Safety and Tolerability of Continuous Inhaled Iloprost Therapy for Severe Pulmonary Hypertension in Neonates and Infants
Abstract
1. Introduction
2. Materials and Methods
2.1. Method of Administration
2.2. Statistical Analysis
3. Results
3.1. Demographics
3.2. Other PH Medications
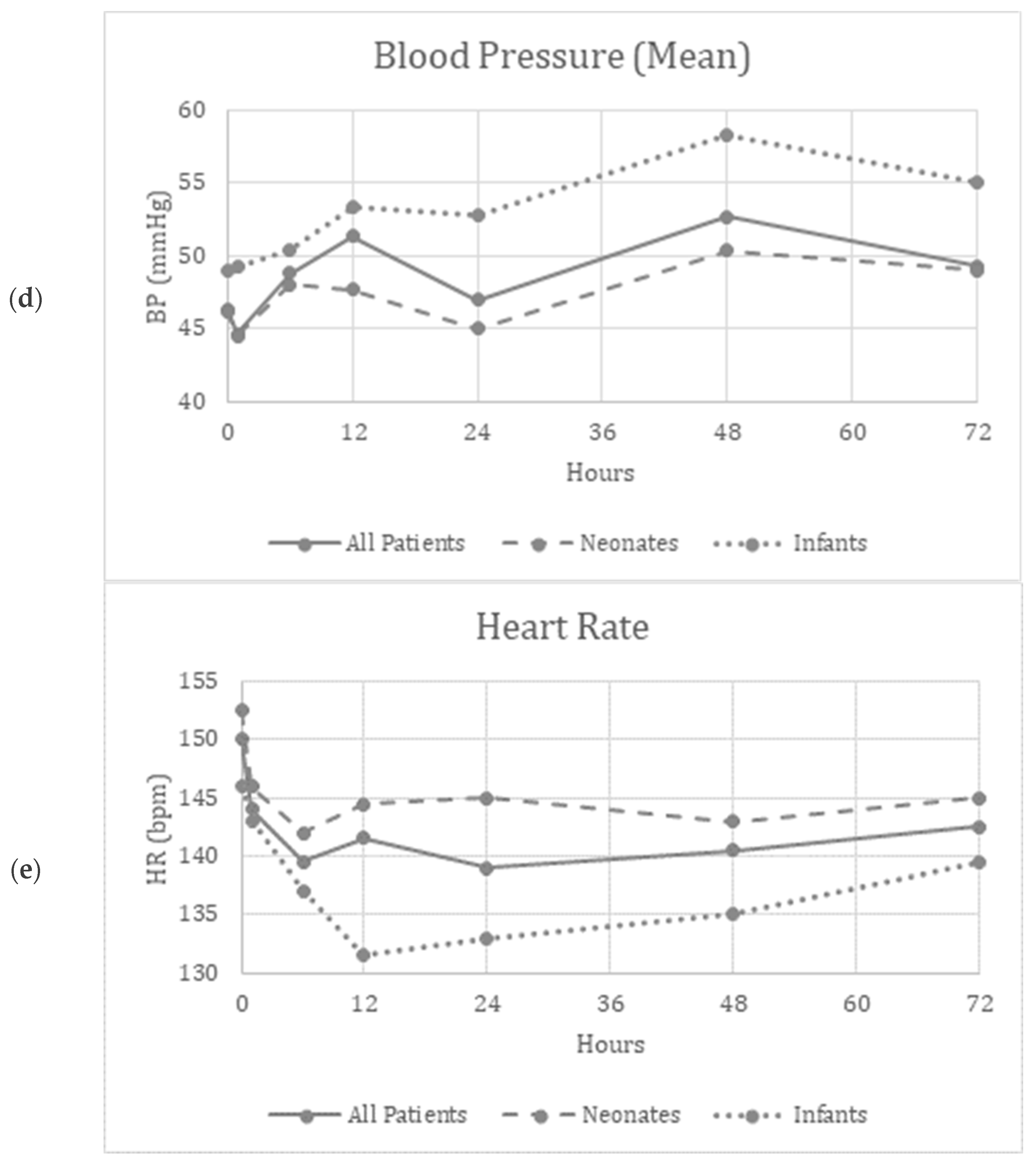
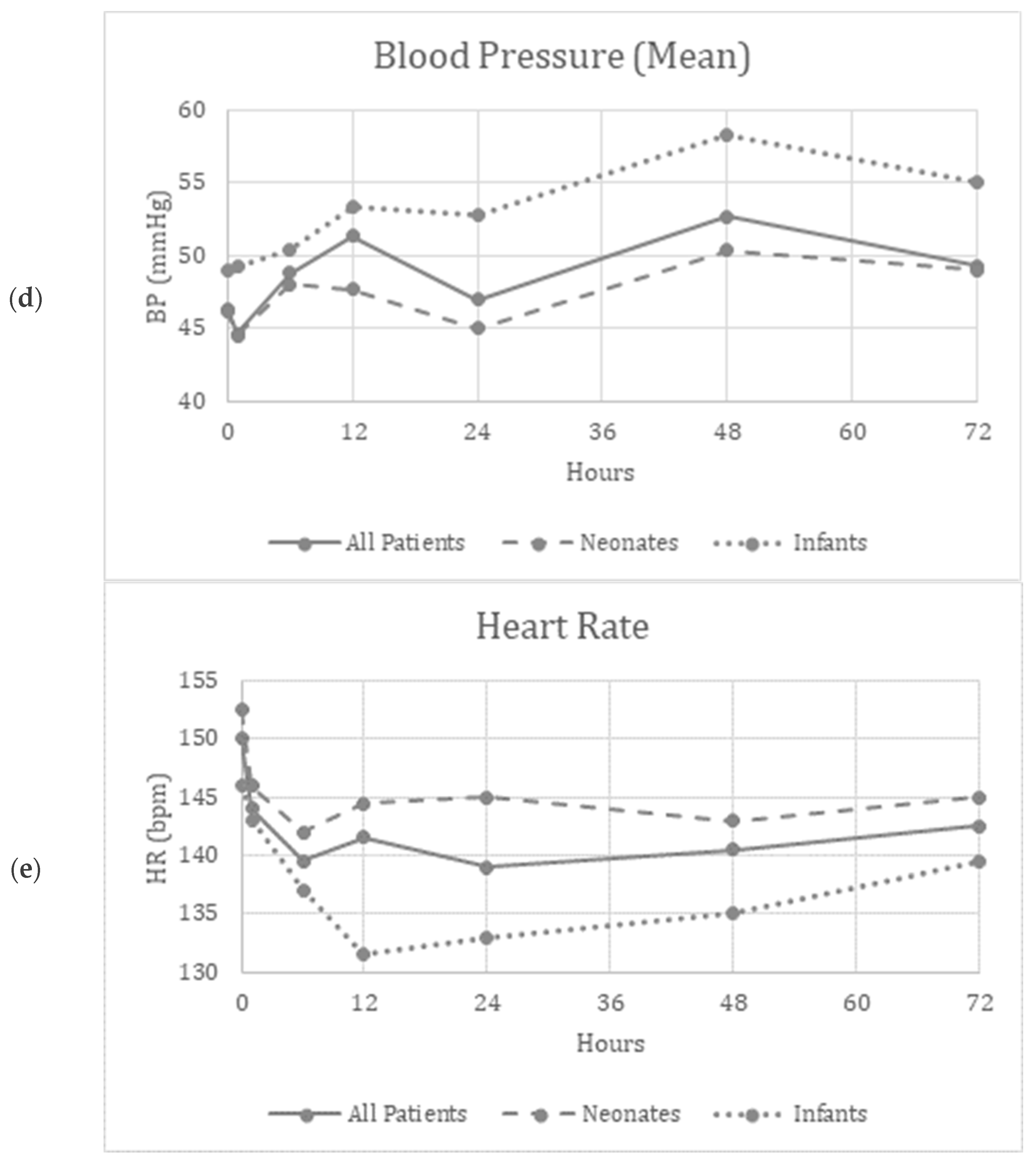
3.3. Improvement in Parameters over the Evaluated Time Period
3.4. Safety and Tolerability Data
3.5. Patients Who Received Iloprost <6 h (Excluded from Data Analysis)
3.6. Side Effects
4. Discussion
5. Conclusions
Supplementary Materials
Author Contributions
Funding
Institutional Review Board Statement
Informed Consent Statement
Data Availability Statement
Acknowledgments
Conflicts of Interest
References
- Cerro, M.J.; Abman, S.; Diaz, G.; Freudenthal, A.H.; Freudenthal, F.; Harikrishnan, S.; Haworth, S.G.; Ivy, D.; Lopes, A.A.; Raj, J.U.; et al. A consensus approach to the classification of pediatric pulmonary hypertensive vascular disease: Report from the PVRI Pediatric TaskForce, Panama 2011. Pulm. Circ. 2011, 1, 286–298. [Google Scholar] [CrossRef] [PubMed]
- Singh, Y.; Lakshminrusimha, S. Pathophysiology and Management of Persistent Pulmonary Hypertension of the Newborn. Clin. Perinatol. 2021, 48, 595–618. [Google Scholar] [CrossRef] [PubMed]
- Nandula, P.S.; Shah, S.D. Persistent Pulmonary Hypertension of the Newborn. [Updated 2023 Jul 31]. In StatPearls [Internet]; StatPearls Publishing: Treasure Island, FL, USA, 2024. Available online: https://www.ncbi.nlm.nih.gov/books/NBK585100/ (accessed on 2 June 2024).
- Takatsuki, S.; Ivy, D.D. Current challenges in pediatric pulmonary hypertension. Semin. Respir. Crit. Care Med. 2013, 34, 627–644. [Google Scholar] [CrossRef]
- Ivy, D. Pulmonary hypertension in children. Cardiol. Clin. 2016, 34, 451–472. [Google Scholar] [CrossRef] [PubMed]
- Wu, Y.; Liu, H.M.; Gu, L.; Li, Q.W.; Zhu, L. Prostacyclins and pulmonary arterial hypertension in children. Eur. Rev. Med. Pharmacol. Sci. 2022, 26, 37–45. [Google Scholar]
