Physiological Responses during Parental Conflicts as Potential Biomarkers for Adolescent Depression
Abstract
1. Introduction
2. Materials and Methods
2.1. Participants
2.2. Face-to-Face Assessment and Questionnaire Evaluation
2.3. Parental Conflict Situation Procedure
2.3.1. Experimental Setup of Parental Conflict Situations
2.3.2. Acquisition of Physiological Data at the Baseline and during the Conflict
2.3.3. Facial Expressions Capture and Detection
2.4. Data Processing and Statistical Analysis
3. Results
3.1. Risk and Protective Factors Associated with Depression in Two Groups of Adolescents
3.2. Comparison of the Characteristics of Physiological and Facial Expressions between MDD and HC
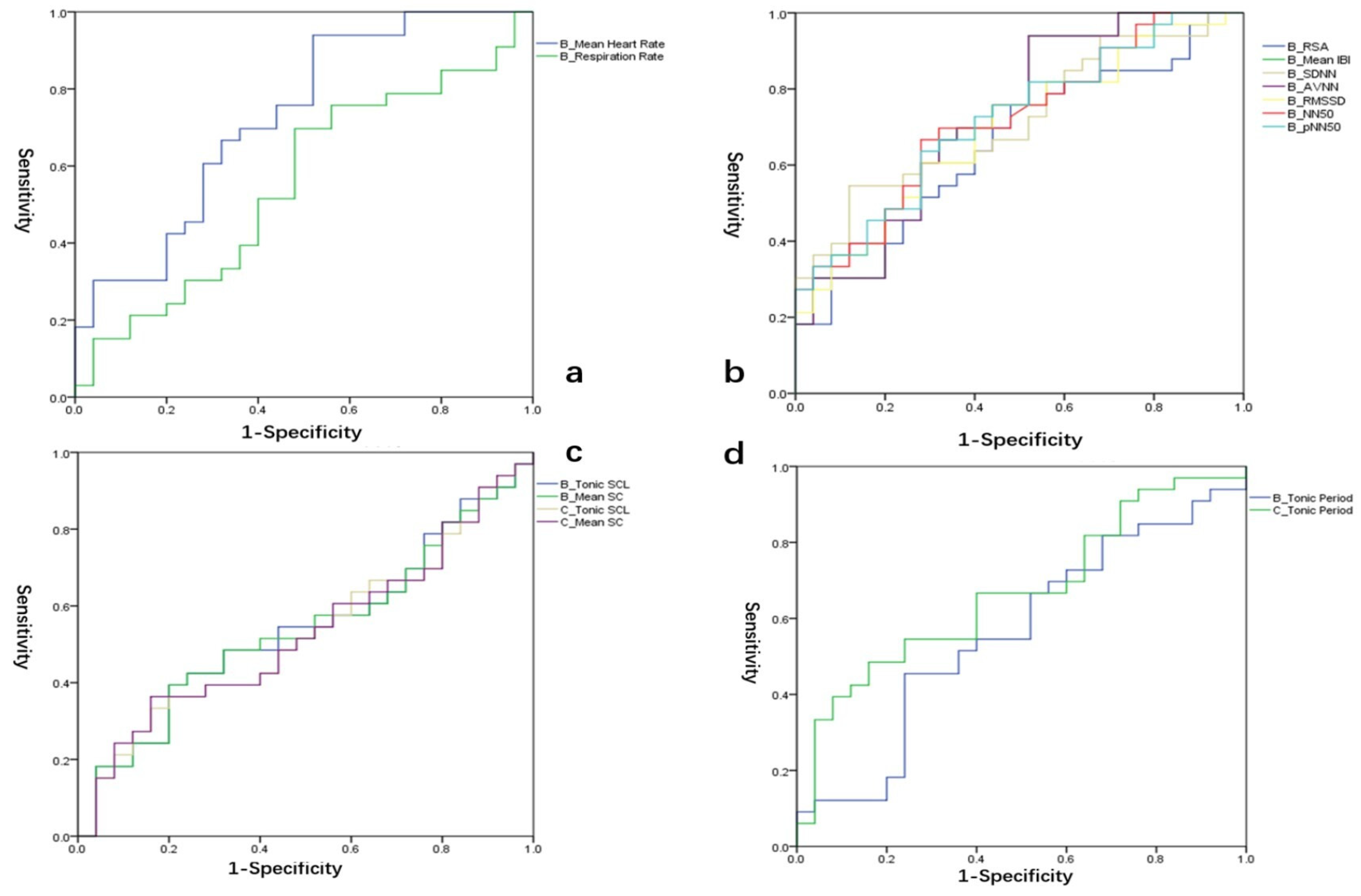
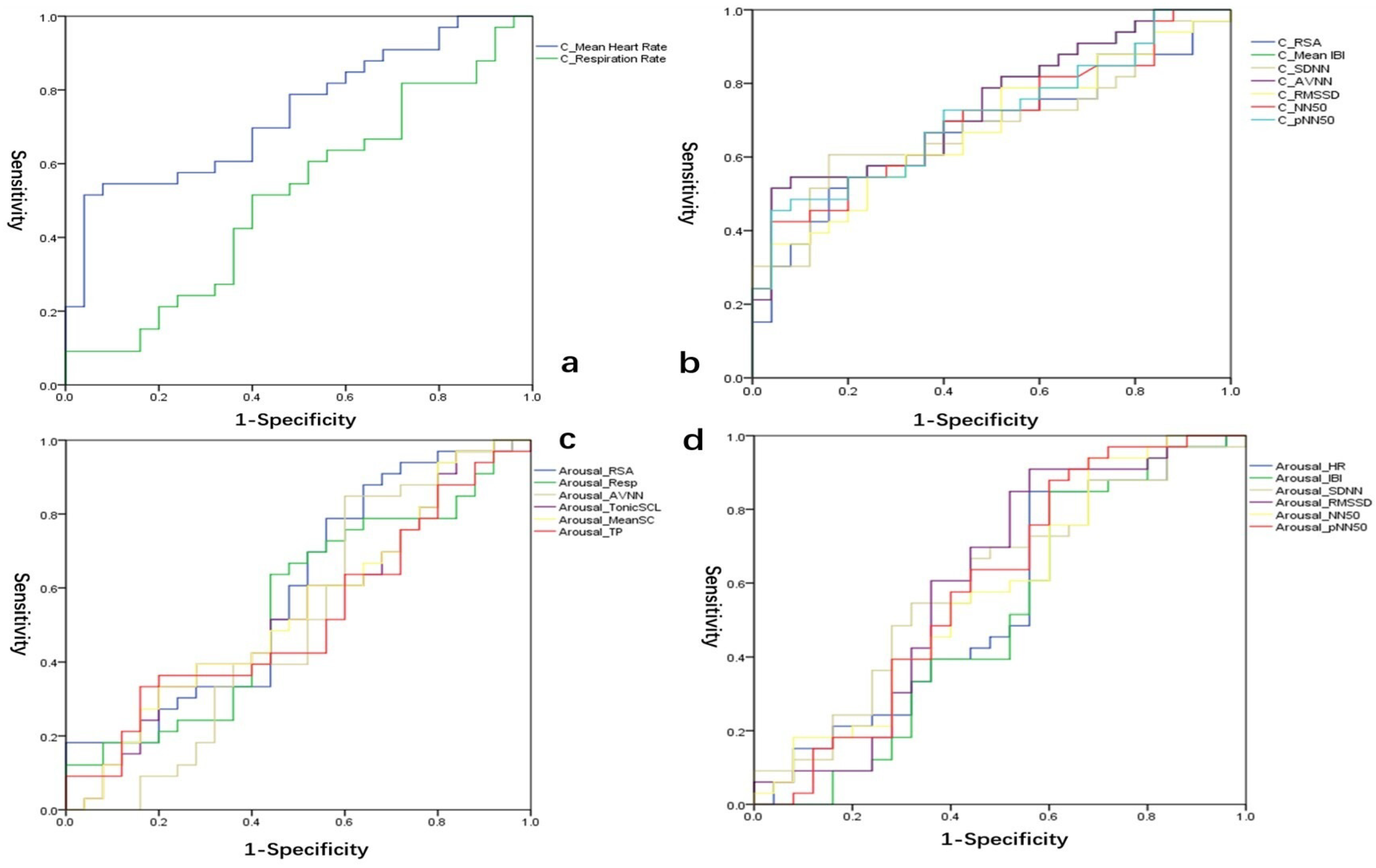
3.3. Exploration of Possible Biomarkers of Depression in Adolescents Using ROC Curves
4. Discussion
5. Limitations
6. Conclusions
Supplementary Materials
Author Contributions
Funding
Institutional Review Board Statement
Informed Consent Statement
Data Availability Statement
Acknowledgments
Conflicts of Interest
References
- Thapar, A.; Eyre, O.; Patel, V.; Brent, D. Depression in young people. Lancet 2022, 400, 617–631. [Google Scholar] [CrossRef] [PubMed]
- Platt, J.M.; Bates, L.; Jager, J.; McLaughlin, K.A.; Keyes, K.M. Is the US Gender Gap in Depression Changing Over Time? A Meta-Regression. Am. J. Epidemiol. 2021, 190, 1190–1206. [Google Scholar] [CrossRef]
- Izaki, Y. Depression among adolescents: Clinical features and interventions. J. Med. Investig. 2021, 68, 22–28. [Google Scholar] [CrossRef] [PubMed]
- Clayborne, Z.M.; Varin, M.; Colman, I. Systematic Review and Meta-Analysis: Adolescent Depression and Long-Term Psychosocial Outcomes. J. Am. Acad. Child Adolesc. Psychiatry 2019, 58, 72–79. [Google Scholar] [CrossRef] [PubMed]
- Chen, Y.F. A Review of Child and Adolescent Depression: Family Factors and Treatment. In Proceedings of the 2019 Asia-Pacific Conference on Clinical Medicine and Public Health (Cmph 2019), Seoul, Republic of Korea, 26–27 September 2019; pp. 101–109. [Google Scholar]
- Lim, O.H.; Lee, J.Y. Perception of Parental Conflict and Adolescents’ Internalizing Problem Behaviors: The Mediating Effects of Stress Coping Strategies and Moderating Effect of Parent-Child Communication. Korea J. Youth Couns. 2018, 26, 23–46. [Google Scholar] [CrossRef]
- Grych, J.H.; Fincham, F.D.; Jouriles, E.N.; McDonald, R. Interparental Conflict and Child Adjustment: Testing the Mediational Role of Appraisals in the Cognitive-Contextual Framework. Child Dev. 2000, 71, 1648–1661. [Google Scholar] [CrossRef]
- Wang, M.; Fan, C.; Zhou, Z.; Chen, W. Parental Conflict Affects Adolescents’ Depression and Social Anxiety: Based on Cognitive-contextual and Emotional Security Theories. Acta Psychol. Sin. 2014, 46, 90. [Google Scholar] [CrossRef]
