Impact of Exclusive Breastfeeding and Extrauterine Growth Restriction on Post-Discharge Growth in Preterm Infants: A Longitudinal Cohort Study in a Kangaroo Mother Care Program
Abstract
1. Introduction
2. Materials and Methods
2.1. Definitions and Key Variables
2.2. Statistical Analysis
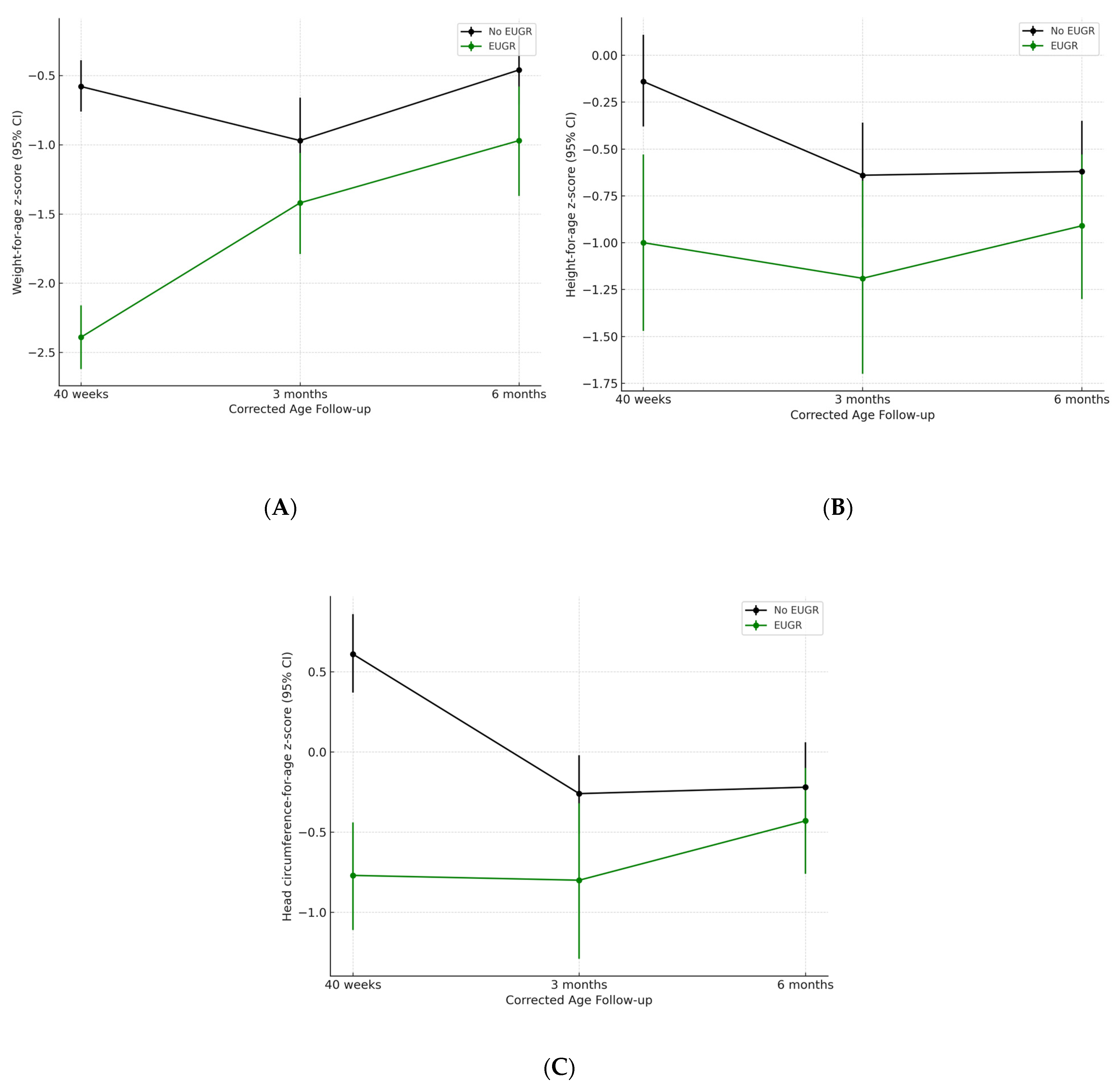
3. Results
4. Discussion
5. Conclusions
Author Contributions
Funding
Institutional Review Board Statement
Informed Consent Statement
Data Availability Statement
Conflicts of Interest
Abbreviations
| EUGR | Extrauterine growth restriction |
| EBF | Exclusive breastfeeding |
| KMCK | Kangaroo Mother Care |
| NICU | Neonatal intensive care unit |
| GA | Gestational age |
| SD | Standard deviation |
| IQR | Interquartile range |
| GEE | Generalized estimating equation |
| QIC | Quasi-likelihood under the independence Model criterion |
| WHO | World Health Organization |
| AAP | American Academy of Pediatrics |
| CI | Confidence interval |
| HC | Head circumference |
| WLZ | Weight-for-length z-score |
| LBW | Low birth weight |
| VLBW | Very low birth weight |
| ELBW | Extremely low birth weight |
| IUGR | Intrauterine growth restriction |
References
- Walani, S.R. Global Burden of Preterm Birth. Int. J. Gynecol. Obstet. 2020, 150, 31–33. [Google Scholar] [CrossRef] [PubMed]
- Haiden, N. Postdischarge Nutrition of Preterm Infants: Breastfeeding, Complementary Foods, Eating Behavior and Feeding Problems. In Strategies in Neonatal Care to Promote Optimized Growth and Development: Focus on Low Birth Weight Infants; Karger International: Basel, Switzerland, 2022; pp. 34–44. [Google Scholar]
- Mah, E.M.; Monono, N.N.; Tague, D.A.K.; Nguefack, S.; Nkwele, I.M.; Ngwanou, D.H.; Awa, H.D.M.; Chiabi, A.; Fru, F.A.I. Post Discharge Outcome of Preterm Infants in a Low-Middle-Income Country. Pediatr. Oncall 2021, 18, 37–41. [Google Scholar] [CrossRef]
