Cumulative Ambient Light Exposure Affects Outpatient Transcutaneous Bilirubinometer Readings
Abstract
1. Introduction
2. Materials and Methods
2.1. Background Information
2.2. Bilirubin Measurements and Clinical Disposition
2.3. Statistical Analysis
3. Results
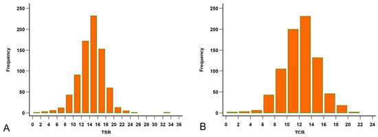
3.1. Demographics
3.2. The Agreement Between the Forehead TCB and TSB
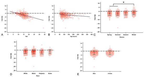
3.3. Factors That Affect the Forehead (TCB-TSB) Value
3.4. Factors That Affect the Sternum (TCB-TSB) Value
4. Discussion
5. Conclusions
Author Contributions
Funding
Institutional Review Board Statement
Informed Consent Statement
Data Availability Statement
Acknowledgments
Conflicts of Interest
Abbreviations
| AAP | American Academy of Pediatrics |
| GA | Gestational age |
| NJ | Neonatal jaundice |
| TCB | Transcutaneous bilirubinometer |
| TSB | Total serum bilirubin |
| LD | Linear dichroism |
References
- Mantagou, L.; Fouzas, S.; Skylogianni, E.; Giannakopoulos, I.; Karatza, A.; Varvarigou, A. Trends of transcutaneous bilirubin in neonates who develop significant hyperbilirubinemia. Pediatrics 2012, 130, e898–e904. [Google Scholar] [CrossRef]
- Porter, M.L.; Dennis, B.L. Hyperbilirubinemia in the term newborn. Am. Fam. Physician 2002, 65, 599–606. [Google Scholar]
- Management of hyperbilirubinemia in the newborn infant 35 or more weeks of gestation. Pediatrics 2004, 114, 297–316. [CrossRef]
- Yamanouchi, I.; Yamauchi, Y.; Igarashi, I. Transcutaneous bilirubinometry: Preliminary studies of noninvasive transcutaneous bilirubin meter in the Okayama National Hospital. Pediatrics 1980, 65, 195–202. [Google Scholar] [CrossRef]
- Okwundu, C.I.; Olowoyeye, A.; Uthman, O.A.; Smith, J.; Wiysonge, C.S.; Bhutani, V.K.; Fiander, M.; Gautham, K.S. Transcutaneous bilirubinometry versus total serum bilirubin measurement for newborns. Cochrane Database Syst. Rev. 2023, 5, Cd012660. [Google Scholar] [CrossRef]
- Kemper, A.R.; Newman, T.B.; Slaughter, J.L.; Maisels, M.J.; Watchko, J.F.; Downs, S.M.; Grout, R.W.; Bundy, D.G.; Stark, A.R.; Bogen, D.L.; et al. Clinical Practice Guideline Revision: Management of Hyperbilirubinemia in the Newborn Infant 35 or More Weeks of Gestation. Pediatrics 2022, 150, e2022058859. [Google Scholar] [CrossRef]
- Wusthoff, C.J.; Loe, I.M. Impact of bilirubin-induced neurologic dysfunction on neurodevelopmental outcomes. Semin. Fetal Neonatal Med. 2015, 20, 52–57. [Google Scholar] [CrossRef]
- Zhang, E.; Wu, T.J.; Hudak, M.L.; Yan, K.; Teng, R.J. Optimal site for applying transcutaneous bilirubinometer as an outpatient screening tool for neonatal jaundice: A comparison between the sternum and forehead. Front. Pediatr. 2024, 12, 1446524. [Google Scholar] [CrossRef]
- Patel, A.; Vagha, J.D.; Meshram, R.J.; Taksande, A.; Khandelwal, R.; Jain, A.; Khurana, A. Illuminating Progress: A Comprehensive Review of the Evolution of Phototherapy for Neonatal Hyperbilirubinemia. Cureus 2024, 16, e55608. [Google Scholar] [CrossRef]
- Candel-Pau, J.; Maya-Enero, S.; Garcia-Garcia, J.; Duran-Jordà, X.; López-Vílchez, M. Transcutaneous bilirubin reliability during and after phototherapy depending on skin color. Eur. J. Pediatr. 2024, 183, 2819–2830. [Google Scholar] [CrossRef]
- Dam-Vervloet, A.J.; Morsink, C.F.; Krommendijk, M.E.; Nijholt, I.M.; van Straaten, H.L.M.; Poot, L.; Bosschaart, N. Skin color influences transcutaneous bilirubin measurements: A systematic in vitro evaluation. Pediatr. Res. 2024; ahead of print. [Google Scholar] [CrossRef]
- Setchfield, K.; Gorman, A.; Simpson, A.; Somekh, M.G.; Wright, A.J. Effect of skin color on optical properties and the implications for medical optical technologies: A review. J. Biomed. Opt. 2024, 29, 010901. [Google Scholar] [CrossRef]
- Poland, R.L.; Hartenberger, C.; McHenry, H.; Hsi, A. Comparison of skin sites for estimating serum total bilirubin in in-patients and out-patients: Chest is superior to brow. J. Perinatol. 2004, 24, 541–543. [Google Scholar] [CrossRef][Green Version]
