Are Adolescent Athletes Sleeping Enough? An Observational Study of Sleep Parameters during Schooldays and Holidays
Abstract
1. Introduction
2. Materials and Methods
2.1. Participants
2.2. Procedure
2.3. Statistical Analysis
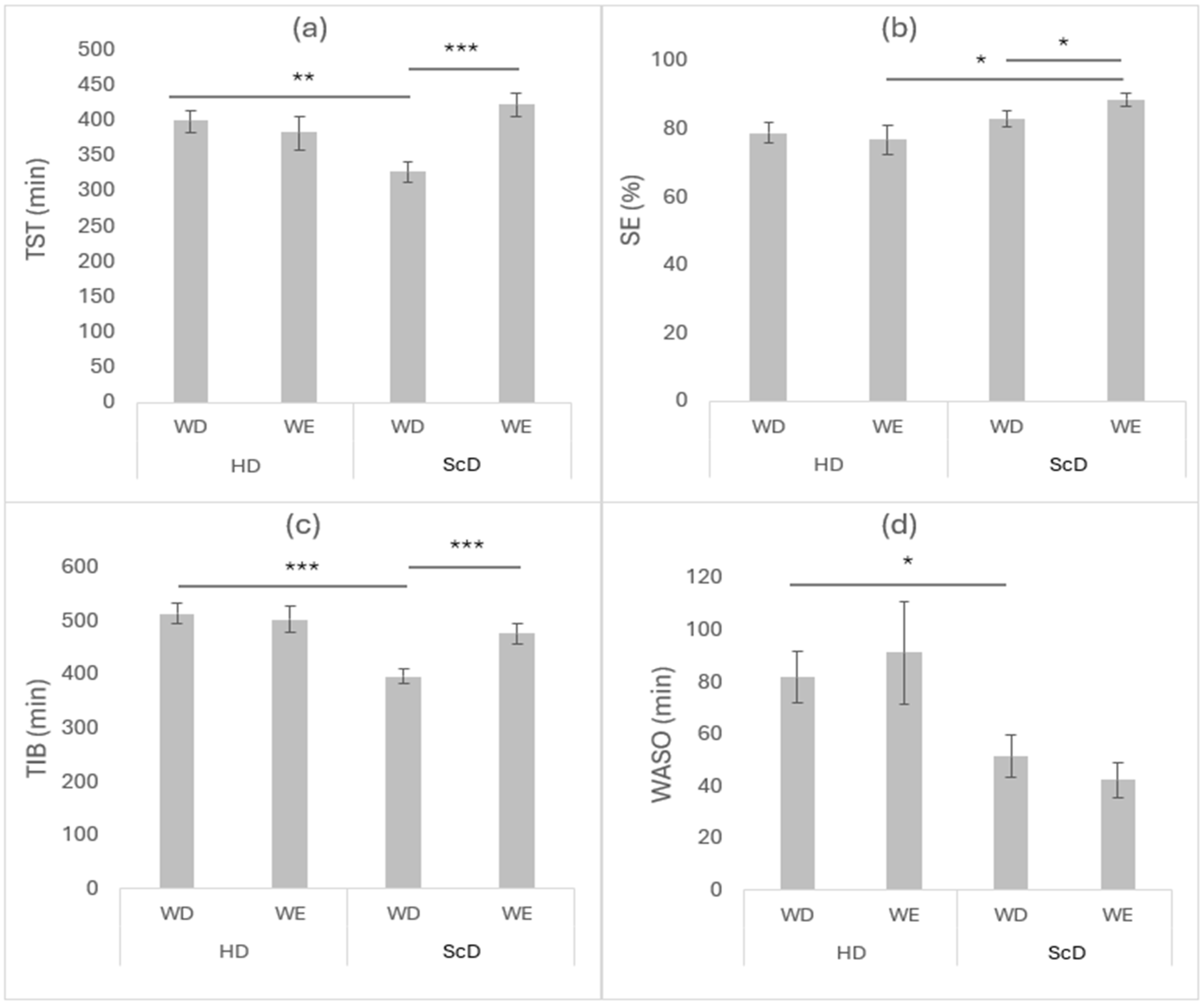
3. Results
3.1. Subjective Sleep Quality and Chronotype
3.2. Sleep Parameters on Holidays vs. Schooldays
3.3. Sleep Parameters on Weekdays vs. Weekends
3.4. Mid-Point of Sleep and Social Jetlag
4. Discussion
5. Practical Applications
6. Limitations
7. Conclusions
Author Contributions
Funding
Institutional Review Board Statement
Informed Consent Statement
Data Availability Statement
Conflicts of Interest
References
- Crowley, S.J.; Acebo, C.; Carskadon, M.A. Sleep, Circadian Rhythms, and Delayed Phase in Adolescence. Sleep Med. 2007, 8, 602–612. [Google Scholar] [CrossRef] [PubMed]
- Matricciani, L.; Paquet, C.; Galland, B.; Short, M.; Olds, T. Children’s Sleep and Health: A Meta-Review. Sleep Med. Rev. 2019, 46, 136–150. [Google Scholar] [CrossRef] [PubMed]
- Wolfson, A.R.; Carskadon, M.A. Sleep Schedules and Daytime Functioning in Adolescents. Child Dev. 1998, 69, 875–887. [Google Scholar] [CrossRef]
- Curcio, G.; Ferrara, M.; De Gennaro, L. Sleep Loss, Learning Capacity and Academic Performance. Sleep Med. Rev. 2006, 10, 323–337. [Google Scholar] [CrossRef] [PubMed]
- Leal, T.R.; de Lima, L.C.M.; Perazzo, M.F.; Neves, É.T.B.; Paiva, S.M.; Serra-Negra, J.M.C.; Ferreira, F.M.; Granville-Garcia, A.F. Influence of the Practice of Sports, Sleep Disorders, and Habits on Probable Sleep Bruxism in Children with Mixed Dentition. Oral Dis. 2023, 29, 211–219. [Google Scholar] [CrossRef] [PubMed]
- Kim, Y.; Umeda, M.; Lochbaum, M.; Sloan, R.A. Examining the Day-to-Day Bidirectional Associations between Physical Activity, Sedentary Behavior, Screen Time, and Sleep Health during School Days in Adolescents. PLoS ONE 2020, 15, e0238721. [Google Scholar] [CrossRef]
- Zieliński, G.; Pająk, A.; Wójcicki, M. Global Prevalence of Sleep Bruxism and Awake Bruxism in Pediatric and Adult Populations: A Systematic Review and Meta-Analysis. J. Clin. Med. 2024, 13, 4259. [Google Scholar] [CrossRef]
- Walsh, N.P.; Halson, S.L.; Sargent, C.; Roach, G.D.; Nédélec, M.; Gupta, L.; Leeder, J.; Fullagar, H.H.; Coutts, A.J.; Edwards, B.J.; et al. Sleep and the Athlete: Narrative Review and 2021 Expert Consensus Recommendations. Br. J. Sports Med. 2021, 55, 356–368. [Google Scholar] [CrossRef]
- Souabni, M.; Hammouda, O.; Souabni, M.J.; Romdhani, M.; Driss, T. 40-Min Nap Opportunity Attenuates Heart Rate and Perceived Exertion and Improves Physical Specific Abilities in Elite Basketball Players. Res. Sports Med. 2023, 31, 859–872. [Google Scholar] [CrossRef]
- Souabni, M.; Hammouda, O.; Romdhani, M.; Trabelsi, K.; Ammar, A.; Driss, T. Beneits of Daytime Napping Opportunity on Physical and Cognitive Performances in Physically Active Participants: A Systematic Review. Sports Med. 2021, 51, 2115–2146. [Google Scholar] [CrossRef]
- Souabni, M.; Hammouda, O.; Souabni, M.; Romdhani, M.; Souissi, W.; Ammar, A.; Driss, T. Nap Improved Game-Related Technical Performance and Physiological Response during Small-Sided Basketball Game in Professional Players. Biol. Sport 2023, 40, 389–397. [Google Scholar] [CrossRef] [PubMed]
