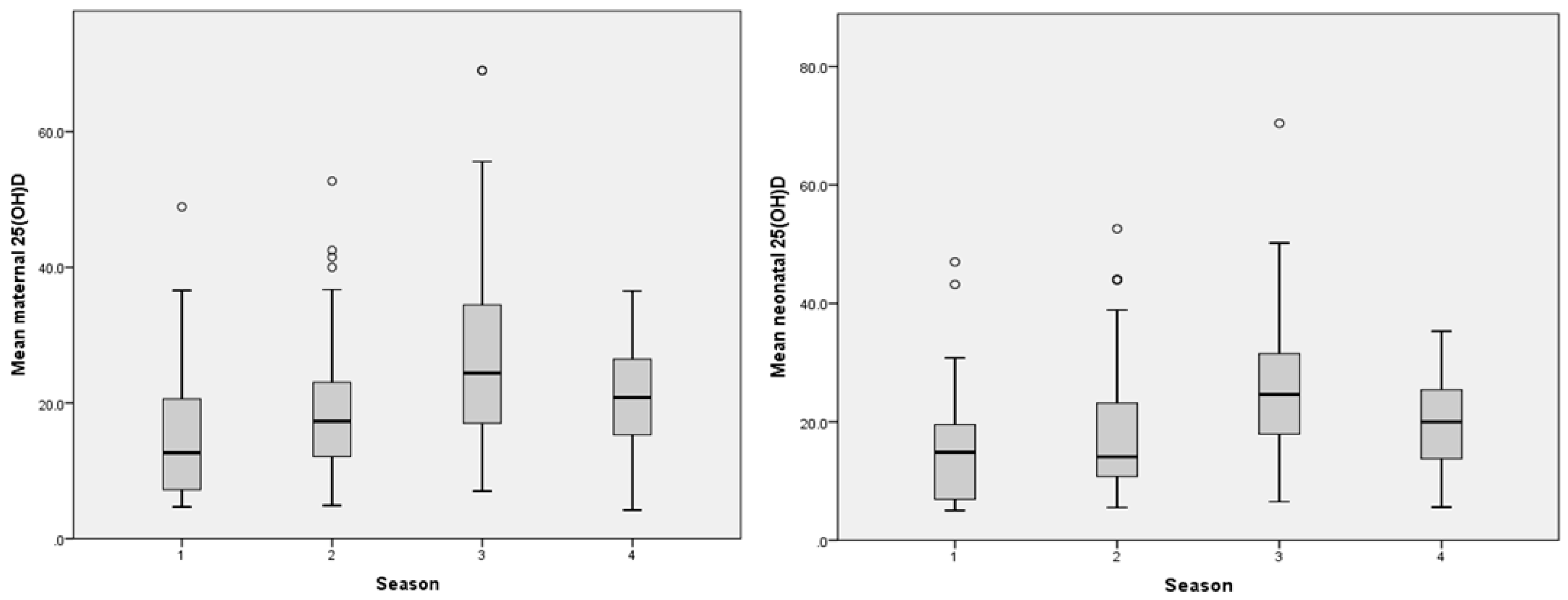
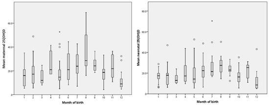
3.4. Maternal Vitamin D Status and Seasonality
3.5. Vitamin D Deficiency and Insufficiency and Association with Maternal Characteristics and Pregnancy Outcomes
3.6. Vitamin D Deficiency and Insufficiency and Association with Neonatal Characteristics
3.7. Risk Factors for Vitamin D Severe Deficiency, Deficiency, and Insufficiency
4. Discussion
4.1. Particularities of the Study Group
4.2. Maternal and Neonatal Vitamin D Status at Birth
4.3. Seasonality and Its Influence on Maternal and Neonatal Vitamin D Status
4.4. Maternal Vitamin D Status and Adverse Pregnancy Outcomes
4.5. Vitamin D Supplementation During Pregnancy and Its Effect on Maternal Vitamin D Status at Birth
4.6. Independent Risk Factor for Inadequate Maternal Vitamin D Status at Birth
5. Final Comments
6. Conclusions
Author Contributions
Funding
Institutional Review Board Statement
Informed Consent Statement
Data Availability Statement
Acknowledgments
Conflicts of Interest
References
- van der Pligt, P.; Willcox, J.; Szymlek-Gay, E.A.; Murray, E.; Worsley, A.; Daly, R.M. Associations of Maternal Vitamin D Deficiency with Pregnancy and Neonatal Complications in Developing Countries: A Systematic Review. Nutrients 2018, 10, 640. [Google Scholar] [CrossRef] [PubMed]
- Grant, W.B.; Wimalawansa, S.J.; Pludowski, P.; Cheng, R.Z. Vitamin D: Evidence-Based Health Benefits and Recommendations for Population Guidelines. Nutrients 2025, 17, 277. [Google Scholar] [CrossRef]
- Roth, D.E.; Abrams, S.A.; Aloia, J.; Bergeron, G.; Bourassa, M.W.; Brown, K.H.; Calvo, M.S.; Cashman, K.D.; Combs, G.; De-Regil, L.M.; et al. Global prevalence and disease burden of vitamin D deficiency: A roadmap for action in low- and middle-income countries. Ann. N. Y. Acad. Sci. 2018, 1430, 44–79. [Google Scholar] [CrossRef] [PubMed]
- Cui, X.; Fu, J. Early prediction of bronchopulmonary dysplasia: Can noninvasive monitoring methods be essential? ERJ Open Res. 2023, 9, 00621–02022. [Google Scholar] [CrossRef]
- Wimalawansa, S.J. Physiological Basis for Using Vitamin D to Improve Health. Biomedicines 2023, 11, 1542, Erratum in Biomedicines 2024, 12, 2807. [Google Scholar] [CrossRef]
- Mansur, J.L.; Oliveri, B.; Giacoia, E.; Fusaro, D.; Costanzo, P.R. Vitamin D: Before, during and after Pregnancy: Effect on Neonates and Children. Nutrients 2022, 14, 1900. [Google Scholar] [CrossRef] [PubMed] [PubMed Central]
- Liu, Y.; Ding, C.; Xu, R.; Wang, K.; Zhang, D.; Pang, W.; Tu, W.; Chen, Y. Effects of vitamin D supplementation during pregnancy on offspring health at birth: A meta-analysis of randomized controlled trails. Clin. Nutr. 2022, 41, 1532–1540. [Google Scholar] [CrossRef]
- Bärebring, L.; Amberntsson, A.; Augustin, H. A validated screening tool correctly identifies the majority of pregnant women at high risk of vitamin D deficiency. Clin. Nutr. ESPEN 2022, 49, 301–306. [Google Scholar] [CrossRef]
- Christoph, P.; Challande, P.; Raio, L.; Surbek, D. High prevalence of severe vitamin D deficiency during the first trimester in pregnant women in Switzerland and its potential contributions to adverse outcomes in the pregnancy. Swiss Med. Wkly. 2020, 150, w20238. [Google Scholar] [CrossRef] [PubMed]
- Monangi, N.; Slaughter, J.L.; Dawodu, A.; Smith, C.; Akinbi, H.T. Vitamin D status of early preterm infants and the effects of vitamin D intake during hospital stay. Arch. Dis. Child. Fetal Neonatal Ed. 2014, 99, F166–F168. [Google Scholar] [CrossRef]
- Mendes, M.M.; Darling, A.L.; Hart, K.H.; Morse, S.; Murphy, R.J.; Lanham-New, S.A. Impact of high latitude, urban living and ethnicity on 25-hydroxyvitamin D status: A need for multidisciplinary action? J. Steroid Biochem. Mol. Biol. 2019, 188, 95–102. [Google Scholar] [CrossRef] [PubMed]
- World Health Organization. WHO Antenatal Care Recommendations for a Positive Pregnancy Experience: Nutritional Interventions Update: Vitamin D Supplements During Pregnancy; World Health Organization: Geneva, Switzerland, 2020.