- Barrington, K.J.; Finer, N.; Pennaforte, T.; Altit, G. Nitric oxide for respiratory failure in infants born at or near term. Cochrane Database Syst. Rev. 2017, 2017, CD000399. [Google Scholar] [CrossRef]
- Olschewski, H.; Simonneau, G.; Galiè, N.; Higenbottam, T.; Naeije, R.; Rubin, L.J.; Nikkho, S.; Speich, R.; Hoeper, M.M.; Behr, J.; et al. Inhaled iloprost for severe pulmonary hypertension. N. Engl. J. Med. 2002, 347, 322–329. [Google Scholar] [CrossRef]
- Lakshminrusimha, S. Persistent Pulmonary Hypertension of the Newborn. NeoReviews 2015, 16, e680–e692. [Google Scholar] [CrossRef]
- Colglazier, E.; Ng, A.J.; Parker, C.; Woolsey, D.; Holmes, R.; Dsouza, A.; Becerra, J.; Stevens, L.; Nawaytou, H.; Keller, R.L.; et al. Safety and tolerability of continuous inhaled iloprost in critically ill pediatric pulmonary hypertension patients: A retrospective case series. Pulm. Circ. 2023, 13, e12289. [Google Scholar] [CrossRef] [PubMed]
- Walmrath, D.; Schermuly, R.; Pilch, J.; Grimminger, F.; Seeger, W. Effects of inhaled versus intravenous vasodilators in experimental pulmonary hypertension. Eur. Respir. J. 1997, 10, 1084–1092. [Google Scholar] [CrossRef]
- Limsuwan, A.; Wanitkul, S.; Khosithset, A.; Attanavanich, S.; Samankatiwat, P. Aerosolized iloprost for postoperative pulmonary hypertensive crisis in children with congenital heart disease. Int. J. Cardiol. 2008, 129, 333–338. [Google Scholar] [CrossRef]
- Verma, S.; Lumba, R.; Kazmi, S.H.; Vaz, M.J.; Prakash, S.S.; Bailey, S.M.; Mally, P.V.; Randis, T.M. Effects of Inhaled Iloprost for the Management of Persistent Pulmonary Hypertension of the Newborn. Am. J. Perinatol. 2022, 39, 1441–1448. [Google Scholar] [CrossRef] [PubMed]
- Ivy, D.D.; Doran, A.K.; Smith, K.J.; Mallory GBJr Beghetti, M.; Barst, R.J. Short- and long-term effects of inhaled iloprost therapy in children with pulmonary arterial hypertension. J. Am. Coll. Cardiol. 2008, 51, 161–169. [Google Scholar] [CrossRef]
