Surface and Mineral Changes of Primary Enamel after Laser Diode Irradiation and Application of Remineralization Agents: A Comparative In Vitro Study
Abstract
1. Introduction
- There will be no alterations to the enamel surface following treatment with or without laser and after the pH cycle;
- The percentage of chemical elements in the measured regions will remain unchanged following treatment with or without laser and after the pH cycling;
- The three wavelengths will not have a distinct impact on the chemical structure of the enamel.
2. Materials and Methods
2.1. Tooth Selection and Preparation Phase
2.2. Experimental Techniques
2.2.1. DIAGNOdent® Pen
2.2.2. Applied Treatments
- 1.
- Topical fluoride varnish containing calcium and phosphate, specifically fresh mint 0.44 g (0.4 mL) (MI Varnish™ by GC Corporation, Tokyo, Japan), was applied to the enamel surface of Group 2 (G2) using a microbrush. For Groups 6 (G6), 7 (G7), and 8 (G8), the MI fluoride varnish was administered following laser irradiation. A comprehensive overview of the treatments administered across all eight groups is provided in Table 1. Following each experimental procedure, the samples were immersed in artificial saliva for 24 h until the subsequent step. The composition of the artificial saliva, as described by Serdar et al. [44], included 0.4 g of NaCl, 1.21 g of KCl, 0.78 g of NaH2PO4·2H2O, 0.005 g of Na2S·9H2O, 1 g of CO(NH2)2, and 1000 mL of distilled deionized water. After the 24 h immersion period, the hardened varnish was removed from the tooth surface through brushing and scaling to simulate regular oral hygiene practices.
- 2.
- For the laser groups, the parameters used were different according to the laser wavelength. All laser procedures were performed by the same operator, who scanned uniformly over the enamel surface to ensure complete coverage of the chosen region. The treatments for the laser groups were as follows: Groups 3 (G3) and 6 (G6) were treated with a 980 nm diode laser (KaVo GENTLEray 980 Diode Laser, Kaltenbach & Voigt GmbH, Biberach, Germany). The procedure involved the use of a 300 μm optic fiber at a wavelength of 980 nm, with an output power of 1 W, applied for 60 s in continuous contact mode without water. For Group 6 (G6), following laser irradiation of the enamel surface, MI-CPP-ACP fluoride varnish was applied according to the manufacturer’s instructions.
- 3.
- For Groups 4 (G4) and 7 (G7), the treatment involved 808 nm diode laser irradiation under the following conditions: A 400 μm optic fiber was employed at a wavelength of 808 nm, with a peak power of 2.5 W and an average power of 0.42 W (WISER 3 DOCTOR SMILE, P. IVA, by Lambda S.p.A., Via dell’Impresa, Brendola (VI), Italy). The procedure featured a frequency rate of 8.33 kHz, with parameters of 0.1 W/cm2 delivering 2 J of energy, amounting to a total energy of 8.3 J per tooth sample and 75.1 J per procedure. The laser was operated in continuous-wave, pulsatile, and contact modes, with an exposure time of 20 s per sample and without the use of water for scanning the tooth surface. After laser irradiation of the enamel surface in Group 7 (G7), MI-fluoride varnish was subsequently applied.
- 4.
- For Groups 5 (G5) and 8 (G8), the treatment involved 450 nm laser irradiation using a 400 μm optic fiber with a wavelength of 450 nm (WISER 3 DOCTOR SMILE, P. IVA, by Lambda S.p.A., Via dell’Impresa, Brendola (VI), Italy). The procedure was conducted with a peak power of 0.4 W, an average power of 0.07 W, and a frequency rate of 8.33 kHz. The parameters included 0.1 W/cm2, delivering 2 J of energy, resulting in a total energy of 3.45 J per tooth sample. The laser was operated in continuous, pulsatile, and contact modes with an exposure time of 30 s per sample, without the use of water for scanning the tooth surface. Following laser irradiation in Group 8 (G8), MI-CPP-ACP fluoride varnish was applied.
