Association of Knee Extension Torque, Velocity and Power with Chronological Age, Maturity Status and Physical Performance in Prepubertal Boys
Highlights
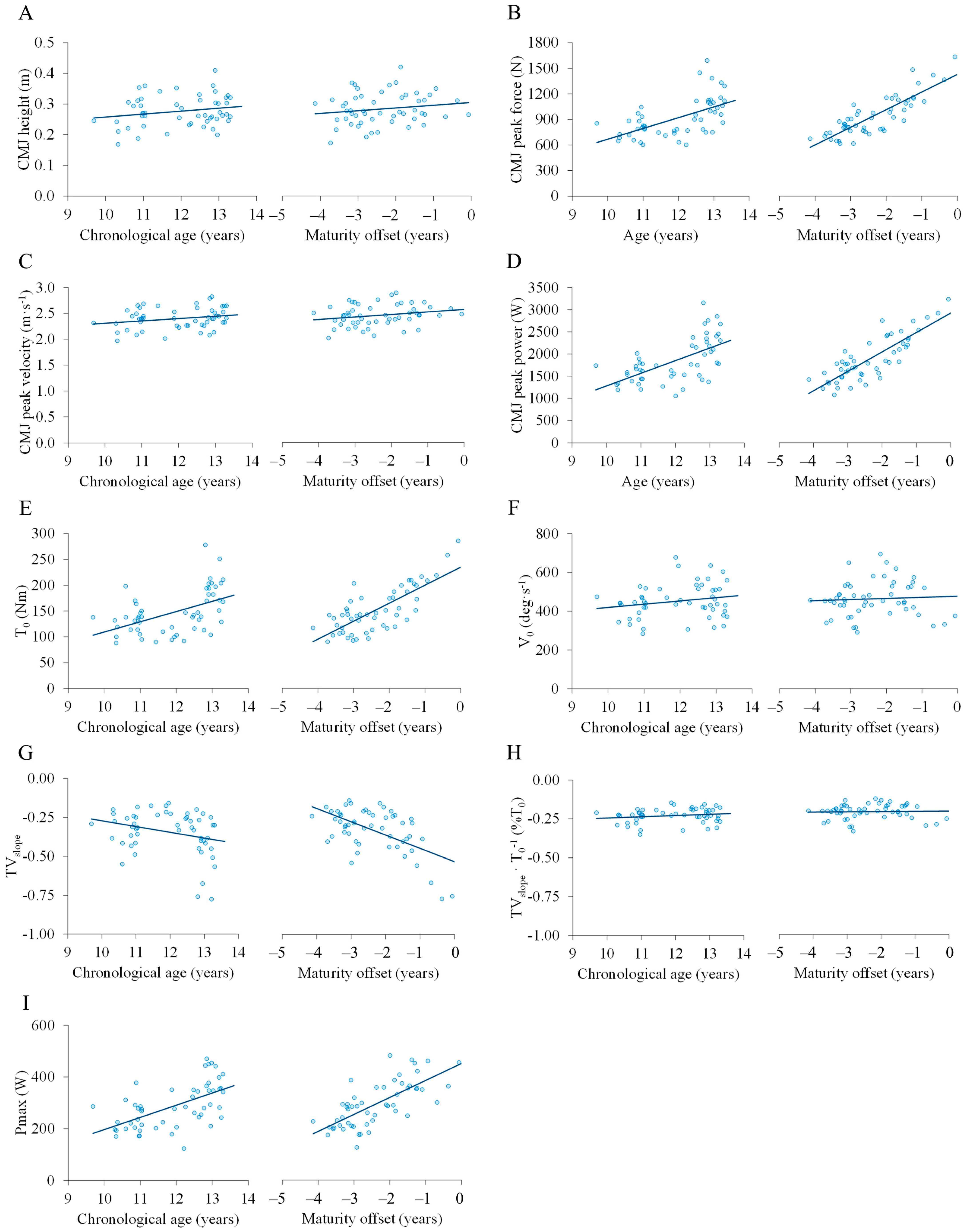
- Absolute knee extension torque and power in prepubertal boys are strongly associated with both chronological age and, even more so, maturity status.
- High-velocity muscle function normalized to body mass is the strongest predictor of functional performance in prepubertal boys.