- Grych, J.H.; Fincham, F.D. Children’s appraisals of marital conflict: Initial investigations of the cognitive contextual framework. Child Dev. 1993, 64, 64215–64230. [Google Scholar] [CrossRef]
- Unger, D.G.; Brown, M.B.; Tressell, P.A.; McLeod, L.E. Interparental Conflict and Adolescent Depressed Mood: The Role of Family Functioning. Child Psychiatry Hum. Dev. 2000, 31, 23–41. [Google Scholar] [CrossRef]
- Lee, W.Y.; Ng, M.L.; Cheung, B.K.; Yung, J.W. Capturing Children’s Response to Parental Conflict and Making Use of It. Fam. Process 2010, 49, 43–58. [Google Scholar] [CrossRef]
- Balters, S.; Steinert, M. Capturing emotion reactivity through physiology measurement as a foundation for affective engineering in engineering design science and engineering practices. J. Intell. Manuf. 2017, 28, 1585–1607. [Google Scholar] [CrossRef]
- Camm, A.J.; Malik, M.; Bigger, J.T.; Breithardt, G.; Cerutti, S.; Cohen, R.J.; Coumel, P.; Fallen, E.L.; Kennedy, H.L.; Kleiger, R.E. Heart rate variability: Standards of measurement, physiological interpretation, and clinical use. Eur. Heart J. 1996, 93, 1043–1065. [Google Scholar]
- Ben-Tal, A.; Shamailov, S.S.; Paton, J. Evaluating the physiological significance of respiratory sinus arrhythmia: Looking beyond ventilation-perfusion efficiency. J. Physiol. 2012, 590, 1989–2008. [Google Scholar] [CrossRef] [PubMed]
- Dollar, J.M.; Calkins, S.D.; Berry, N.T.; Perry, N.B.; Keane, S.P.; Shanahan, L.; Wideman, L. Developmental patterns of respiratory sinus arrhythmia from toddlerhood to adolescence. Dev. Psychol. 2020, 56, 783–794. [Google Scholar] [CrossRef]
- Cui, L.; Morris, A.S.; Harrist, A.W.; Larzelere, R.E.; Criss, M.M.; Houltberg, B.J. Adolescent RSA responses during an anger discussion task: Relations to emotion regulation and adjustment. Emotion 2015, 15, 360–372. [Google Scholar] [CrossRef]
- Ellis, A.J.; Shumake, J.; Beevers, C.G. The effects of respiratory sinus arrhythmia on anger reactivity and persistence in major depression. Psychophysiology 2016, 53, 1587–1599. [Google Scholar] [CrossRef]
- Baker, J.K.; Fenning, R.M.; Erath, S.A.; Baucom, B.R.; Messinger, D.S.; Moffitt, J.; Kaeppler, A.; Bailey, A. Respiratory sinus arrhythmia, parenting, and externalizing behavior in children with autism spectrum disorder. Autism 2020, 24, 109–120. [Google Scholar] [CrossRef]
- Campbell, A.A.; Wisco, B.E.; Silvia, P.J.; Gay, N.G. Resting respiratory sinus arrhythmia and posttraumatic stress disorder: A meta-analysis. Biol. Psychol. 2019, 144, 125–135. [Google Scholar] [CrossRef]
- Fox, A.R.; Hammond, L.E.; Mezulis, A.H. Respiratory sinus arrhythmia and adaptive emotion regulation as predictors of nonsuicidal self-injury in young adults. Int. J. Psychophysiol. 2018, 133, 1–11. [Google Scholar] [CrossRef]
- Obulesu, A.; Keerthi, R. Facial expression classification using Cross Diagonal Neighborhood Pattern. Int. Conf. Comput. Vis. Mach. Learn. 2019, 1228, 012055. [Google Scholar] [CrossRef]
