Post-Treatment with Amorfrutin B Evokes PPARγ-Mediated Neuroprotection against Hypoxia and Ischemia
Abstract
1. Introduction
2. Materials and Methods
2.1. Materials
2.1.1. Primary Neuronal Cell Cultures
2.1.2. Experimental Models
Hypoxia
Ischemia
2.1.3. Treatment
Co-Treatment
Post-Treatment
2.1.4. Measurement of LDH Activity
2.1.5. Assessment of Cell Metabolic Activity
2.1.6. Measurement of the Degenerating Neurons
2.1.7. Measurement of ROS Formation
2.1.8. Estimation of DNA/RNA Oxidative Damage
2.1.9. PPARγ Antagonist
2.1.10. Silencing of Pparg Using Small Interfering RNA (siRNA)
2.1.11. qPCR Analysis of mRNAs Specific to Genes Encoding Hif1a, Pparg, Pgc1a, and Adipoq
2.1.12. Enzyme-Linked Immunosorbent Assays for PPARγ, PGC1α and ADIPOQ
2.1.13. Western Blot Analysis
2.1.14. Immunofluorescence Staining of PPARγ and MAP2
2.1.15. Analyses of DNA Methylation
Global DNA Methylation
The Pparg Gene Specific Methylation
2.1.16. Estimation of Histone Deacetylase and Acetyltransferase Activities
Histone Deacetylase (HDAC) Activity
Sirtuins Activity
2.1.17. Estimation of Histone Acetyltransferase (HAT) Activity
2.2. Data Analysis
3. Results
3.1. The Effects of Amorfrutin B on Hypoxia- and Ischemia-Induced Lactate Dehydrogenase (LDH) Release in Neocortical Cell Cultures
3.2. The Effects of Amorfrutin B on the Viability and the Degeneration of the Neuronal Cells
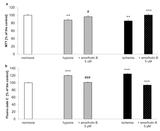
3.2.1. The Impact of Amorfrutin B on the Viability of Neuronal Cells under Hypoxic and Ischemic Conditions
3.2.2. Amorfrutin B Reduced the Degeneration of Neuronal Cells Caused by Hypoxia and Ischemia
3.3. The Effects of Amorfrutin B on the Oxidative Stress
3.3.1. The Effects of Amorfrutin B on ROS Formation under Hypoxic and Ischemic Conditions
3.3.2. Hypoxia and Ischemia Caused DNA/RNA Oxidative Damage, Which Was Reduced by Amorfrutin B
3.4. Influence of PPARγ Antagonist on the Effect of Amorfrutin B in Neuronal Cells Exposed to Hypoxia and Ischemia
3.5. Effect of Amorfrutin B on Hypoxia- and Ischemia-Induced LDH Release in Pparg siRNA-Transfected Neocortical Cells
3.6. Effects of Amorfrutin B on the mRNA Expression Levels of Hif1a, Pparg, Pgc1a, and Adipoq in Models of Hypoxia and Ischemia
3.7. Effects of Amorfrutin B on the Protein Expression Levels of HIF1α, PPARγ, PGC1α, and ADIPOQ in Models of Hypoxia and Ischemia
3.8. Confocal Microscopic Analysis of PPARγ and MAP2 Localization in Neuronal Cells
3.9. Impact of Amorfrutin B on DNA Methylation under Hypoxic and Ischemic Conditions
3.9.1. Global DNA Methylation
3.9.2. The Pparg Gene Specific Methylation
3.10. Histone Deacetylase and Histone Acetyltransferase Activities in a Model of Hypoxia or Ischemia and the Response to Amorfrutin B
3.10.1. HDAC Activity
3.10.2. Sirtuins Activity
3.10.3. HAT Activity
4. Discussion
5. Conclusions
Supplementary Materials
Author Contributions
Funding
Institutional Review Board Statement
Informed Consent Statement
Data Availability Statement
Acknowledgments
Conflicts of Interest
Abbreviations
| 8-OHdG | 8-hydroxy-2′-deoxyguanosine |
| ADIPOQ/Adipoq | Adiponectin |
| Ct | Threshold cycle |
| DIV | Days in vitro |
| GW9662 | 2-Chloro-5-nitro-N-phenylbenzamide; irreversible PPARγ antagonist |
| HAT | Histone acetyltransferase |
| HDAC | Histone Deacetylase |
| HIF1α/Hif1a | hypoxia-inducible factor 1alpha |
| MAP2 | Microtubule-associated protein 2 |
| MCAO | Middle carotid artery occlusion |
| MTT | 3-(4,5-dimethylthiazol-2-yl)-2,5-diphenyltetrazolium bromide |
| PGC1α/Pgc1a | Peroxisome proliferator-activated receptor gamma coactivator 1alpha |
| PPARγ/Pparg | Peroxisome proliferator-activated receptor gamma |
| rt-PA | Recombinant tissue plasminogen activator |
| RX | Retinoid X receptor |
| SPPARγMs | Selective PPARγ modulators |
References
- World Health Organization. Stroke, Cerebrovascular Accident. Available online: https://www.emro.who.int/health-topics/stroke-cerebrovascular-accident/index.html (accessed on 20 July 2021).
