The Combined Effect of Branching and Elongation on the Bioactivity Profile of Phytocannabinoids. Part I: Thermo-TRPs
Abstract
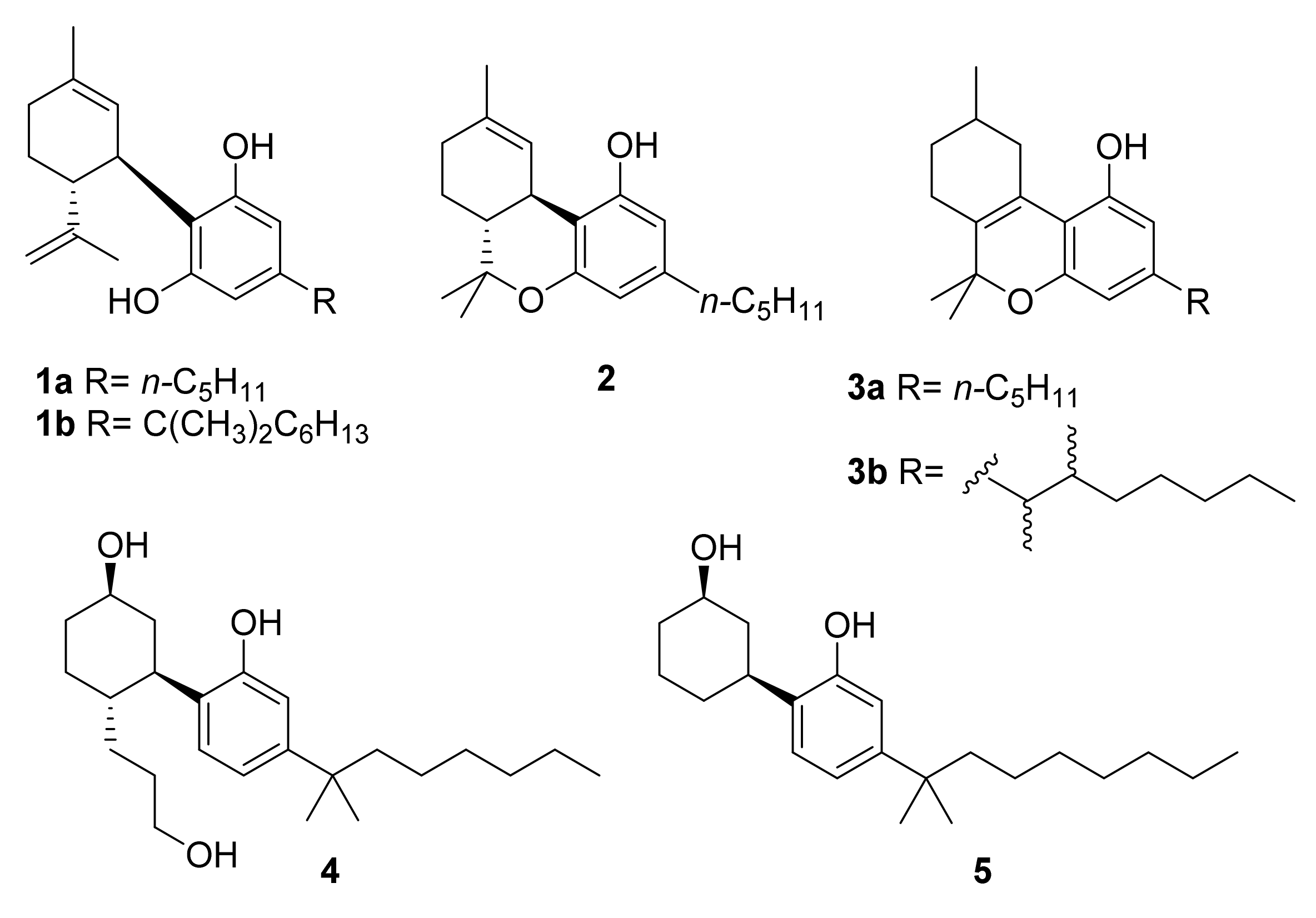
:1. Introduction
2. Materials and Methods
2.1. Synthesis
2.1.1. General Experimental Procedures
2.1.2. Depentyl-α,α-dimethylheptyl-cannabidiol (DMH-CBD, 1b)
2.1.3. Depentyl-α,α-dimethylheptyl-Δ8-tetrahydrocannabinol (DMH-Δ8-THC, 6b)
2.1.4. Depentyl-α,α-dimethylheptyl-cannabigerol (DMH-CBG, 7b)
2.1.5. Depentyl-α,α-dimethylheptyl-cannabichromene (DMH-CBC, 8b)
2.1.6. Depentyl-α,α-dimethylheptyl-cannabinol (DMH-CBN, 9b)
2.2. TRP Modulatory Activity
2.3. Molecular Docking
3. Results
3.1. Synthesis
3.2. Biological Evaluation
3.3. Molecular Docking Studies on CBC and CBC-DMH at rTRPA1
4. Discussion
5. Conclusions
Author Contributions
Funding
Institutional Review Board Statement
Informed Consent Statement
Data Availability Statement
Conflicts of Interest
References
- Hanuš, L.O.; Meyer, S.M.; Munoz, E.; Taglialatela-Scafati, O.; Appendino, G. Phytocannabinoids: A unified critical inventory. Nat. Prod. Rep. 2016, 33, 1357–1392. [Google Scholar] [CrossRef] [PubMed] [Green Version]
- Appendino, G. The early history of cannabinoid research. Rend. Fis. Acc. Lincei 2020, 31, 919–929. [Google Scholar] [CrossRef]
- Gaoni, Y.; Mechoulam, R. Isolation, Structure, and Partial Synthesis of an Active Constituent of Hashish. J. Am. Chem. Soc. 1964, 86, 1646–1647. [Google Scholar] [CrossRef]
- Appendino, G.; Minassi, A.; Taglialatela-Scafati, O. Recreational drug discovery: Natural products as lead structures for the synthesis of smart drugs. Nat. Prod. Rep. 2014, 31, 880–904. [Google Scholar] [CrossRef]
- Ligresti, A.; De Petrocellis, L.; Di Marzo, V. From phytocannabinoids to cannabinoid receptors and endocannabinoids: Pleiotropic physiological and pathological roles through complex pharmacology. Physiol. Rev. 2016, 96, 1593–1659. [Google Scholar] [CrossRef] [Green Version]
- Vitale, R.M.; Schiano Moriello, A.; De Petrocellis, L. Natural compounds and synthetic drugs targeting the ion-otropic cannabinoid members of Transient Receptor Potential (TRP) channels. In New Tools to Interrogate En-docannabinoid Signalling: From Natural Compounds to Synthetic Drugs; Maccarrone, M., Ed.; Royal Society of Chemistry: London, UK, 2020; pp. 201–300. [Google Scholar]