- Agüero-Domenech, N.; Jover, S.; Sarrión, A.; Baranda, J.; Quesada-Rico, J.A.; Pereira-Expósito, A.; Gil-Guillén, V.; Cortés-Castell, E.; García-Teruel, M.J. Vitamin D Deficiency and Gestational Diabetes Mellitus in Relation to Body Mass Index. Nutrients 2021, 14, 102. [Google Scholar] [CrossRef] [PubMed]
- Zung, A.; Topf-Olivestone, C.; Shinwell, E.S.; Hofi, L.; Juster-Reicher, A.; Flidel-Rimon, O. Reassessing vitamin D supplementation in preterm infants: A prospective study and review of the literature. J. Pediatr. Endocrinol. Metab. 2020, 33, 1273–1281. [Google Scholar] [CrossRef]
- Matejek, T.; Zemankova, J.; Malakova, J.; Cermakova, E.; Skalova, S.; Palicka, V. Severe vitamin D deficiency in preterm infants: Possibly no association with clinical outcomes? Matern. Fetal Neonatal Med. 2022, 35, 1562–1570. [Google Scholar] [CrossRef]
- You, Z.; Mei, H.; Zhang, Y.; Song, D.; Zhang, Y.; Liu, C. The effect of vitamin D deficiency during pregnancy on adverse birth outcomes in neonates: A systematic review and meta-analysis. Front. Pediatr. 2024, 12, 1399615. [Google Scholar] [CrossRef]
- Dullaert, B.; Schroven, S.; Jacquemyn, Y. The effect of maternal vitamin D status on pregnancy outcome and child health in the first year of life. Clin. Exp. Obstet. Gynecol. 2018, 45, 677–681. [Google Scholar] [CrossRef]
- Matejek, T.; Navratilova, M.; Zaloudkova, L.; Malakova, J.; Maly, J.; Skalova, S.; Palicka, V. Vitamin D status of very low birth weight infants at birth and the effects of generally recommended supplementation on their vitamin D levels at discharge. J. Matern. Fetal Neonatal Med. 2020, 33, 3784–3790. [Google Scholar] [CrossRef]
- Baldan, E.; Yarcı, E. Serum 25-Hydroxyvitamin D Levels in Preterm Infants Born at Gestational Age of ≤32 Weeks and Prematurity-related Morbidities and Complications. J. Dr. Behcet Uz Child. Hosp. 2022, 12, 169–175. [Google Scholar] [CrossRef]
- GhehsarehArdastani, A.; Hashemi, E.; Beheshtinejad, M.; Dorostkar, R. Comparison of 25- Hydroxy Vitamin D Levels in Premature Infants with and without Respiratory Distress. Iran. J. Neonatol. 2020, 11, 109–114. [Google Scholar] [CrossRef]
- Boskabadi, H.; Mamoori, G.; Khatami, S.F.; Faramarzi, R. Serum level of vitamin D in preterm infants and its association with premature-related respiratory complications: A case-control study. Electron. Physician. 2018, 10, 6208–6214. [Google Scholar] [CrossRef]
- Yu, H.; Fu, J.; Feng, Y. Utility of umbilical cord blood 25-hydroxyvitamin D levels for predicting bronchopulmonary dysplasia in preterm infants with very low and extremely low birth weight. Front. Pediatr. 2022, 10, 956952. [Google Scholar] [CrossRef] [PubMed]
- Zhang, X.; Luo, K.; He, X.; Chen, P. Association of vitamin D status at birth with pulmonary disease morbidity in very preterm infants. Pediatr. Pulmonol. 2021, 56, 1215–1220. [Google Scholar] [CrossRef] [PubMed]
- Papalia, H.; Samonini, A.; Buffat, C.; Gras, E.; des Robert, C.; Landrier, J.F.; Pauly, V.; Boubred, F. Low Vitamin D Levels at Birth and Early Respiratory Outcome in Infants With Gestational Age Less Than 29 Weeks. Front. Pediatr. 2022, 9, 790839. [Google Scholar] [CrossRef] [PubMed]
- Budič, P.; Paro-Panjan, D.; Duh, K.; Soltirovska-Šalamon, A. The influence of maternal levels of vitamin D and adiponectin on offspring’s health. Pediatr. Neonatol. 2022, 63, 394–401. [Google Scholar] [CrossRef]
- Nabiel, N.; Nugroho, H.W.; Moelyo, A.G. Vitamin D Deficiency is Associated with Hypocalcemia in Preterm Infants. Mol. Cell. Biomed. Sci. 2024, 8, 90–95. [Google Scholar] [CrossRef]
- Park, H.W.; Lim, G.; Park, Y.-M.; Chang, M.; Son, J.S.; Lee, R. Association between vitamin D level and bronchopulmonary dysplasia: A systematic review and meta-analysis. PLoS ONE 2020, 15, e0235332. [Google Scholar] [CrossRef]
- Holick, M.F.; Binkley, N.C.; Bischoff-Ferrari, H.A.; Gordon, C.M.; Hanley, D.A.; Heaney, R.P.; Murad, M.H.; Weaver, C.M.; Endocrine Society. Evaluation, treatment, and prevention of vitamin D deficiency: An Endocrine Society clinical practice guideline. J. Clin. Endocrinol. Metab. 2011, 96, 1911–1930, Erratum in J. Clin. Endocrinol. Metab. 2024, 109, e1991. [Google Scholar] [CrossRef]
- Demay, M.B.; Pittas, A.G.; Bikle, D.D.; Diab, D.L.; Kiely, M.E.; Lazaretti-Castro, M.; Lips, P.; Mitchell, D.M.; Murad, M.H.; Powers, S.; et al. Vitamin D for the Prevention of Disease: An Endocrine Society Clinical Practice Guideline. J. Clin. Endocrinol. Metab. 2024, 109, 1907–1947, Erratum in J. Clin. Endocrinol. Metab. 2024, 110, e916. [Google Scholar] [CrossRef]
- Gioxari, A.; Papandreou, P.; Daskalou, E.; Kaliora, A.C.; Skouroliakou, M. Association of Serum Calcium Levels of Preterm Neonates at Birth with Calcium Intake from Foods and Supplements by Bedridden Women during Pregnancy. Healthcare 2024, 12, 693. [Google Scholar] [CrossRef]
- Phiri, C.B.; Davis, C.R.; Grahn, M.; Gannon, B.M.; Kokinos, B.P.; Crenshaw, T.D.; Tanumihardjo, S.A. Vitamin D Maintains Growth and Bone Mineral Density against a Background of Severe Vitamin A Deficiency and Moderate Toxicity in a Swine Model. Nutrients 2024, 16, 2037. [Google Scholar] [CrossRef]
- Giustina, A.; Bilezikian, J.P.; Adler, R.A.; Banfi, G.; Bikle, D.D.; Binkley, N.C.; Bollerslev, J.; Bouillon, R.; Brandi, M.L.; Casanueva, F.F.; et al. Consensus Statement on Vitamin D Status Assessment and Supplementation: Whys, Whens, and Hows. Endocr. Rev. 2024, 45, 625–654. [Google Scholar] [CrossRef] [PubMed]
- Romero-Lopez, M.; Naik, M.; Holzapfel, L.F.; Tyson, J.E.; Pedroza, C.; Ahmad, K.A.; Rysavy, M.A.; Carlo, W.A.; Zhang, Y.; Tibe, C.; et al. Enteral nutritional practices in extremely preterm infants: A survey of U.S. NICUs. J. Perinatol. 2024. online ahead of print. [Google Scholar] [CrossRef] [PubMed]
- Çetinkaya, M.; Çekmez, F.; Erener-Ercan, T.; Buyukkale, G.; Demirhan, A.; Aydemir, G.; Aydin, F.N. Maternal/neonatal vitamin D deficiency: A risk factor for bronchopulmonary dysplasia in preterms? J Perinatol. 2015, 35, 813–817. [Google Scholar] [CrossRef]