- Taylor, S.N.; Martin, C.R. Evidence-Based Discharge Nutrition to Optimize Preterm Infant Outcomes. Neoreviews 2022, 23, e108–e116. [Google Scholar] [CrossRef] [PubMed]
- Villa, E.; Barachetti, R.; Barbarini, M. Nutritional Management of Preterm Newborn after Hospital Discharge: Energy and Nutrients. Pediatr. Medica Chir. 2017, 39, 170. [Google Scholar] [CrossRef] [PubMed]
- Olgun, L.F.; Weintraub, A.S.; Green, R.S. Extrauterine Growth Restriction and Catch-up Growth Following NICU Discharge: A Tale of Two Standards. J. Neonatol. 2024, 39, 17–24. [Google Scholar] [CrossRef]
- Cao, W.; Zhang, Y.-H.; Zhao, D.-Y.; Xia, H.-P.; Zhu, T.-W.; Xie, L.-J. Risk Factors for Extrauterine Growth Restriction in Preterm Infants with Gestational Age Less than 34 Weeks. Zhongguo Dang Dai Er Ke Za Zhi 2015, 17, 453–458. [Google Scholar] [PubMed]
- Marques, P.C.; Rocha, G.; Flor-De-Lima, F.; Guimarães, H. Extrauterine Growth Restriction at Discharge in Very-Low-Birth Weight Infants: A Retrospective Study in a Level III Neonatal Intensive Care Unit. Minerva Pediatr. 2022, 74, 553–561. [Google Scholar] [CrossRef] [PubMed]
- Zhang, X.; Donnelly, B.; Thomas, J.; Sams, L.; O’Brien, K.; Taylor, S.N.; Jump, C.S. Growth in the High-Risk Newborn Infant Post-Discharge: Results from a Neonatal Intensive Care Unit Nutrition Follow-up Clinic. Nutr. Clin. Pract. 2020, 35, 738–744. [Google Scholar] [CrossRef] [PubMed]
- Fenton, T.R.; Cormack, B.; Goldberg, D.; Nasser, R.; Alshaikh, B.; Eliasziw, M.; Hay, W.W.; Hoyos, A.; Anderson, D.; Bloomfield, F.; et al. “Extrauterine Growth Restriction” and “Postnatal Growth Failure” Are Misnomers for Preterm Infants. J. Perinatol. 2020, 40, 704–714. [Google Scholar] [CrossRef] [PubMed]
- Global Strategy for Infant and Young Child Feeding. Available online: https://www.who.int/publications/i/item/9241562218 (accessed on 11 April 2025).