- Bousquet, J.; Czarlewski, W.; Zuberbier, T.; Mullol, J.; Blain, H.; Cristol, J.-P.; De La Torre, R.; Pizarro Lozano, N.; Le Moing, V.; Bedbrook, A.; et al. Potential Interplay between Nrf2, TRPA1, and TRPV1. Int. Arch. Allergy Immunol. 2021, 182, 324–338. [Google Scholar] [CrossRef]
- Moriello, A.S.; De Petrocellis, L. Assay of TRPV1 Receptor Signaling. Methods Mol. Biol. 2016, 1412, 65–76. [Google Scholar] [CrossRef] [PubMed]
- Morris, G.; Huey, R.; Lindstrom, W.; Sanner, M.F.; Belew, R.K.; Goodsell, D.S.; Olson, A.J. AutoDock4 and AutoDockTools4: Automated docking with selective receptor flexibility. J. Comput. Chem. 2009, 30, 2785–2791. [Google Scholar] [CrossRef] [Green Version]
- Case, D.A.; Betz, R.M.; Cerutti, D.S.; Cheatham, T.E.; Darden, T.A.; Duke, R.E.; Giese, T.J.; Gohlke, H.; Goetz, A.W.; Homeyer, N.; et al. AMBER 2016; University of California: San Francisco, CA, USA, 2016. [Google Scholar]
- James, A.; Maier, J.A.; Martinez, C.; Kasavajhala, K.; Wickstrom, L.; Hauser, K.E.; Simmerling, C. ff14SB: Im-proving the accuracy of protein side chain and backbone parameters from ff99SB. J. Chem. Theory Comput. 2015, 11, 3696–3713. [Google Scholar] [CrossRef] [Green Version]
- Wang, J.; Wolf, R.M.; Caldwell, J.W.; Kollman, P.A.; Case, D.A. Development and testing of a general amber force field. J. Comput. Chem. 2004, 25, 1157–1174. [Google Scholar] [CrossRef] [PubMed]
- Harrington, P.E.; Stergiades, I.A.; Erickson, J.; Makriyannis, A.; Tius, M. Synthesis of functionalized canna-binoids. J. Org. Chem. 2000, 65, 6576–6582. [Google Scholar] [CrossRef]
- Bloemendal, V.R.L.J.; Van Hest, J.C.M.; Rutjes, F.P.J.T. Synthetic pathways to tetrahydrocannabinol (THC): An overview. Org. Biomol. Chem. 2020, 18, 3203–3215. [Google Scholar] [CrossRef]
- Baek, S.-H.; Du Han, S.; Yook, C.N.; Kim, Y.C.; Kwak, J.S. Synthesis and antitumor activity of cannabigerol. Arch. Pharmacal Res. 1996, 19, 228–230. [Google Scholar] [CrossRef]
- Pollastro, F.; Caprioglio, D.; Del Prete, D.; Rogati, F.; Minassi, A.; Taglialatela-Scafati, O.; Munoz, E.; Appendino, G. Cannabichromene. Nat. Prod. Commun. 2018, 13, 1189–1194. [Google Scholar] [CrossRef] [Green Version]