- Ko, B.C. A Brief Review of Facial Emotion Recognition Based on Visual Information. Sensors 2018, 18, 401. [Google Scholar] [CrossRef]
- Wang, Q.; Yang, H.; Yu, Y. Facial expression video analysis for depression detection in Chinese patients. J. Vis. Commun. Image Represent. 2018, 57, 228–233. [Google Scholar] [CrossRef]
- Scoralick, F.M.; Piazzolla, L.P.; Camargos, E.F.; Dias Freitas, M.P.; Guimarães, R.M.; Laiana, C. Facial Expression May Indicate Depression in Older Adults. J. Am. Geriatr. Soc. 2012, 60, 2371–2373. [Google Scholar] [CrossRef]
- Scherer, S.; Stratou, G. audiovisual behavior descriptors for psychological disorder analysis. Image Vis. Comput. 2014, 32, 648–658. [Google Scholar] [CrossRef]
- Alghowinem, S. Eye movement analysis for depression detection. In Proceedings of the IEEE International Conference on Image Processing, Melbourne, VIC, Australia, 15–18 September 2013; IEEE: New York, NY, USA, 2014; pp. 4220–4224. [Google Scholar]
- Lucas, G.M. Towards an affective interface for assessment of psychological distress. In Proceedings of the 2015 International Conference on affective Computing and intelligent interaction (ACII), Xi’an, China, 21–24 September 2015; IEEE: New York, NY, USA, 2015; pp. 539–545. [Google Scholar]
- Sawyer, S.M.; Azzopardi, P.S.; Wickremarathne, D.; Patton, G.C. The age of adolescence. Lancet Child Adolesc. Health 2018, 2, 223–228. [Google Scholar] [CrossRef]
- Kerestes, R.; Davey, C.G.; Stephanou, K.; Whittle, S.; Harrison, B.J. Functional brain imaging studies of youth depression: A systematic review. NeuroImage Clin. 2014, 4, 209–231. [Google Scholar] [CrossRef]
- Wang, J.; Chen, Y.; Tan, C.; Zhao, X. Family functioning, social support, and quality of life for patients with anxiety disorder. Int. J. Soc. Psychiatry 2016, 62, 5–11. [Google Scholar] [CrossRef]
- Liu, L.; Miller, J.K.; Zhao, X.; Ma, X.; Wang, J.; Li, W. Systemic family psychotherapy in China: A qualitative analysis of therapy process. Psychol. Psychother.-Theory Res. Pract. 2013, 86, 447–465. [Google Scholar] [CrossRef] [PubMed]
- Noller, P.; Feeney, J.A.; Sheehan, G.; Peterson, C. Marital conflict patterns: Links with family conflict and family members’ perceptions of one another. Pers. Relatsh. 2010, 7, 79–94. [Google Scholar] [CrossRef]
- Fosco, G.M.; Grych, J.H. Adolescent Triangulation Into Parental Conflicts: Longitudinal Implications for Appraisals and Adolescent-Parent Relations. J. Marriage Fam. 2010, 72, 254–266. [Google Scholar] [CrossRef]
- Yu, C.Y.; Ko, C.H. Applying FaceReader to Recognize Consumer Emotions in Graphic Styles. Complex Syst. Eng. Dev. 2017, 60, 104–109. [Google Scholar] [CrossRef]
- Lewinski, P.; den Uyl, T.M.; Butler, C. Automated Facial Coding: Validation of Basic Emotions and FACS AUs in FaceReader (vol 7, pg 227, 2014). J. Neurosci. Psychol. Econ. 2015, 8, 58–59. [Google Scholar]