- Gehl, B.; Feinn, R.; Haines, K.; Hussain, N.; Lainwala, S. Growth at 2 Years Corrected Age in Preterm Infants Discharged on Two Different Breast Milk Enhancements: An Observational Study. J. Pediatr. Gastroenterol. Nutr. 2024, 79, 1047–1055. [Google Scholar] [CrossRef] [PubMed]
- Chotigeat, U.; Vongpakorn, J. Comparative Growth Outcome of Preterm Neonate Fed Post-Discharge Formula and Breast Milk after Discharge. J. Med. Assoc. Thail. 2014, 97 (Suppl. S6), S33–S39. [Google Scholar]
- ENSIN: Encuesta Nacional de Situación Nutricional|Portal ICBF—Instituto Colombiano de Bienestar Familiar ICBF. Available online: https://www.icbf.gov.co/bienestar/nutricion/encuesta-nacional-situacion-nutricional#ensin3 (accessed on 24 January 2024).
- Lan, S.; Fu, H.; Zhang, R.; Zhong, G.; Pan, L.; Bei, F.; Hong, L. Extrauterine Growth Restriction in Preterm Infants: Postnatal Growth Pattern and Physical Development Outcomes at Age 3–6 Years. Front. Pediatr. 2022, 10, 945422. [Google Scholar] [CrossRef] [PubMed]
- Peila, C.; Spada, E.; Giuliani, F.; Maiocco, G.; Raia, M.; Cresi, F.; Bertino, E.; Coscia, A. Extrauterine Growth Restriction: Definitions and Predictability of Outcomes in a Cohort of Very Low Birth Weight Infants or Preterm Neonates. Nutrients 2020, 12, 1224. [Google Scholar] [CrossRef] [PubMed]
- Kim, M.S.; Koh, J.W.; Shin, J.; Kim, S.Y. Postnatal Growth Assessment and Prediction of Neurodevelopment and Long-Term Growth in Very Low Birth Weight Infants: A Nationwide Cohort Study in Korea. J. Clin. Med. 2024, 13, 2930. [Google Scholar] [CrossRef] [PubMed]
- Ministerio de Salud y Protección Social; Fundación Canguro. Actualización de Los Lineamientos Técnicos Para La Implementación de Programas Madre Canguro En Colombia, Con Énfasis En La Nutrición Del Neonato Prematuro o de Bajo Peso al Nacer; Ministerio de Salud y Protección Social: Bogotá, Colombia, 2017. [Google Scholar]
- Lucaccioni, L.; Iughetti, L.; Berardi, A.; Predieri, B. Challenges in the Growth and Development of Newborns with Extra-Uterine Growth Restriction. Expert. Rev. Endocrinol. Metab. 2022, 17, 415–423. [Google Scholar] [CrossRef] [PubMed]
- Vesel, L.; Bellad, R.M.; Manji, K.; Saidi, F.; Velasquez, E.; Sudfeld, C.R.; Miller, K.; Bakari, M.; Lugangira, K.; Kisenge, R.; et al. Feeding Practices and Growth Patterns of Moderately Low Birthweight Infants in Resource-Limited Settings: Results from a Multisite, Longitudinal Observational Study. BMJ Open 2023, 13, e067316. [Google Scholar] [CrossRef] [PubMed]
- Wang, Y.; Zhao, T.; Zhang, Y.; Li, S.; Cong, X. Positive Effects of Kangaroo Mother Care on Long-Term Breastfeeding Rates, Growth, and Neurodevelopment in Preterm Infants. Breastfeed. Med. 2021, 16, 282–291. [Google Scholar] [CrossRef] [PubMed]
- Martínez-Jiménez, M.; Gómez-García, F.; Gil-Campos, M.; Pérez-Navero, J. Comorbidities in Childhood Associated with Extrauterine Growth Restriction in Preterm Infants: A Scoping Review. Eur. J. Pediatr. 2020, 179, 1255–1265. [Google Scholar] [CrossRef] [PubMed]