- Pollastro, F.; Caprioglio, D.; Marotta, P.; Schiano Moriello, A.; De Petrocellis, L.; Taglialatela-Scafati, O.; Appendino, G. Iodine-promoted aromatization of p-menthane-type phytocannabinoid. J. Nat. Prod. 2018, 81, 630–633. [Google Scholar] [CrossRef] [PubMed]
- De Petrocellis, L.; Ligresti, A.; Moriello, A.S.; Allarà, M.; Bisogno, T.; Petrosino, S.; Stott, C.G.; Di Marzo, V. Effects of canna-binoids and cannabinoid-enriched cannabis extracts on TRP channels and endocannabinoid metabolic enzymes. Br. J. Phar-macol. 2011, 162, 1479–1494. [Google Scholar] [CrossRef] [Green Version]
- De Petrocellis, L.; Orlando, P.; Moriello, A.S.; Aviello, G.; Stott, C.; Izzo, A.; Di Marzo, V. Cannabinoid actions at TRPV channels: Effects on TRPV3 and TRPV4 and their potential relevance to gastrointestinal inflammation. Acta Physiol. 2011, 204, 255–266. [Google Scholar] [CrossRef] [PubMed]
- Chianese, G.; Lopatriello, A.; Schiano-Moriello, A.; Caprioglio, D.; Mattoteia, D.; Benetti, E.; Ciceri, D.; Arnoldi, L.; De Combarieu, E.; Vitale, R.M.; et al. Cannabitwinol, a Dimeric Phytocannabinoid from Hemp, Cannabis sativa L., Is a Selective Thermo-TRP Modulator. J. Nat. Prod. 2020, 83. [Google Scholar] [CrossRef] [PubMed]
- Zhao, Y.; McVeigh, B.M.; Moiseenkova-Bell, V.Y. Structural Pharmacology of TRP Channels. J. Mol. Biol. 2021, 433, 166914. [Google Scholar] [CrossRef]
- Nilius, B.; Appendino, G.; Owsianik, G. The transient receptor potential channel TRPA1: From gene to patho-physiology. Pflugers Arch. 2012, 464, 425–458. [Google Scholar] [CrossRef] [PubMed]
- Liu, C.; Reese, R.; Vu, S.; Rougé, L.; Shields, S.D.; Kakiuchi-Kiyota, S.; Chen, H.; Johnson, K.; Shi, Y.P.; Chernov-Rogan, T.; et al. A Non-covalent Ligand Reveals Biased Agonism of the TRPA1 Ion Channel. Neuron 2020, 109, 273–284.e4. [Google Scholar] [CrossRef] [PubMed]
- Chandrabalan, A.; McPhillie, M.J.; Morice, A.H.; Boa, A.N.; Sadofsky, L.R. N-Cinnamoylanthranilates as hu-man TRPA1 modulators: Structure–activity relationships and channel binding sites. Eur. J. Med. Chem. 2019, 170, 141–156. [Google Scholar] [CrossRef] [PubMed] [Green Version]