- Orth, U.; Robins, R.W.; Roberts, B.W. Low self-esteem prospectively predicts depression in adolescence and young adulthood. J. Personal. Soc. Psychol. 2008, 95, 695–708. [Google Scholar] [CrossRef] [PubMed]
- Palosaari, U.K.; Aro, H.M. Parental divorce, self-esteem and depression: An intimate relationship as a protective factor in young adulthood. J. Affect. Disord. 1995, 35, 91. [Google Scholar] [CrossRef] [PubMed]
- Neff, K.D.; McGehee, P. Self-compassion and Psychological Resilience Among Adolescents and Young Adults. Self Identity 2010, 9, 225–240. [Google Scholar] [CrossRef]
- Cong, E.Z.; Wu, Y.; Cai, Y.Y.; Chen, H.Y.; Xu, Y.F. Association of suicidal ideation with family environment and psychological resilience in adolescents. Chin. J. Contemp. Pediatr. 2019, 21, 479–484. [Google Scholar]
- Heim, C.; Newport, D.J.; Mletzko, T.; Miller, A.H.; Nemeroff, C.B. The link between childhood trauma and depression: Insights from HPA axis studies in humans. Psychoneuroendocrinology 2008, 33, 693–710. [Google Scholar] [CrossRef]
- Harkness, K.L.; Bruce, A.E.; Lumley, M.N. The role of childhood abuse and neglect in the sensitization to stressful life events in adolescent depression. J. Abnorm. Psychol. 2006, 115, 730. [Google Scholar] [CrossRef]
- Pine, D.S.; Cohen, P.; Johnson, J.G.; Brook, J.S. Adolescent life events as predictors of adult depression. J. Affect. Disord. 2002, 68, 49–57. [Google Scholar] [CrossRef]
- Sirvanliozen, D. Effects of Marital Conflict on Adolescent Children. J. Divorce Remarriage 2004, 41, 137–157. [Google Scholar] [CrossRef]
- Mccoy, K.P. Early Childhood Exposure to Constructive and Destructive Marital Conflict and Adolescent Social Adjustment. Ph.D. Thesis, University of Notre Dame, Notre Dame, IN, USA, 2011. [Google Scholar]
- Stutzman, S.V.; Bean, R.A.; Miller, R.B.; Day, R.D.; Feinauer, L.L.; Porter, C.L.; Moore, A. Marital conflict and adolescent outcomes: A cross-ethnic group comparison of Latino and European American youth. Child. Youth Serv. Rev. 2011, 33, 663–668. [Google Scholar] [CrossRef]
- Vaez, E.; Indran, R.; Abdollahi, A.; Juhari, R.; Mansor, M. How marital relations affect child behavior: Review of recent research. Vulnerable Child. Youth Stud. 2015, 10, 321–336. [Google Scholar] [CrossRef]
- Nazir, S.; Saeed, S.; Sohail, M.M.; Sher, F.; Azhar, Z.; Safdar, M.R. Parental Conflict and its Effects on Youth Self Esteem (A Study At University of Punjab). Int. J. Asian Soc. Sci. 2012, 2, 1392–1400. [Google Scholar]
- Koschke, M.; Boettger, M.K.; Schulz, S.; Berger, S.; Terhaar, J.; Voss, A.; Yeragani, V.K.; Bär, K.J. Autonomy of Autonomic Dysfunction in Major Depression. Psychosom. Med. 2009, 71, 852–860. [Google Scholar] [CrossRef]
- Grippo, A.J.; Carter, C.S.; Purges, S.W. Social isolation induces depression-like behaviors and autonomic dysfunction in socially monogamous prairie voles. Faseb J. 2006, 20, A368. [Google Scholar] [CrossRef]