- Frendl, A.; Csiba, L. Pharmacological and Non-Pharmacological Recanalization Strategies in Acute Ischemic Stroke. Front. Neurol. 2011, 2, 32. [Google Scholar] [CrossRef]
- Miller, D.J.; Simpson, J.R.; Silver, B. Safety of Thrombolysis in Acute Ischemic Stroke: A Review of Complications, Risk Factors, and Newer Technologies. Neurohospitalist 2011, 1, 138–147. [Google Scholar] [CrossRef]
- Slowik, A. New perspectives for acute stroke treatment: The role of mechanical thrombectomy. Adv. Interv. Cardiol. 2014, 10, 145–146. [Google Scholar] [CrossRef]
- Kurinczuk, J.J.; White-Koning, M.; Badawi, N. Epidemiology of neonatal encephalopathy and hypoxic–ischaemic encephalopathy. Early Hum. Dev. 2010, 86, 329–338. [Google Scholar] [CrossRef]
- Zubčević, S.; Heljić, S.; Catibusić, F.; Užičanin, S.; Sadiković, M.; Krdzalic, B. Neurodevelopmental Follow Up After Therapeutic Hypothermia for Perinatal Asphyxia. Med. Arch. 2015, 69, 362–366. [Google Scholar] [CrossRef] [PubMed]
- DeRosa, G.; Sahebkar, A.; Maffioli, P. The role of various peroxisome proliferator-activated receptors and their ligands in clinical practice. J. Cell. Physiol. 2018, 233, 153–161. [Google Scholar] [CrossRef] [PubMed]
- Villapol, S. Roles of Peroxisome Proliferator-Activated Receptor Gamma on Brain and Peripheral Inflammation. Cell. Mol. Neurobiol. 2018, 38, 121–132. [Google Scholar] [CrossRef]
- Kernan, W.N.; Viscoli, C.M.; Furie, K.L.; Young, L.H.; Inzucchi, S.E.; Gorman, M.; Guarino, P.D.; Lovejoy, A.M.; Peduzzi, P.N.; Conwit, R.; et al. Pioglitazone after Ischemic Stroke or Transient Ischemic Attack. N. Engl. J. Med. 2016, 374, 1321–1331. [Google Scholar] [CrossRef]
- Cardoso, S.; Moreira, P.I. Antidiabetic drugs for Alzheimer’s and Parkinson’s diseases: Repurposing insulin, metformin, and thiazolidinediones. Int. Rev. Neurobiol. 2020, 155, 37–64. [Google Scholar] [CrossRef] [PubMed]
- Nanjan, M.; Mohammed, M.; Kumar, B.P.; Chandrasekar, M. Thiazolidinediones as antidiabetic agents: A critical review. Bioorg. Chem. 2018, 77, 548–567. [Google Scholar] [CrossRef]
- Chen, Y.; Ma, H.; Zhu, D.; Zhao, G.; Wang, L.; Fu, X.; Chen, W. Discovery of Novel Insulin Sensitizers: Promising Approaches and Targets. PPAR Res. 2017, 2017, 1–13. [Google Scholar] [CrossRef]
- Weidner, C.; Wowro, S.J.; Freiwald, A.; Kawamoto, K.; Witzke, A.; Kliem, M.; Siems, K.; Müller-Kuhrt, L.; Schroeder, F.C.; Sauer, S. Amorfrutin B is an efficient natural peroxisome proliferator-activated receptor gamma (PPARγ) agonist with potent glucose-lowering properties. Diabetologia 2013, 56, 1802–1812. [Google Scholar] [CrossRef]
- Lavecchia, A.; Di Giovanni, C. Amorfrutins are efficient modulators of peroxisome proliferator-activated receptor gamma (PPARγ) with potent antidiabetic and anticancer properties: A patent evaluation of WO2014177593 A1. Expert Opin. Ther. Patents 2015, 25, 1341–1347. [Google Scholar] [CrossRef]
- Bin Samad, M.; Hasan, N.; Banarjee, S.; Rahman, M.; Raihan, S.; Banti, F.L.; Sayfe, S.S.; Hasan, S.N.; Akhter, F.; Kabir, A.U.; et al. PEG modification of Amorfrutin B from Amorpha fructicosa increases gastric absorption, circulation half-life and glucose uptake by T3T-L1 adipocytes. Biomed. Pharmacother. 2017, 95, 513–519. [Google Scholar] [CrossRef] [PubMed]