- Boskabadi, H.; Zakerihamidi, M.; Mehrad-Majd, H.; Ghoflchi, S. Evaluation of vitamin D in the diagnosis of infants with respiratory distress, the clinical value: A systematic review and meta-analysis. Paediatr. Respir. Rev. 2024, 53, 44–45. [Google Scholar] [CrossRef] [PubMed]
- Salas, A.A.; Woodfin, T.; Phillips, V.; Peralta-Carcelen, M.; Carlo, W.A.; Ambalavanan, N. Dose-Response Effects of Early Vitamin D Supplementation on Neurodevelopmental and Respiratory Outcomes of Extremely Preterm Infants at 2 Years of Age: A Randomized Trial. Neonatology 2018, 113, 256–262. [Google Scholar] [CrossRef]
- Yates, N.; Gunn, A.J.; Bennet, L.; Dhillon, S.K.; Davidson, J.O. Preventing Brain Injury in the Preterm Infant-Current Controversies and Potential Therapies. Int. J. Mol. Sci. 2021, 22, 1671. [Google Scholar] [CrossRef]
- Ma, S.S.; Zhu, D.M.; Yin, W.J.; Hao, J.H.; Huang, K.; Tao, F.B.; Tao, R.X.; Zhu, P. The role of neonatal vitamin D in the association of prenatal depression with toddlers ADHD symptoms: A birth cohort study. J. Affect. Disord. 2021, 281, 390–396. [Google Scholar] [CrossRef]
- Sava, F.; Treszl, A.; Hajdú, J.; Toldi, G.; Rigó, J., Jr.; Tulassay, T.; Vásárhelyi, B. Plasma vitamin D levels at birth and immune status of preterm infants. Immunobiology 2016, 221, 1289–1292. [Google Scholar] [CrossRef]
- Cutuli, S.L.; Ferrando, E.S.; Cammarota, F.; Franchini, E.; Caroli, A.; Lombardi, G.; Tanzarella, E.S.; Grieco, D.L.; Antonelli, M.; De Pascale, G. Update on vitamin D role in severe infections and sepsis. J. AnesthAnalg Crit. Care 2024, 4, 4. [Google Scholar] [CrossRef]
- Fort, P.; Salas, A.A.; Nicola, T.; Craig, C.M.; Carlo, W.A.; Ambalavanan, N. A Comparison of 3 Vitamin D Dosing Regimens in Extremely Preterm Infants: A Randomized Controlled Trial. J. Pediatr. 2016, 174, 132–138.e1. [Google Scholar] [CrossRef]
- Radu, I.A.; Ognean, M.L.; Ștef, L.; Giurgiu, D.I.; Cucerea, M.; Gheonea, C. Vitamin D: What We Know and What We Still Do Not Know About Vitamin D in Preterm Infants—A Literature Review. Children 2025, 12, 392. [Google Scholar] [CrossRef] [PubMed]
- Reyes, M.L.; Vizcaya, C.; Le Roy, C.; Loureiro, C.; Brinkmann, K.; Arancibia, M.; Campos, L.; Iturriaga, C.; Pérez-Mateluna, G.; Rojas-McKenzie, M.; et al. Weekly Vitamin D Supplementation to Prevent Acute Respiratory Infections in Young Children at Different Latitudes: A Randomized Controlled Trial. J. Pediatr. 2024, 275, 114249. [Google Scholar] [CrossRef]
- Yang, Y.; Li, Z.; Yan, G.; Jie, Q.; Rui, C. Effect of different doses of vitamin D supplementation on preterm infants—An updated meta-analysis. J. Matern. Fetal Neonatal Med. 2018, 31, 3065–3074. [Google Scholar] [CrossRef] [PubMed]
- Sanlier, N.; Guney-Coskun, M. Vitamin D, the immune system, and its relationship with diseases. Egypt. Pediatr. Assoc. Gaz. 2022, 70, 39. [Google Scholar] [CrossRef]
- Sassi, F.; Tamone, C.; D’Amelio, P. Vitamin D: Nutrient, Hormone, and Immunomodulator. Nutrients 2018, 10, 1656. [Google Scholar] [CrossRef]
- Sailike, B.; Onzhanova, Z.; Akbay, B.; Tokay, T.; Molnár, F. Vitamin D in Central Nervous System: Implications for Neurological Disorders. Int. J. Mol. Sci. 2024, 25, 7809. [Google Scholar] [CrossRef] [PubMed]
- Sotunde, O.F.; Laliberte, A.; Weiler, H.A. Maternal risk factors and newborn infant vitamin D status: A scoping literature review. Nutr. Res. 2019, 63, 1–20. [Google Scholar] [CrossRef]
- Wagner, C.L.; Hollis, B.W. The extraordinary metabolism of vitamin D. eLife 2022, 11, e77539. [Google Scholar] [CrossRef]
- Ashley, B.; Simner, C.; Manousopoulou, A.; Jenkinson, C.; Hey, F.; Frost, J.M.; Rezwan, F.I.; White, C.H.; Lofthouse, E.M.; Hyde, E.; et al. Placental uptake and metabolism of 25(OH)vitamin D determine its activity within the fetoplacental unit. eLife 2022, 11, e71094. [Google Scholar] [CrossRef]
- Jutell, M.; Bhat, S.; Bagge, M.L.; Isberg, P.E.; Wiberg, N. Correlation between maternal and umbilical cord 25-hydroxy-vitamin D levels over a range of values. A prospective observational study from the United Arab Emirates. PLoS ONE 2024, 19, e0299862. [Google Scholar] [CrossRef]
- Tofe-Valera, I.; Pérez-Navero, J.L.; Caballero-Villarraso, J.; Cañete, M.D.; Villa-Jiménez, R.; De la Torre-Aguilar, M.J. Vitamin d deficiency with high parathyroid hormone levels is related to late onset SEPSIS among preterm infants. BMC Pregnancy Childbirth 2023, 23, 23. [Google Scholar] [CrossRef]
- Mori, J.D.; Kassai, M.S.; Lebrão, C.W.; Affonso-Fonseca, F.L.; Sarni, R.O.S.; Suano-Souza, F.I. Influence of umbilical cord vitamin D serum levels on the growth of preterm infants. Nutrition 2023, 116, 112194. [Google Scholar] [CrossRef] [PubMed]
- Keskinsoy, B.; Mutlu Sütçüoğlu, B.; Özdemir, H.; Bayram, M. Vitamin D levels in pregnancies and neonatal outcomes. Perinat. J. 2023, 31, 25–30. [Google Scholar] [CrossRef]
- Hollis, B.W.; Wagner, C.L. Substantial Vitamin D Supplementation Is Required during the Prenatal Period to Improve Birth Outcomes. Nutrients 2022, 14, 899. [Google Scholar] [CrossRef] [PubMed]
- Zhang, H.; Wang, S.; Tuo, L.; Zhai, Q.; Cui, J.; Chen, D.; Xu, D. Relationship between Maternal Vitamin D Levels and Adverse Outcomes. Nutrients 2022, 14, 4230. [Google Scholar] [CrossRef]
- Chen, G.D.; Pang, T.T.; Li, P.S.; Zhou, Z.X.; Lin, D.X.; Fan, D.Z.; Guo, X.L.; Liu, Z.P. Early pregnancy vitamin D and the risk of adverse maternal and infant outcomes: A retrospective cohort study. BMC Pregnancy Childbirth 2020, 20, 465. [Google Scholar] [CrossRef]
- Tammo, Ö.; Yıldız, S. Vitamin D Deficiency and Its Clinical Results in Preeclamptic Mothers and Their Babies. Cureus 2022, 14, e23519. [Google Scholar] [CrossRef] [PubMed]
- Yue, C.Y.; Gao, J.P.; Zhang, C.Y.; Ying, C.M. Is serum vitamin D deficiency before gestational 20 weeks a risk factor for preeclampsia? Clin. Nutr. 2021, 40, 4430–4435. [Google Scholar] [CrossRef]
- Tous, M.; Villalobos, M.; Iglesias-Vázquez, L.; Fernández-Barrés, S.; Arija, V. Vitamin D status during pregnancy and offspring outcomes: A systematic review and meta-analysis of observational studies. Eur. J. Clin. Nutr. 2020, 74, 36–53. [Google Scholar] [CrossRef]