2.3. Evaluation Methods
2.3.1. The DIAGNOdent®
2.3.2. Scanning Electron Microscopy (SEM) and Energy-Dispersive X-ray Spectroscopy (EDX) Analysis
2.4. Statistical Analysis
3. Results
3.1. Scanning Electron Microscopy (SEM)
3.2. DIAGNOdent® Analysis
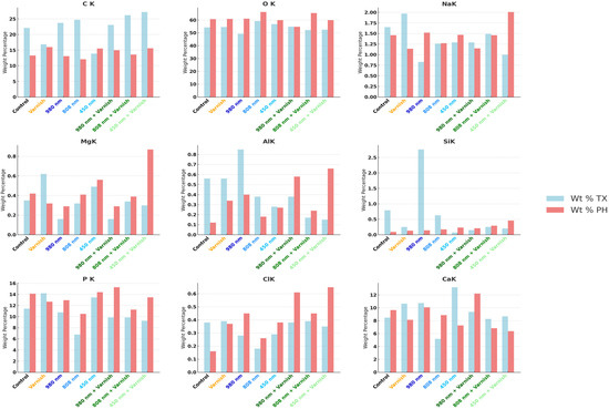
3.3. EDX Chemical Analysis
4. Discussion
5. Conclusions
Author Contributions
Funding
Institutional Review Board Statement
Informed Consent Statement
Data Availability Statement
Acknowledgments
Conflicts of Interest
References
- Bahrololoomi, Z.; Zarebidoki, F.; Mostafalu, N. The effect of different re-mineralizing agents and diode laser irradiation on the microhardness of primary molar enamel: An in vitro study. Laser Ther. 2019, 28, 187–192. [Google Scholar] [CrossRef] [PubMed] [PubMed Central]
- Gao, S.S.; Zhang, S.; Mei, M.L.; Lo, E.C.; Chu, C.H. Caries remineralisation and arresting effect in children by professionally applied fluoride treatment—A systematic review. BMC Oral Health 2016, 16, 12. [Google Scholar] [CrossRef] [PubMed]
- Nozari, A.; Ajami, S.; Rafiei, A.; Niazi, E. Impact of Nano Hydroxyapatite, Nano Silver Fluoride and Sodium Fluoride Varnish on Primary Teeth Enamel Remineralization: An In Vitro Study. J. Clin. Diagn. Res. 2017, 11, ZC97–ZC100. [Google Scholar] [CrossRef]
- Santos, V.E., Jr.; Vasconcelos Filho, A.; Targino, A.G.R.; Flores, M.A.P.; Galembeck, A.; Caldas, A.F., Jr.; Rosenblatt, A. A new “silver-bullet” to treat caries in children—Nano silver fluoride: A randomised clinical trial. J. Dent. 2014, 42, 945–951. [Google Scholar] [CrossRef] [PubMed]
- Bagramian, R.A.; Garcia-Godoy, F.; Volpe, A.R. The global increase in dental caries. A pending public health crisis. Am. J. Dent. 2009, 22, 3–8. [Google Scholar]
- Curylofo-Zotti, F.A.; Tanta, G.S.; Zugliani, A.L.; Milori, S.A. The combined use of sodium fluoride and Er: YAG laser to control the progression of enamel caries. Eur. J. Pharm. Med. Res. 2016, 3, 1–5. [Google Scholar]
- Lata, S.; Varghese, N.O.; Varughese, J.M. Remineralization potential of fluoride and amorphous calcium phosphate-casein phospho peptide on enamel lesions: An in vitro comparative evaluation. J. Conserv. Dent. 2010, 13, 42–46. [Google Scholar] [CrossRef]
- Patil, N.; Choudhari, S.; Kulkarni, S.; Joshi, S.R. Comparative evaluation of remineralizing potential of three agents on artificially demineralized human enamel: An in vitro study. J. Conserv. Dent. 2013, 16, 116–120. [Google Scholar] [CrossRef]
- Tschoppe, P.; Zandim, D.L.; Martus, P.; Kielbassa, A.M. Enamel and dentine remineralization by nano-hydroxyapatite toothpastes. J. Dent. 2011, 39, 430–437. [Google Scholar] [CrossRef]
- Vitiello, F.; Tosco, V.; Monterubbianesi, R.; Orilisi, G.; Gatto, M.L.; Sparabombe, S.; Memé, L.; Mengucci, P.; Putignano, A.; Orsini, G. Remineralization Efficacy of Four Remineralizing Agents on Artificial Enamel Lesions: SEM-EDS Investigation. Materials 2022, 15, 4398. [Google Scholar] [CrossRef]
- Zhou, C.; Zhang, D.; Bai, Y.; Li, S. Casein phosphopeptide-amorphous calcium phosphate remineralization of primary teeth early enamel lesions. J. Dent. 2014, 42, 21–29. [Google Scholar] [CrossRef]
- Poosti, M.; Ahrari, F.; Moosavi, H.; Najjaran, H. The effect of fractional CO2 laser irradiation on remineralization of enamel white spot lesions. Lasers Med. Sci. 2014, 29, 134955. [Google Scholar] [CrossRef] [PubMed]
- Pitts, N.B.; Zero, D.T.; Marsh, P.D.; Ekstrand, K.; Weintraub, J.A.; Ramos-Gomez, F.; Tagami, J.; Twetman, S.; Tsakos, G.; Ismail, A. Dental caries. Nat. Rev. Dis. Primers. 2017, 3, 17030. [Google Scholar] [CrossRef] [PubMed]
- Stookey, G.K. The effect of saliva on dental caries. J. Am. Dent. Assoc. 2008, 139 (Suppl. 2), 11S–17S. [Google Scholar] [CrossRef] [PubMed]