- Coel, R.A.; Pujalte, G.G.A.; Applewhite, A.I.; Zaslow, T.; Cooper, G.; Ton, A.N.; Benjamin, H.J. Sleep and the Young Athlete. Sports Health 2023, 15, 537–546. [Google Scholar] [CrossRef] [PubMed]
- Hirshkowitz, M.; Whiton, K.; Albert, S.M.; Alessi, C.; Bruni, O.; DonCarlos, L.; Hazen, N.; Herman, J.; Katz, E.S.; Kheirandish-Gozal, L.; et al. National Sleep Foundation’s Sleep Time Duration Recommendations: Methodology and Results Summary. Sleep Health 2015, 1, 40–43. [Google Scholar] [CrossRef]
- Kansagra, S. Sleep Disorders in Adolescents. Pediatrics 2020, 145, S204–S209. [Google Scholar] [CrossRef] [PubMed]
- Blakemore, S.J. The Social Brain in Adolescence. Nat. Rev. Neurosci. 2008, 9, 267–277. [Google Scholar] [CrossRef]
- Roberts, R.E.; Roberts, C.R.; Duong, H.T. Sleepless in Adolescence: Prospective Data on Sleep Deprivation, Health and Functioning. J. Adolesc. 2009, 32, 1045–1057. [Google Scholar] [CrossRef]
- Short, M.A.; Weber, N.; Reynolds, C.; Coussens, S.; Carskadon, M.A. Estimating Adolescent Sleep Need Using Dose-Response Modeling. Sleep 2018, 41, zsy011. [Google Scholar] [CrossRef]
- Schmidt, R.E.; Van Der Linden, M. The Relations between Sleep, Personality, Behavioral Problems, and School Performance in Adolescents. Sleep Med. Clin. 2015, 10, 117–123. [Google Scholar] [CrossRef]
- Paiva, T.; Gaspar, T.; Matos, M.G. Sleep Deprivation in Adolescents: Correlations with Health Complaints and Health-Related Quality of Life. Sleep Med. 2015, 16, 521–527. [Google Scholar] [CrossRef]
- Gradisar, M.; Gardner, G.; Dohnt, H. Recent Worldwide Sleep Patterns and Problems during Adolescence: A Review and Meta-Analysis of Age, Region, and Sleep. Sleep Med. 2011, 12, 110–118. [Google Scholar] [CrossRef]
- Shochat, T.; Cohen-Zion, M.; Tzischinsky, O. Functional Consequences of Inadequate Sleep in Adolescents: Asystematic Review. Sleep Med. Rev. 2014, 18, 75–87. [Google Scholar] [CrossRef]
- Beebe, D.W. Cognitive, Behavioral, and Functional Consequences of Inadequate Sleep in Children and Adolescents. Pediatr. Clin. N. Am. 2011, 58, 649–665. [Google Scholar] [CrossRef] [PubMed]
- Beebe, D.W.; Field, J.; Milller, M.M.; Miller, L.E.; LeBlond, E. Impact of Multi-Night Experimentally Induced Short Sleep on Adolescent Performance in a Simulated Classroom. Sleep 2017, 40, zsw035. [Google Scholar] [CrossRef]
- Narang, I.; Manlhiot, C.; Davies-Shaw, J.; Gibson, D.; Chahal, N.; Stearne, K.; Fisher, A.; Dobbin, S.; McCrindle, B.W. Sleep Disturbance and Cardiovascular Risk in Adolescents. Can. Med. Assoc. J. 2012, 184, 913–920. [Google Scholar] [CrossRef] [PubMed]
- Countryman, A.J.; Saab, P.G.; Llabre, M.M.; Penedo, F.J.; McCalla, J.R.; Schneiderman, N. Cardiometabolic Risk in Adolescents: Associations with Physical Activity, Fitness, and Sleep. Ann. Behav. Med. 2013, 45, 121–131. [Google Scholar] [CrossRef] [PubMed]