- Bajkó, Z.; Szekeres, C.C.; Kovács, K.R.; Csapó, K.; Molnár, S.; Soltész, P.; Nyitrai, E.; Magyar, M.T.; Oláh, L.; Bereczki, D.; et al. Anxiety, depression and autonomic nervous system dysfunction in hypertension. J. Neurol. Sci. 2012, 317, 112–116. [Google Scholar] [CrossRef]
- Mura, F.; Patron, E.; Benvenuti, S.M.; Gentili, C.; Ponchia, A.; Palomba, D. The Influence of Emotion Regulation on the Association Between Depression and Heart Rate Variability in Cardiac Patients. Psychosom. Med. 2022, 84, 702–710. [Google Scholar] [CrossRef]
- Sgoifo, A.; Carnevali, L.; Pico Alfonso MD, L.A.; Amore, M. Autonomic dysfunction and heart rate variability in depression. Stress-Int. J. Biol. Stress 2015, 18, 343–352. [Google Scholar] [CrossRef] [PubMed]
- Koenig, J.; Kemp, A.H.; Beauchaine, T.P.; Thayer, J.F.; Kaess, M. Depression and resting state heart rate variability in children and adolescents—A systematic review and meta-analysis. Clin. Psychol. Rev. 2016, 46, 136–150. [Google Scholar] [CrossRef]
- Strawbridge, R.; Young, A.H.; Cleare, A.J. Biomarkers for depression: Recent insights, current challenges and future prospects. Neuropsychiatr. Dis. Treat. 2017, 13, 1245–1262. [Google Scholar] [CrossRef]
- Hamilton, M. A rating scale for depression. J. Neurol. Neurosurg. Psychiatry 1960, 23, 56–62. [Google Scholar] [CrossRef] [PubMed]
- Hamilton, M. The assessment of anxiety states by rating. Br. J. Med. Psychol. 1959, 32, 50–55. [Google Scholar] [CrossRef] [PubMed]
- Hu, X.; Zhang, Y.; Liang, W. Reliability and validity of the patient health questionnaire-9 in Chinese adolescents. Sichuan Ment. Health 2014, 27, 357–360. [Google Scholar]
- Qu, S.; Sheng, L. Diagnostic test of generalized anxiety scale in screening generalized anxiety disorder in outpatient department of psychology department of general hospital. Chin. Ment. Health J. 2015, 29, 939–944. [Google Scholar]
- Si, T.; Shu, L.; Dang, W.; Su, Y.; Chen, J.; Dong, W.; Kong, Q.; Zhang, W. Clinical reliability and validity of the Chinese version of the Brief International Neuropsychiatric Interview. Chin. Ment. Health J. 2009, 23, 493–497. [Google Scholar]
- Li, R.; Xu, F.; Ji, L.; Zhang, W. Preliminary Revision of the Family Functioning Rating Scale. China J. Health Psychol. 2013, 21, 996–1000. [Google Scholar]
- Yang, J.; Kang, C.; Zhao, X. The Self-rating Inventory of Systematic Family Dynamics: Development, Reliability and Validity. Chin. J. Clin. Psychol. 2002, 10, 263–265. [Google Scholar]
- Yu, L.; Zhao, X.; Zeng, W.; Tan, J.; Yu, Y.; Zeng, J.; Wan, C. Reliability and validity analysis of the revised version of the Systematic Family Dynamics Self-evaluation Scale in the test of Guangdong students. Chin. J. Health Stat. 2014, 31, 979–981. [Google Scholar]
- Zhao, X.; Zhang, Y.; Li, L.; Zhou, Y.; Li, H.; Yang, S. Reliability and validity of the Chinese version of childhood trauma questionnaire. Chin. J. Clin. Rehabil. 2005, 9, 105–107. [Google Scholar]