- The use of absolute values of muscle function should be discouraged for health status assessment or talent identification in prepubertal boys of the same age, since differences may arise from biological maturity.
- Muscle function normalized to body mass is the best indicator of practical, weight-bearing capabilities and functional performance in children among the studied parameters.
Abstract
1. Introduction
2. Methods
2.1. Study Design
2.2. Subjects
2.3. Procedures
2.3.1. Anthropometrics
2.3.2. Maturity Status
2.3.3. Torque–Velocity–Power Relationship
2.3.4. Countermovement Jump
2.4. Statistical Analysis
3. Results
4. Discussion
5. Conclusions
Author Contributions
Funding
Institutional Review Board Statement
Informed Consent Statement
Data Availability Statement
Conflicts of Interest
References
- Byrne, C.; Faure, C.; Keene, D.J.; Lamb, S.E. Ageing, Muscle Power and Physical Function: A Systematic Review and Implications for Pragmatic Training Interventions. Sports Med. 2016, 46, 1311–1332. [Google Scholar] [CrossRef]
- Cormie, P.; McGuigan, M.R.; Newton, R.U. Developing maximal neuromuscular power: Part 1—Biological basis of maximal power production. Sports Med. 2011, 41, 17–38. [Google Scholar] [CrossRef] [PubMed]
- Mager, D.R.; Hager, A.; Gilmour, S. Challenges and physiological implications of sarcopenia in children and youth in health and disease. Curr. Opin. Clin. Nutr. Metab. Care 2023, 26, 528–533. [Google Scholar] [CrossRef]
- Faigenbaum, A.D.; Ratamess, N.A.; Kang, J.; Bush, J.A.; Rial Rebullido, T. May the Force Be with Youth: Foundational Strength for Lifelong Development. Curr. Sports Med. Rep. 2023, 22, 414–422. [Google Scholar] [CrossRef]
- Esteban-Cornejo, I.; Rodriguez-Ayllon, M.; Verdejo-Roman, J.; Cadenas-Sanchez, C.; Mora-Gonzalez, J.; Chaddock-Heyman, L.; Raine, L.B.; Stillman, C.M.; Kramer, A.F.; Erickson, K.I.; et al. Physical fitness, white matter volume and academic performance in children: Findings from the activebrains and FITKids2 projects. Front. Psychol. 2019, 10, 208. [Google Scholar] [CrossRef] [PubMed]
- Kaster, T.; Dooley, F.L.; Fitzgerald, J.S.; Walch, T.J.; Annandale, M.; Ferrar, K.; Lang, J.J.; Smith, J.J.; Tomkinson, G.R. Temporal trends in the sit-ups performance of 9,939,289 children and adolescents between 1964 and 2017. J. Sports Sci. 2020, 38, 1913–1923. [Google Scholar] [CrossRef]
- Tomkinson, G.R.; Kaster, T.; Dooley, F.L.; Fitzgerald, J.S.; Annandale, M.; Ferrar, K.; Lang, J.J.; Smith, J.J. Temporal Trends in the Standing Broad Jump Performance of 10,940,801 Children and Adolescents Between 1960 and 2017. Sports Med. 2021, 51, 531–548. [Google Scholar] [CrossRef]
- Sandercock, G.R.H.; Cohen, D.D. Temporal trends in muscular fitness of English 10-year-olds 1998–2014: An allometric approach. J. Sci. Med. Sport 2019, 22, 201–205. [Google Scholar] [CrossRef] [PubMed]
- Fühner, T.; Kliegl, R.; Arntz, F.; Kriemler, S.; Granacher, U. An Update on Secular Trends in Physical Fitness of Children and Adolescents from 1972 to 2015: A Systematic Review. Sports Med. 2021, 51, 303–320. [Google Scholar] [CrossRef]
