Upper Limb Changes in DMD Patients Amenable to Skipping Exons 44, 45, 51 and 53: A 24-Month Study
Abstract
1. Introduction
2. Material and Methods
2.1. Cohort Selection and Dataset Definition
2.2. PUL 2.0
2.3. Statistical Analysis
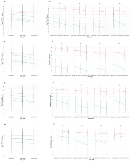
3. Results
3.1. PUL 2.0
3.2. Exon Skipping Class
4. Discussion
Supplementary Materials
Author Contributions
Funding
Institutional Review Board Statement
Informed Consent Statement
Data Availability Statement
Acknowledgments
Conflicts of Interest
References
- Pane, M.; Mazzone, E.S.; Sivo, S.; Sormani, M.P.; Messina, S.; D’Amico, A.; Carlesi, A.; Vita, G.; Fanelli, L.; Berardinelli, A.; et al. Long term natural history data in ambulant boys with Duchenne muscular dystrophy: 36-month changes. PLoS ONE 2014, 9, e108205. [Google Scholar] [CrossRef]
- Ricotti, V.; Ridout, D.A.; Pane, M.; Main, M.; Mayhew, A.; Mercuri, E.; Manzur, A.Y.; Muntoni, F. The NorthStar Ambulatory Assessment in Duchenne muscular dystrophy: Considerations for the design of clinical trials. J. Neurol. Neurosurg. Psychiatry 2016, 87, 149–155. [Google Scholar] [CrossRef]
- McDonald, C.M.; Henricson, E.K.; Abresch, R.T.; Duong, T.; Joyce, N.C.; Hu, F.; Clemens, P.R.; Hoffman, E.P.; Cnaan, A.; Gordish-Dressman, H.; et al. Long-term effects of glucocorticoids on function, quality of life, and survival in patients with Duchenne muscular dystrophy: A prospective cohort study. Lancet 2018, 391, 451–461. [Google Scholar] [CrossRef]
- Goemans, N.; van den Hauwe, M.; Wilson, R.; van Impe, A.; Klingels, K.; Buyse, G. Ambulatory capacity and disease progression as measured by the 6-minute-walk-distance in Duchenne muscular dystrophy subjects on daily corticosteroids. Neuromuscul. Disord. 2013, 23, 618–623. [Google Scholar] [CrossRef] [PubMed]
- Goemans, N.; Vanden Hauwe, M.; Signorovitch, J.; Swallow, E.; Song, J. Collaborative Trajectory Analysis P. Individualized Prediction of Changes in 6-Minute Walk Distance for Patients with Duchenne Muscular Dystrophy. PLoS ONE 2016, 11, e0164684. [Google Scholar] [CrossRef] [PubMed]
- Mazzone, E.; Vasco, G.; Sormani, M.P.; Torrente, Y.; Berardinelli, A.; Messina, S.; D’Amico, A.; Doglio, L.; Politano, L.; Cavallaro, F.; et al. Functional changes in Duchenne muscular dystrophy: A 12-month longitudinal cohort study. Neurology 2011, 77, 250–256. [Google Scholar] [CrossRef] [PubMed]
- Khan, N.; Eliopoulos, H.; Han, L.; Kinane, T.B.; Lowes, L.P.; Mendell, J.R.; Gordish-Dressman, H.; Henricson, E.K.; McDonald, C.M.; Eteplirsen, I.; et al. Eteplirsen Treatment Attenuates Respiratory Decline in Ambulatory and Non-Ambulatory Patients with Duchenne Muscular Dystrophy. J. Neuromuscul. Dis. 2019, 6, 213–225. [Google Scholar] [CrossRef] [PubMed]
- McDonald, C.M.; Shieh, P.B.; Abdel-Hamid, H.Z.; Connolly, A.M.; Ciafaloni, E.; Wagner, K.R.; Goemans, N.; Mercuri, E.; Khan, N.; Koenig, E.; et al. Open-Label Evaluation of Eteplirsen in Patients with Duchenne Muscular Dystrophy Amenable to Exon 51 Skipping: PROMOVI Trial. J. Neuromuscul. Dis. 2021, 8, 989–1001. [Google Scholar] [CrossRef]