- Simon, S.L.; Behn, C.D.; Cree-Green, M.; Kaar, J.L.; Pyle, L.; Hawkins, S.M.M.; Rahat, H.; Garcia-Reyes, Y.; Wright, K.P.; Nadeau, K.J. Too Late and Not Enough: School Year Sleep Duration, Timing, and Circadian Misalignment Are Associated with Reduced Insulin Sensitivity in Adolescents with Overweight/Obesity. J. Pediatr. 2019, 205, 257–264. [Google Scholar] [CrossRef]
- Park, S. Association between Short Sleep Duration and Obesity among South Korean Adolescents. West. J. Nurs. Res. 2011, 33, 207–223. [Google Scholar] [CrossRef]
- Al Dweik, R.; Sheble, Y.; Ramadan, H.; Issa, H.; Sheble, A. The Association between Sleeping Behavior, Obesity, Psychological Depression, and Eating Habits among Adolescents in the Emirate of Abu Dhabi-United Arab Emirates. PLoS ONE 2022, 17, e0269837. [Google Scholar] [CrossRef]
- Leeder, J.; Glaister, M.; Pizzoferro, K.; Dawson, J.; Pedlar, C. Sleep Duration and Quality in Elite Athletes Measured Using Wristwatch Actigraphy. J. Sports Sci. 2012, 30, 541–545. [Google Scholar] [CrossRef]
- Suppiah, H.T.; Swinbourne, R.; Wee, J.; Tay, V.; Gastin, P. Sleep Characteristics of Elite Youth Athletes: A Clustering Approach to Optimize Sleep Support Strategies. Int. J. Sports Physiol. Perform. 2021, 16, 1225–1233. [Google Scholar] [CrossRef]
- Suppiah, H.T.; Low, C.Y.; Choong, G.C.W.; Chia, M. Restricted and Unrestricted Sleep Schedules of Asian Adolescent, High-Level Student Athletes: Effects on Sleep Durations, Marksmanship and Cognitive Performance. Biol. Rhythm Res. 2016, 47, 505–518. [Google Scholar] [CrossRef]
- Saidi, O.; Doré, E.; Maso, F.; Mack-Inocentio, D.; Walrand, S.; Pereira, B.; Duché, P. Acute Effect of an Intensified Exercise Program on Subsequent Sleep, Dietary Intake, and Performance in Junior Rugby Players. Eur. J. Appl. Physiol. 2019, 119, 2075–2082. [Google Scholar] [CrossRef]
- Fowler, P.M.; Knez, W.; Crowcroft, S.; Mendham, A.E.; Miller, J.; Sargent, C.; Halson, S.; Duffield, R. Greater Effect of East versus West Travel on Jet Lag, Sleep, and Team Sport Performance. Med. Sci. Sports Exerc. 2017, 49, 2548–2561. [Google Scholar] [CrossRef] [PubMed]
- Gupta, L.; Morgan, K.; Gilchrist, S. Does Elite Sport Degrade Sleep Quality? A Systematic Review. Sports Med. 2017, 47, 1317–1333. [Google Scholar] [CrossRef] [PubMed]
- Roberts, S.S.H.; Teo, W.P.; Warmington, S.A. Effects of Training and Competition on the Sleep of Elite Athletes: A Systematic Review and Meta-Analysis. Br. J. Sports Med. 2019, 53, 513–522. [Google Scholar] [CrossRef] [PubMed]
- Saidi, O.; Souabni, M.; Del Sordo, G.C.; Maviel, C.; Peyrel, P.; Maso, F.; Vercruyssen, F.; Duché, P. Association between Low Energy Availability (LEA) and Impaired Sleep Quality in Young Rugby Players. Nutrients 2024, 16, 609. [Google Scholar] [CrossRef]
- Mason, L.; Connolly, J.; Devenney, L.E.; Lacey, K.; O’Donovan, J.; Doherty, R. Sleep, Nutrition, and Injury Risk in Adolescent Athletes: A Narrative Review. Nutrients 2023, 15, 5101. [Google Scholar] [CrossRef]
- Chase, J.D.; Roberson, P.A.; Saunders, M.J.; Hargens, T.A.; Womack, C.J.; Luden, N.D. One Night of Sleep Restriction Following Heavy Exercise Impairs 3-Km Cycling Time Trial Performance in the Morning. Appl. Physiol. Nutr. Metab. 2017, 42, 909–915. [Google Scholar] [CrossRef]