- Starc, M.; Giangreco, M.; Centomo, G.; Travan, L.; Bua, J. Extrauterine Growth Restriction in Very Low Birth Weight Infants According to Different Growth Charts: A Retrospective 10 Years Observational Study. PLoS ONE 2023, 18, e0283367. [Google Scholar] [CrossRef] [PubMed]


| Characteristic | Total (n = 117) | EUGR | p-Value | |
|---|---|---|---|---|
| Yes (n = 28) | No (n = 89) | |||
| Maternal characteristic | ||||
| Age (years), median—IQR | 25 (8) | 25 (9) | 25 (8) | 0.91 * |
| Educational level, n (%) | ||||
| Primary | 48 (41.0) | 11 (39.3) | 37 (41.6) | 0.06 |
| Secondary | 50 (42.7) | 16 (57.1) | 34 (38.2) | |
| Technical/professional | 19 (16.3) | 1 (3.6) | 18 (20.2) | |
| Occupation, n (%) | ||||
| Homemaker/Student | 89 (76.1) | 22 (78.6) | 67 (75.3) | 0.73 |
| Technical | 20 (17.1) | 5 (17.9) | 15 (16.9) | |
| Independent/professional | 8 (6.8) | 1 (3.6) | 7 (7.9) | |
| Marital status, n (%) | ||||
| Cohabiting/Married | 106 (90.6) | 78 (87.6) | 28 (100) | 0.06 |
| Divorced/not living together | 11 (9.4) | 11 (12.4) | 0 | |
| Maternal morbidity, n (%) | ||||
| No | 77 (65.8) | 18 (64.3) | 59 (66.3) | 0.84 |
| Yes | 40 (34.2) | 10 (35.7) | 30 (33.7) | |
| Prenatal care, n (%) | ||||
| None | 6 (5.1) | 2 (4.5) | 4 (7.1) | 0.13 |
| ≤3 | 29 (24.8) | 3 (29.2) | 26 (10.7) | |
| ≥4 | 82 (70.1) | 23 (66.3) | 59 (82.1) | |
| Newborn characteristic | ||||
| Sex, n (%) | ||||
| Female | 48 (41.1) | 8 (44.9) | 40 (28.6) | 0.12 |
| Male | 69 (58.9) | 20 (55.1) | 49 (71.4) | |
| Birth methods, n (%) | ||||
| Vaginal | 51 (43.6) | 9 (47.2) | 42 (32.1) | 0.16 |
| Cesarean | 66 (56.4) | 19 (52.8) | 47 (67.9) | |
| Neonatal resuscitation at birth, n (%) | ||||
| No | 84 (71.8) | 19 (67.9) | 65 (73.0) | 0.59 |
| Yes | 33 (28.2) | 9 (32.1) | 24 (27.0) | |
| Head circumference at birth (CMS), median—IQR | 30.2 (2.5) | 29.9 (3) | 30.9 (2) | 0.009 * |
| Gestational age, n (%) | ||||
| Moderate preterm (>32–≤34 weeks) | 74 (63.2) | 9 (32,1) | 65 (73.0) | <0.001 |
| Very preterm (>28–≤32 weeks) | 36 (30.8) | 14 (50.0) | 22 (24.7) | |
| Extreme preterm (≤28 weeks) | 7 (6.0) | 5 (17.9) | 2 (2.3) | |
| Birth weight, n (%) | ||||
| Low birth weight (>1500–<2500 g) | 93 (79.4) | 12 (42.9) | 81 (91.0) | <0.001 |
| Very low birth weight (>1000–≤1500 g) | 21 (18.0) | 14 (50.0) | 7 (7.9) | |
| Extremely low birth weight (≤1000 g) | 3 (2.6) | 2 (7.1) | 1 (1.1) | |
| Neonatal morbidity, n (%) | ||||
| No | 62 (53.0) | 9 (32.1) | 53 (59.6) | 0.01 |
| Yes | 55 (47.0) | 19 (67.9) | 36 (40.4) | |
| Type of respiratory support during hospitalization, n (%) | ||||
| None | 65 (55.6) | 15 (53.6) | 50 (56.3) | 0.51 |
| Invasive ventilation | 21 (17.9) | 5 (17.9) | 16 (17.8) | |
| No invasive | 5 (4.3) | 0 (0) | 5 (5.7) | |
| Nasal cannula | 26 (22.2) | 8 (28.5) | 18 (20.2) | |
| Parenteral nutrition | ||||
| No | 96 (82.1) | 22 (78.6) | 74 (83.1) | 0.58 |
| Yes | 21 (17.9) | 6 (21.4) | 15 (16.9) | |
| Weight gain rate (g/kg/day), median—IQR | 15.4 (10.5) | 8.1 (4.0) | 17.8 (10) | <0.001 * |
| Change in Weight Z-Score | Unadjusted Coefficient | 95% CI | p-Value | Adjusted Coefficient | 95% CI | p-Value | ||
|---|---|---|---|---|---|---|---|---|
| Extrauterine Growth Restriction | 0.64 | 0.38 | 0.91 | <0.001 | 0.37 | 0.06 | 0.68 | 0.02 |