- Orsso, C.E.; Tibaes, J.R.B.; Oliveira, C.L.P.; Rubin, D.A.; Field, C.J.; Heymsfield, S.B.; Prado, C.M.; Haqq, A.M. Low muscle mass and strength in pediatrics patients: Why should we care? Clin. Nutr. 2019, 38, 2002–2015. [Google Scholar] [CrossRef]
- Fraser, B.J.; Blizzard, L.; Buscot, M.J.; Schmidt, M.D.; Dwyer, T.; Venn, A.J.; Magnussen, C.G. Muscular strength across the life course: The tracking and trajectory patterns of muscular strength between childhood and mid-adulthood in an Australian cohort. J. Sci. Med. Sport 2021, 24, 696–701. [Google Scholar] [CrossRef]
- García-Hermoso, A.; Izquierdo, M.; Ramírez-Vélez, R. Tracking of physical fitness levels from childhood and adolescence to adulthood: A systematic review and meta-analysis. Transl. Pediatr. 2022, 11, 474–486. [Google Scholar] [CrossRef]
- Rantanen, T.; Guralnik, J.M.; Foley, D.; Masaki, K.; Leveille, S.; Curb, J.D.; White, L. Midlife hand grip strength as a predictor of old age disability. JAMA 1999, 281, 558–560. [Google Scholar] [CrossRef]
- Rantanen, T.; Harris, T.; Leveille, S.G.; Visser, M.; Foley, D.; Masaki, K.; Guralnik, J.M. Muscle strength and body mass index as long-term predictors of mortality in initially healthy men. J. Gerontol. A Biol. Sci. Med. Sci. 2000, 55, M168–M173. [Google Scholar] [CrossRef]
- Seger, J.Y.; Thorstensson, A. Muscle strength and myoelectric activity in prepubertal and adult males and females. Eur. J. Appl. Physiol. Occup. Physiol. 1994, 69, 81–87. [Google Scholar] [CrossRef]
- Kanehisa, H.; Ikegawa, S.; Tsunoda, N.; Fukunaga, T. Strength and cross-sectional area of knee extensor muscles in children. Eur. J. Appl. Physiol. Occup. Physiol. 1994, 68, 402–405. [Google Scholar] [CrossRef] [PubMed]
- Barrett, U.; Harrison, D. Comparing muscle function of children and adults: Effects of scaling for muscle size. Pediatr. Exerc. Sci. 2002, 14, 369–376. [Google Scholar] [CrossRef]
- Martin, J.C.; Farrar, R.P.; Wagner, B.M.; Spirduso, W.W. Maximal power across the lifespan. J. Gerontol. A Biol. Sci. Med. Sci. 2000, 55, M311–M316. [Google Scholar] [CrossRef] [PubMed][Green Version]
- Bassa, E.; Kotzamanidis, C.; Patikas, D.; Paraschos, I. The effect of age on isokinetic concentric and eccentric moment of knee extensors. Isokinet. Exerc. Sci. 2001, 9, 155–161. [Google Scholar] [CrossRef]
- De Ste Croix, M.B.A.; Armstrong, N.; Welsman, J.R.; Sharpe, P. Longitudinal changes in isokinetic leg strength in 10–14-year-olds. Ann. Hum. Biol. 2002, 29, 50–62. [Google Scholar] [CrossRef] [PubMed]
- Pääsuke, M.; Ereline, J.; Gapeyeva, H. Knee extensor muscle strength and vertical jumping performance characteristics in pre- and post-pubertal boys. Pediatr. Exerc. Sci. 2001, 13, 60–69. [Google Scholar] [CrossRef]
- Holm, I.; Steen, H.; Olstad, M. Isokinetic muscle performance in growing boys from pre-teen to maturity. An eleven-year longitudinal study. Isokinet. Exerc. Sci. 2005, 13, 153–158. [Google Scholar] [CrossRef]