- Calcaterra, G.; Bassareo, P.P.; Barilla, F.; Martino, F.; Fanos, V.; Fedele, F. Pulmonary hypertension in paediatrics. A feasible approach to bridge the gap between real world and guidelines. J. Matern. Fetal Neonatal Med. 2021, 34, 3820–3826. [Google Scholar] [CrossRef]
- Rimensberger, P.C.; Spahr-Schopfer, I.; Berner, M.; Jaeggi, E.; Kalangos, A.; Friedli, B. Inhaled nitric oxide versus aerosolized iloprost in secondary pulmonary hypertension in children with congenital heart disease: Vasodilator capacity and cellular mechanisms. Circulation 2001, 103, 544–548. [Google Scholar] [CrossRef]
- Hari Gopal, S.; Toy, C.L.; Hanna, M.; Furtun, B.Y.; Hagan, J.L.; Nassr, A.A.; Fernandes, C.J.; Keswani, S.; Gowda, S.H. Inotropic score and vasoactive inotropic score as predictors of outcomes in congenital diaphragmatic hernia: A single center retrospective study. Front. Pediatr. 2023, 11, 1101546. [Google Scholar] [CrossRef] [PubMed] [PubMed Central]
- Belletti, A.; Lerose, C.C.; Zangrillo, A.; Landoni, G. Vasoactive-inotropic score: Evolution, clinical utility, and pitfalls. J. Cardiothorac. Vasc. Anesth. 2021, 35, 3067–3077. [Google Scholar] [CrossRef]
- Kelly, L.K.; Porta, N.F.M.; Goodman, D.M.; Carroll, C.L.; Steinhorn, R.H. Inhaled prostacyclin for term infants with persistent pulmonary hypertension refractory to inhaled nitric oxide. J. Pediatr. 2002, 141, 830–832. [Google Scholar] [CrossRef]
- De Luca, D.; Zecca, E.; Piastra, M.; Romagnoli, C. Iloprost as ‘rescue’ therapy for pulmonary hypertension of the neonate. Paediatr. Anaesth. 2007, 17, 394–395. [Google Scholar] [CrossRef]
- Berger-Caron, F.; Piedboeuf, B.; Morissette, G.; Simonyan, D.; Chétaille, P.; Pellerin, A.; Hébert, A. Inhaled Epoprostenol for Pulmonary Hypertension Treatment in Neonates: A 12-Year Experience. Am. J. Perinatol. 2019, 36, 1142–1149. [Google Scholar] [CrossRef] [PubMed]