- Kajta, M.; Trotter, A.; Lasoń, W.; Beyer, C. Effect of NMDA on staurosporine-induced activation of caspase-3 and LDH release in mouse neocortical and hippocampal cells. Dev. Brain Res. 2005, 160, 40–52. [Google Scholar] [CrossRef] [PubMed]
- Kajta, M.; Lasoń, W.; Kupiec, T. Effects of estrone on N-methyl-D-aspartic acid- and staurosporine-induced changes in caspase-3-like protease activity and lactate dehydrogenase-release: Time- and tissue-dependent effects in neuronal primary cultures. Neuroscience 2004, 123, 515–526. [Google Scholar] [CrossRef] [PubMed]
- Gu, Q.; Lantz, S.; Rosas-Hernández, H.; Cuevas, E.; Ali, S.F.; Paule, M.G.; Sarkar, S.; Lantz-McPeak, S. In vitro detection of cytotoxicity using FluoroJade-C. Toxicol. Vitro 2014, 28, 469–472. [Google Scholar] [CrossRef] [PubMed]
- Wnuk, A.; Rzemieniec, J.; Lason, W.; Krzeptowski, W.; Kajta, M. Apoptosis Induced by the UV Filter Benzophenone-3 in Mouse Neuronal Cells Is Mediated via Attenuation of Erα/Pparγ and Stimulation of Erβ/Gpr30 Signaling. Mol. Neurobiol. 2018, 55, 2362–2383. [Google Scholar] [CrossRef] [PubMed]
- Pei, L.; Zhang, Y.; Zhang, Y.; Chu, X.; Zhang, J.; Wang, R.; Liu, M.; Zhu, X.; Yu, W. Peroxisome proliferator-activated receptor γ promotes neuroprotection by modulating cyclic D1 expression after focal cerebral ischemia. Can. J. Physiol. Pharmacol. 2010, 88, 716–723. [Google Scholar] [CrossRef]
- Wu, J.-S.; Tsai, H.-D.; Cheung, W.-M.; Hsu, C.Y.; Lin, T.-N. PPAR-γ Ameliorates Neuronal Apoptosis and Ischemic Brain Injury via Suppressing NF-κB-Driven p22phox Transcription. Mol. Neurobiol. 2015, 53, 3626–3645. [Google Scholar] [CrossRef]
- Wu, X.J.; Sun, X.H.; Wang, S.W.; Chen, J.L.; Bi, Y.H.; Jiang, D.X. Mifepristone alleviates cerebral ische-mia-reperfusion injury in rats by stimulating PPAR γ. Eur. Rev. Med. Pharmacol. Sci. 2018, 22, 5688–5696. [Google Scholar] [CrossRef]
- Shehata, A.H.; Ahmed, A.-S.F.; Abdelrehim, A.B.; Heeba, G.H. The impact of single and combined PPAR-α and PPAR-γ activation on the neurological outcomes following cerebral ischemia reperfusion. Life Sci. 2020, 252, 117679. [Google Scholar] [CrossRef]
- Tureyen, K.; Kapadia, R.; Bowen, K.K.; Satriotomo, I.; Liang, J.; Feinstein, D.L.; Vemuganti, R. Peroxisome proliferator-activated receptor-γ agonists induce neuroprotection following transient focal ischemia in normotensive, normoglycemic as well as hypertensive and type-2 diabetic rodents. J. Neurochem. 2006, 101, 41–56. [Google Scholar] [CrossRef] [PubMed]
- Verma, R.; Mishra, V.; Gupta, K.; Sasmal, D.; Raghubir, R. Neuroprotection by rosiglitazone in transient focal cerebral ischemia might not be mediated by glutamate transporter-1#. J. Neurosci. Res. 2011, 89, 1849–1858. [Google Scholar] [CrossRef] [PubMed]
- Yu, S.-J.; Reiner, D.; Shen, H.; Wu, K.-J.; Liu, Q.-R.; Wang, Y. Time-Dependent Protection of CB2 Receptor Agonist in Stroke. PLoS ONE 2015, 10, e0132487. [Google Scholar] [CrossRef]
- LiverTox: Clinical and Research Information on Drug-Induced Liver Injury; National Institute of Diabetes and Digestive and Kidney Diseases: Bethesda, MD, USA, 2012; Updated 6 June 2018. Available online: https://www.ncbi.nlm.nih.gov/books/NBK548390/ (accessed on 20 July 2021).