- Sunnegårdh, J.; Bratteby, L.E.; Nordesjö, L.O.; Nordgren, B. Isometric and isokinetic muscle strength, anthropometry and physical activity in 8 and 13 year old Swedish children. Eur. J. Appl. Physiol. Occup. Physiol. 1988, 58, 291–297. [Google Scholar] [CrossRef]
- Seger, J.Y.; Thorstensson, A. Muscle strength and electromyogram in boys and girls followed through puberty. Eur. J. Appl. Physiol. Occup. Physiol. 2000, 81, 54–61. [Google Scholar] [CrossRef]
- Beunen, G.; Thomis, M. Muscular strength development in children and adolescents. Pediatr. Exerc. Sci. 2000, 12, 174–197. [Google Scholar] [CrossRef]
- Alcazar, J.; Csapo, R.; Ara, I.; Alegre, L.M. On the Shape of the Force-Velocity Relationship in Skeletal Muscles: The Linear, the Hyperbolic, and the Double-Hyperbolic. Front. Physiol. 2019, 10, 769. [Google Scholar] [CrossRef]
- Martinho, D.V.; Baptista, R.; Teixeira, A.S.; Duarte, J.P.; Valente-Dos-Santos, J.; Coelho-E-Silva, M.J.; Santos, A.M.C.; Armstrong, N. Allometric Scaling of Force-velocity Test Output among Pre-pubertal Basketball Players. Int. J. Sports Med. 2021, 42, 994–1003. [Google Scholar] [CrossRef]
- Martin, R.J.F.; Dore, E.; Twisk, J.; Van Praagh, E.; Hautier, C.A.; Bedu, M. Longitudinal Changes of Maximal Short-Term Peak Power in Girls and Boys during Growth. Med. Sci. Sports Exerc. 2004, 36, 498–503. [Google Scholar] [CrossRef]
- Edwards, T.; Weakley, J.; Banyard, H.G.; Cripps, A.; Piggott, B.; Haff, G.G.; Joyce, C. Longitudinal Development of Sprint Performance and Force-Velocity-Power Characteristics: Influence of Biological Maturation. J. Strength. Cond. Res. 2023, 37, 2178–2184. [Google Scholar] [CrossRef] [PubMed]
- Mirwald, R.L.; Baxter-Jones, A.D.; Bailey, D.A.; Beunen, G.P. An assessment of maturity from anthropometric measurements. Med. Sci. Sports Exerc. 2002, 34, 689–694. [Google Scholar] [CrossRef]
- Thom, J.M.; Morse, C.I.; Birch, K.M.; Narici, M.V. Influence of muscle architecture on the torque and power-velocity characteristics of young and elderly men. Eur J Appl Physiol 2007, 100, 613–619. [Google Scholar] [CrossRef] [PubMed]
- Alcazar, J.; Rodriguez-Lopez, C.; Delecluse, C.; Thomis, M.; Van Roie, E. Ten-year longitudinal changes in muscle power, force, and velocity in young, middle-aged, and older adults. J. Cachexia Sarcopenia Muscle 2023, 14, 1019–1032. [Google Scholar] [CrossRef]
- Pérez-Castilla, A.; García-Ramos, A. Evaluation of the Most Reliable Procedure of Determining Jump Height During the Loaded Countermovement Jump Exercise: Take-Off Velocity vs. Flight Time. J Strength Cond Res 2018, 32, 2025–2030. [Google Scholar] [CrossRef]
- Van Praagh, E.; Doré, E. Short-term muscle power during growth and maturation. Sports Med. 2002, 32, 701–728. [Google Scholar] [CrossRef]
- Ramos, E.; Frontera, W.R.; Llopart, A.; Feliciano, D. Muscle strength and hormonal levels in adolescents: Gender related differences. Int. J. Sports Med. 1998, 19, 526–531. [Google Scholar] [CrossRef]