- Mendell, J.R.; Goemans, N.; Lowes, L.P.; Alfano, L.N.; Berry, K.; Shao, J.; Kaye, E.M.; Mercuri, E.; Eteplirsen Study Group and Telethon Foundation DMD Italian Network. Longitudinal effect of eteplirsen versus historical control on ambulation in Duchenne muscular dystrophy. Ann. Neurol. 2016, 79, 257–271. [Google Scholar] [CrossRef]
- Servais, L.; Montus, M.; Guiner, C.L.; Ben Yaou, R.; Annoussamy, M.; Moraux, A.; Hogrel, J.Y.; Seferian, A.M.; Zehrouni, K.; Le Moing, A.G.; et al. Non-Ambulant Duchenne Patients Theoretically Treatable by Exon 53 Skipping have Severe Phenotype. J. Neuromuscul. Dis. 2015, 2, 269–279. [Google Scholar] [CrossRef]
- Frank, D.E.; Schnell, F.J.; Akana, C.; El-Husayni, S.H.; Desjardins, C.A.; Morgan, J.; Charleston, J.S.; Sardone, V.; Domingos, J.; Dickson, G.; et al. Increased dystrophin production with golodirsen in patients with Duchenne muscular dystrophy. Neurology 2020, 94, e2270–e2282. [Google Scholar] [CrossRef]
- Servais, L.; Mercuri, E.; Straub, V.; Guglieri, M.; Seferian, A.M.; Scoto, M.; Leone, D.; Koenig, E.; Khan, N.; Dugar, A.; et al. Long-Term Safety and Efficacy Data of Golodirsen in Ambulatory Patients with Duchenne Muscular Dystrophy Amenable to Exon 53 Skipping: A First-in-human, Multicenter, Two-Part, Open-Label, Phase 1/2 Trial. Nucleic Acid Ther. 2022, 32, 29–39. [Google Scholar] [CrossRef]
- Clemens, P.R.; Rao, V.K.; Connolly, A.M.; Harper, A.D.; Mah, J.K.; McDonald, C.M.; Smith, E.C.; Zaidman, C.M.; Nakagawa, T.; CINRG DNHS Investigators; et al. Long-Term Functional Efficacy and Safety of Viltolarsen in Patients with Duchenne Muscular Dystrophy. J. Neuromuscul. Dis. 2022, 9, 493–501. [Google Scholar] [CrossRef]
- Clemens, P.R.; Rao, V.K.; Connolly, A.M.; Harper, A.D.; Mah, J.K.; Smith, E.C.; McDonald, C.M.; Zaidman, C.M.; Morgenroth, L.P.; Osaki, H.; et al. Safety, Tolerability, and Efficacy of Viltolarsen in Boys With Duchenne Muscular Dystrophy Amenable to Exon 53 Skipping: A Phase 2 Randomized Clinical Trial. JAMA Neurol. 2020, 77, 982–991. [Google Scholar] [CrossRef] [PubMed]
- Brogna, C.; Coratti, G.; Pane, M.; Ricotti, V.; Messina, S.; D’Amico, A.; Bruno, C.; Vita, G.; Berardinelli, A.; Mazzone, E.; et al. Long-term natural history data in Duchenne muscular dystrophy ambulant patients with mutations amenable to skip exons 44, 45, 51 and 53. PLoS ONE 2019, 14, e0218683. [Google Scholar]
- Coratti, G.; Pane, M.; Brogna, C.; Ricotti, V.; Messina, S.; D’Amico, A.; Bruno, C.; Vita, G.; Berardinelli, A.; Mazzone, E.; et al. North Star Ambulatory Assessment changes in ambulant Duchenne boys amenable to skip exons 44, 45, 51, and 53: A 3 year follow up. PLoS ONE 2021, 16, e0253882. [Google Scholar] [CrossRef]