- Orsini, G.; Tosco, V.; Monterubbianesi, R.; Orilisi, G.; Putignano, A. A New Era in Restorative Dentistry. In The First Outstanding 50 Years of “Università Politecnica delle Marche”; Springer: Cham, Switzerland, 2020. [Google Scholar]
- Abou Neel, E.; Aljabo, A.; Strange, A.; Ibrahim, S.; Coathup, M.; Young, A.; Bozec, L.; Mudera, V. Demineralization–remineralization dynamics in teeth and bone. Int. J. Nanomed. 2016, 11, 4743–4763. [Google Scholar] [CrossRef] [PubMed]
- Bandekar, S.; Patil, S.; Dudulwar, D.; Moogi, P.P.; Ghosh, S.; Kshirsagar, S. Remineralization potential of fluoride, amorphous calcium phosphate-casein phosphopeptide, and combination of hydroxylapatite and fluoride on enamel lesions: An in vitro comparative evaluation. J. Conserv. Dent. 2019, 22, 305–309. [Google Scholar] [CrossRef]
- Marinho, V.C.C.; Worthington, H.V.; Walsh, T.; Clarkson, J.E. Fluoride Varnishes for Preventing Dental Caries in Children and Adolescents. Cochrane Database Syst. Rev. 2013, 11, CD002279. [Google Scholar] [CrossRef]
- Ten Cate, J.M. Current Concepts on the Theories of the Mechanism of Action of Fluoride. Acta Odontol. Scand. 1999, 57, 325–329. [Google Scholar] [CrossRef]
- Reema, S.D.; Lahiri, P.K.; Roy, S.S. Review of casein phosphopeptides-amorphous calcium phosphate. Chin. J. Dent. Res. 2014, 17, 7–14. [Google Scholar]
- Farooq, I.; Bugshan, A. The role of salivary contents and modern technologies in the remineralization of dental enamel: A narrative review. F1000Research 2020, 9, 171. [Google Scholar] [CrossRef]
- Philip, N. State of the Art Enamel Remineralization Systems: The Next Frontier in Caries Management. Caries Res. 2019, 53, 284–295. [Google Scholar] [CrossRef] [PubMed]
- Pinelli, M.D.; Catelan, A.; de Resende, L.F.; Soares, L.E.; Aguiar, F.H.; Liporoni, P.C. Chemical composition and roughness of enamel and composite after bleaching, acidic beverages and toothbrushing. J. Clin. Exp. Dent. 2019, 11, e1175–e1180. [Google Scholar] [CrossRef] [PubMed]
- Kim, M.-J.; Lee, M.-J.; Kim, K.-M.; Yang, S.-Y.; Seo, J.-Y.; Choi, S.-H.; Kwon, J.-S. Enamel Demineralization Resistance and Remineralization by Various Fluoride-Releasing Dental Restorative Materials. Materials 2021, 14, 4554. [Google Scholar] [CrossRef]
- Singal, K.; Sharda, S.; Gupta, A.; Malik, V.S.; Singh, M.; Chauhan, A.; Aggrawal, A.; Pradhan, P.; Singh, M. Effectiveness of Calcium Phosphate Derivative Agents on the Prevention and Remineralization of Caries among Children—A Systematic Review & Meta-Analysis of Randomized Controlled Trials. J. Evid. Based Dent. Pract. 2022, 22, 101746. [Google Scholar]
- Oliveira, P.R.A.D.; Barboza, C.M.; Barreto, L.S.D.C.; Tostes, M.A. Effect of CPP-ACP on remineralization of artificial caries-like lesion: An in situ study. Braz. Oral Res. 2020, 34, e061. [Google Scholar] [CrossRef]
- Imani, M.M.; Safaei, M.; Afnaniesfandabad, A.; Moradpoor, H.; Sadeghi, M.; Golshah, A.; Sharifi, R.; Mozaffari, H.R. Efficacy of CPP-ACP and CPP-ACPF for Prevention and Remineralization of White Spot Lesions in Orthodontic Patients: A Systematic Review of Randomized Controlled Clinical Trials. Acta Inform. Med. 2019, 27, 199–204. [Google Scholar] [CrossRef] [PubMed]
- Somasundaram, P.; Vimala, N.; Mandke, L.G. Protective Potential of Casein Phosphopeptide Amorphous Calcium Phosphate Containing Paste on Enamel Surfaces. J. Conserv. Dent. 2013, 16, 152–156. [Google Scholar] [CrossRef] [PubMed]
- Moharam, L.M.; Sadony, D.M.; Nagi, S.M. Evaluation of diode laser application on chemical analysis and surface microhardness of white spots enamel lesions with two remineralizing agents. J. Clin. Exp. Dent. 2020, 12, e271–e276. [Google Scholar] [CrossRef]
- Chen, L.; Hontsu, S.; Komasa, S.; Yamamoto, E.; Hashimoto, Y.; Matsumoto, N. Hydroxyapatite Film Coating by Er:YAG Pulsed Laser Deposition Method for the Repair of Enamel Defects. Materials 2021, 14, 7475. [Google Scholar] [CrossRef]