- Santos, H.G.D.; Longoni, A.; Trettim, J.P.; Lemes, I.T.; Menchaca, J.C.; do Amaral, C.C.; de Matos, M.B.; Quevedo, L.A.; Nedel, F.; Ghisleni, G.; et al. Deficiency of vitamin D is associated with antenatal depression: A cross-sectional study. Trends Psychiatry Psychother. 2024. online ahead of print. [Google Scholar] [CrossRef]
- Zhao, R.; Zhou, L.; Wang, S.; Yin, H.; Yang, X.; Hao, L. Effect of maternal vitamin D status on risk of adverse birth outcomes: A systematic review and dose-response meta-analysis of observational studies. Eur. J. Nutr. 2022, 61, 2881–2907. [Google Scholar] [CrossRef] [PubMed]
- Kurmangali, Z.; Abdykalykova, B.; Kurmangali, A.; Zhantagulov, D.; Terzic, M. The influence of vitamin D on pregnancy and outcomes: Current knowledge and future perspectives. Gynecol. Obstet. Investig. 2024, 89, 261–266. [Google Scholar] [CrossRef] [PubMed]
- Benaim, C.; Carrilho, T.R.B.; Farias, D.R.; Kac, G. Vitamin D during pregnancy and its association with birth outcomes: A Brazilian cohort study. Eur. J. Clin. Nutr. 2021, 75, 489–500. [Google Scholar] [CrossRef]
- Treiber, M.; Mujezinović, F.; PečovnikBalon, B.; Gorenjak, M.; Maver, U.; Dovnik, A. Association between umbilical cord vitamin D levels and adverse neonatal outcomes. J. Int. Med. Res. 2020, 48, 300060520955001. [Google Scholar] [CrossRef]
- Gallo, S.; McDermid, J.M.; Al-Nimr, R.I.; Hakeem, R.; Moreschi, J.M.; Pari-Keener, M.; Stahnke, B.; Papoutsakis, C.; Handu, D.; Cheng, F.W. Vitamin D Supplementation during Pregnancy: An Evidence Analysis Center Systematic Review and Meta-Analysis. J. Acad. Nutr. Diet. 2020, 120, 898–924.e4. [Google Scholar] [CrossRef] [PubMed]
- Palacios, C.; Kostiuk, L.L.; Cuthbert, A.; Weeks, J. Vitamin D supplementation for women during pregnancy. Cochrane Database Syst. Rev. 2024, 7, CD008873, Update in Cochrane Database Syst. Rev. 2024, 7, CD008873. https://doi.org/10.1002/14651858.CD008873.pub4. [Google Scholar] [CrossRef]
- Wang, S.; Xin, X.; Luo, W.; Mo, M.; Si, S.; Shao, B.; Shen, Y.; Cheng, H.; Yu, Y. Association of vitamin D and gene variants in the vitamin D metabolic pathway with preterm birth. Nutrition 2021, 89, 111349. [Google Scholar] [CrossRef]
- Fang, X.; Xie, Y.; Cao, S.; Liu, J.; Shi, Y.; Yu, L.; Zheng, T.; Liu, H.; Li, Y.; Xu, S.; et al. Associations between maternal urinary rare earth elements during pregnancy and birth weight-for-gestational age: Roles of cord blood vitamin D levels. Sci. Total Environ. 2024, 912, 169222. [Google Scholar] [CrossRef]
- Ene, M.C.; Tertiu, O.; Vrancianu, O.; Chifiriuc, M. Vitamin D status in adult and pediatric Romanian population. Roum. Arch. Microbiol. Immunol. 2018, 77, 198–212. [Google Scholar]
- Niculescu, D.A.; Capatina, C.A.M.; Dusceac, R.; Caragheorgheopol, A.; Ghemigian, A.; Poiana, C. Seasonal variation of serum vitamin D levels in Romania. Arch. Osteoporos. 2017, 12, 113. [Google Scholar] [CrossRef] [PubMed]
- Bucurica, S.; Prodan, I.; Pavalean, M.; Taubner, C.; Bucurica, A.; Socol, C.; Calin, R.; Ionita-Radu, F.; Jinga, M. Association of Vitamin D Deficiency and Insufficiency with Pathology in Hospitalized Patients. Diagnostics 2023, 13, 998. [Google Scholar] [CrossRef] [PubMed]
- Brîndușe, L.A.; Eclemea, I.; Neculau, A.E.; Cucu, M.A. Vitamin D Status in the Adult Population of Romania—Results of the European Health Examination Survey. Nutrients 2024, 16, 867. [Google Scholar] [CrossRef] [PubMed]
- Badiu Tișa, I.; Cozma-Petruț, A.; Samașca, G.; Miere, D.; Filip, L.; Banc, R.; Mîrza, O.; Iancu, M. Vitamin D Status among 2-18-Year-Old Romanian Pediatric Patients: A Single-Center Study. Nutrients 2024, 16, 2266. [Google Scholar] [CrossRef]
- Peptine, L.; Răileanu, C.-R.; Goroftei, L.; Verga, G.-I.; Neagu, A.; Gurău, T.; Grigore, I.; Zaharia, A.E.; Maftei, N.M.; Matei, M.N.; et al. The prevalence of vitamin D deficiency in a pediatric hospital in Romania. Innov. Rom. Food Biotechnol. 2023, 23. Available online: https://www.gup.ugal.ro/ugaljournals/index.php/IFRB/article/view/6067 (accessed on 10 February 2024).
- Ministerul Sănătății. Ghid Privind Evaluarea şi Terapia Deficitului de Vitamină D la Gravidă, Nou-Născut şi Copil. Monitorul Oficial 24 September 2019; Volume 773. Available online: https://legislatie.just.ro/public/DetaliiDocument/218406 (accessed on 10 February 2024).
- Dragomir, R.E.; Toader, D.O.; Gheoca Mutu, D.E.; Dogaru, I.A.; Răducu, L.; Tomescu, L.C.; Moleriu, L.C.; Bordianu, A.; Petre, I.; Stănculescu, R. Consequences of Maternal Vitamin D Deficiency on Newborn Health. Life 2024, 14, 714. [Google Scholar] [CrossRef] [PubMed]
- Dragomir, R.E.; Gheoca Mutu, D.E.; Sima, R.M.; Toader, O.D.; Stănculescu, R.V. The Impact of Vitamin D Deficiency on Gestational Diabetes Mellitus Risk: A Retrospective Study. Cureus 2024, 16, e65037. [Google Scholar] [CrossRef]
- Weather & Climate. Average Monthly Sunshine in Sibiu. World Weather & Climate Information; Norwegian Meteorological Institute (MET Norway). Available online: https://weather-and-climate.com/average-monthly-hours-Sunshine,Sibiu,Romania (accessed on 4 May 2025).
- World Data. Info. Times for Sunrise and Sunset in Romania. Available online: https://www.worlddata.info/europe/romania/sunset.php (accessed on 4 May 2025).
- Zhang, H.; Jiang, Y.; Shi, N.; Lu, Y.Q. Serum vitamin D levels and acute kidney injury: A systemic review and meta-analysis. Sci. Rep. 2022, 12, 20365. [Google Scholar] [CrossRef]
- Alanazi, M.; Nabil Aboushady, R.M.; Kamel, A.D. Association between different levels of maternal vitamin-D status during pregnancy and maternal outcomes. Clin. Nutr. ESPEN 2022, 50, 307–313. [Google Scholar] [CrossRef]
- Bi, W.G.; Nuyt, A.M.; Weiler, H.; Leduc, L.; Santamaria, C.; Wei, S.Q. Association Between Vitamin D Supplementation During Pregnancy and Offspring Growth, Morbidity, and Mortality: A Systematic Review and Meta-analysis. JAMA Pediatr. 2018, 172, 635–645. [Google Scholar] [CrossRef]
- Al-Beltagi, M.; Rowiesha, M.; Elmashad, A.; Elrifaey, S.M.; Elhorany, H.; Koura, H.G. Vitamin D status in preterm neonates and the effects of its supplementation on respiratory distress syndrome. Pediatr. Pulmonol. 2020, 55, 108–115. [Google Scholar] [CrossRef]