- Bello, L.; D’Angelo, G.; Villa, M.; Fusto, A.; Vianello, S.; Merlo, B.; Sabbatini, D.; Barp, A.; Gandossini, S.; Magri, F.; et al. Genetic modifiers of respiratory function in Duchenne muscular dystrophy. Ann. Clin. Transl. Neurol. 2020, 7, 786–798. [Google Scholar] [CrossRef] [PubMed]
- McDonald, C.M.; Henricson, E.K.; Abresch, R.T.; Florence, J.M.; Eagle, M.; Gappmaier, E.; Glanzman, A.M.; Spiegel, R.; Barth, J.; Elfring, G.; et al. The 6-minute walk test and other endpoints in Duchenne muscular dystrophy: Longitudinal natural history observations over 48 weeks from a multicenter study. Muscle Nerve 2013, 48, 343–356. [Google Scholar] [CrossRef]
- Mayhew, A.; Mazzone, E.S.; Eagle, M.; Duong, T.; Ash, M.; Decostre, V.; Vandenhauwe, M.; Klingels, K.; Florence, J.; Main, M.; et al. Development of the Performance of the Upper Limb module for Duchenne muscular dystrophy. Dev. Med. Child Neurol. 2013, 55, 1038–1045. [Google Scholar] [CrossRef]
- Pane, M.; Coratti, G.; Brogna, C.; Mazzone, E.S.; Mayhew, A.; Fanelli, L.; Messina, S.; D’Amico, A.; Catteruccia, M.; Scutifero, M.; et al. Upper limb function in Duchenne muscular dystrophy: 24 month longitudinal data. PLoS ONE 2018, 13, e0199223. [Google Scholar] [CrossRef]
- Ricotti, V.; Selby, V.; Ridout, D.; Domingos, J.; Decostre, V.; Mayhew, A.; Eagle, M.; Butler, J.; Guglieri, M.; Van der Holst, M.; et al. Respiratory and upper limb function as outcome measures in ambulant and non-ambulant subjects with Duchenne muscular dystrophy: A prospective multicentre study. Neuromuscul. Disord. 2019, 29, 261–268. [Google Scholar] [CrossRef] [PubMed]
- Lilien, C.; Reyngoudt, H.; Seferian, A.M.; Gidaro, T.; Annoussamy, M.; Che, V.; Decostre, V.; Ledoux, I.; Le Louer, J.; Guemas, E.; et al. Upper limb disease evolution in exon 53 skipping eligible patients with Duchenne muscular dystrophy. Ann. Clin. Transl. Neurol. 2021, 8, 1938–1950. [Google Scholar] [CrossRef] [PubMed]
- Sabbatini, D.; Fusto, A.; Vianello, S.; Villa, M.; Janik, J.; D’Angelo, G.; Diella, E.; Magri, F.; Comi, G.P.; Panicucci, C.; et al. Genetic modifiers of upper limb function in Duchenne muscular dystrophy. J. Neurol. 2022, 269, 4884–4894. [Google Scholar] [CrossRef]
- Bello, L.; Morgenroth, L.P.; Gordish-Dressman, H.; Hoffman, E.P.; McDonald, C.M.; Cirak, S. DMD genotypes and loss of ambulation in the CINRG Duchenne Natural History Study. Neurology 2016, 87, 401–409. [Google Scholar] [CrossRef]
- Anthony, K.; Arechavala-Gomeza, V.; Ricotti, V.; Torelli, S.; Feng, L.; Janghra, N.; Tasca, G.; Guglieri, M.; Barresi, R.; Armaroli, A.; et al. Biochemical characterization of patients with in-frame or out-of-frame DMD deletions pertinent to exon 44 or 45 skipping. JAMA Neurol. 2014, 71, 32–34. [Google Scholar] [CrossRef]
- Bello, L.; Kesari, A.; Gordish-Dressman, H.; Cnaan, A.; Morgenroth, L.P.; Punetha, J.; Duong, T.; Henricson, E.K.; Pegoraro, E.; McDonald, C.M.; et al. Genetic modifiers of ambulation in the Cooperative International Neuromuscular Research Group Duchenne Natural History Study. Ann Neurol. 2015, 77, 684–696. [Google Scholar] [CrossRef]