- Heravi, F.; Ahrari, F.; Mahdavi, M.; Basafa, S. Comparative evaluation of the effect of Er:YAG laser and low level laser irradiation combined with CPP-ACPF cream on treatment of enamel caries. J. Clin. Exp. Dent. 2014, 6, e121–e126. [Google Scholar] [CrossRef]
- Bahrololoomi, Z.; Lotfian, M. Effect of Diode Laser Irradiation Combined with Topical Fluoride on Enamel Microhardness of Primary Teeth. J. Dent. Tehran Univ. Med. Sci. 2015, 12, 85–89. [Google Scholar]
- El Mansy, M.M.; Gheith, M.; El Yazeed, A.M.; Farag, D.B.E. Influence of Er, Cr: YSGG (2780 nm) and Nanosecond Nd: YAG Laser (1064 nm) Irradiation on Enamel Acid Resistance: Morphological and Elemental Analysis. Open Access Maced. J. Med. Sci. 2019, 7, 1828–1833. [Google Scholar] [CrossRef] [PubMed] [PubMed Central]
- Al-Shaker, S.M.; Nayif, M.M.; Al-Sabawi, N.A. Microhardness of Artificially Demineralized Enamel treated with Different Regimes of ACP-CPP and Fluoride Agents. Int. J. Enhan. Res. Sci. Tech. Eng. 2014, 3, 102–107. [Google Scholar]
- Ana, P.A.; Bachmann, L.; Zezell, D.M. Lasers effects on enamel for caries prevention. Laser Phys. 2006, 16, 865–875. [Google Scholar] [CrossRef]
- Belcheva, A.; El Feghali, R.; Nihtianova, T.; Parker, S. Effect of the carbon dioxide 10,600-nm laser and topical fluoride gel application on enamel microstructure and microhardness after acid challenge: An in vitro study. Lasers Med. Sci. 2018, 33, 1009–1017. [Google Scholar] [CrossRef] [PubMed]
- Scatolin, R.S.; Colucci, V.; Lepri, T.P.; Alexandria, A.K.; Maia, L.C.; Galo, R.; Borsatto, M.C.; Corona, S.A.M. Er:YAG laser irradiation to control the progression of enamel erosion: An in situ study. Lasers Med. Sci. 2015, 30, 1465–1473. [Google Scholar] [CrossRef] [PubMed]
- Jorge, A.C.; Cassoni, A.; de Freitas, P.M.; Reis, A.F.; Brugnera Junior, A.; Rodrigues, J.A. Influence of cavity preparation with Er,Cr:YSGG laser and restorative materials on in situ secondary caries development. Photomed. Laser Surg. 2015, 33, 98–103. [Google Scholar] [CrossRef] [PubMed]
- de Oliveira, R.M.; de Souza, V.M.; Esteves, C.M.; de Oliveira Lima-Arsati, Y.B.; Cassoni, A.; Rodrigues, J.A.; Brugnera Junior, A. Er,Cr:YSGG Laser Energy Delivery: Pulse and Power Effects on Enamel Surface and Erosive Resistance. Photomed. Laser Surg. 2017, 35, 639–646. [Google Scholar] [CrossRef]
- Stangler, L.P.; Romano, F.L.; Shirozaki, M.U.; Galo, R.; Afonso, A.M.C.; Borsatto, M.C.; Matsumoto, M.A.N. Microhardness of enamel adjacent to orthodontic brackets after CO2 laser irradiation and fluoride application. Braz. Dent. J. 2013, 24, 508–512. [Google Scholar] [CrossRef] [PubMed][Green Version]
- Hicks, M.J.; Flaitz, C.M.; Westerman, G.H.; Blankenau, R.J.; Powell, G.L. Root caries in vitro after low fluence argon laser and fluoride treatment. Compend. Contin. Educ. Dent. 1997, 18, 543–554. [Google Scholar]
- Ana, P.A.; Tabchoury, C.P.; Cury, J.A.; Zezell, D.M. Effect of Er, Cr:YSGG laser and professional fluoride application on enamel demineralization and on fluoride retention. Caries Res. 2012, 46, 441–451. [Google Scholar] [CrossRef] [PubMed]
- Vieira, K.A.; Steiner-Oliveira, C.; Soares, L.E.; Rodrigues, L.K.; Nobre-dos-Santos, M. In vitro evaluation of enamel demineralization after several overlapping CO2 laser applications. Lasers Med. Sci. 2015, 30, 901–907. [Google Scholar] [CrossRef] [PubMed]
- Serdar Eymirli, P.; İleri, T.; Ergin, E.; Turgut, M.D. Evaluation of ER.;CR:YSGG Laser and Remineralization Agents on Mineral Density and Ion Levels of Primary and Permanent Enamel. Photobiomodul. Photomed. Laser Surg. 2024, 42, 81–89. [Google Scholar] [CrossRef]
- Ten Cate, J.M.; Duijsters, P.P. Alternating demineralization and remineralization of artificial enamel lesions. Caries Res. 1982, 16, 201–210. [Google Scholar] [CrossRef]