- Boskabadi, H.; Abrishami, M.; Shoeibi, N.; Sanei, Z.; Moradi, A.; Zakerihamidi, M. Comparison of Vitamin D Levels in Premature Infants with and without Retinopathy of Prematurity. Arch. Iran. Med. 2022, 25, 209–213. [Google Scholar] [CrossRef] [PubMed]
- Moon, R.J.; Green, H.D.; D’Angelo, S.; Godfrey, K.M.; Davies, J.H.; Curtis, E.M.; Cooper, C.; Harvey, N.C. The effect of pregnancy vitamin D supplementation on offspring bone mineral density in childhood: A systematic review and meta-analysis. Osteoporos. Int. 2023, 34, 1269–1279. [Google Scholar] [CrossRef] [PubMed]
- Moon, R.J.; D’Angelo, S.; Curtis, E.M.; Ward, K.A.; Crozier, S.R.; Schoenmakers, I.; Javaid, M.K.; Bishop, N.J.; Godfrey, K.M.; Cooper, C.; et al. Pregnancy vitamin D supplementation and offspring bone mineral density in childhood follow-up of a randomized controlled trial. Am. J. Clin. Nutr. 2024, 120, 1134–1142. [Google Scholar] [CrossRef] [PubMed]
- Brustad, N.; Garland, J.; Thorsen, J.; Sevelsted, A.; Krakauer, M.; Vinding, R.K.; Stokholm, J.; Bønnelykke, K.; Bisgaard, H.; Chawes, B.L. Effect of High-Dose vs Standard-Dose Vitamin D Supplementation in Pregnancy on Bone Mineralization in Offspring Until Age 6 Years: A Prespecified Secondary Analysis of a Double-Blinded, Randomized Clinical Trial. JAMA Pediatr. 2020, 174, 419–427. [Google Scholar] [CrossRef]
- Douros, K.; Loukou, I.; Tsabouri, S. More data are needed about vitamin D supplements in pregnancy and infancy including any impact on allergies. Acta Paediatr. 2021, 110, 753–754. [Google Scholar] [CrossRef]
- Sammallahti, S.; Holmlund-Suila, E.; Zou, R.; Valkama, S.; Rosendahl, J.; Enlund-Cerullo, M.; Hauta-Alus, H.; Lahti-Pulkkinen, M.; El Marroun, H.; Tiemeier, H.; et al. Prenatal maternal and cord blood vitamin D concentrations and negative affectivity in infancy. Eur. Child. Adolesc. Psychiatry 2023, 32, 601–609. [Google Scholar] [CrossRef]
- García-Serna, A.M.; Morales, E. Neurodevelopmental effects of prenatal vitamin D in humans: Systematic review and meta-analysis. Mol. Psychiatry 2020, 25, 2468–2481. [Google Scholar] [CrossRef]
- Kim, I.; Kim, S.S.; Song, J.I.; Yoon, S.H.; Park, G.Y.; Lee, Y.W. Association between vitamin D level at birth and respiratory morbidities in very-low-birth-weight infants. Korean J. Pediatr. 2019, 62, 166–172. [Google Scholar] [CrossRef]
- Kazzi, S.N.J.; Karnati, S.; Puthuraya, S.; Thomas, R. Vitamin D deficiency and respiratory morbidity among African American very low birth weight infants. Early Hum. Dev. 2018, 119, 19–24. [Google Scholar] [CrossRef]
- Liu, W.; Xu, P. The association of serum vitamin D level and neonatal respiratory distress syndrome. Ital. J. Pediatr. 2023, 49, 16. [Google Scholar] [CrossRef]
- Mohamed Hegazy, A.; Mohamed Shinkar, D.; Refaat Mohamed, N.; Abdalla Gaber, H. Association between serum 25 (OH) vitamin D level at birth and respiratory morbidities among preterm neonates. Matern. Fetal Neonatal Med. 2018, 31, 2649–2655. [Google Scholar] [CrossRef] [PubMed]
- Kim, Y.J.; Lim, G.; Lee, R.; Chung, S.; Son, J.S.; Park, H.W. Association between vitamin D level and respiratory distress syndrome: A systematic review and meta-analysis. PLoS ONE 2023, 18, e0279064. [Google Scholar] [CrossRef] [PubMed]
- Dogan, P.; Ozkan, H.; Koksal, N.; Bagci, O.; Varal, I.G. Vitamin D deficiency and its effect on respiratory distress syndrome in premature infants: Results from a prospective study in a tertiary care centre. Afr. Health Sci. 2020, 20, 437–443. [Google Scholar] [CrossRef]
- Zang, R.; Zhang, Y.; Zhang, H.; Zhang, X.; Lv, Y.; Li, D. Association Between Vitamin D Level and Neonatal Respiratory Distress Syndrome: A Systematic Review and Meta-Analysis. Front. Pediatr. 2022, 9, 803143. [Google Scholar] [CrossRef]
- Zhou, A.; Hyppönen, E. Vitamin D deficiency and C-reactive protein: A bidirectional Mendelian randomization study. Int. J. Epidemiol. 2023, 52, 260–271. [Google Scholar] [CrossRef]
- Cetinkaya, M.; Cekmez, F.; Buyukkale, G.; Erener-Ercan, T.; Demir, F.; Tunc, T.; Aydın, F.N.; Aydemir, G. Lower vitamin D levels are associated with increased risk of early-onset neonatal sepsis in term infants. J. Perinatol. 2015, 35, 39–45. [Google Scholar] [CrossRef]
- Kamsiah, K.; Hasibuan, B.S.; Arto, K.S. The Relationship between Vitamin D Levels and Clinical Outcomes of Neonatal Sepsis in Haji Adam Malik Hospital Medan, Indonesia. Open Access Maced. J. Med. Sci. 2021, 9, 698–703. [Google Scholar] [CrossRef]
- Specht, I.O.; Janbek, J.; Thorsteinsdottir, F.; Frederiksen, P.; Heitmann, B.L. Neonatal vitamin D levels and cognitive ability in young adulthood. Eur. J. Nutr. 2020, 59, 1919–1928. [Google Scholar] [CrossRef] [PubMed]
- Specht, I.O.; Thorsteinsdottir, F.; Walker, K.C.; Olsen, J.; Heitmann, B.L. Neonatal vitamin D status and risk of childhood epilepsy. Epilepsia 2020, 61, 1282–1290. [Google Scholar] [CrossRef]
- Yin, X.; Xu, S.; Zhang, X.; Li, L.; Xi, H.; Ma, L.; Sun, M.; Yang, P.; Li, X.; Jiang, H. The association between serum 25-hydroxyvitamin D levels and retinopathy of prematurity in preterm infants. Front. Pediatr. 2024, 12, 1404196. [Google Scholar] [CrossRef]
- Matejek, T.; Zapletalova, B.; Stepan, M.; Malakova, J.; Palicka, V. Dynamics of the vitamin D C3-epimer levels in preterm infants. Clin. Chem. Lab. Med. 2023, 61, 1084–1094. [Google Scholar] [CrossRef] [PubMed]
- Courbebaisse, M.; Souberbielle, J.C.; Baptiste, A.; Taieb, J.; Tsatsaris, V.; Guibourdenche, J.; Senat, M.V.; Haidar, H.; Jani, J.; Guizani, M.; et al. Vitamin D status during pregnancy and in cord blood in a large prospective French cohort. Clin. Nutr. 2019, 38, 2136–2144. [Google Scholar] [CrossRef] [PubMed]
- Anderson-Berry, A.; Thoene, M.; Wagner, J.; Lyden, E.; Jones, G.; Kaufmann, M.; Van Ormer, M.; Hanson, C. Randomized trial of two doses of vitamin D3 in preterm infants <32 weeks: Dose impact on achieving desired serum 25(OH)D3 in a NICU population. PLoS ONE 2017, 12, e0185950. [Google Scholar] [CrossRef]