- Lexell, J.; Sjöström, M.; Nordlund, A.S.; Taylor, C.C. Growth and development of human muscle: A quantitative morphological study of whole vastus lateralis from childhood to adult age. Muscle Nerve 1992, 15, 404–409. [Google Scholar] [CrossRef]
- De Ste Croix, M.B.A.; Deighan, M.A.; Armstrong, N. Assessment and interpretation of isokinetic muscle strength during growth and maturation. Sports Med. 2003, 33, 727–743. [Google Scholar] [CrossRef]
- Massa, M.; Moreira, A.; Costa, R.A.; Lima, M.R.; Thiengo, C.R.; Marquez, W.Q.; Coutts, A.J.; Aoki, M.S. Biological maturation influences selection process in youth elite soccer players. Biol. Sport 2022, 39, 435–441. [Google Scholar] [CrossRef] [PubMed]
- Monasterio, X.; Cumming, S.P.; Larruskain, J.; Johnson, D.M.; Gil, S.M.; Bidaurrazaga-Letona, I.; Lekue, J.A.; Diaz-Beitia, G.; Santisteban, J.M.; Williams, S. The combined effects of growth and maturity status on injury risk in an elite football academy. Biol. Sport 2024, 41, 234–244. [Google Scholar] [CrossRef] [PubMed]
- Radnor, J.M.; Oliver, J.L.; Waugh, C.M.; Myer, G.D.; Lloyd, R.S. Muscle Architecture and Maturation Influence Sprint and Jump Ability in Young Boys: A Multistudy Approach. J. Strength Cond. Res. 2022, 36, 2741–2751. [Google Scholar] [CrossRef]
- O′Brien, T.D.; Reeves, N.D.; Baltzopoulos, V.; Jones, D.A.; Maganaris, C.N. Moment arms of the knee extensor mechanism in children and adults. J. Anat. 2009, 215, 198–205. [Google Scholar] [CrossRef] [PubMed]
- Esbjörnsson, M.E.; Dahlström, M.S.; Gierup, J.W.; Jansson, E.C. Muscle fiber size in healthy children and adults in relation to sex and fiber types. Muscle Nerve 2021, 63, 586–592. [Google Scholar] [CrossRef]
- Drachman, D.B.; Johnston, D.M. Development of a mammalian fast muscle: Dynamic and biochemical properties correlated. J. Physiol. 1973, 234, 29–42. [Google Scholar] [CrossRef]
- McComas, A.J.; Sica, R.E.; Petito, F. Muscle strength in boys of different ages. J. Neurol. Neurosurg. Psychiatry 1973, 36, 171–173. [Google Scholar] [CrossRef][Green Version]
- Grosset, J.F.; Mora, I.; Lambertz, D.; Pérot, C. Changes in stretch reflexes and muscle stiffness with age in prepubescent children. J. Appl. Physiol. (1985) 2007, 102, 2352–2360. [Google Scholar] [CrossRef]
- Malmström, J.E.; Lindström, L. Propagation velocity of muscle action potentials in the growing normal child. Muscle Nerve 1997, 20, 403–410. [Google Scholar] [CrossRef]
- Bassa, E.; Patikas, D.; Hatzikotoulas, K.; Kotzamanidis, C. Commentary on “Child-adult differences in muscle activation—A review”. Pediatr. Exerc. Sci. 2013, 25, 332–336. [Google Scholar] [CrossRef] [PubMed]
- Kanehisa, H.; Ikegawa, S.; Tsunoda, N.; Fukunaga, T. Strength and cross-sectional areas of reciprocal muscle: Groups in the upper arm and thigh during adolescence. Int. J. Sports Med. 1995, 16, 54–60. [Google Scholar] [CrossRef]
- Kanehisa, H.; Kuno, S.; Katsuta, S.; Fukunaga, T. A 2-year follow-up study on muscle size and dynamic strength in teenage tennis players. Scand. J. Med. Sci. Sports 2006, 16, 93–101. [Google Scholar] [CrossRef]