- Soltanimehr, E.; Bahrampour, E.; Yousefvand, Z. Efficacy of diode and CO2 lasers along with calcium and fluoride-containing compounds for the remineralization of primary teeth. BMC Oral Health 2019, 19, 121. [Google Scholar] [CrossRef]
- De Freitas, P.M.; Rapozo-Hilo, M.; Eduardo, C.d.P.; Featherstone, J.D. In vitro evaluation of erbium, chromium:yttrium-scandium-gallium-garnet laser-treated enamel demineralization. Lasers Med. Sci. 2010, 25, 165–170. [Google Scholar] [CrossRef]
- Baecker, D.; Guenther, S. General Applicability of High-Resolution Continuum-Source Graphite Furnace Molecular Absorption Spectrometry to the Quantification of Oligopeptides Using the Example of Glutathione. Analytica 2022, 3, 24–35. [Google Scholar] [CrossRef]
- Featherstone, J.D.B.; Lussi, A. Understanding the chemistry of dental erosion. Monogr. Oral Sci. 2006, 20, 66–76. [Google Scholar] [CrossRef]
- Borzabadi-Farahani, A. The Adjunctive Soft-Tissue Diode Laser in Orthodontics. Compend. Contin. Educ. Dent. 2017, 38, e18–e31. [Google Scholar]
- Moghadam, N.C.Z.; Seraj, B.; Chiniforush, N.; Ghadimi, S. Effects of Laser and Fluoride on the Prevention of Enamel Demineralization: An In Vitro Study. J. Lasers Med. Sci. 2018, 9, 177–182. [Google Scholar] [CrossRef]
- Da Silva Barbosa, P.; da Ana, P.A.; Poiate, I.A.; Zezell, D.M.; de Sant’ Anna, G.R. Dental enamel irradiated with a low-intensity infrared laser and photoabsorbing cream: A study of microhardness, surface, and pulp temperature. Photomed. Laser Surg. 2013, 31, 439–446. [Google Scholar] [CrossRef] [PubMed]
- Rodríguez-Vilchis, L.E.; Contreras-Bulnes, R.; Mejìa, O.F.O.L.; Sánchez-Flores, I.; Centeno-Pedraza, C. Morphological and structural changes on human dental enamel after Er:YAG laser irradiation: AFM, SEM, and EDS evaluation. Photomed. Laser Surg. 2011, 29, 493–500. [Google Scholar] [CrossRef]
- Lara-Carrilloa, E.; Doroteo-Chimalb, C.; Lopez-Gonzaleza, S.; Kubodera-Itoa, T.; Morales-Luckiec, R.A.; Olea-Mejiac, O.F.; Medina-Solisd, C.E. Remineralization effect of low-level laser and amorphous sodium–calcium–phosphosilicate paste in teeth with fixed orthodontic appliances. Tanta Dent. J. 2016, 13, 55. [Google Scholar] [CrossRef]
- Gan, J.; Liu, S.; Zhou, L.; Wang, Y.; Guo, J.; Huang, C. Effect of Nd:YAG Laser Irradiation Pretreatment on the Long-Term Bond Strength of Etch-and-Rinse Adhesive to Dentin. Oper. Dent. 2017, 42, 62–72. [Google Scholar] [CrossRef] [PubMed]
- Neto, W.R.; Lepri, C.P.; Romano, J.J.F.; Fernandes, F.S.; Raucci, L.M.S.D.C.; Bachmann, L.; Dibb, R.G.P. Chemical and Morphological Changes of Primary Teeth Irradiated with Nd:YAG Laser: AnEx VivoLong-Term Analysis. Photomed. Laser Surg. 2015, 33, 266–273. [Google Scholar] [CrossRef]
- Dilber, E.; Malkoc, M.A.; Ozturk, A.N.; Ozturk, F. Effect of various laser irradiations on the mineral content of dentin. Eur. J. Dent. 2013, 7, 74–80. [Google Scholar]
- Paes Leme, A.F.; Tabchoury, C.P.; Zero, D.T.; Cury, J.A. Effect of fluoridated dentifrice and acidulated phosphate fluoride application on early artificial carious lesions. Am. J. Dent. 2003, 16, 91–95. [Google Scholar]
- Featherstone, J.D.B. The science and practice of caries prevention. J. Am. Dent. Assoc. 2000, 131, 887–899. [Google Scholar] [CrossRef]
- Hossain, M.; Kimura, Y.; Nakamura, Y.; Yamada, Y.; Kinoshita, J.I.; Matsumoto, K. A study on acquired acid resistance of enamel and dentin irradiated by Er,Cr:YSGG laser. J. Clin. Laser Med. Surg. 2001, 19, 159–163. [Google Scholar] [CrossRef]
- Kantorowitz, Z.V.I.; Featherstonem, J.D.; Fried, D. Caries prevention by CO2 laser treatment: Dependency of the number of pulses used. J. Am. Dent. Assoc. 1998, 129, 585–591. [Google Scholar] [CrossRef]
- Esteves-Oliveira, M.; Pasaporti, C.; Heussen, N.; Eduardo, C.P.; Lampert, F.; Apel, C. Rehardening of acid-softened enamel and prevention of enamel softening through CO2 laser irradiation. J. Dent. 2011, 39, 414–421. [Google Scholar] [CrossRef]