- Sgro, M.; Campbell, D.; Shah, V. Incidence and causes of severe neonatal hyperbilirubinemia in Canada. CMAJ 2006, 175, 587–590. [Google Scholar] [CrossRef]
- Watchko, J.F.; Tiribelli, C. Bilirubin-induced neurologic damage—Mechanisms and management approaches. N. Engl. J. Med. 2013, 369, 2021–2030. [Google Scholar] [CrossRef] [PubMed]
- Ogunlesi, T.A.; Dedeke, I.O.; Adekanmbi, A.F.; Fetuga, M.B.; Ogunfowora, O.B. The incidence and outcome of bilirubin encephalopathy in Nigeria: A bi-centre study. Niger. J. Med. 2007, 16, 354–359. [Google Scholar] [CrossRef]
- Samiee-Zafarghandy, S.; Feberova, J.; Williams, K.; Yasseen, A.S.; Perkins, S.L.; Lemyre, B. Influence of skin colour on diagnostic accuracy of the jaundice meter JM 103 in newborns. Arch. Dis. Child. Fetal Neonatal Ed. 2014, 99, F480–F484. [Google Scholar] [CrossRef]
- Maya-Enero, S.; Candel-Pau, J.; Garcia-Garcia, J.; Duran-Jordà, X.; López-Vílchez, M. Reliability of transcutaneous bilirubin determination based on skin color determined by a neonatal skin color scale of our own. Eur. J. Pediatr. 2021, 180, 607–616. [Google Scholar] [CrossRef]
- Guerra Ruiz, A.R.; Crespo, J.; López Martínez, R.M.; Iruzubieta, P.; Casals Mercadal, G.; Lalana Garcés, M.; Lavin, B.; Morales Ruiz, M. Measurement and clinical usefulness of bilirubin in liver disease. Adv. Lab. Med. 2021, 2, 352–372. [Google Scholar] [CrossRef]
- Ho, S.R.; Lin, Y.C.; Chen, C.N. The Impact of Phototherapy on the Accuracy of Transcutaneous Bilirubin Measurements in Neonates: Optimal Measurement Site and Timing. Diagnostics 2021, 11, 1729. [Google Scholar] [CrossRef]
- Yamauchi, Y.; Yamanouchi, I. Transcutaneous bilirubinometry: Effect of postnatal age. Acta Paediatr. Jpn. 1991, 33, 663–667. [Google Scholar] [CrossRef]
- Taylor, J.A.; Burgos, A.E.; Flaherman, V.; Chung, E.K.; Simpson, E.A.; Goyal, N.K.; Von Kohorn, I.; Dhepyasuwan, N. Better Outcomes through Research for Newborns Network. Discrepancies between transcutaneous and serum bilirubin measurements. Pediatrics 2015, 135, 224–231. [Google Scholar] [CrossRef]
- Grabenhenrich, J.; Grabenhenrich, L.; Bührer, C.; Berns, M. Transcutaneous bilirubin after phototherapy in term and preterm infants. Pediatrics 2014, 134, e1324–e1329. [Google Scholar] [CrossRef]
- Ten Kate, L.; van Oorschot, T.; Woolderink, J.; Teklenburg-Roord, S.; Bekhof, J. Transcutaneous Bilirubin Accuracy Before, During, and After Phototherapy: A Meta-Analysis. Pediatrics 2023, 152, e2023062335. [Google Scholar] [CrossRef]




Disclaimer/Publisher’s Note: The statements, opinions and data contained in all publications are solely those of the individual author(s) and contributor(s) and not of MDPI and/or the editor(s). MDPI and/or the editor(s) disclaim responsibility for any injury to people or property resulting from any ideas, methods, instructions or products referred to in the content. |
© 2025 by the authors. Licensee MDPI, Basel, Switzerland. This article is an open access article distributed under the terms and conditions of the Creative Commons Attribution (CC BY) license (https://creativecommons.org/licenses/by/4.0/).
Share and Cite
Zhang, E.; Wu, T.-J.; Hudak, M.L.; Yan, K.; Teng, R.-J. Cumulative Ambient Light Exposure Affects Outpatient Transcutaneous Bilirubinometer Readings. Children 2025, 12, 639. https://doi.org/10.3390/children12050639
Zhang E, Wu T-J, Hudak ML, Yan K, Teng R-J. Cumulative Ambient Light Exposure Affects Outpatient Transcutaneous Bilirubinometer Readings. Children. 2025; 12(5):639. https://doi.org/10.3390/children12050639
Chicago/Turabian StyleZhang, Emily, Tzong-Jin Wu, Mark L. Hudak, Ke Yan, and Ru-Jeng Teng. 2025. "Cumulative Ambient Light Exposure Affects Outpatient Transcutaneous Bilirubinometer Readings" Children 12, no. 5: 639. https://doi.org/10.3390/children12050639
APA StyleZhang, E., Wu, T.-J., Hudak, M. L., Yan, K., & Teng, R.-J. (2025). Cumulative Ambient Light Exposure Affects Outpatient Transcutaneous Bilirubinometer Readings. Children, 12(5), 639. https://doi.org/10.3390/children12050639