- Cooke, L.D.F.; Tumbarello, D.A.; Harvey, N.C.; Sethi, J.K.; Lewis, R.M.; Cleal, J.K. Endocytosis in the placenta: An undervalued mediator of placental transfer. Placenta. 2021, 113, 7–73. [Google Scholar] [CrossRef]
- Vestergaard, A.L.; Andersen, M.K.; Andersen, H.H.; Bossow, K.A.; Bor, P.; Larsen, A. Effects of High-Dose Vitamin D Supplementation on Placental Vitamin D Metabolism and Neonatal Vitamin D Status. Nutrients 2024, 16, 2145. [Google Scholar] [CrossRef]
- Shadid, I.L.C.; Guchelaar, H.J.; Weiss, S.T.; Mirzakhani, H. Vitamin D beyond the blood: Tissue distribution of vitamin D metabolites after supplementation. Life Sci. 2024, 355, 122942. [Google Scholar] [CrossRef]
- Łukaszkiewicz, J. Vitamin D—Skin synthesis revisited. Nowe spojrzenienasyntezęskórnawitaminy D. Post. N. Med 2016, XXIX, 747–749. [Google Scholar]
- Rusińska, A.; Płudowski, P.; Walczak, M.; Borszewska-Kornacka, M.K.; Bossowski, A.; Chlebna-Sokół, D.; Czech-Kowalska, J.; Dobrzańska, A.; Franek, E.; Helwich, E.; et al. Vitamin D Supplementation Guidelines for General Population and Groups at Risk of Vitamin D Deficiency in Poland-Recommendations of the Polish Society of Pediatric Endocrinology and Diabetes and the Expert Panel With Participation of National Specialist Consultants and Representatives of Scientific Societies-2018 Update. Front. Endocrinol. 2018, 9, 246. [Google Scholar] [CrossRef]
- Chirita-Emandi, A.; Socolov, D.; Haivas, C.; Calapiș, A.; Gheorghiu, C.; Puiu, M. Vitamin D Status: A Different Story in the Very Young versus the Very Old Romanian Patients. PLoS ONE 2015, 10, e0128010. [Google Scholar] [CrossRef]
- Bhattoa, H.P.; Nagy, E.; More, C.; Kappelmayer, J.; Balogh, A.; Kalina, E.; Antal-Szalmas, P. Prevalence and seasonal variation of hypovitaminosis D and its relationship to bone metabolism in healthy Hungarian men over 50 years of age: The HunMen Study. Osteoporos. Int. 2013, 24, 179–186. [Google Scholar] [CrossRef]
- Pludowski, P.; Grant, W.B.; Bhattoa, H.P.; Bayer, M.; Povoroznyuk, V.; Rudenka, E.; Ramanau, H.; Varbiro, S.; Rudenka, A.; Karczmarewicz, E.; et al. Vitamin d status in central europe. Int. J. Endocrinol. 2014, 2014, 589587. [Google Scholar] [CrossRef] [PubMed]
- Marti, D.T.; Nesiu, A.; Balta, C.; Olariu, T.R.; Mihu, A.G.; Hermenean, A.; Oatis, D.A. Retrospective Analysis of Vitamin D Deficiency in an Adult Population of Arad County, Western Romania (2019–2022). Life 2024, 14, 274. [Google Scholar] [CrossRef] [PubMed]
- Rostami, M.; Tehrani, F.R.; Simbar, M.; Bidhendi Yarandi, R.; Minooee, S.; Hollis, B.W.; Hosseinpanah, F. Effectiveness of Prenatal Vitamin D Deficiency Screening and Treatment Program: A Stratified Randomized Field Trial. J. Clin. Endocrinol. Metab. 2018, 103, 2936–2948. [Google Scholar] [CrossRef] [PubMed]
- Taylor, S.N. Vitamin D for very preterm infants-determining the how, when, and why. Pediatr. Res. 2024. [Google Scholar] [CrossRef]
- Pilz, S.; Trummer, C.; Theiler-Schwetz, V.; Grübler, M.R.; Verheyen, N.D.; Odler, B.; Karras, S.N.; Zittermann, A.; März, W. Critical Appraisal of Large Vitamin D Randomized Controlled Trials. Nutrients 2022, 14, 303. [Google Scholar] [CrossRef]
- Rostami, M.; Simbar, M.; Amiri, M.; Bidhendi-Yarandi, R.; Hosseinpanah, F.; Ramezani Tehrani, F. The optimal cut-off point of vitamin D for pregnancy outcomes using a generalized additive model. Clin. Nutr. 2021, 40, 2145–2153. [Google Scholar] [CrossRef]
- White, J.H. Emerging Roles of Vitamin D-Induced Antimicrobial Peptides in Antiviral Innate Immunity. Nutrients 2022, 14, 284. [Google Scholar] [CrossRef] [PubMed]
- Martens, P.J.; Gysemans, C.; Verstuyf, A.; Mathieu, A.C. Vitamin D’s Effect on Immune Function. Nutrients 2020, 12, 1248. [Google Scholar] [CrossRef]
- Chen, Y.; Zhang, S.; Hu, L.; Dong, L.; Liu, Q.; Liu, Y.; Cheng, W.; Liu, D.; Yang, G.; Li, K. Vitamin D categories and postpartum thyroid function in women with hypothyroidism. Front. Nutr. 2022, 9, 953745. [Google Scholar] [CrossRef]
- Babić Leko, M.; Jureško, I.; Rozić, I.; Pleić, N.; Gunjača, I.; Zemunik, T. Vitamin D and the Thyroid: A Critical Review of the Current Evidence. Int. J. Mol. Sci. 2023, 24, 3586. [Google Scholar] [CrossRef]
- Cheng, H.; Chi, P.; Zhuang, Y.; Alifu, X.; Zhou, H.; Qiu, Y.; Huang, Y.; Zhang, L.; Ainiwan, D.; Peng, Z.; et al. Association of 25-Hydroxyvitamin D with Preterm Birth and Premature Rupture of Membranes: A Mendelian Randomization Study. Nutrients 2023, 15, 3593. [Google Scholar] [CrossRef] [PubMed]
- Kiely, M.; O’Donovan, S.M.; Kenny, L.C.; Hourihane, J.O.; Irvine, A.D.; Murray, D.M. Vitamin D metabolite concentrations in umbilical cord blood serum and associations with clinical characteristics in a large prospective mother-infant cohort in Ireland. J. Steroid Biochem. Mol. Biol. 2017, 167, 162–168. [Google Scholar] [CrossRef] [PubMed]
- Bialy, L.; Fenton, T.; Shulhan-Kilroy, J.; Johnson, D.W.; McNeil, D.A.; Hartling, L. Vitamin D supplementation to improve pregnancy and perinatal outcomes: An overview of 42 systematic reviews. BMJ Open 2020, 10, e032626. [Google Scholar] [CrossRef] [PubMed]






| Maternal Characteristics (N = 146) | |
|---|---|
| Age (years) (mean ± SD) (range) | 29.33 ± 6.89 (14–47) |
| Urban residence (N/%) | 52 (35.62) |
| Marital status—married (N/%) | 87 (59.59) |
| Educational level | |
| Illiterate (N/%) | 3 (2.05) |
| Primary school (N/%) | 45 (30.82) |
| College (N/%) | 50 (34.25) |
| High school (N/%) | 48 (32.88) |
| Number of gestations (mean ± SD) (range) | 2.82 ± 2.16 (1–12) |
| Parity (mean ± SD) (range) | 2.10 ± 1.37 (1–8) |
| Pregnancies obtained using assisted reproductive techniques (N/%) | 7 (4.79) |
| Multiple pregnancy (N/%) | 21 (14.38) |
| Follow-up at the family physician (N/%) | 125 (85.62) |
| Follow-up at the obstetrician (N/%) | 100 (68.49) |
| Pregnancy complications—all (N/%) & | 100 (68.9) |
| Imminent preterm delivery (n/%) | 37 (25.34) |
| Hypertension (N/%) | 25 (17.12) |
| Infections—all types (N/%) | 25 (17.12) |
| Urinary tract infections (N/%) | 15 (10.27) |
| Thyroid conditions (N/%) | 12 (8.22) |
| Placental abnormalities (N/%) | 9 (6.16) |
| Diabetes (N/%) | 5 (3.42) |