- Santaella, M.R.; Braun, A.; Matson, E.; Frentzen, M. Effect of diode laser and fluoride varnish on initial surface demineralization of primary dentition enamel: An in vitro study. Int. J. Paediatr. Dent. 2004, 14, 199–203. [Google Scholar] [CrossRef]
- González-Rodríguez, A.; de Dios López-González, J.; del Castillo, J.D.D.L.; Villalba-Moreno, J. Comparison of effects of diode laser and CO2 laser on human teeth and their usefulness in topical fluoridation. Lasers Med. Sci. 2011, 26, 317–324. [Google Scholar] [CrossRef] [PubMed]
- Vitale, M.C.; Zaffe, D.; Botticell, A.R.; Caprioglio, C. Diode laser irradiation and fluoride uptake in human teeth. Eur. Arch. Paediatr. Dent. 2011, 12, 90–92. [Google Scholar] [CrossRef] [PubMed]
- Kato, I.T.; Kohara, E.K.; Sarkis, J.E.; Wetter, N.U. Effects of 960-nm diode laser irradiation on calcium solubility of dental enamel: An in vitro study. Photomed. Laser Surg. 2006, 24, 689–693. [Google Scholar] [CrossRef]
- Apel, C.; Meister, J.; Schmitt, N.; Gräber, H.G.; Gutknecht, N. Calcium solubility of dental enamel following sub-ablative Er:YAG and Er:YSGG laser irradiation in vitro. Lasers Surg. Med. 2002, 30, 337–341. [Google Scholar] [CrossRef]
- Rodrigues, L.K.; Nobre Dos Santos, M.; Featherstone, J.D. In situ mineral loss inhibition by CO2 laser and fluoride. J. Dent. Res. 2006, 85, 617–621. [Google Scholar] [CrossRef]
- Featherstone, J.D.; Barrett-Vespone, N.A.; Fried, D.; Kantorowitz, Z.; Seka, W. CO2 laser inhibitor of artificial caries-like lesion progression in dental enamel. J. Dent. Res. 1998, 77, 1397–1403. [Google Scholar] [CrossRef] [PubMed]
- Mocuta, D.-E.; Grad, O.; Mateas, M.; Luca, R.; Carmen Todea, D. Comparative Evaluation of Influence of Nd:YAG Laser (1064 nm) and 980 nm Diode Laser on Enamel around Orthodontic Brackets: An In Vitro Study. Medicina 2022, 58, 633. [Google Scholar] [CrossRef] [PubMed]
- Hibst, R.; Keller, U. Experimental studies of the application of the Er:YAG laser on dental hard substances: I. Measurement of the ablation rate. Lasers Surg. Med. 1989, 9, 338–344. [Google Scholar] [CrossRef]
- Ana, P.A.; Blay, A.; Miyakawa, W.; Zezell, D.M. Thermal analysis of teeth irradiated with Er,Cr:YSGG at low fluences. Laser Phys. Lett. 2007, 4, 827–834. [Google Scholar] [CrossRef]
- Kwon, Y.H.; Kwon, O.W.; Kim, H.I.; Kim, K.H. Nd:YAG laser ablation and acid resistance of enamel. Dent. Mater. J. 2003, 22, 404–411. [Google Scholar] [CrossRef] [PubMed][Green Version]
- De Menezes Oliveira, M.A.; Torres, C.P.; Gomes-Silva, J.M.; Chinelatti, M.A.; De Menezes, F.C.H.; Palma-Dibb, R.G.; Borsatto, M.C. Microstructure and mineral composition of dental enamel of permanent and deciduous teeth. Microsc. Res. Tech. 2010, 73, 572–577. [Google Scholar] [CrossRef]
- Bossù, M.; Matassa, R.; Relucenti, M.; Iaculli, F.; Salucci, A.; Di Giorgio, G.; Familiari, G.; Polimeni, A.; Di Carlo, S. Morpho-Chemical Observations of Human Deciduous Teeth Enamel in Response to Biomimetic Toothpastes Treatment. Materials 2020, 13, 1803. [Google Scholar] [CrossRef] [PubMed]
- Zamudio-Ortega, C.M.; Contreras-Bulnes, R.; Scougall-Vilchis, R.J.; Morales-Luckie, R.A.; Olea-Mejía, O.F.; Rodríguez-Vilchis, L.E. Morphological, chemical and structural characterisation of deciduous enamel: SEM, EDS, XRD, FTIR and XPS analysis. Eur. J. Paediatr. Dent. 2014, 15, 275–280. [Google Scholar] [PubMed]
- Wang, Z.; Jiang, T.; Sauro, S.; Pashley, D.H.; Toledano, M.; Osorio, R.; Liang, S.; Xing, W.; Sa, Y.; Wang, Y. The dentine remineralization activity of a desensitizing bioactive glass-containing toothpaste: An in vitro study. Aust. Dent. J. 2011, 56, 372–381. [Google Scholar] [CrossRef]
- Kumari, P.D.; Khijmatgar, S.; Chowdhury, A.; Lynch, E.; Chowdhury, C.R. Factors influencing fluoride release in atraumatic restorative treatment (art) materials: A review. J. Oral Biol. Craniofac. Res. 2019, 9, 315–320. [Google Scholar] [CrossRef]