- Muntoni, F.; Signorovitch, J.; Sajeev, G.; Lane, H.; Jenkins, M.; Dieye, I.; Ward, S.J.; McDonald, C.; Goemans, N.; Niks, E.H.; et al. DMD Genotypes and Motor Function in Duchenne Muscular Dystrophy: A Multi-institution Meta-analysis With Implications for Clinical Trials. Neurology 2023, 100, e1540–e1554. [Google Scholar] [CrossRef] [PubMed]
- Mercuri, E.; Muntoni, F.; Osorio, A.N.; Tulinius, M.; Buccella, F.; Morgenroth, L.P.; Gordish-Dressman, H.; Jiang, J.; Trifillis, P.; Zhu, J.; et al. Safety and effectiveness of ataluren: Comparison of results from the STRIDE Registry and CINRG DMD Natural History Study. J. Comp. Eff. Res. 2020, 9, 341–360. [Google Scholar] [CrossRef]
- Goemans, N.; Signorovitch, J.; Sajeev, G.; Yao, Z.; Gordish-Dressman, H.; McDonald, C.M.; Vandenborne, K.; Miller, D.; Ward, S.J.; Mercuri, E.; et al. Suitability of external controls for drug evaluation in Duchenne muscular dystrophy. Neurology 2020, 95, e1381–e1391. [Google Scholar] [CrossRef]


| 44 (N = 66 *) | 45 (N = 59 *) | 51 (N = 103 *) | 53 (N = 76 *) | Other Deletions ° (N = 267 *) | ||
|---|---|---|---|---|---|---|
| BASELINE | Age | |||||
| Mean (SD) | 12.2 (6.20) | 10.3 (4.34) | 12.5 (4.96) | 13.7 (5.93) | 12.6 (5.86) | |
| Median [Min, Max] | 10.2 [3.81, 26.5] | 9.49 [3.80, 25.3] | 11.2 [4.59, 25.7] | 13.0 [4.12, 24.8] | 11.4 [3.59, 28.1] | |
| TRANSITIONING | ||||||
| NO | 62 (93.9%) | 54 (91.5%) | 86 (83.5%) | 62 (81.6%) | 236 (88.4%) | |
| YES | 4 (6.1%) | 5 (8.5%) | 17 (16.5%) | 14 (18.4%) | 31 (11.6%) | |
| TOTAL PUL 2.0 | ||||||
| Mean (SD) | 35.6 (8.69) | 32.9 (10.7) | 26.9 (11.8) | 29.4 (10.2) | 30.3 (12.1) | |
| Median [Min, Max] | 39.5 [8.00, 42.0] | 38.0 [3.00, 42.0] | 30.0 [3.00, 42.0] | 33.0 [10.0, 42.0] | 36.0 [0, 42.0] | |
| 12 MONTH changes | TOTAL PUL 2.0 | |||||
| Mean (SD) | −0.674 (2.80) | −1.15 (3.98) | −1.46 (3.37) | −1.95 (4.04) | −1.39 (3.19) | |
| Median [Min, Max] | 0 [−12.0, 5.00] | 0 [−17.0, 11.0] | −1.00 [−13.0, 8.00] | −2.00 [−19.0, 8.00] | −1.00 [−14.0, 7.00] | |
| SHOULDER PUL 2.0 | ||||||
| Mean (SD) | −0.288 (1.54) | −0.525 (2.26) | −0.626 (1.84) | −0.921 (2.16) | −0.569 (1.99) | |
| Median [Min, Max] | 0 [−5.00, 3.00] | 0 [−8.00, 6.00] | 0 [−6.00, 4.00] | 0 [−9.00, 6.00] | 0 [−10.0, 6.00] | |
| ELBOW PUL 2.0 | ||||||
| Mean (SD) | −0.394 (1.27) | −0.492 (1.76) | −0.718 (1.84) | −0.961 (2.10) | −0.710 (1.68) | |
| Median [Min, Max] | 0 [−6.00, 1.00] | 0 [−8.00, 4.00] | 0 [−7.00, 5.00] | 0 [−10.0, 3.00] | 0 [−7.00, 3.00] | |
| DISTAL PUL 2.0 | ||||||
| Mean (SD) | 0.00758 (0.825) | −0.136 (1.18) | −0.112 (1.08) | −0.0658 (1.06) | −0.114 (1.03) | |
| Median [Min, Max] | 0 [−4.00, 2.00] | 0 [−3.00, 5.00] | 0 [−3.00, 3.00] | 0 [−4.00, 3.00] | 0 [−4.00, 3.00] | |
| 24 MONTH changes | TOTAL PUL 2.0 | |||||