- Nilius, B.; Appendino, G. Spices: The Savory and Beneficial Science of Pungency. Rev. Physiol. Biochem. Pharmacol. 2013, 164, 1–76. [Google Scholar] [CrossRef] [PubMed]




| TRPA1 | TRPV1 | TRPM8 | |||||
|---|---|---|---|---|---|---|---|
| Efficacy (%ITC 100 μM) | Potency EC50 μM | IC50 a TRPA1 μM | Efficacy (% IM 4 μM) | Potency EC50 | IC50 b TRPV1 μM | IC50 c TRPM8 μM | |
| 1b 1a [18] | 133.4 ± 5.3 115.9 ± 4.6 | 0.40 ± 0.15 0.11 ± 0.05 | 0.51 ± 0.03 0.16 ± 0.05 | <10 44.7 ± 0.02 | NA 1.0 ± 0.1 | >100 0.6 ± 0.05 | 13.4 ± 2.1 0.06 ± 0.01 |
| 6b 6a [18] | 124.2 ± 4.0 117.0 ± 12.0 | 4.8 ± 1.1 0.23 ± 0.03 | 6.0 ± 0.9 | 15.3 <10 | >100 NA | >100 | 39.9 ± 6.9 0.16 ± 0.01 |
| 9b 9a [18] | 132.3 ± 7.9 83.3 ± 12.0 | 2.1 ± 0.9 0.18 ± 0.02 | 3.2 ± 0.6 0.40 ± 0.04 | <10 <10 | NA | >100 >50 | 0.98 ± 0.12 0.21 ± 0.05 |
| 7b 7a [18] | 99.2 ± 4.5 99.9 ± 1.1 | 9.1 ± 2.0 0.70 ± 0.03 | 1.7 ± 0.15 13.0 ± 4.8 | <10 33.8 ± 2.3 | NA 1.3 ± 0.5 | >100 2.6 ± 0.5 | 9.2 ± 0.8 0.16 ± 0.02 |
| 8b 8a [18] | 120.4 ± 2.8 119.4 ± 3.1 | 0.76 ± 0.12 0.09 ± 0.01 | 0.32 ± 0.01 0.37 ± 0.05 | 18.9 ± 0.2 <10 | 12.8 ± 0.9 | >100 >50 | >100 40.7 ± 0.6 |
| 8c | 97.8 ± 3.3 | 1.2 ± 0.2 | 3.8 ± 0.35 | <10 | NA | >100 | >100 |
| 8d | 98.7 ± 1.9 | 0.15 ± 0.03 | 0.40 ± 0.01 | <10 | NA | >100 | 23.6 ± 7.4 |
| TRPV2 | TRPV3 | TRPV4 | |||||||
|---|---|---|---|---|---|---|---|---|---|
| Efficacy (% IM 4 μM) | Potency EC50 μM | IC50 a TRPV2 μM | Efficacy (% IM 4 μM) | Potency EC50 μM | IC50 c TRPV3 μM | Efficacy (% IM 4 μM) | Potency EC50 μM | IC50 e TRPV4 μM | |
| 1b 1a [18,19] | <10 40.5 ± 1.6 | NA 1.25 ± 0.23 | 16.8 ± 0.2 4.5 ± 0.7 b | 15.8 ± 0.4 50.1 ± 4.8 | 11.0 ± 1.1 3.7 ± 1.6 | 32.6 ± 5.1 0.9 ± 0.3 d | 34.0 ± 1.3 16.7 ± 1.0 | NA 0.8 ± 0.3 | >100 1.1 ± 0.1 f |
| 6b 6a [18,19] | <10 53.0 ± 1.4 | NA 0.65 ± 0.05 | 45.8 ± 3.9 0.8 ± 0.01 | 53.8 ± 1.6 18.2 ± 1.0 | 0.14 ± 0.03 9.5 ± 1.9 | 2.1 ± 0.6 32.3 ± 2.1 | <10 <10 | NA NA | >100 15.2 ± 2.7 |
| 6b 6a [18,19] | 10.5 ± 0.02 39.9 ± 2.1 | 0.25 ± 0.03 19.0 ± 3.7 | >50 15.7 ± 2.1 | 20.9 ± 3.0 13.1 ± 2.4 | 41.4 ± 21.6 5.3 ± 2.7 | >100 9.4 ± 0.1 | 12.1 ± 0.2 15.3 ± 1.5 | 16.1 ± 21.6 16.1 ± 4.5 | >100 5.4 ± 0.8 |