- Umana, M.; Heysselaer, D.; Tielemans, M.; Compere, P.; Zeinoun, T.; Nammour, S. Dentinal Tubules Sealing by Means of Diode Lasers (810 and 980 nm): A Preliminary In Vitro Study. Photomed. Laser Surg. 2013, 31, 307–314. [Google Scholar] [CrossRef]
- Nandkumar, A.; Iyer, V.H. In vitro analysis comparing efficacy of lasers and desensitizing agents on dentin tubule occlusion: A scanning electron microscope study. Int. J. Laser Dent. 2014, 4, 1–7. [Google Scholar]
- Zhang, X.; Li, Z.; Song, Q.; Wu, Y. Influence of Nd:YAG laser irradiation on enamel permeability and Ca/P ratio. Photomed. Laser Surg. 2020, 38, 482–487. [Google Scholar]
- Jang, Y.; Park, M.; Ahn, H. The effect of different wavelengths of light on dental enamel using laser-induced breakdown spectroscopy. J. Korean Phys. Soc. 2018, 72, 1394–1398. [Google Scholar]
- Pereira, D.L.; Freitas, A.Z.; Bachmann, L.; Benetti, C.; Zezell, D.M.; Ana, P.A. Variation on Molecular Structure, Crystallinity, and Optical Properties of Dentin Due to Nd:YAG Laser and Fluoride Aimed at Tooth Erosion Prevention. Int. J. Mol. Sci. 2018, 19, 433. [Google Scholar] [CrossRef] [PubMed]








| Group (G) | 1 | 2 | 3 | 4 | 5 | 6 | 7 | 8 |
|---|---|---|---|---|---|---|---|---|
| FV-Varnish | - | X | - | - | - | - | - | - |
| L 980 nm | - | - | X | - | - | X | - | - |
| L 808 nm | - | - | - | X | - | - | X | - |
| L 450 nm | - | - | - | - | X | - | - | X |
| FV-After Laser | - | - | - | - | - | X | X | X |
| Group | Pre-TX Mean | Day 7 Remin Mean | Mean Difference | t-Test p-Value |
|---|---|---|---|---|
| Control | 2.83 | 4.75 | 1.92 | <0.001 *** |
| Varnish | 3.67 | 4.08 | 0.42 | 0.053 |
| 980 nm | 3.33 | 2.83 | −0.50 | 0.052 |
| 808 nm | 3.33 | 2.83 | −0.50 | 0.026 * |
| 450 nm | 3.00 | 2.50 | −0.50 | 0.026 * |
| 980 nm + Varnish | 5.08 | 3.25 | −1.83 | <0.001 *** |
| 808 nm + Varnish | 3.92 | 3.00 | −0.92 | 0.019 * |
| 450 nm + Varnish | 5.08 | 3.42 | −1.67 | <0.001 *** |
| Comparison | Mean Difference | Adjusted p-Value | Significance |
|---|---|---|---|
| 450 nm vs. 450 nm + varnish | −1.1667 | 0.018 | * |
| 450 nm vs. control | 2.4167 | <0.001 | ** |
| 450 nm + varnish vs. control | 3.5833 | <0.001 | ** |
| 450 nm + varnish vs. varnish | 2.0833 | <0.001 | ** |
| 808 nm vs. 808 nm + varnish | −0.4167 | 0.919 | - |
| 808 nm vs. control | 2.4167 | <0.001 | ** |
| 808 nm + varnish vs. control | 2.8333 | <0.001 | ** |
| 808 nm + varnish vs. varnish | 1.3333 | 0.003 | ** |
| 980 nm vs. 980 nm + varnish | −1.3333 | 0.003 | ** |
| 980 nm vs. control | 2.4167 | <0.001 | ** |
| 980 nm + varnish vs. control | 3.75 | <0.001 | ** |
| 980 nm + varnish vs. varnish | 2.25 | <0.001 | ** |
| control vs. varnish | −1.5 | <0.001 | ** |
| Element | Control Group | Varnish Group | 980 nm | 808 nm | 450 nm | 980 nm + Varnish | 808 nm + Varnish | 450 nm + Varnish | ||||||||
|---|---|---|---|---|---|---|---|---|---|---|---|---|---|---|---|---|
| Wt% TX | Wt% PH | Wt% TX | Wt% PH | Wt% TX | Wt% PH | Wt% TX | Wt% PH | Wt% TX | Wt% PH | Wt% TX | Wt% PH | Wt% TX | Wt% PH | Wt% TX | Wt% PH | |
| Mean ± SD | ||||||||||||||||
| Ca | 8.48 ± 1.16 | 9.65 ± 1.32 | 10.65 ± 1.76 | 8.13 ± 1.35 | 10.74 ± 1.58 | 10.08 ± 1.49 | 5.18 ± 0.74 | 8.86 ± 1.26 | 13.20 ± 1.91 | 7.27 ± 1.05 | 9.36 ± 1.68 | 12.21 ± 2.19 | 8.27 ± 1.42 | 6.84 ± 1.18 | 8.67 ± 1.52 | 6.38 ± 1.12 |
| P | 11.43 ± 1.76 | 14.12 ± 2.17 | 14.20 ± 2.65 | 12.68 ± 2.37 | 10.76 ± 1.79 | 12.96 ± 2.15 | 6.78 ± 1.09 | 10.5 ± 1.69 | 13.44 ± 2.19 | 14.39 ± 2.35 | 9.85 ± 1.99 | 15.29 ± 3.08 | 9.86 ± 1.91 | 11.26 ± 2.18 | 9.26 ± 1.83 | 13.46 ± 2.66 |
| C | 22.1 ± 2.93 | 13.27 ± 1.76 | 16.85 ± 2.71 | 15.98 ± 2.57 | 23.72 ± 3.4 | 13.08 ± 1.87 | 24.7 ± 3.42 | 12.07 ± 1.67 | 13.88 ± 1.95 | 15.54 ± 2.19 | 23.04 ± 4.00 | 14.96 ± 2.6 | 26.17 ± 4.37 | 13.57 ± 2.27 | 27.22 ± 4.63 | 15.59 ± 2.65 |