| Mean (SD) | −1.47 (3.73) | −2.78 (5.86) | −2.95 (4.56) | −4.53 (6.13) | −3.08 (4.59) | |
| Median [Min, Max] | 0 [−13.0, 5.00] | −1.00 [−18.0, 11.0] | −3.00 [−16.0, 8.00] | −4.00 [−25.0, 11.0] | −2.00 [−18.0, 9.00] | |
| SHOULDER PUL 2.0 | ||||||
| Mean (SD) | −0.652 (1.98) | −1.58 (3.41) | −1.21 (2.60) | −2.05 (3.11) | −1.36 (2.80) | |
| Median [Min, Max] | 0 [−8.00, 3.00] | 0 [−9.00, 6.00] | 0 [−9.00, 5.00] | 0 [−11.0, 4.00] | 0 [−12.0, 5.00] | |
| ELBOW PUL 2.0 | ||||||
| Mean (SD) | −0.773 (1.74) | −0.932 (2.38) | −1.44 (2.38) | −2.14 (3.21) | −1.31 (2.16) | |
| Median [Min, Max] | 0 [−6.00, 1.00] | 0 [−8.00, 4.00] | −1.00 [−8.00, 4.00] | −2.00 [−12.0, 6.00] | 0 [−10.0, 3.00] | |
| DISTAL PUL 2.0 | ||||||
| Mean (SD) | −0.0455 (1.12) | −0.271 (1.45) | −0.301 (1.41) | −0.329 (1.52) | −0.412 (1.35) | |
| Median [Min, Max] | 0 [−6.00, 2.00] | 0 [−4.00, 5.00] | 0 [−4.00, 4.00] | 0 [−6.00, 6.00] | 0 [−6.00, 4.00] |
Disclaimer/Publisher’s Note: The statements, opinions and data contained in all publications are solely those of the individual author(s) and contributor(s) and not of MDPI and/or the editor(s). MDPI and/or the editor(s) disclaim responsibility for any injury to people or property resulting from any ideas, methods, instructions or products referred to in the content. |
© 2023 by the authors. Licensee MDPI, Basel, Switzerland. This article is an open access article distributed under the terms and conditions of the Creative Commons Attribution (CC BY) license (https://creativecommons.org/licenses/by/4.0/).
Share and Cite
Brogna, C.; Pane, M.; Coratti, G.; D’Amico, A.; Pegoraro, E.; Bello, L.; Sansone, V.A.M.; Albamonte, E.; Messina, S.; Pini, A.; et al. Upper Limb Changes in DMD Patients Amenable to Skipping Exons 44, 45, 51 and 53: A 24-Month Study. Children 2023, 10, 746. https://doi.org/10.3390/children10040746
Brogna C, Pane M, Coratti G, D’Amico A, Pegoraro E, Bello L, Sansone VAM, Albamonte E, Messina S, Pini A, et al. Upper Limb Changes in DMD Patients Amenable to Skipping Exons 44, 45, 51 and 53: A 24-Month Study. Children. 2023; 10(4):746. https://doi.org/10.3390/children10040746
Chicago/Turabian StyleBrogna, Claudia, Marika Pane, Giorgia Coratti, Adele D’Amico, Elena Pegoraro, Luca Bello, Valeria Ada Maria Sansone, Emilio Albamonte, Sonia Messina, Antonella Pini, and et al. 2023. "Upper Limb Changes in DMD Patients Amenable to Skipping Exons 44, 45, 51 and 53: A 24-Month Study" Children 10, no. 4: 746. https://doi.org/10.3390/children10040746
APA StyleBrogna, C., Pane, M., Coratti, G., D’Amico, A., Pegoraro, E., Bello, L., Sansone, V. A. M., Albamonte, E., Messina, S., Pini, A., D’Angelo, M. G., Bruno, C., Mongini, T., Ricci, F. S., Berardinelli, A., Battini, R., Masson, R., Bertini, E. S., Politano, L., ... Italian DMD Group. (2023). Upper Limb Changes in DMD Patients Amenable to Skipping Exons 44, 45, 51 and 53: A 24-Month Study. Children, 10(4), 746. https://doi.org/10.3390/children10040746