| Asthma (N/%) | 2 (1.37) |
| Fetal distress (N/%) | 8 (5.48) |
| PPROM over 18 h (N/%) | 31 (21.23) |
| C-section delivery (N/%) | 62 (42.46) |
| Season of birth | |
| Winter (December, January, February) (N/%) | 42 (28.77) |
| Spring (March, April, May) (N/%) | 31 (21.23) |
| Summer (June, July, August) (N/%) | 39 (26.71) |
| Autumn (September, October, November) (N/%) | 34 (23.29) |
| Cold season (winter + spring) (N/%) | 73 (50.00) |
| Special diet during pregnancy (N/%) | 1 (0.68) |
| Vitamin D supplementation during pregnancy | |
| Any type of vitamin D supplements (N/%) | 63 (43.15) |
| Vitamin D supplements (N/%) | 16 (10.96) |
| Vitamin D supplementation duration (months) (mean ± SD) (range) | 4.12 ± 1.66 (1–10) |
| Vitamin D supplementation dose/day (IU) (mean ± SD) (range) | 907.55 ± 806.1 (100–4000) |
| Maternal 25(OH)D status (ng/mL) (mean ± SD) (range) | 20.96 ± 12.57 (4.2–69.0) |
| Neonatal Characteristics (N = 164) | |
| Gestational age (weeks) (mean ± SD) (range) | 28.93 ± 5.63 (23–32) |
| Birth weight (g) (mean ± SD) (range) | 1225.95 ± 399.21 (475–2110) |
| Apgar score at 1 min (mean ± SD) (range) | 6.89 ± 1.74 (1–9) |
| Apgar score at 5 min (mean ± SD) (range) | 7.51 ± 1.29 (3–10) |
| Neonatal 25(OH)D status (ng/mL) (mean ± SD) (range) | 20.13 ± 11.05 (5–70.4) |
| Maternal Vitamin D Status | ||||
|---|---|---|---|---|
| R | r2 | p | B | |
| Duration of vitamin D supplementation (months) | 0.304 | 0.092 | 0.016 | 2.48 |
| Vitamin D dose/day (IU/day) | 0.344 | 0.119 | 0.012 | 20.31 |
| Neonatal 25(OH)D | 0.684 | 0.468 | <0.001 | 0.62 |
| Gestational age (weeks) | −0.185 | 0.035 | 0.025 | −0.039 |
| Birth weight (g) | −0.133 | 0.018 | 0.109 | −4.122 |
| Neonatal vitamin D status | ||||
| Duration of maternal vitamin D supplementation (months) | 0.385 | 0.148 | 0.002 | 2.95 |
| Vitamin D dose/day during pregnancy (IU/day) | 0.535 | 0.286 | <0.001 | 0.01 |
| Gestational age (weeks) | 0.065 | 0.004 | 0.408 | 0.273 |
| Birth weight (g) | 0.031 | 0.001 | 0.690 | 0.001 |
| Maternal 25(OH)D Values | |||||||||
|---|---|---|---|---|---|---|---|---|---|
| <10 ng/mL vs. ≥10 ng/mL | <20 ng/mL vs. ≥20 ng/mL | 20–29 ng/mL vs. ≥30 ng/mL | |||||||
| <10 N = 29 | >10 N = 117 | p/RR (95% CI) | <20 N = 81 | >20 N = 65 | p/RR (95% CI) | 20–29 N = 116 | >30 N = 30 | p/RR (95% CI) | |
| Maternal age (years) (mean ± SD) | 29.21 ± 6.84 | 29.36 ± 6.93 | 0.916 * | 29.01 ± 7.29 | 29.72 ± 6.38 | 0.537 * | 24.27 ± 2.94 | 40.57 ± 9.98 | <0.001 * |
| Gestations (mean ± SD) | 3.72 ± 2.94 | 2.60 ± 1.87 | 0.012 * | 3.28 ± 2.62 | 2.26 ± 1.24 | 0.005 * | 2.29 ± 1.30 | 2.23 ± 1.19 | 0.867 * |
| Parity (mean ± SD) | 2.69 ± 1.90 | 1.95 ± 1.17 | 0.009 * | 2.41 ± 1.61 | 1.69 ± 0.86 | 0.001 * | 1.83 ± 0.92 | 1.53 ± 0.78 | 0.172 * |
| Abortions (mean ± SD) | 1.07 ± 2.02 | 0.63 ± 1.24 | 0.142 * | 0.85 ± 1.76 | 0.57 ± 0.88 | 0.243 * | 0.46 ± 0.82 | 0.70 ± 0.95 | 0.273 * |
| Education status (N/%) | |||||||||
| Illiterate | 2/6.9 | 1/0.9 | 0.040 ** | 2/2.5 | 1/1.5 | <0.001 ** | 1/2.1 | 0/0 | 0.266 ** |
| Primary school | 11/37.9 | 34/29.1 | 33/40.0 | 12/18.5 | 9/25.7 | 3/10.0 | |||
| College | 10/34.5 | 40/34.2 | 30/37.0 | 20/30.8 | 8/22.9 | 12/40.0 | |||
| Highschool | 6/20.7 | 42/35.9 | 16/19.8 | 32/49.2 | 17/48.6 | 15/50.0 | |||
| Urban residence (N/%) | 7/24.1 | 45/38.5 | 0.151 ** RR 0.63 (0.32–1.24) | 24/29.6 | 28/43.1 | 0.093 ** RR 0.69 (0.44–1.06) | 13/37.1 | 15/50.0 | 0.304 ** RR 0.78 (0.48–1.26) |
| Marital status: unmarried (N/%) | 16/55.2 | 43/36.8 | 0.071 ** RR 1.50 (1.00–2.25) | 40/49.4 | 19/29.2 | 0.013 ** RR 1.69 (1.09–2.62) | 12/34.3 | 7/23.3 | 0.341 ** RR 1.26 (0.81–1.98) |
| Season of birth (N/%) | |||||||||
| Winter | 17/58.7 | 25/21.4 | <0.001 ** | 31/38.3 | 11/16.9 | 0.001 ** | 5/14.3 | 6/20.0 | 0.280 ** |
| Spring | 5/17.2 | 26/22.2 | 21/25.9 | 10/15.4 | 5/14.3 | 5/16.7 | |||
| Summer | 3/10.3 | 36/30.8 | 13/16.0 | 26/40.0 | 13/37.1 | 13/43.3 | |||
| Autumn | 4/13.8 | 30/25.6 | 16/19.8 | 18/27.7 | 212/34.3 | 6/20.0 | |||
| Cold season (vs. warm season) | 22/75.9 | 51/43.6 | 0.002 ** RR 1.74 (1.30–2.33) | 52/64.2 | 21/32.3 | <0.001 ** RR 1.98 (1.35–2.93) | 10/28.6 | 11/36.7 | 0.494 ** RR 0.84 (0.50–1.41) |
| ART pregnancies (N/%) | 1/3.4 | 6/5.1 | 0.707 ** RR 0.67 (0.08–5.37) | 1/1.2 | 6/9.2 | 0.025 ** RR 0.13 (0.02–1.08) | 2/5.7 | 4/13.3 | 0.297 ** RR 0.66 (0.35–1.25) |
| Multiple pregnancies (N/%) | 4/13.8 | 17/14.5 | 0.920 ** RR 0.95 (0.35–2.61) | 9/11.1 | 12/18.5 | 0.211 ** RR 0.60 (0.27–1.34) | 6/17.1 | 6/20.0 | 0.772 ** OR 0.91 (0.48–1.71) |
| No primary care follow-up (N/%) | 5/17.2 | 16/13.7 | 0.627 ** OR 1.26 (0.50–3.16) | 14/17.5 | 7/10.8 | 0.268 ** OR 1.25 (0.89–1.77) | 5/14.3 | 2/6.7 | 0.179 ** RR 2.46 (0.60–9.97) |
| No obstetrical controls (N/%) | 12/41.4 | 34/29.1 | 0.204 ** OR 0.89 (0.73–1.08) | 32/40.0 | 14/21.5 | 0.020 ** OR 1.43 (1.09–1.90) | 10/28.6 | 4/13.3 | 0.141 ** OR 1.46 (0.94–2.25) |
| Pregnancy complications (N/%) | |||||||||
| Diabetes | 3/10.3 | 2/1.7 | 0.022 ** RR 6.05 (1.04–34.5) | 3/3.7 | 2/3.1 | 0.827 ** RR 1.20 (0.21–6.99) | 0/0 | 2/6.7 | 0.125 ** |
| Hypertension | 7/24.1 | 18/15.4 | 0.266 ** RR 1.60 (0.72–3.40) | 14/17.3 | 11/16.9 | 0.955 ** RR 1.02 (0.50–2.10) | 7/20.0 | 4/13.3 | 0.483 ** RR 1.32 (0.58–3.03) |
| Thyroid disorders | 2/6.9 | 10/8.5 | 0.774 ** RR 0.80 (0.91–1.14) | 3/3.7 | 9/13.8 | 0.027 ** RR 0.27 (0.07–0.95) | 2/5.7 | 7/23.3 | 0.041 ** RR 0.53 (0.33–0.84) |
| Urinary tract infections | 1/3.4 | 14/12 | 0.179 ** RR 0.29 (0.04–2.10) | 6/7.4 | 9/13.8 | 0.205 ** RR 0.53 (0.20–1.43) | 5/14.3 | 4/13.3 | 0.913 ** RR 1.04 (0.48–2.28) |
| All infections | 4/13.8 | 21/17.9 | 0.598 ** RR 0.77 (0.29–2.07) | 12/14.8 | 13/20.0 | 0.412 ** RR 0.74 (0.36–1.51) | 6/17.1 | 7/23.3 | 0.541 ** RR 0.82 (0.46–1.48) |
| Imminent preterm birth | 7/24.1 | 30/25.6 | 0.869 ** RR 0.94 (0.46–1.92) | 18/22.2 | 19/29.2 | 0.337 ** RR 0.76 (0.44–1.33) | 8/22.9 | 11/36.7 | 0.229 ** RR 0.71 (0.43–1.19) |
| Placental anomalies | 0/0 | 9/7.7 | 0.125 ** | 4/4.9 | 5/7.7 | 0.495 ** RR 0.64 (0.18–2.29) | 2/5.7 | 3/10.0 | 0.525 ** RR 0.75 (0.35–1.62) |