- Fox, J.L.; Scanlan, A.T.; Stanton, R.; Sargent, C. Insufficient Sleep in Young Athletes? Causes, Consequences, and Potential Treatments. Sports Med. 2020, 50, 461–470. [Google Scholar] [CrossRef]
- von Rosen, P.; Frohm, A.; Kottorp, A.; Fridén, C.; Heijne, A. Too Little Sleep and an Unhealthy Diet Could Increase the Risk of Sustaining a New Injury in Adolescent Elite Athletes. Scand. J. Med. Sci. Sports 2017, 27, 1364–1371. [Google Scholar] [CrossRef]
- Milewski, M.D.; Skaggs, D.L.; Bishop, G.A.; Pace, J.L.; Ibrahim, D.A.; Wren, T.A.L.; Barzdukas, A. Chronic Lack of Sleep Is Associated with Increased Sports Injuries in Adolescent Athletes. J. Pediatr. Orthop. 2014, 34, 129–133. [Google Scholar] [CrossRef] [PubMed]
- Wheaton, A.G.; Jones, S.E.; Cooper, A.C.; Croft, J.B. Short Sleep Duration Among Middle School and High School Students—United States, 2015. MMWR. Morb. Mortal. Wkly. Rep. 2018, 67, 85–90. [Google Scholar] [CrossRef] [PubMed]
- Shen, L.; Wiley, J.F.; Bei, B. Perceived Daily Sleep Need and Sleep Debt in Adolescents: Associations with Daily Affect over School and Vacation Periods. Sleep 2021, 44, zsab190. [Google Scholar] [CrossRef] [PubMed]
- Kim, S.J.; Lee, Y.J.; Cho, S.J.; Cho, I.H.; Lim, W.; Lim, W. Relationship between Weekend Catch-up Sleep and Poor Performance on Attention Tasks in Korean Adolescents. Arch. Pediatr. Adolesc. Med. 2011, 165, 806–812. [Google Scholar] [CrossRef] [PubMed]
- Wittmann, M.; Dinich, J.; Merrow, M.; Roenneberg, T. Social Jetlag: Misalignment of Biological and Social Time. Chronobiol. Int. 2006, 23, 497–509. [Google Scholar] [CrossRef]
- Sun, W.; Ling, J.; Zhu, X.; Lee, T.M.C.; Li, S.X. Associations of Weekday-to-Weekend Sleep Differences with Academic Performance and Health-Related Outcomes in School-Age Children and Youths. Sleep Med. Rev. 2019, 46, 27–53. [Google Scholar] [CrossRef]
- Carskadon, M.A.; Wolfson, A.R.; Acebo, C.; Tzischinsky, O.; Seifer, R. Adolescent Sleep Patterns, Circadian Timing, and Sleepiness at a Transition to Early School Days. Sleep 1998, 21, 871–881. [Google Scholar] [CrossRef] [PubMed]
- Faul, F.; Erdfelder, E.; Lang, A.G.; Buchner, A. G*Power 3: A Flexible Statistical Power Analysis Program for the Social, Behavioral, and Biomedical Sciences. Behav. Res. Methods 2007, 39, 175–191. [Google Scholar] [CrossRef]
- Beck, T.W. The Importance of A Priori Sample Size Estimation in Strength and Conditioning Research. J. Strength Cond. Res. 2013, 27, 2323–2337. [Google Scholar] [CrossRef]
- Buysse, D.J.; Reynolds, C.F.; Monk, T.H.; Berman, S.R.; Kupfer, D.J. The Pittsburgh Sleep Quality Index: A New Instrument for Psychiatric Practice and Research. Psychiatry Res. 1989, 28, 193–213. [Google Scholar] [CrossRef]
- Backhaus, J.; Junghanns, K.; Broocks, A.; Riemann, D.; Hohagen, F. Test-Retest Reliability and Validity of the Pittsburgh Sleep Quality Index in Primary Insomnia. J. Psychosom. Res. 2002, 53, 737–740. [Google Scholar] [CrossRef] [PubMed]
- Carpenter, J.S.; Andrykowski, M.A. Psychometric Evaluation of the Pittsburgh Sleep Quality Index. J. Psychosom. Res. 1998, 45, 5–13. [Google Scholar] [CrossRef] [PubMed]