| O | 54.27 ± 6.15 | 60.69 ± 6.88 | 54.51 ± 7.49 | 60.91 ± 8.37 | 49.29 ± 6.03 | 61.08 ± 7.48 | 59.17 ± 7.00 | 66.29 ± 7.84 | 56.79 ± 6.83 | 59.89 ± 7.20 | 54.83 ± 8.14 | 54.7 ± 8.12 | 52.22 ± 7.46 | 65.5 ± 9.36 | 52.51 ± 7.64 | 59.91 ± 8.71 |
| Na | 1.65 ± 0.12 | 1.46 ± 0.10 | 1.97 ± 0.17 | 1.14 ± 0.10 | 0.83 ± 0.06 | 1.52 ± 0.12 | 1.26 ± 0.09 | 1.27 ± 0.10 | 1.29 ± 0.10 | 1.47 ± 0.11 | 1.29 ± 0.12 | 1.15 ± 0.11 | 1.49 ± 0.13 | 1.46 ± 0.13 | 1.00 ± 0.09 | 2.01 ± 0.19 |
| Mg | 0.35 ± 0.03 | 0.42 ± 0.03 | 0.62 ± 0.06 | 0.32 ± 0.03 | 0.16 ± 0.01 | 0.29 ± 0.03 | 0.32 ± 0.03 | 0.41 ± 0.04 | 0.49 ± 0.04 | 0.56 ± 0.05 | 0.16 ± 0.02 | 0.29 ± 0.03 | 0.34 ± 0.04 | 0.39 ± 0.04 | 0.30 ± 0.03 | 0.87 ± 0.09 |
| Al | 0.56 ± 0.05 | 0.12 ± 0.01 | 0.56 ± 0.06 | 0.34 ± 0.04 | 0.85 ± 0.08 | 0.40 ± 0.04 | 0.38 ± 0.04 | 0.18 ± 0.02 | 0.28 ± 0.03 | 0.27 ± 0.03 | 0.38 ± 0.05 | 0.58 ± 0.07 | 0.17 ± 0.02 | 0.24 ± 0.03 | 0.15 ± 0.02 | 0.66 ± 0.08 |
| Si | 0.79 ± 0.04 | 0.09 ± 0.00 | 0.25 ± 0.02 | 0.13 ± 0.01 | 2.76 ± 0.16 | 0.14 ± 0.01 | 0.63 ± 0.04 | 0.17 ± 0.01 | 0.07 ± 0.00 | 0.23 ± 0.01 | 0.15 ± 0.01 | 0.21 ± 0.01 | 0.25 ± 0.02 | 0.29 ± 0.02 | 0.20 ± 0.01 | 0.46 ± 0.03 |
| Cl | 0.38 ± 0.02 | 0.16 ± 0.01 | 0.39 ± 0.02 | 0.37 ± 0.02 | 0.28 ± 0.01 | 0.45 ± 0.02 | 0.18 ± 0.01 | 0.26 ± 0.01 | 0.29 ± 0.01 | 0.38 ± 0.02 | 0.38 ± 0.02 | 0.61 ± 0.03 | 0.39 ± 0.02 | 0.45 ± 0.02 | 0.35 ± 0.02 | 0.65 ± 0.03 |
| Comparison | Mean Difference | Adjusted p-Value | Significance |
|---|---|---|---|
| Ca/P Ratio TX | |||
| 450 nm vs. 808 nm | −0.4295 | 0.0127 | * |
| Ca/P Ratio pH | |||
| 450 nm vs. 808 nm | 0.3333 | 0.0055 | ** |
| 450 nm vs. 980 nm | 0.2857 | 0.0265 | * |
| 450 nm vs. 980 nm + varnish | 0.3160 | 0.0099 | ** |
| 450 nm + varnish vs. 808 nm | 0.3610 | 0.0021 | ** |
| 450 nm + varnish vs. 980 nm | 0.3134 | 0.0108 | ** |
| 450 nm + varnish vs. 980 nm + varnish | 0.3437 | 0.0038 | ** |
Disclaimer/Publisher’s Note: The statements, opinions and data contained in all publications are solely those of the individual author(s) and contributor(s) and not of MDPI and/or the editor(s). MDPI and/or the editor(s) disclaim responsibility for any injury to people or property resulting from any ideas, methods, instructions or products referred to in the content. |
© 2024 by the authors. Licensee MDPI, Basel, Switzerland. This article is an open access article distributed under the terms and conditions of the Creative Commons Attribution (CC BY) license (https://creativecommons.org/licenses/by/4.0/).
Share and Cite
Cîrdei, M.-V.; Margan, M.-M.; Margan, R.; Ban-Cucerzan, A.; Petre, I.; Hulka, I.; Horhat, R.M.; Todea, D.C. Surface and Mineral Changes of Primary Enamel after Laser Diode Irradiation and Application of Remineralization Agents: A Comparative In Vitro Study. Children 2024, 11, 1069. https://doi.org/10.3390/children11091069
Cîrdei M-V, Margan M-M, Margan R, Ban-Cucerzan A, Petre I, Hulka I, Horhat RM, Todea DC. Surface and Mineral Changes of Primary Enamel after Laser Diode Irradiation and Application of Remineralization Agents: A Comparative In Vitro Study. Children. 2024; 11(9):1069. https://doi.org/10.3390/children11091069
Chicago/Turabian StyleCîrdei, Mihaela-Valentina, Mădălin-Marius Margan, Roxana Margan, Alexandra Ban-Cucerzan, Ion Petre, Iosif Hulka, Razvan Mihai Horhat, and Darinca Carmen Todea. 2024. "Surface and Mineral Changes of Primary Enamel after Laser Diode Irradiation and Application of Remineralization Agents: A Comparative In Vitro Study" Children 11, no. 9: 1069. https://doi.org/10.3390/children11091069
APA StyleCîrdei, M.-V., Margan, M.-M., Margan, R., Ban-Cucerzan, A., Petre, I., Hulka, I., Horhat, R. M., & Todea, D. C. (2024). Surface and Mineral Changes of Primary Enamel after Laser Diode Irradiation and Application of Remineralization Agents: A Comparative In Vitro Study. Children, 11(9), 1069. https://doi.org/10.3390/children11091069