- Kasahara, Y.; Taguchi, A.; Uno, H.; Nakano, A.; Nakagomi, T.; Hirose, H.; Stern, D.M.; Matsuyama, T. Telmisartan suppresses cerebral injury in a murine model of transient focal ischemia. Brain Res. 2010, 1340, 70–80. [Google Scholar] [CrossRef] [PubMed]
- Li, Y.-Y.; Guo, J.-H.; Liu, Y.-Q.; Dong, J.-H.; Zhu, C.-H. PPARγ Activation-Mediated Egr-1 Inhibition Benefits Against Brain Injury in an Experimental Ischaemic Stroke Model. J. Stroke Cerebrovasc. Dis. 2020, 29, 105255. [Google Scholar] [CrossRef]
- Xia, P.; Pan, Y.; Zhang, F.; Wang, N.; Wang, E.; Guo, Q.; Ye, Z. Pioglitazone Confers Neuroprotection Against Ischemia-Induced Pyroptosis due to its Inhibitory Effects on HMGB-1/RAGE and Rac1/ROS Pathway by Activating PPAR-ɤ. Cell. Physiol. Biochem. 2018, 45, 2351–2368. [Google Scholar] [CrossRef]
- Lorente, L.; Martín, M.; González-Rivero, A.; Pérez-Cejas, A.; Abreu-González, P.; Ramos, L.; Argueso, M.; Cáceres, J.; Solé-Violán, J.; Alvarez-Castillo, A.; et al. DNA and RNA oxidative damage are associated to mortality in patients with cerebral infarction. Med. Intensiv. 2021, 45, 35–41. [Google Scholar] [CrossRef]
- Meller, R.; Pearson, A.N.; Simon, R.P. Dynamic Changes in DNA Methylation in Ischemic Tolerance. Front. Neurol. 2015, 6, 102. [Google Scholar] [CrossRef][Green Version]
- Zhao, Y.-Z.; Liu, X.-L.; Shen, G.; Ma, Y.-N.; Zhang, F.-L.; Chen, M.-T.; Zhao, H.-L.; Yu, J.; Zhang, J.-W. Hypoxia induces peroxisome proliferator-activated receptor γ expression via HIF-1-dependent mechanisms in HepG2 cell line. Arch. Biochem. Biophys. 2014, 543, 40–47. [Google Scholar] [CrossRef] [PubMed]
- Culman, J.; Zhao, Y.; Gohlke, P.; Herdegen, T. PPAR-γ: Therapeutic target for ischemic stroke. Trends Pharmacol. Sci. 2007, 28, 244–249. [Google Scholar] [CrossRef] [PubMed]
- Cai, W.; Yang, T.; Liu, H.; Han, L.; Zhang, K.; Hu, X.; Zhang, X.; Yin, K.-J.; Gao, Y.; Bennett, M.V.; et al. Peroxisome proliferator-activated receptor γ (PPARγ): A master gatekeeper in CNS injury and repair. Prog. Neurobiol. 2018, 163-164, 27–58. [Google Scholar] [CrossRef] [PubMed]
- Buler, M.; Andersson, U.; Hakkola, J. Who watches the watchmen? Regulation of the expression and activity of sirtuins. FASEB J. 2016, 30, 3942–3960. [Google Scholar] [CrossRef]
- Wan, J.; Oliver, V.F.; Wang, G.; Zhu, H.; Zack, D.J.; Merbs, S.L.; Qian, J. Characterization of tissue-specific differential DNA methylation suggests distinct modes of positive and negative gene expression regulation. BMC Genom. 2015, 16, 49. [Google Scholar] [CrossRef]
- Rauluseviciute, I.; Drabløs, F.; Rye, M.B. DNA hypermethylation associated with upregulated gene expression in prostate cancer demonstrates the diversity of epigenetic regulation. BMC Med. Genom. 2020, 13, 6–15. [Google Scholar] [CrossRef]