- Scialpi, A.; Mignolli, E.; De Vito, C.; Berardi, A.; Tofani, M.; Valente, D.; Galeoto, G. Italian Validation of the Pittsburgh Sleep Quality Index (PSQI) in a Population of Healthy Children: A Cross Sectional Study. Int. J. Environ. Res. Public Health 2022, 19, 9132. [Google Scholar] [CrossRef] [PubMed]
- Horne, J.A.; Ostberg, O. A Self-Assessment Questionnaire to Determine Morningness-Eveningness in Human Circadian Rhythms. Int. J. Chronobiol. 1976, 4, 97–110. [Google Scholar] [PubMed]
- Giannotti, F.; Cortesi, F.; Sebastiani, T.; Ottaviano, S. Circadian Preference, Sleep and Daytime Behaviour in Adolescence. J. Sleep Res. 2002, 11, 191–199. [Google Scholar] [CrossRef]
- Smith, M.T.; McCrae, C.S.; Cheung, J.; Martin, J.L.; Harrod, C.G.; Heald, J.L.; Carden, K.A. Use of Actigraphy for the Evaluation of Sleep Disorders and Circadian Rhythm Sleep-Wake Disorders: An American Academy of Sleep Medicine Systematic Review, Meta-Analysis, and GRADE Assessment. J. Clin. Sleep Med. 2019, 14, 1209–1230. [Google Scholar] [CrossRef]
- Natale, V.; Plazzi, G.; Martoni, M. Actigraphy in the Assessment of Insomnia: A Quantitative Approach. Sleep 2009, 32, 767–771. [Google Scholar] [CrossRef]
- Cellini, N.; Buman, M.P.; McDevitt, E.A.; Ricker, A.A.; Mednick, S.C. Direct Comparison of Two Actigraphy Devices with Polysomnographically Recorded Naps in Healthy Young Adults. Chronobiol. Int. 2013, 30, 691–698. [Google Scholar] [CrossRef]
- Sadeh, A. The Role and Validity of Actigraphy in Sleep Medicine: An Update. Sleep Med. Rev. 2011, 15, 259–267. [Google Scholar] [CrossRef]
- Acebo, C.; Sadeh, A.; Seifer, R.; Tzischinsky, O.; Wolfson, A.R.; Hafer, A.; Carskadon, M.A. Estimating Sleep Patterns with Activity Monitoring in Children and Adolescents: How Many Nights Are Necessary for Reliable Measures? Sleep 1999, 22, 95–103. [Google Scholar] [CrossRef]
- Meltzer, L.J.; Montgomery-Downs, H.E.; Insana, S.P.; Walsh, C.M. Use of Actigraphy for Assessment in Pediatric Sleep Research. Sleep Med. Rev. 2012, 16, 463–475. [Google Scholar] [CrossRef]
- Oakley, N. Validation with Polysomnography of the Sleepwatch Sleep/Wake Scoring Algorithm Used by the Actiwatch Activity Monitoring System; Technical Report; Mini-Mitter Co. Inc.: Bend, OR, USA, 1997. [Google Scholar]
- Ohayon, M.; Wickwire, E.M.; Hirshkowitz, M.; Albert, S.M.; Avidan, A.; Daly, F.J.; Dauvilliers, Y.; Ferri, R.; Fung, C.; Gozal, D.; et al. National Sleep Foundation’s Sleep Quality Recommendations: First Report. Sleep Health 2017, 3, 6–19. [Google Scholar] [CrossRef] [PubMed]
- Roenneberg, T.; Wirz-Justice, A.; Merrow, M. Life between Clocks: Daily Temporal Patterns of Human Chronotypes. J. Biol. Rhythm. 2003, 18, 80–90. [Google Scholar] [CrossRef] [PubMed]
- Cohen, J. The Statistical Power of Abnormal-Social Psychological Research: A Review. J. Abnorm. Soc. Psychol. 1962, 65, 145–153. [Google Scholar] [CrossRef]
- Cohen, J. Statistical Power Analysis for the Behavioural Sciences; Lawrence Earlbaum Assoc.: Hillside, NJ, USA, 1988. [Google Scholar]
- Paruthi, S.; Brooks, L.J.; D’Ambrosio, C.; Hall, W.A.; Kotagal, S.; Lloyd, R.M.; Malow, B.A.; Maski, K.; Nichols, C.; Quan, S.F.; et al. Recommended Amount of Sleep for Pediatric Populations: A Consensus Statement of the American Academy of Sleep Medicine. J. Clin. Sleep Med. 2016, 12, 785–786. [Google Scholar] [CrossRef]