- Alcazar, J.; Pareja-Blanco, F.; Rodriguez-Lopez, C.; Navarro-Cruz, R.; Cornejo-Daza, P.J.; Ara, I.; Alegre, L.M. Comparison of linear, hyperbolic and double-hyperbolic models to assess the force-velocity relationship in multi-joint exercises. Eur. J. Sport. Sci. 2021, 21, 359–369. [Google Scholar] [CrossRef] [PubMed]
- Alcazar, J.; Pareja-Blanco, F.; Rodriguez-Lopez, C.; Gutierrez-Reguero, H.; Sanchez-Valdepeñas, J.; Cornejo-Daza, P.J.; Ara, I.; Alegre, L.M. A novel equation that incorporates the linear and hyperbolic nature of the force-velocity relationship in lower and upper limb exercises. Eur. J. Appl. Physiol. 2022, 122, 2305–2313. [Google Scholar] [CrossRef] [PubMed]

| Mean | ± | SD | Range | |
|---|---|---|---|---|
| Age (years) | 12.0 | ± | 1.1 | 9.7–13.3 |
| Body mass (kg) | 43.8 | ± | 10.3 | 28.7–78.8 |
| Height (m) | 1.54 | ± | 0.10 | 1.39–1.76 |
| BMI (kg·m−2) | 18.1 | ± | 2.4 | 13.8–26.2 |
| Sitting height (m) | 0.72 | ± | 0.05 | 0.61–0.86 |
| Maturity offset (years) | −2.38 | ± | 0.95 | −4.14–0.07 |
| Age at PHV (years) | 14.3 | ± | 0.6 | 12.9–15.6 |
| Mean | ± | SD | Chronological Age | Maturity Offset | |||||
|---|---|---|---|---|---|---|---|---|---|
| r | (95% CI) | p Value | r | (95% CI) | p Value | ||||
| CMJ | |||||||||
| Height (m) | 0.28 | ± | 0.05 | 0.20 | (−0.08, 0.45) | 0.152 | 0.16 | (−0.11, 0.42) | 0.246 |
| Peak force (N) | 925.3 | ± | 232.4 | 0.58 | (0.37, 0.74) | <0.001 | 0.84 | (0.74, 0.91) | <0.001 |
| Peak velocity (m·s−1) | 2.41 | ± | 0.21 | 0.24 | (−0.04, 0.48) | 0.090 | 0.23 | (−0.05, 0.47) | 0.106 |
| Peak power (W) | 1862.2 | ± | 505.4 | 0.61 | (0.40, 0.76) | <0.001 | 0.83 | (0.72, 0.90) | <0.001 |
| TVP relationship | |||||||||
| T0 (Nm) | 149.0 | ± | 43.3 | 0.49 | (0.26, 0.67) | <0.001 | 0.76 | (0.61, 0.85) | <0.001 |
| T60 (Nm) | 128.3 | ± | 36.4 | 0.52 | (0.30, 0.70) | <0.001 | 0.77 | (0.64, 0.86) | <0.001 |
| T120 (Nm) | 107.6 | ± | 30.2 | 0.56 | (0.34, 0.72) | <0.001 | 0.78 | (0.64, 0.87) | <0.001 |
| T180 (Nm) | 86.9 | ± | 25.2 | 0.58 | (0.36, 0.73) | <0.001 | 0.74 | (0.59, 0.84) | <0.001 |
| V0 (deg·s−1) | 453.6 | ± | 88.2 | 0.20 | (−0.07, 0.45) | 0.149 | 0.06 | (−0.21, 0.33) | 0.667 |
| T-Vslope | −0.35 | ± | 0.14 | −0.28 | (−0.51, −0.01) | 0.041 | −0.57 | (−0.73, −0.36) | <0.001 |
| T-Vslope (%T0) | −0.23 | ± | 0.05 | 0.18 | (0.09, 0.43) | 0.195 | 0.03 | (−0.24, 0.30) | 0.829 |
| P60 (W) | 134.4 | ± | 38.1 | 0.52 | (0.30, 0.70) | <0.001 | 0.77 | (0.64, 0.86) | <0.001 |
| P120 (W) | 225.4 | ± | 63.2 | 0.56 | (0.34, 0.72) | <0.001 | 0.78 | (0.64, 0.87) | <0.001 |
| P180 (W) | 273.0 | ± | 79.3 | 0.58 | (0.36, 0.73) | <0.001 | 0.74 | (0.59, 0.84) | <0.001 |
| Pmax (W) | 291.9 | ± | 90.1 | 0.58 | (0.37, 0.74) | <0.001 | 0.71 | (0.55, 0.82) | <0.001 |
| Topt (Nm) | 74.6 | ± | 21.6 | 0.49 | (0.26, 0.67) | <0.001 | 0.76 | (0.62, 0.85) | <0.001 |
| Vopt (deg·s−1) | 226.8 | ± | 44.1 | 0.20 | (−0.07, 0.45) | 0.149 | 0.06 | (−0.21, 0.33) | 0.667 |