- Tian, L. Shortcoming and Merits of Chinese Version of Rosenberg (1965) Self-Esteem Scale. Psychol. Explor. 2006, 26, 88–91. [Google Scholar]
- Gao, Z.; Yang, S.; Margraf, J.; Zhang, X. Wagnild-Young Reliability and Validity Test for Wagnild and Young’s Resilience Scale(RS-11) in Chinese. China J. Health Psychol. 2013, 21, 1324–1326. [Google Scholar]


| Variable | MDD (n = 33) | HC (n = 25) | F/χ2 | p |
|---|---|---|---|---|
| Gender | 0.052 | |||
| Female | 25 | 12 | ||
| Male | 8 | 13 | ||
| Age | 15.09 ± 1.74 | 15.16 ± 2.82 | 7.09 | 0.91 |
| Education Duration | 9.11 ± 1.78 | 9.24 ± 2.69 | 6.32 | 0.83 |
| Height/cm | 165.48 ± 6.87 | 166.84 ± 9.21 | 2.59 | 0.52 |
| Weight/kg | 59.06 ± 12.65 | 60.89 ± 17.98 | 1.30 | 0.65 |
| HAMD 1 | 21.14 ± 9.33 | 2.24 ± 3.06 | 16.91 | <0.001 |
| HAMA 2 | 21.53 ± 9.44 | 2.6 ± 3.39 | 10.85 | <0.001 |
| SES in China 3 | 7.68 | 0.26 | ||
| 2 | 1 | 0 | ||
| 3 | 5 | 0 | ||
| 4 | 5 | 4 | ||
| 5 | 10 | 7 | ||
| 6 | 8 | 8 | ||
| 7 | 3 | 6 | ||
| 8 | 1 | 0 |
| Variable | MDD (n = 33) | HC (n = 25) | F/χ2 | p |
|---|---|---|---|---|
| PHQ9 | 17.15 ± 5.93 | 3.32 ± 3.50 | 6.97 | <0.001 |
| GAD7 | 11.64 ± 5.81 | 2.80 ± 3.11 | 19.01 | <0.001 |
| SES | 20.91 ± 4.99 | 31.32 ± 6.01 | 0.76 | <0.001 |
| ASLEC | 28.64 ± 7.67 | 22.96 ± 6.54 | 1.28 | <0.01 |
| Interpersonal Stress | 13.58 ± 0.85 | 10.08 ± 0.67 | 7.05 | <0.01 |
| Learning Stress | 15.06 ± 0.76 | 12.88 ± 0.94 | 0.02 | 0.078 |
| CD_RISC | 37.09 ± 12.78 | 61.80 ± 16.14 | 0.27 | <0.001 |
| Resilience | 11.18 ± 0.91 | 19.32 ± 1.20 | 0.43 | <0.001 |
| Tolerating Negative Emotions | 10.00 ± 0.61 | 16.92 ± 0.92 | 0.15 | <0.001 |
| Accepting Positive Change | 7.52 ± 0.53 | 14.24 ± 0.71 | 0.48 | <0.001 |
| Psychological Impact | 4.06 ± 0.30 | 4.56 ± 0.31 | 0.35 | 0.258 |
| CTQ | 47.44 ± 15.02 | 36.38 ± 12.29 | 3.95 | <0.01 |
| Emotional Abuse | 12.38 ± 0.83 | 7.48 ± 0.60 | 11.14 | <0.001 |
| Physical Abuse | 8.52 ± 0.73 | 6.28 ± 0.51 | 6.39 | <0.05 |
| Sexual Abuse | 6.42 ± 0.33 | 5.88 ± 0.22 | 6.47 | 0.206 |
| Emotional Neglect | 12.55 ± 0.76 | 9.88 ± 1.06 | 0.05 | <0.05 |
| Physical Neglect | 7.61 ± 0.52 | 6.56 ± 0.54 | 0.61 | 0.175 |
| FAD | 32.45 ± 6.34 | 37.00 ± 5.25 | 1.73 | <0.01 |
| SSFD | 75.13 ± 14.32 | 83.08 ± 13.31 | 0.90 | <0.05 |
| FA_RS | 24.91 ± 1.18 | 27.68 ± 1.38 | 0.12 | 0.130 |
| IN_RS | 20.7 ± 0.76 | 21.96 ± 0.97 | 0.13 | 0.305 |
| SL_RS | 16.66 ± 0.73 | 19.84 ± 0.53 | 4.02 | <0.01 |
| DO_RS | 13.39 ± 0.31 | 13.60 ± 0.61 | 5.06 | 0.749 |
| Variable | MDD (n = 33) | HC (n = 25) | F/χ2 | p |
|---|---|---|---|---|
| B_Mean Heart Rate | 81.93 ± 1.90 | 73.08 ± 1.85 | 0.70 | <0.001 |
| B_RSA | 5.89 ± 0.22 | 6.62 ± 0.19 | 0.98 | <0.05 |
| B_Mean IBI | 745.10 ± 16.06 | 835.89 ± 21.86 | 0.45 | <0.001 |
| B_Respiration Rate | 16.81 ± 0.56 | 16.27 ± 0.6 | 0.00 | 0.512 |