- Sawczuk, T.; Jones, B.; Scantlebury, S.; Till, K. The Influence of Training Load, Exposure to Match Play and Sleep Duration on Daily Wellbeing Measures in Youth Athletes. J. Sports Sci. 2018, 36, 2431–2437. [Google Scholar] [CrossRef]
- Brand, S.; Beck, J.; Gerber, M.; Hatzinger, M.; Holsboer-Trachsler, E. Evidence of Favorable Sleep-EEG Patterns in Adolescent Male Vigorous Football Players Compared to Controls. World J. Biol. Psychiatry 2010, 11, 465–475. [Google Scholar] [CrossRef] [PubMed]
- Suppiah, H.T.; Low, C.Y.; Chia, M. Effects of Sport-Specific Training Intensity on Sleep Patterns and Psychomotor Performance in Adolescent Athletes. Pediatr. Exerc. Sci. 2016, 28, 588–595. [Google Scholar] [CrossRef]
- Anderson, M.L.; Reale, R.J. Discrepancies between Self-Reported Current and Ideal Sleep Behaviors of Adolescent Athletes. Sleep Sci. 2020, 13, 18–24. [Google Scholar] [CrossRef]
- Viegas, F.; Ocarino, J.M.; de Sousa Freitas, L.; Pinto, M.C.; Facundo, L.A.; Amaral, A.S.; Silva, S.; de Mello, M.T.; Silva, A. The Sleep as a Predictor of Musculoskeletal Injuries in Adolescent Athletes. Sleep Sci. 2022, 15, 305–311. [Google Scholar] [CrossRef]
- DeJong Lempke, A.F.; Whitney, K.E.; Collins, S.E.; dHemecourt, P.A.; Meehan, W.P. Intrinsic and Extrinsic Factors Contributing to Running-Related Lower Limb Injuries among Adolescent Runners. J. Sports Sci. 2022, 40, 2468–2474. [Google Scholar] [CrossRef] [PubMed]
- Barclay, N.L.; Eley, T.C.; Buysse, D.J.; Archer, S.N.; Gregory, A.M. Diurnal Preference and Sleep Quality: Same Genes? A Study of Young Adult Twins. Chronobiol. Int. 2010, 27, 278–296. [Google Scholar] [CrossRef]
- Lehnkering, H.; Siegmund, R. Influence of Chronotype, Season, and Sex of Subject on Sleep Behavior of Young Adults. Chronobiol. Int. 2007, 24, 875–888. [Google Scholar] [CrossRef] [PubMed]
- De Sousa, I.C.; Louzada, F.M.; De Azevedo, C.V.M. Sleep-Wake Cycle Irregularity and Daytime Sleepiness in Adolescents on Schooldays and on Vacation Days. Sleep Sci. 2009, 2, 30–35. [Google Scholar]
- Bei, B.; Allen, N.B.; Nicholas, C.L.; Dudgeon, P.; Murray, G.; Trinder, J. Actigraphy-Assessed Sleep during School and Vacation Periods: A Naturalistic Study of Restricted and Extended Sleep Opportunities in Adolescents. J. Sleep Res. 2014, 23, 107–117. [Google Scholar] [CrossRef] [PubMed]
- Eaton, D.K.; McKnight-Eily, L.R.; Lowry, R.; Perry, G.S.; Presley-Cantrell, L.; Croft, J.B. Prevalence of Insufficient, Borderline, and Optimal Hours of Sleep Among High School Students-United States, 2007. J. Adolesc. Health 2010, 46, 399–401. [Google Scholar] [CrossRef]
- Wheaton, A.G.; Olsen, E.O.; Miller, G.F.; Croft, J.B. Sleep Duration and Injury-Related Risk Behaviors Among High School Students—United States, 2007–2013. MMWR Morb. Mortal. Wkly. Rep. 2016, 65, 337–341. [Google Scholar] [CrossRef]
- Widome, R.; Berger, A.T.; Iber, C.; Wahlstrom, K.; Laska, M.N.; Kilian, G.; Redline, S.; Erickson, D.J. Association of Delaying School Start Time with Sleep Duration, Timing, and Quality among Adolescents. JAMA Pediatr. 2020, 174, 697–704. [Google Scholar] [CrossRef]