| Mean | ± | SD | Chronological Age | Maturity Offset | |||||
|---|---|---|---|---|---|---|---|---|---|
| r | (95% CI) | p Value | r | (95% CI) | p Value | ||||
| CMJ | |||||||||
| Peak force (N·m−2) | 380.9 | ± | 60.7 | 0.32 | (0.05, 0.54) | 0.021 | 0.57 | (0.35, 0.73) | <0.001 |
| Peak power (W·m−2) | 765.1 | ± | 138.5 | 0.38 | (0.12, 0.59) | 0.005 | 0.57 | (0.36, 0.73) | <0.001 |
| T-V relationship | |||||||||
| T0 (Nm·m−2) | 61.4 | ± | 12.7 | 0.21 | (−0.06, 0.46) | 0.126 | 0.46 | (0.22, 0.65) | <0.001 |
| T60 (Nm·m−2) | 52.8 | ± | 10.5 | 0.25 | (−0.02, 0.49 | 0.072 | 0.48 | (0.24, 0.66) | <0.001 |
| T120 (Nm·m−2) | 44.3 | ± | 8.8 | 0.29 | (0.02, 0.52) | 0.034 | 0.48 | (0.24, 0.67) | <0.001 |
| T180 (Nm·m−2) | 35.8 | ± | 7.6 | 0.33 | (0.06, 0.55) | 0.017 | 0.44 | (0.20, 0.64) | <0.001 |
| T-Vslope (·m−2) | −0.13 | ± | 0.04 | −0.12 | (−0.37, 0.16) | 0.413 | −0.34 | (−0.56, −0.08) | 0.012 |
| P60 (W·m−2) | 55.3 | ± | 11.0 | 0.25 | (−0.02, 0.49) | 0.072 | 0.48 | (0.24, 0.66) | <0.001 |
| P120 (W·m−2) | 94.6 | ± | 16.4 | 0.39 | (0.13, 0.59) | 0.004 | 0.46 | (0.22, 0.65) | <0.001 |
| P180 (W·m−2) | 112.4 | ± | 24.0 | 0.33 | (0.06, 0.55) | 0.017 | 0.44 | (0.20, 0.64) | <0.001 |
| Pmax (W·m−2) | 120.1 | ± | 28.1 | 0.35 | (0.09, 0.57) | 0.009 | 0.43 | (0.18, 0.63) | 0.001 |
| Topt (Nm·m−2) | 30.7 | ± | 6.3 | 0.21 | (−0.06, 0.46) | 0.125 | 0.46 | (0.22, 0.65) | <0.001 |
| Mean | ± | SD | Chronological Age | Maturity Offset | |||||
|---|---|---|---|---|---|---|---|---|---|
| r | (95% CI) | p Value | r | (95% CI) | p Value | ||||
| CMJ | |||||||||
| Peak force (N·kg−1) | 20.9 | ± | 2.1 | 0.04 | (−0.23, 0.31) | 0.759 | 0.04 | (−0.23, 0.31) | 0.769 |
| Peak power (W·kg−1) | 42.1 | ± | 6.0 | 0.14 | (−0.14, 0.40) | 0.312 | 0.12 | (−0.16, 0.38) | 0.409 |
| TVP relationship | |||||||||
| T0 (Nm·kg−1) | 3.37 | ± | 0.51 | −0.03 | (−0.30, 0.25) | 0.851 | 0.05 | (−0.22, 0.32) | 0.707 |
| T60 (Nm·kg−1) | 2.91 | ± | 0.42 | 0.01 | (−0.26, 0.28) | 0.918 | 0.06 | (−0.21, 0.33) | 0.653 |
| T120 (Nm·kg−1) | 2.44 | ± | 0.36 | 0.07 | (−0.20, 0.34) | 0.608 | 0.07 | (−0.20, 0.34) | 0.602 |
| T180 (Nm·kg−1) | 1.97 | ± | 0.34 | 0.14 | (−0.14, 0.39) | 0.337 | 0.08 | (−0.20, 0.34) | 0.562 |
| T-Vslope (·kg−1) | −0.005 | ± | 0.002 | 0.56 | (0.34, 0.72) | <0.001 | 0.65 | (0.46, 0.78) | <0.001 |
| P60 (W·kg−1) | 3.04 | ± | 0.44 | 0.01 | (−0.26, 0.28) | 0.918 | 0.06 | (−0.21, 0.33) | 0.653 |
| P120 (W·kg−1) | 5.11 | ± | 0.76 | 0.07 | (−0.20, 0.34) | 0.608 | 0.07 | (−0.20, 0.34) | 0.602 |
| P180 (W·kg−1) | 6.19 | ± | 1.08 | 0.14 | (−0.14, 0.39) | 0.337 | 0.08 | (−0.20, 0.34) | 0.562 |
| Pmax (W·kg−1) | 6.61 | ± | 1.33 | 0.19 | (−0.09, 0.43) | 0.185 | 0.10 | (−0.17, 0.36) | 0.463 |
| Topt (Nm·kg−1) | 1.69 | ± | 0.26 | −0.03 | (−0.30, 0.25) | 0.849 | 0.05 | (−0.22, 0.32) | 0.715 |
| Absolute | Normalized to Body Mass | Normalized to Height Squared | |||||||
|---|---|---|---|---|---|---|---|---|---|
| r | (95% CI) | p Value | r | (95% CI) | p Value | r | (95% CI) | p Value | |