- Verma, R.; Ritzel, R.; Crapser, J.; Friedler, B.D.; McCullough, L.D. Evaluation of the Neuroprotective Effect of Sirt3 in Experimental Stroke. Transl. Stroke Res. 2019, 10, 57–66. [Google Scholar] [CrossRef]
- Li, Y.; Hu, K.; Liang, M.; Yan, Q.; Huang, M.; Jin, L.; Chen, Y.; Yang, X.; Li, X. Stilbene glycoside upregulates SIRT3/AMPK to promotes neuronal mitochondrial autophagy and inhibit apoptosis in ischemic stroke. Adv. Clin. Exp. Med. 2021, 30, 139–146. [Google Scholar] [CrossRef]
- Esmayel, I.M.; Hussein, S.; Gohar, E.A.; Ebian, H.F.; Mousa, M.M. Plasma levels of sirtuin-1 in patients with cerebrovascular stroke. Neurol. Sci. 2021, 1–8. [Google Scholar] [CrossRef]
- Lee, J.-E.; Ge, K. Transcriptional and epigenetic regulation of PPARγ expression during adipogenesis. Cell Biosci. 2014, 4, 29. [Google Scholar] [CrossRef] [PubMed]
- Lanzillotta, A.; Pignataro, G.; Branca, C.; Cuomo, O.; Sarnico, I.; Benarese, M.; Annunziato, L.; Spano, P.; Pizzi, M. Targeted acetylation of NF-kappaB/RelA and histones by epigenetic drugs reduces post-ischemic brain injury in mice with an extended therapeutic window. Neurobiol. Dis. 2013, 49, 177–189. [Google Scholar] [CrossRef] [PubMed]
- Faraco, G.; Pancani, T.; Formentini, L.; Mascagni, P.; Fossati, G.; Leoni, F.; Moroni, F.; Chiarugi, A. Pharmacological Inhibition of Histone Deacetylases by Suberoylanilide Hydroxamic Acid Specifically Alters Gene Expression and Reduces Ischemic Injury in the Mouse Brain. Mol. Pharmacol. 2006, 70, 1876–1884. [Google Scholar] [CrossRef] [PubMed]











Publisher’s Note: MDPI stays neutral with regard to jurisdictional claims in published maps and institutional affiliations. |
© 2021 by the authors. Licensee MDPI, Basel, Switzerland. This article is an open access article distributed under the terms and conditions of the Creative Commons Attribution (CC BY) license (https://creativecommons.org/licenses/by/4.0/).
Share and Cite
Wnuk, A.; Przepiórska, K.; Pietrzak, B.A.; Kajta, M. Post-Treatment with Amorfrutin B Evokes PPARγ-Mediated Neuroprotection against Hypoxia and Ischemia. Biomedicines 2021, 9, 854. https://doi.org/10.3390/biomedicines9080854
Wnuk A, Przepiórska K, Pietrzak BA, Kajta M. Post-Treatment with Amorfrutin B Evokes PPARγ-Mediated Neuroprotection against Hypoxia and Ischemia. Biomedicines. 2021; 9(8):854. https://doi.org/10.3390/biomedicines9080854
Chicago/Turabian StyleWnuk, Agnieszka, Karolina Przepiórska, Bernadeta A. Pietrzak, and Małgorzata Kajta. 2021. "Post-Treatment with Amorfrutin B Evokes PPARγ-Mediated Neuroprotection against Hypoxia and Ischemia" Biomedicines 9, no. 8: 854. https://doi.org/10.3390/biomedicines9080854
APA StyleWnuk, A., Przepiórska, K., Pietrzak, B. A., & Kajta, M. (2021). Post-Treatment with Amorfrutin B Evokes PPARγ-Mediated Neuroprotection against Hypoxia and Ischemia. Biomedicines, 9(8), 854. https://doi.org/10.3390/biomedicines9080854