| All pregnancy complications | 18/62.1 | 82/70.1 | 0.409 ** RR 0.89 (0.65–1.20) | 51/64.2 | 48/73.8 | 0.205 ** RR 0.87 (0.70–1.08) | 25/71.4 | 23/76.7 | 0.638 ** RR 1.13 (0.70–1.83) |
| Fetal distress (N/%) | 0/0 | 8/6.8 | 0.150 ** | 5/6.2 | 3/4.6 | 0.684 ** RR 1.34 (0.33–5.39) | 1/2.9 | 2/6.7 | 0.473 ** RR 0.68 (0.29–1.58) |
| PPROM > 18 h (N/%) | 3/10.3 | 28/23.9 | 0.111 ** RR 0.43 (0.14–1.32) | 15/18.5 | 16/24.6 | 0.374 ** RR 0.75 (0.40–1.40) | 10/28.6 | 6/20.0 | 0.432 ** RR 1.31 (0.62–2.61) |
| Cesarean section (N/%) | 13/44.8 | 49/41.9 | 0.776 ** RR 1.07 (0.68–1.69) | 36/44.4 | 26/40.0 | 0.592 ** RR 1.11 (0.76–1.63) | 16/45.7 | 10/38.5 | 0.317 ** RR 1.33 (0.75–2.37) |
| Vitamin D supplementation | |||||||||
| Multivitamins containing vitamin D (N/%) | 6/20.7 | 57/48.7 | 0.006 ** RR 0.42 (0.20–0.89) | 24/30.9 | 38/58.5 | 0.001 ** RR 0.53 (0.36–0.77) | 14/40.0 | 24/80.0 | 0.001 ** RR 0.35 (0.17–0.74) |
| Vitamin D supplements (N/%) | 0/0 | 16/13.7 | 0.035 ** | 1/1.2 | 15/23.1 | <0.001 ** RR 0.05 (0.01–0.39) | 2/5.7 | 13/43.3 | <0.001 ** RR 0.39 (0.25–0.61) |
| Duration (months) (median ± IQR) | 4.5 (4–5.25) | 4(3–5) | 0.191 ^ | 4 (3–4.5) | 4(3–6) | 0.126 ^ | 4(3–5) | 4.5(3–6) | 0.191 ^ |
| Daily vitamin D dose (IU/day) (median ± IQR) | 600 (287–800) | 800 (250–2000) | 0.733 ^ | 250 (200–800) | 800 (300–2000) | 0.014 ^ | 600 (200–800) | 1000 (800–2000) | 0.016 ^ |
| Maternal 25(OH)D Status | |||||||||
|---|---|---|---|---|---|---|---|---|---|
| <10 ng/mL vs. ≥10 ng/mL | <20 ng/mL vs. ≥20 ng/mL | 20–29 ng/mL vs. ≥30 ng/mL | |||||||
| <10 N = 29 | >10 N = 117 | p/RR (95% CI) | <20 N = 81 | >20 N = 65 | p/RR (95% CI) | 20–29 N = 116 | >30 N = 30 | p/RR (95% CI) | |
| Neonatal 25OHD values (ng/mL) (mean ± SD) | 10.10 ± 4.71 | 22.65 ± 10.75 | <0.001 * | 13.80 ± 6.00 | 27.64 ± 10.99 | <0.001 * | 10.57 ± 9.51 | 32.85 ± 11.38 | 0.002 * |
| BW (mean ± SD) | 1220 ± 325.18 | 1226.95 ± 412.07 | 0.928 * | 1238.15 ± 402.74 | 1210.60 ± 388.26 | 0.658 * | 1192.29 ± 366.52 | 1163.17 ± 421.08 | 0.767 * |
| GA (median ± IQR) | 30 (28–31) | 30 (27–31) | 0.974 ^ | 30 (27.5–31) | 30 (27–31) | 0.461 ^ | 30 (27–31) | 30 (25–31) | 0.168 ^ |
| Male gender (N/%) | 21/63.6 | 73/55.7 | 0.415 ** RR 1.14 (0.85–1.54) | 50/56.2 | 44/58.7 | 0.750 ** RR 0.96 (0.73–1.25) | 24/57.1 | 20/60.6 | 0.766 ** RR 0.94 (0.63–1.40) |
| Apgar at 1 min (median ± IQR) | 7 (6–8) | 7 (6–8) | 0.861 ^ | 7 (6–8) | 7 (6–8) | 0.583 ^ | 7 (6–8) | 7 (6–8) | 0.616 ^ |
| 5 min Apgar (median ± IQR) | 8 (7–9) | 8 (7–8) | 0.518 ^ | 8 (7–7.5) | 8 (6–8) | 0.257 ^ | 8 (6–8) | 8 (7–8) | 0.821 ^ |
| Severe neonatal 25(OH)D deficit (<10 ng/mL) (N/%) | 19/57.6 | 8/6.1 | <0.001 ** RR 9.43 (4.53–19.61) | 25/28.1 | 2/2.7 | <0.001 ** RR 10.53 (2.58–43.02) | 2/4.8 | 0 | 0.209 ** |
| Vitamin D status | |||||||||
| ≤10 ng/mL | 19/57.6 | 8/6.1 | <0.001 ** | 25/8.1 | 2/2.7 | <0.001 ** | 2/4.8 | 0 | 0.039 ** |
| 10–19 ng/mL | 13/39.4 | 56/42.7 | 52/58.4 | 17/22.7 | 12/28.6 | 5/15.2 | |||
| 20–29 ng/mL | 1/3 | 41/31.3 | 11/12.4 | 31/41.3 | 17/40.5 | 14/42.4 | |||
| ≥30 ng/mL | 0/0 | 26/19.8 | 1/1.1 | 25/33.3 | 11/26.2 | 14/42.4 | |||
| Variable * | B | Wald | p | OR (95% CI) |
|---|---|---|---|---|
| Cold season | 1.328 | 7.523 | 0.003 | 3.775 (1.461–9.752) |
| Lower number of births (parity) | −0.381 | 5.837 | 0.016 | 0.683 (0.501–0.931) |
| PPROM > 18 h | 1.270 | 3.261 | 0.071 | 3.562 (0.897–14.137) |
| Variable * | B | Wald | p | OR (95% CI) |
|---|---|---|---|---|
| Higher educational level | −1.120 | 7.140 | 0.008 | 0.326 (0.143–0.742) |
| Cold season | 1.324 | 14.122 | <0.001 | 3.757 (1.884–7.493) |
| Supplementation with vitamin D supplements | −3.030 | 7.801 | 0.005 | 0.048 (0.006–0.405) |
| Variable * | B | Wald | p | OR (95% CI) |
|---|---|---|---|---|
| Any supplements containing vitamin D during pregnancy | −1.166 | 3.498 | 0.061 | 0.312 (0.092–1.058) |
| Supplementation using vitamin D supplements | −1.959 | 5.108 | 0.024 | 0.141 (0.026–0.771) |
Disclaimer/Publisher’s Note: The statements, opinions and data contained in all publications are solely those of the individual author(s) and contributor(s) and not of MDPI and/or the editor(s). MDPI and/or the editor(s) disclaim responsibility for any injury to people or property resulting from any ideas, methods, instructions or products referred to in the content. |
© 2025 by the authors. Licensee MDPI, Basel, Switzerland. This article is an open access article distributed under the terms and conditions of the Creative Commons Attribution (CC BY) license (https://creativecommons.org/licenses/by/4.0/).
Share and Cite
Radu, I.A.; Cucerea, M.; Gheonea, C.; Chicea, R.; Teacoe, D.A.; Mutică, B.I.; Todor, S.B.; Boța, G.; Popescu, D.; Coțovanu, B.C.; et al. Vitamin D Supplementation During Pregnancy and Maternal and Neonatal Vitamin D Status at ≤32 Weeks Gestation: Romanian Prospective Observational Cohort Study. Children 2025, 12, 682. https://doi.org/10.3390/children12060682
Radu IA, Cucerea M, Gheonea C, Chicea R, Teacoe DA, Mutică BI, Todor SB, Boța G, Popescu D, Coțovanu BC, et al. Vitamin D Supplementation During Pregnancy and Maternal and Neonatal Vitamin D Status at ≤32 Weeks Gestation: Romanian Prospective Observational Cohort Study. Children. 2025; 12(6):682. https://doi.org/10.3390/children12060682
Chicago/Turabian StyleRadu, Ioana Andrada, Manuela Cucerea, Cristian Gheonea, Radu Chicea, Dumitru Alin Teacoe, Bianca Ioana Mutică, Samuel Bogdan Todor, Gabriela Boța, Dragoș Popescu, Bianca Cosmina Coțovanu, and et al. 2025. "Vitamin D Supplementation During Pregnancy and Maternal and Neonatal Vitamin D Status at ≤32 Weeks Gestation: Romanian Prospective Observational Cohort Study" Children 12, no. 6: 682. https://doi.org/10.3390/children12060682
APA StyleRadu, I. A., Cucerea, M., Gheonea, C., Chicea, R., Teacoe, D. A., Mutică, B. I., Todor, S. B., Boța, G., Popescu, D., Coțovanu, B. C., & Ognean, M. L. (2025). Vitamin D Supplementation During Pregnancy and Maternal and Neonatal Vitamin D Status at ≤32 Weeks Gestation: Romanian Prospective Observational Cohort Study. Children, 12(6), 682. https://doi.org/10.3390/children12060682