- Debillon, T.; Sentilhes, L.; Kayem, G.; Chevallier, M.; Zeitlin, J.; Baud, O.; Vilotitch, A.; Pierrat, V.; Guellec, I.; Ancel, P.Y.; et al. Risk factors for unfavorable outcome at discharge of newborns with hypoxic-ischemic encephalopathy in the era of hypothermia. Pediatr. Res. 2023, 93, 1975–1982. [Google Scholar] [CrossRef] [PubMed]
- Inkster, A.M.; Fernández-Boyano, I.; Robinson, W.P. Sex Differences Are Here to Stay: Relevance to Prenatal Care. J. Clin. Med. 2021, 10, 3000. [Google Scholar] [CrossRef] [PubMed] [PubMed Central]
- Albert, R.; Lee, A.; Lingappan, K. Response to Therapeutic Interventions in the NICU: Role of Sex as a Biological Variable. Neoreviews 2023, 24, e797–e805. [Google Scholar] [CrossRef] [PubMed]
- Zaccolo, M.; Movsesian, M.A. cAMP and cGMP signaling Cross Talk. Circ. Res. 2007, 100, 1569–1578. [Google Scholar] [CrossRef]


| Number of Patients (%) | Male (%) | Female (%) | p * | |
|---|---|---|---|---|
| Total | 51 (100%) | 30 | 21 | |
| Neonate | 32 (62.7%) | 17 (56.7%) | 15 (71.4%) | 0.28 |
| Need for ECMO | 15 (29.4%) | 8 (26.7%) | 7 (33.3%) | 0.61 |
| Mortality | 20 (39.2%) | 14 (46.7%) | 6 (28.6%) | 0.19 |
| Total (range) | Male (IQR) | Female (IQR) | p ** | |
| Median Birth Weight (kg) | 3.080 (0.375–4.420) | 3.13 (2.320–3.380) | 3.08 (2.550–3.300) | 0.69 |
| Median Gest. Age (Weeks) | 38.57 (23–41) | 37.57 (35.71–39.00) | 38.71 (37.14–39.14) | 0.28 |
| Median Weight at Iloprost Admin. (kg) | 3.37 (2.06–7.3) | 3.43 (2.99–4.38) | 3.30 (2.97–3.71) | 0.70 |
| Apgar Score 1¢ | 6.00 (2.00–8.00) | 5.00 (2.50–7.00) | 7.00 (3.00–8.00) | 0.25 |
| Apgar Score 5¢ | 8.00 (7.00–9.00) | 7.00 (7.00–8.50) | 8.00 (7.00–9.00) | 0.50 |
| VIS | 13.00 (0–19.00) | 13.00 (3.50–16.80) | 13.00 (6.00–20.00) | 0.62 |
| Iloprost # Days | 3.00 (0.25–37) | 3.00 (1.00–8.80) | 3.00 (1.00–7.00) | 0.76 |
| Neonate (%) | Infant (%) | p * | |
|---|---|---|---|
| Total | 32 (62.7%) | 19 (37.3%) | 0.01 |
| Male | 17 (53.1%) | 13 (68.4%) | 0.28 |