- Randler, C. Differences in Sleep and Circadian Preference between Eastern and Western German Adolescents. Chronobiol. Int. 2008, 25, 565–575. [Google Scholar] [CrossRef]
- Yang, C.K.; Kim, J.K.; Patel, S.R.; Lee, J.H. Age-Related Changes in Sleep/Wake Patterns among Korean Teenagers. Pediatrics 2005, 115 (Suppl. 1), 250–256. [Google Scholar] [CrossRef]
- Sadeh, A.; Dahl, R.E.; Shahar, G.; Rosenblat-Stein, S. Sleep and the Transition to Adolescence: A Longitudinal Study. Sleep 2009, 32, 1602–1609. [Google Scholar] [CrossRef]
- Wolfson, A.R.; Carskadon, M.A.; Acebo, C.; Seifer, R.; Fallone, G.; Labyak, S.E.; Martin, J.L. Evidence for the Validity of a Sleep Habits Survey for Adolescents. Sleep 2003, 26, 213–216. [Google Scholar] [CrossRef] [PubMed]
- Carskadon, M.A. Sleep in Adolescents: The Perfect Storm. Pediatr. Clin. N. Am. 2011, 58, 637–647. [Google Scholar] [CrossRef]
- Crowley, S.J.; Wolfson, A.R.; Tarokh, L.; Carskadon, M.A. An Update on Adolescent Sleep: New Evidence Informing the Perfect Storm Model. J. Adolesc. 2018, 67, 55–65. [Google Scholar] [CrossRef]
- Skeldon, A.C.; Derks, G.; Dijk, D.J. Modelling Changes in Sleep Timing and Duration across the Lifespan: Changes in Circadian Rhythmicity or Sleep Homeostasis? Sleep Med. Rev. 2016, 28, 96–107. [Google Scholar] [CrossRef] [PubMed]
- Almeida, F.; Marques, D.R.; Gomes, A.A. A Preliminary Study on the Association between Social Media at Night and Sleep Quality: The Relevance of FOMO, Cognitive Pre-Sleep Arousal, and Maladaptive Cognitive Emotion Regulation. Scand. J. Psychol. 2023, 64, 123–132. [Google Scholar] [CrossRef] [PubMed]
- Brautsch, L.A.S.; Lund, L.; Andersen, M.M.; Jennum, P.J.; Folker, A.P.; Andersen, S. Digital Media Use and Sleep in Late Adolescence and Young Adulthood: A Systematic Review. Sleep Med. Rev. 2023, 68, 101742. [Google Scholar] [CrossRef] [PubMed]
- Owens, J.A.; Weiss, M.R. Insufficient Sleep in Adolescents: Causes and Consequences. Minerva Pediatr. 2017, 69, 326–336. [Google Scholar] [CrossRef]
- Yeo, Y.; Wong, J.C.M.; Pereira, T.L.-B.; Shorey, S. A Qualitative Systematic Review of Adolescent’s Perceptions of Sleep: Awareness of, Barriers to and Strategies for Promoting Healthy Sleep Patterns. J. Clin. Nurs. 2024. [Google Scholar] [CrossRef]
- Saidi, O.; Pereira, B.; Peyrel, P.; Maso, F.; Doré, E.; Rochette, E.; Ratel, S.; Walrand, S.; Duché, P. Sleep Pattern and Staging in Elite Adolescent Rugby Players during the In-Season Competitive Phase Compared to an Age Matched Non-Athlete Population. Eur. J. Sport Sci. 2022, 22, 499–510. [Google Scholar] [CrossRef]
- Souabni, M.; Souabni, M.J.; Hidouri, S.; Ammar, A.; Younes, M.; Hammouda, O.; Driss, T. Napping and Heart Rate Variability in Elite Athletes. Biol. Sport 2024, 41, 213–221. [Google Scholar] [CrossRef] [PubMed]
- Roberts, D.M.; Schade, M.M.; Mathew, G.M.; Gartenberg, D.; Buxton, O.M. Detecting Sleep Using Heart Rate and Motion Data from Multisensor Consumer-Grade Wearables, Relative to Wrist Actigraphy and Polysomnography. Sleep 2020, 43, zsaa045. [Google Scholar] [CrossRef]