| 7b 7a [18,19] | 65.3 ± 0.7 73.6 ± 1.2 | 9.8 ±0.6 1.7 ± 0.08 | 39.4 ± 4.5 1.5 ± 0.2 | 64.6 ± 4.8 18.5 ± 0.7 | 39.7 ± 0.03 1.0 ± 0.2 | 35.4 ± 3.6 >50 | 34.4 ± 5.2 23.7 ± 1.8 | 39.0 ± 21.6 5.1 ± 1.6 | 35.4 ± 3.2 1.3 ± 0.1 |
| 8b 8a [18,19] | 76.1 ± 0.6 <10 | >50 NA | 22.6 ± 0.2 6.5 ± 1.6 | 41.6 ± 1.8 20.2 ± 0.4 | >50 1.9 ± 0.2 | >50 >100 | <10 22.9 ± 1.2 | NA 0.6 ± 0.2 | >100 9.9 ± 1.2 |
| 8c | <10 | NA | 9.0± 0.8 | <10 | NA | >100 | <10 | NA | >100 |
| 8d | <10 | NA | 13.3± 1.1 | <10 | NA | >100 | <10 | NA | >100 |
Publisher’s Note: MDPI stays neutral with regard to jurisdictional claims in published maps and institutional affiliations. |
© 2021 by the authors. Licensee MDPI, Basel, Switzerland. This article is an open access article distributed under the terms and conditions of the Creative Commons Attribution (CC BY) license (https://creativecommons.org/licenses/by/4.0/).
Share and Cite
Mattoteia, D.; Schiano Moriello, A.; Taglialatela-Scafati, O.; Amodeo, P.; De Petrocellis, L.; Appendino, G.; Vitale, R.M.; Caprioglio, D. The Combined Effect of Branching and Elongation on the Bioactivity Profile of Phytocannabinoids. Part I: Thermo-TRPs. Biomedicines 2021, 9, 1070. https://doi.org/10.3390/biomedicines9081070
Mattoteia D, Schiano Moriello A, Taglialatela-Scafati O, Amodeo P, De Petrocellis L, Appendino G, Vitale RM, Caprioglio D. The Combined Effect of Branching and Elongation on the Bioactivity Profile of Phytocannabinoids. Part I: Thermo-TRPs. Biomedicines. 2021; 9(8):1070. https://doi.org/10.3390/biomedicines9081070
Chicago/Turabian StyleMattoteia, Daiana, Aniello Schiano Moriello, Orazio Taglialatela-Scafati, Pietro Amodeo, Luciano De Petrocellis, Giovanni Appendino, Rosa Maria Vitale, and Diego Caprioglio. 2021. "The Combined Effect of Branching and Elongation on the Bioactivity Profile of Phytocannabinoids. Part I: Thermo-TRPs" Biomedicines 9, no. 8: 1070. https://doi.org/10.3390/biomedicines9081070
APA StyleMattoteia, D., Schiano Moriello, A., Taglialatela-Scafati, O., Amodeo, P., De Petrocellis, L., Appendino, G., Vitale, R. M., & Caprioglio, D. (2021). The Combined Effect of Branching and Elongation on the Bioactivity Profile of Phytocannabinoids. Part I: Thermo-TRPs. Biomedicines, 9(8), 1070. https://doi.org/10.3390/biomedicines9081070