| ECMO | 12 (37.5%) | 3 (15.8%) | 0.12 ** |
| Deceased | 13 (40.6%) | 7 (36.8%) | 0.79 |
| median (IQR) | Median (IQR) | p *** | |
| Birth Wt (kg) (range) | 3.195 (0.540–4.29) | 3.05 (0.375–4.42) | 0.52 |
| Gest. age (weeks) | 39.00 (37.14–39.14) | 37.00 (30.14–38.79) | 0.02 |
| Weight at iloprost administration (kg) | 3.21 (2.75–3.38) | 4.53 (3.77–5.56) | <0.01 |
| Apgar score 1¢ | 5.00 (2.75–8.00) | 6.50 (2.75–8.00) | 0.74 |
| Apgar score 5¢ | 7.00 (6.50–9.00) | 8.00 (7.00–9.00) | 0.55 |
| VIS | 14.50 (6.75–23.13) | 5.00 (0.00–14.50) * | 0.03 |
| Iloprost # days | 1.00 (1.00–5.50) | 3.00 (1.00–10.00) | 0.07 |
| ECMO (%) | No ECMO (%) | p * | |
|---|---|---|---|
| Total | 15 (29.4%) | 36 (70.6%) | <0.01 |
| Male | 8 (53.3%) | 22 (61.1%) | 0.61 |
| Neonate | 12 (80.0%) | 20 (55.6%) | 0.12 ** |
| Deceased | 7 (46.7%) | 13 (36.1%) | 0.48 |
| ECMO (IQR) | No ECMO (IQR) | p *** | |
| Birth Wt (kg) | 3.08 (2.49–3.28) | 3.13 (2.50–3.39) | 0.88 |
| Gest. Age (weeks) | 38.57 (37.14–39.00) | 38.21 (35.67–39.00) | 0.88 |
| Dosing Wt (kg) | 3.22 (2.72–3.71) | 3.51 (3.20–4.13) | 0.10 |
| Apgar score 1¢ | 6.00 (4.50–8.00) | 5.00 (2.00–8.00) | 0.23 |
| Apgar score 5¢ | 9.00 (7.00–9.00) | 7.00 (5.00–8.00) | 0.04 |
| VIS | 15.00 (4.50–22.50) | 10.50 (3.75–15.63) | 0.22 |
| Iloprost # days | 2.00 (1.00–14.50) | 3.00 (1.00–7.25) | 0.55 |
| Survived (%) | Deceased (%) | p * | |
|---|---|---|---|
| Total | 31 (60.8%) | 20 (39.2%) | 0.03 |
| Male | 16 (51.6%) | 14 (70.0%) | 0.19 |
| Neonate [<4 wk age] | 19 (61.3%) | 13 (65.0%) | 0.79 |
| ECMO | 8 (25.8%) | 7 (35.0%) | 0.48 |
| Survived (IQR) | Deceased (IQR) | p ** | |
| Birth Wt (kg) | 3.20 (2.50–3.58) | 3.06 (2.41–3.28) | 0.32 |
| Gest. age (weeks) | 39.00 (37.00–39.14) | 37.29 (35.71–38.89) | 0.23 |
| Dose Wt (kg) | 3.70 (3.21–4.41) | 3.22 (2.75–3.61) | 0.06 |
| Apgar score 1¢ | 6.00 (3.00–8.00) | 5.00 (2.50–7.50) | 0.83 |
| Apgar score 5¢ | 8.00 (7.00–9.00) | 7.00 (7.00–9.00) | 0.59 |