- Arora, T.; Broglia, E.; Pushpakumar, D.; Lodhi, T.; Taheri, S. An Investigation into the Strength of the Association and Agreement Levels between Subjective and Objective Sleep Duration in Adolescents. PLoS ONE 2013, 8, e72406. [Google Scholar] [CrossRef] [PubMed]
- Slater, J.A.; Botsis, T.; Walsh, J.; King, S.; Straker, L.M.; Eastwood, P.R. Assessing Sleep Using Hip and Wrist Actigraphy. Sleep Biol. Rhythm. 2015, 13, 172–180. [Google Scholar] [CrossRef]

| Age (Years) | Body Weight (kg) | Height (m) | BMI (kg/m2) | Body Fat (%) | Weekly Training Frequency | Years of Practice |
|---|---|---|---|---|---|---|
| 15.58 ± 0.67 | 63.50 ± 8.42 | 1.72 ± 0.09 | 21.34 ± 1.98 | 14.67 ± 3.63 | 4.17 ± 0.39 | 7.33 ± 1.30 |
| Holidays | Schooldays | p | Cohen’s d | |
|---|---|---|---|---|
| Bedtime (h:min) | 00:50 ± 00:42 | 00:41 ± 00:39 | 0.65 | 0.14 |
| Rise time (h:min) | 09:13 ± 01:11 | 07:42 ± 00:45 | <0.01 | 1.24 |
| Time in bed (min) | 508.46 ± 67.63 | 436.17 ± 49.57 | <0.01 | 1.23 |
| Total sleep time (min) | 390.50 ± 65.06 | 374.46 ± 46.73 | 0.40 | 0.25 |
| Sleep efficiency % | 77.88 ± 12.46 | 85.73 ± 7.13 | 0.08 | −0.55 |
| Sleep onset latency (min) | 25.44 ± 38.28 | 13.92 ± 19.12 | 0.59 | 0.27 |
| Wake after sleep onset (min) | 86.56 ± 51.33 | 46.84 ± 24.26 | 0.03 | 0.69 |
| Holidays | Schooldays | p | Cohen’s d | |
|---|---|---|---|---|
| Midsleep on weekdays (h:min) | 4:54 ± 1:05 | 3:58 ± 0:51 | <0.05 | 0.65 |
| Midsleep on weekend (h:min) | 5:17 ± 1:01 | 4:38 ± 1:37 | 0.32 | 0.30 |
| Social jetlag (h:min) | 0:22 | 0:40 | 0.69 | 0.10 |
Disclaimer/Publisher’s Note: The statements, opinions and data contained in all publications are solely those of the individual author(s) and contributor(s) and not of MDPI and/or the editor(s). MDPI and/or the editor(s) disclaim responsibility for any injury to people or property resulting from any ideas, methods, instructions or products referred to in the content. |
© 2024 by the authors. Licensee MDPI, Basel, Switzerland. This article is an open access article distributed under the terms and conditions of the Creative Commons Attribution (CC BY) license (https://creativecommons.org/licenses/by/4.0/).
Share and Cite
Souabni, M.J.; Souabni, M.; Hammouda, O.; Driss, T. Are Adolescent Athletes Sleeping Enough? An Observational Study of Sleep Parameters during Schooldays and Holidays. Children 2024, 11, 1044. https://doi.org/10.3390/children11091044
Souabni MJ, Souabni M, Hammouda O, Driss T. Are Adolescent Athletes Sleeping Enough? An Observational Study of Sleep Parameters during Schooldays and Holidays. Children. 2024; 11(9):1044. https://doi.org/10.3390/children11091044
Chicago/Turabian StyleSouabni, Mehdi J., Maher Souabni, Omar Hammouda, and Tarak Driss. 2024. "Are Adolescent Athletes Sleeping Enough? An Observational Study of Sleep Parameters during Schooldays and Holidays" Children 11, no. 9: 1044. https://doi.org/10.3390/children11091044
APA StyleSouabni, M. J., Souabni, M., Hammouda, O., & Driss, T. (2024). Are Adolescent Athletes Sleeping Enough? An Observational Study of Sleep Parameters during Schooldays and Holidays. Children, 11(9), 1044. https://doi.org/10.3390/children11091044