| B_SDNN | 52.03 ± 4.11 | 72.95 ± 5.62 | 0.59 | <0.001 |
| B_AVNN | 745.10 ± 16.06 | 835.89 ± 21.86 | 0.45 | <0.001 |
| B_RMSSD | 42.04 ± 4.70 | 61.21 ± 6.43 | 1.13 | <0.05 |
| B_NN50 | 11.89 ± 1.98 | 21.09 ± 2.46 | 0.05 | <0.01 |
| B_pNN50 | 16.69 ± 2.87 | 31.52 ± 3.99 | 0.71 | <0.01 |
| B_Tonic SCL | 84.12 ± 11.25 | 80.08 ± 17.59 | 0.00 | 0.847 |
| B_Mean SC | 85.50 ± 11.50 | 80.77 ± 17.75 | 0.01 | 0.824 |
| B_Tonic Period | 41.77 ± 1.57 | 43.84 ± 1.62 | 0.20 | 0.371 |
| C_Mean Heart Rate | 85.49 ± 1.91 | 75.95 ± 1.69 | 2.69 | <0.001 |
| C_RSA | 5.81 ± 0.21 | 6.33 ± 0.17 | 1.95 | 0.068 |
| C_Mean IBI | 714.04 ± 15.67 | 802.85 ± 19.46 | 0.05 | <0.001 |
| C_Respiration Rate | 17.71 ± 0.48 | 17.53 ± 0.54 | 0.00 | 0.812 |
| C_SDNN | 54.47 ± 4.21 | 69.24 ± 4.75 | 0.01 | <0.05 |
| C_AVNN | 714.04 ± 15.67 | 802.85 ± 19.46 | 0.05 | <0.001 |
| C_RMSSD | 42.81 ± 4.83 | 54.06 ± 5.12 | 0.02 | 0.116 |
| C_NN50 | 11.04 ± 1.84 | 17.80 ± 2.20 | 0.11 | <0.05 |
| C_pNN50 | 14.66 ± 2.61 | 26.03 ± 3.71 | 1.21 | <0.05 |
| C_Tonic SCL | 137.75 ± 14.12 | 145.61 ± 27.40 | 0.08 | 0.786 |
| C_Mean SC | 139.88 ± 14.36 | 147.77 ± 27.68 | 0.07 | 0.788 |
| C_Tonic Period | 32.82 ± 1.08 | 36.56 ± 1.16 | 0.27 | <0.05 |
| Variable | MDD (n = 18) | HC (n = 19) | F/χ2 | p |
| Gender | 0.313 | |||
| Female | 13 | 10 | ||
| Male | 5 | 9 | ||
| SES in China | 7.88 | 0.25 | ||
| 2 | 1 | 0 | ||
| 3 | 4 | 0 | ||
| 4 | 1 | 2 | ||
| 5 | 4 | 7 | ||
| 6 | 5 | 6 | ||
| 7 | 2 | 4 | ||
| 8 | 1 | 0 | ||
| AGE | 14.72 ± 0.30 | 15.32 ± 0.66 | 7.38 | 0.426 |
| Education Duration | 8.61 ± 0.33 | 9.42 ± 0.63 | 6.22 | 0.268 |
| Height/cm | 164.39 ± 1.67 | 166.74 ± 2.24 | 2.33 | 0.410 |
| Weight/kg | 62.44 ± 3.47 | 55.97 ± 2.95 | 0.30 | 0.163 |
| HAMA | 22.11 ± 2.54 | 2.21 ± 0.79 | 7.18 | p < 0.001 |
| HAMD | 23.06 ± 2.33 | 1.68 ± 0.61 | 15.15 | p < 0.001 |
| PHQ-9 | 17.28 ± 1.45 | 2.42 ± 0.59 | 13.71 | p < 0.001 |
| GAD-7 | 11.61 ± 1.46 | 2.68 ± 0.73 | 17.40 | p < 0.001 |
| Neutral | 78.94 ± 10.03 | 72.21 ± 9.47 | 0.28 | 0.628 |
| Happy | 7.06 ± 2.04 | 28.58 ± 7.26 | 17.59 | p < 0.01 |
| Sad | 23.22 ± 6.91 | 21.47 ± 5.03 | 0.64 | 0.838 |
| Angry | 13.61 ± 5.52 | 4.11 ± 1.74 | 14.53 | 0.102 |
| Surprise | 14.94 ± 5.43 | 8.74 ± 2.53 | 7.05 | 0.299 |
| Fear | 2.72 ± 2.04 | 0.32 ± 0.32 | 3.87 | 0.239 |
| Disgust | 6.33 ± 1.96 | 6.37 ± 3.93 | 0.95 | 0.994 |
| Contempt | 2.28 ± 1.32 | 0.21 ± 0.21 | 10.13 | 0.120 |
| Unknown | 45.67 ± 6.77 | 40.37 ± 6.63 | 0.00 | 0.580 |
| 1 | 2 | 3 | 4 | 5 | 6 | 7 | 8 | 9 | 10 | 11 | 12 | 13 | |
|---|---|---|---|---|---|---|---|---|---|---|---|---|---|
| 1.HAMD | 1 | ||||||||||||
| 2.HAMA | 0.839 ** | 1 | |||||||||||
| 3.PHQ9 | 0.816 ** | 0.835 ** | 1 | ||||||||||
| 4.GAD7 | 0.754 ** | 0.777 ** | 0.885 ** | 1 | |||||||||
| 5.B_Mean Heart Rate | 0.251 | 0.261 * | 0.322 * | 0.101 | 1 | ||||||||
| 6.B_RSA | −0.329 * | −0.223 | −0.250 | −0.119 | −0.660 ** | 1 | |||||||