| VIS | 11.00 (3.00–16.50) | 14.00 (6.00–21.25) | 0.40 |
| Iloprost # days | 3.00 (1.00–10.00) | 1.50 (0.94–6.75) | 0.48 |
Disclaimer/Publisher’s Note: The statements, opinions and data contained in all publications are solely those of the individual author(s) and contributor(s) and not of MDPI and/or the editor(s). MDPI and/or the editor(s) disclaim responsibility for any injury to people or property resulting from any ideas, methods, instructions or products referred to in the content. |
© 2024 by the authors. Licensee MDPI, Basel, Switzerland. This article is an open access article distributed under the terms and conditions of the Creative Commons Attribution (CC BY) license (https://creativecommons.org/licenses/by/4.0/).
Share and Cite
Krishnan, A.V.; Freniere, V.; Sahni, R.; Vargas Chaves, D.P.; Krishnan, S.S.; Savva, D.; Krishnan, U.S. Safety and Tolerability of Continuous Inhaled Iloprost Therapy for Severe Pulmonary Hypertension in Neonates and Infants. Children 2024, 11, 703. https://doi.org/10.3390/children11060703
Krishnan AV, Freniere V, Sahni R, Vargas Chaves DP, Krishnan SS, Savva D, Krishnan US. Safety and Tolerability of Continuous Inhaled Iloprost Therapy for Severe Pulmonary Hypertension in Neonates and Infants. Children. 2024; 11(6):703. https://doi.org/10.3390/children11060703
Chicago/Turabian StyleKrishnan, Amit V., Victoria Freniere, Rakesh Sahni, Diana P. Vargas Chaves, Sankaran S. Krishnan, Dimitrios Savva, and Usha S. Krishnan. 2024. "Safety and Tolerability of Continuous Inhaled Iloprost Therapy for Severe Pulmonary Hypertension in Neonates and Infants" Children 11, no. 6: 703. https://doi.org/10.3390/children11060703
APA StyleKrishnan, A. V., Freniere, V., Sahni, R., Vargas Chaves, D. P., Krishnan, S. S., Savva, D., & Krishnan, U. S. (2024). Safety and Tolerability of Continuous Inhaled Iloprost Therapy for Severe Pulmonary Hypertension in Neonates and Infants. Children, 11(6), 703. https://doi.org/10.3390/children11060703