| Exclusive Breastfeeding at 40 Weeks Corrected Age | −0.21 | −0.46 | 0.03 | 0.09 | −0.29 | −0.55 | −0.03 | 0.03 |
| Exclusive Breastfeeding at 3 Months Corrected Age | 0.14 | −0.11 | 0.41 | 0.28 | 0.34 | 0.07 | 0.61 | 0.01 |
| Neonatal Morbidity at Discharge from NICU | 0.33 | 0.08 | 0.58 | 0.008 | 0.26 | 0.02 | 0.50 | 0.03 |
| Weight Gain Rate (g/kg/day) | −0.02 | −0.04 | −0.01 | <0.001 | −0.02 | −0.03 | 0.00 | 0.03 |
| Constant | 0.33 | −0.05 | 0.71 | 0.09 | ||||
| Change in Head Circumference Z-Score | Unadjusted Coefficient | 95% CI | p-Value | Adjusted Coefficient | 95% CI | p-Value | ||
|---|---|---|---|---|---|---|---|---|
| Extrauterine Growth Restriction | 0.59 | 0.31 | 0.87 | <0.001 | 0.51 | 0.24 | 0.79 | <0.001 |
| Sex | 0.56 | 0.27 | 0.85 | <0.001 | 0.50 | 0.23 | 0.78 | <0.001 |
| Constant | −0.70 | −0.93 | −0.46 | <0.001 | ||||
| Acute Malnutrition | Coefficient | Standard Error | 95% CI | p-Value | |
|---|---|---|---|---|---|
| Exclusive Breastfeeding at 6 Months of Corrected Age | −1.02 | 0.49 | −1.97 | −0.07 | 0.03 |
| Constant | −1.64 | 0.26 | −2.16 | −1.13 | <0.001 |
| CI: confidence interval | |||||
Disclaimer/Publisher’s Note: The statements, opinions and data contained in all publications are solely those of the individual author(s) and contributor(s) and not of MDPI and/or the editor(s). MDPI and/or the editor(s) disclaim responsibility for any injury to people or property resulting from any ideas, methods, instructions or products referred to in the content. |
© 2025 by the authors. Licensee MDPI, Basel, Switzerland. This article is an open access article distributed under the terms and conditions of the Creative Commons Attribution (CC BY) license (https://creativecommons.org/licenses/by/4.0/).
Share and Cite
Agudelo-Pérez, S.; Díaz Quijano, D.M.; Acuña, E.; Valderrama, J.P.; Rojas, A. Impact of Exclusive Breastfeeding and Extrauterine Growth Restriction on Post-Discharge Growth in Preterm Infants: A Longitudinal Cohort Study in a Kangaroo Mother Care Program. Children 2025, 12, 588. https://doi.org/10.3390/children12050588
Agudelo-Pérez S, Díaz Quijano DM, Acuña E, Valderrama JP, Rojas A. Impact of Exclusive Breastfeeding and Extrauterine Growth Restriction on Post-Discharge Growth in Preterm Infants: A Longitudinal Cohort Study in a Kangaroo Mother Care Program. Children. 2025; 12(5):588. https://doi.org/10.3390/children12050588
Chicago/Turabian StyleAgudelo-Pérez, Sergio, Diana Marcela Díaz Quijano, Eduardo Acuña, Juan Pablo Valderrama, and Ariana Rojas. 2025. "Impact of Exclusive Breastfeeding and Extrauterine Growth Restriction on Post-Discharge Growth in Preterm Infants: A Longitudinal Cohort Study in a Kangaroo Mother Care Program" Children 12, no. 5: 588. https://doi.org/10.3390/children12050588
APA StyleAgudelo-Pérez, S., Díaz Quijano, D. M., Acuña, E., Valderrama, J. P., & Rojas, A. (2025). Impact of Exclusive Breastfeeding and Extrauterine Growth Restriction on Post-Discharge Growth in Preterm Infants: A Longitudinal Cohort Study in a Kangaroo Mother Care Program. Children, 12(5), 588. https://doi.org/10.3390/children12050588