| T0 | 0.15 | (−0.13, 0.41) | 0.282 | 0.28 | (0.01, 0.51) | 0.046 | 0.11 | (−0.17, 0.37) | 0.448 |
| T60 | 0.19 | (−0.09, 0.44) | 0.183 | 0.35 | (0.09, 0.57) | 0.011 | 0.16 | (−0.12, 0.41) | 0.267 |
| T120 | 0.23 | (−0.04, 0.48) | 0.095 | 0.43 | (0.18, 0.63) | 0.002 | 0.22 | (−0.05, 0.47) | 0.113 |
| T180 | 0.29 | (0.02, 0.52) | 0.037 | 0.47 | (0.23, 0.66) | <0.001 | 0.30 | (0.02, 0.53) | 0.034 |
| V0 | 0.32 | (0.05, 0.54) | 0.021 | ||||||
| T-Vslope | 0.02 | (−0.25, 0.29) | 0.878 | 0.18 | (−0.10, 0.43) | 0.196 | 0.09 | (−0.19, 0.35) | 0.531 |
| T-Vslope (%T0) | 0.27 | (−0.01, 0.50) | 0.054 | ||||||
| P60 | 0.19 | (−0.09, 0.44) | 0.183 | 0.35 | (0.09, 0.57) | 0.011 | 0.16 | (−0.12, 0.41) | 0.267 |
| P120 | 0.23 | (−0.04, 0.48) | 0.095 | 0.43 | (0.18, 0.63) | 0.002 | 0.09 | (−0.19, 0.36) | 0.522 |
| P180 | 0.29 | (0.02, 0.52) | 0.037 | 0.47 | (0.23, 0.66) | <0.001 | 0.30 | (0.02, 0.53) | 0.034 |
| Pmax | 0.35 | (0.09, 0.57) | 0.010 | 0.52 | (0.29, 0.70) | <0.001 | 0.37 | (0.11, 0.59) | 0.006 |
| Topt | 0.15 | (−0.13, 0.41) | 0.282 | 0.28 | (0.01, 0.51) | 0.048 | 0.11 | (−0.17, 0.37) | 0.458 |
| Vopt | 0.32 | (0.05, 0.54) | 0.021 | ||||||
Disclaimer/Publisher’s Note: The statements, opinions and data contained in all publications are solely those of the individual author(s) and contributor(s) and not of MDPI and/or the editor(s). MDPI and/or the editor(s) disclaim responsibility for any injury to people or property resulting from any ideas, methods, instructions or products referred to in the content. |
© 2025 by the authors. Licensee MDPI, Basel, Switzerland. This article is an open access article distributed under the terms and conditions of the Creative Commons Attribution (CC BY) license (https://creativecommons.org/licenses/by/4.0/).
Share and Cite
Alcazar, J.; Reznar, L.; Bogoevski, G.; Raidl, P.; Schaun, G.Z.; Csapo, R. Association of Knee Extension Torque, Velocity and Power with Chronological Age, Maturity Status and Physical Performance in Prepubertal Boys. Children 2025, 12, 1713. https://doi.org/10.3390/children12121713
Alcazar J, Reznar L, Bogoevski G, Raidl P, Schaun GZ, Csapo R. Association of Knee Extension Torque, Velocity and Power with Chronological Age, Maturity Status and Physical Performance in Prepubertal Boys. Children. 2025; 12(12):1713. https://doi.org/10.3390/children12121713
Chicago/Turabian StyleAlcazar, Julian, Lena Reznar, Georg Bogoevski, Peter Raidl, Gustavo Z. Schaun, and Robert Csapo. 2025. "Association of Knee Extension Torque, Velocity and Power with Chronological Age, Maturity Status and Physical Performance in Prepubertal Boys" Children 12, no. 12: 1713. https://doi.org/10.3390/children12121713
APA StyleAlcazar, J., Reznar, L., Bogoevski, G., Raidl, P., Schaun, G. Z., & Csapo, R. (2025). Association of Knee Extension Torque, Velocity and Power with Chronological Age, Maturity Status and Physical Performance in Prepubertal Boys. Children, 12(12), 1713. https://doi.org/10.3390/children12121713