| 7.B_Mean IBI | −0.286 * | −0.289 * | −0.340 ** | −0.136 | −0.980 ** | 0.659 ** | 1 | ||||||
| 8.B_Respiration Rate | 0.154 | 0.093 | 0.058 | 0.004 | 0.164 | −0.522 ** | −0.157 | 1 | |||||
| 9.B_SDNN | −0.358 ** | −0.241 | −0.273 * | −0.177 | −0.567 ** | 0.848 ** | 0.606 ** | −0.443 ** | 1 | ||||
| 10.B_AVNN | −0.286 * | −0.289 * | −0.340 ** | −0.136 | −0.980 ** | 0.659 ** | 1.000 ** | −0.157 | 0.606 ** | 1 | |||
| 11.B_RMSSD | −0.287 * | −0.203 | −0.219 | −0.096 | −0.609 ** | 0.856 ** | 0.644 ** | −0.277 * | 0.879 ** | 0.644 ** | 1 | ||
| 12.B_NN50 | −0.360 ** | −0.376 ** | −0.353 ** | −0.218 | −0.601 ** | 0.799 ** | 0.608 ** | −0.160 | 0.754 ** | 0.608 ** | 0.851 ** | 1 | |
| 13.B_pNN50 | −0.368 ** | −0.380 ** | −0.369 ** | −0.221 | −0.674 ** | 0.798 ** | 0.704 ** | −0.150 | 0.772 ** | 0.704 ** | 0.868 ** | 0.983 ** | 1 |
| N | 58.00 | 58.00 | 58.00 | 58.00 | 58.00 | 58.00 | 58.00 | 58.00 | 58.00 | 58.00 | 58.00 | 58.00 | 58.00 |
| M | 12.99 | 13.37 | 11.19 | 7.83 | 78.12 | 6.21 | 784.23 | 16.58 | 61.05 | 784.23 | 50.30 | 15.86 | 23.08 |
| SD | 11.91 | 12.01 | 8.52 | 6.52 | 11.06 | 1.20 | 108.94 | 3.10 | 27.46 | 108.94 | 30.59 | 12.54 | 19.37 |
| Min | 0.00 | 0.00 | 0.00 | 0.00 | 54.25 | 2.60 | 566.48 | 9.83 | 18.94 | 566.48 | 10.09 | 0.00 | 0.00 |
| Max | 47.00 | 48.00 | 26.00 | 20.00 | 106.13 | 8.38 | 1113.23 | 26.45 | 152.72 | 1113.23 | 139.15 | 42.90 | 71.07 |
Disclaimer/Publisher’s Note: The statements, opinions and data contained in all publications are solely those of the individual author(s) and contributor(s) and not of MDPI and/or the editor(s). MDPI and/or the editor(s) disclaim responsibility for any injury to people or property resulting from any ideas, methods, instructions or products referred to in the content. |
© 2023 by the authors. Licensee MDPI, Basel, Switzerland. This article is an open access article distributed under the terms and conditions of the Creative Commons Attribution (CC BY) license (https://creativecommons.org/licenses/by/4.0/).
Share and Cite
Wei, Z.; Yan, C.; Cui, L.; Zhao, X.; Liu, L. Physiological Responses during Parental Conflicts as Potential Biomarkers for Adolescent Depression. Children 2023, 10, 1195. https://doi.org/10.3390/children10071195
Wei Z, Yan C, Cui L, Zhao X, Liu L. Physiological Responses during Parental Conflicts as Potential Biomarkers for Adolescent Depression. Children. 2023; 10(7):1195. https://doi.org/10.3390/children10071195
Chicago/Turabian StyleWei, Zegao, Chao Yan, Lixian Cui, Xudong Zhao, and Liang Liu. 2023. "Physiological Responses during Parental Conflicts as Potential Biomarkers for Adolescent Depression" Children 10, no. 7: 1195. https://doi.org/10.3390/children10071195
APA StyleWei, Z., Yan, C., Cui, L., Zhao, X., & Liu, L. (2023). Physiological Responses during Parental Conflicts as Potential Biomarkers for Adolescent Depression. Children, 10(7), 1195. https://doi.org/10.3390/children10071195
