Javamide-II Inhibits IL-6 without Significant Impact on TNF-alpha and IL-1beta in Macrophage-Like Cells
Abstract
1. Introduction
2. Materials and Methods
2.1. Materials
2.2. Cell Culture
2.3. Determination of the Productions of IL-6, IL-1beta and TNF-alpha Cytokines
2.4. Phosphorylation of ERK, p38 and JNK
2.5. Phosphorylation of c-Fos, ATF-2, c-Jun and NF-κB p65
2.6. Total RNA Isolation, Reverse Transcription Polymerase Chain Reaction ((RT)-PCR) and Gene Expression Analysis
2.7. Statistical Analysis
3. Results
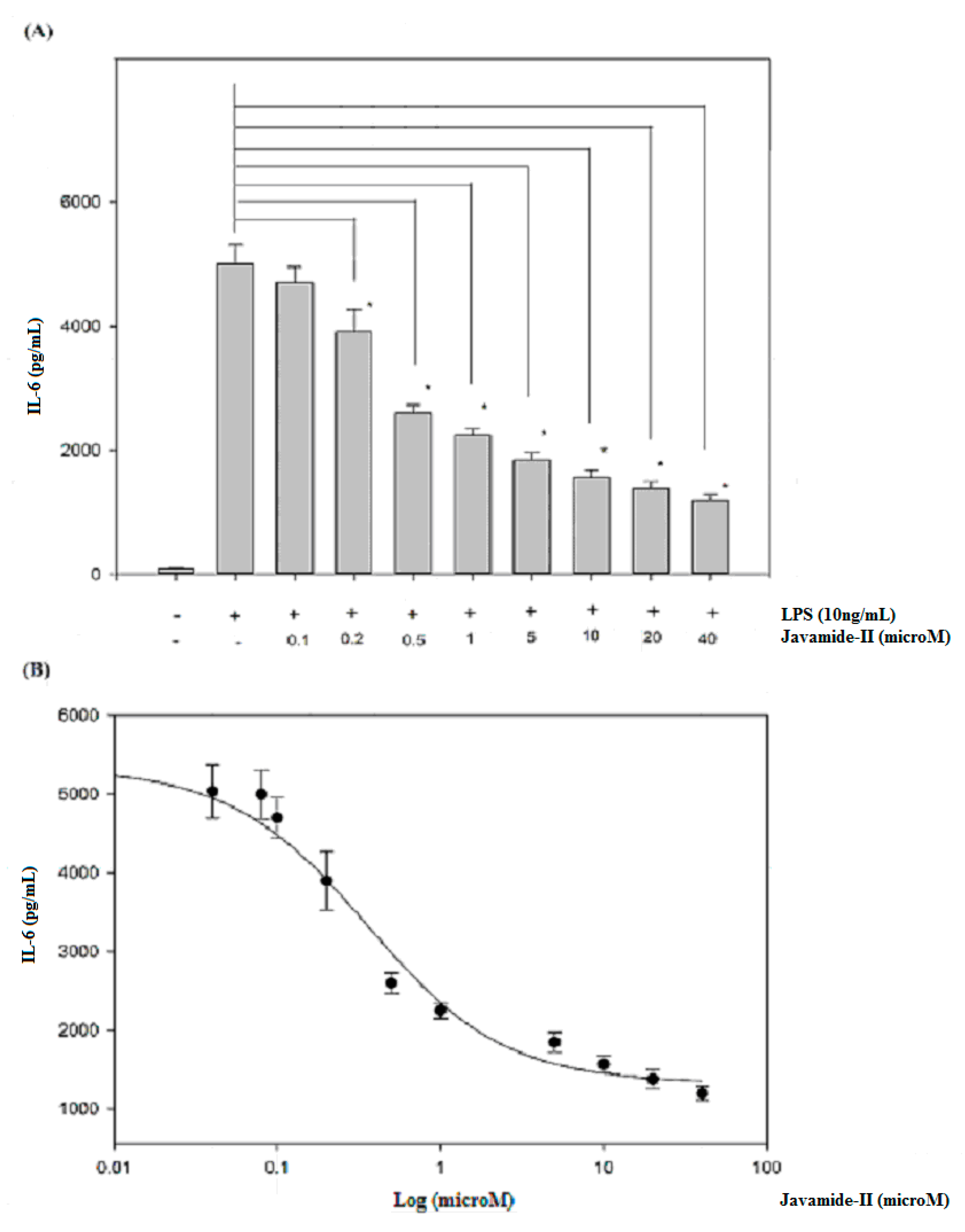
3.1. Effect of Javamide-II on the Production of IL-6 Cytokine
3.2. Effects of Javamide-II on the Productions of TNF-alpha and IL-1beta Cytokines
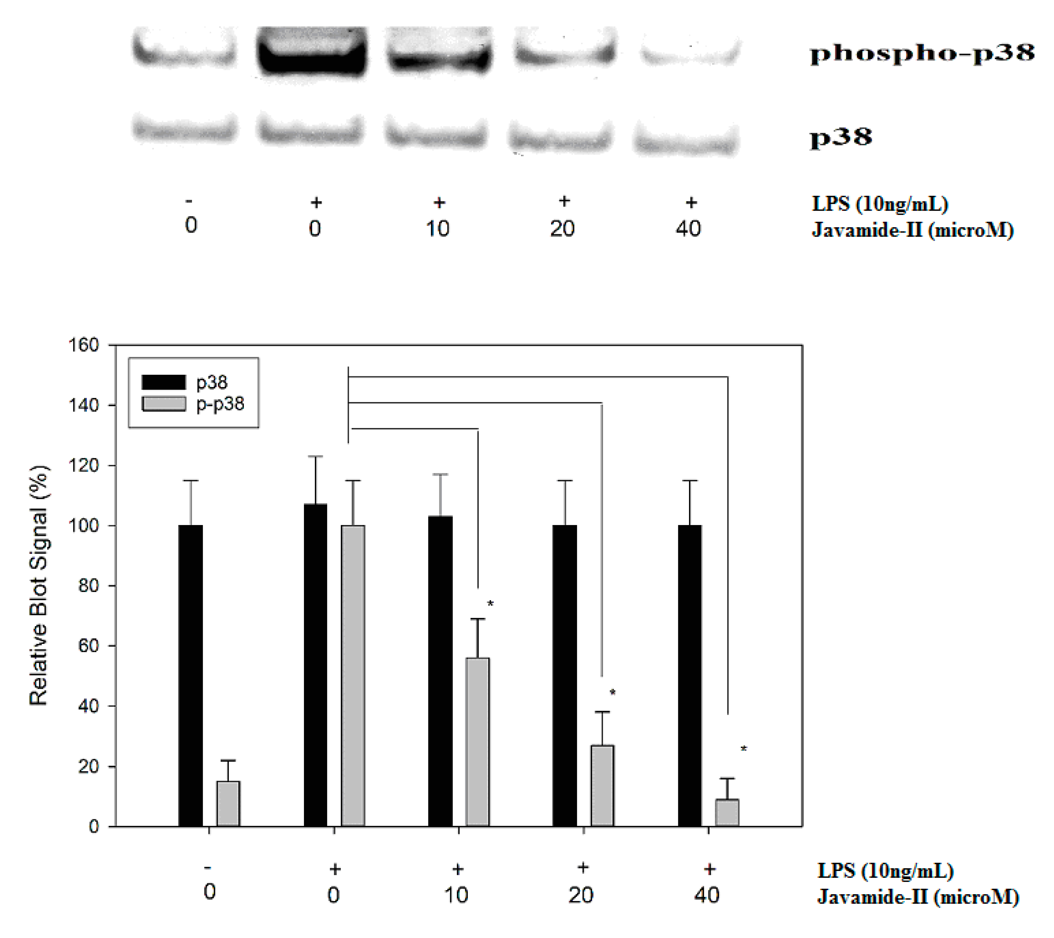
3.3. Effects of Javamide-II on the Phosphorylations of ERK, JNK and p38 MAPKs
3.4. Effects of Javamide-II on the Phosphorylations of ATF-2, c-Fos and c-Jun
3.5. Effect of Javamide-II on NF-κB p65 Phosphorylation
3.6. Effect of Javamide-II on the Production of IL-6 mRNA
4. Discussion
Author Contributions
Funding
Conflicts of Interest
References
- Murakami, M.; Kamimura, D.; Hirano, T. Pleiotropy and specificity: Insights from the interleukin 6 family of cytokines. Immunity 2019, 50, 812–831. [Google Scholar]
 - Naka, T.; Nishimoto, N.; Kishimoto, T. The paradigm of IL-6: From basic science to medicine. Arthritis Res. 2002, 4, S233–S242. [Google Scholar]
 - McGonagle, D.; Sharif, K.; O’Regan, A.; Bridgewood, C. The role of cytokines including interleukin-6 in covid-19 induced pneumonia and macrophage activation syndrome-like disease. Autoimmun. Rev. 2020, 3, 102537. [Google Scholar] [CrossRef]
 - De Benedetti, F. The impact of chronic inflammation on the growing skeleton: Lessons from interleukin-6 transgenic mice. Horm. Res. Paediatr. 2009, 72, S26–S29. [Google Scholar] [CrossRef]
 - Kim, G.W.; Lee, N.R.; Pi, R.H.; Lim, Y.S.; Lee, Y.M.; Lee, J.M.; Jeong, H.S.; Chung, S.H. IL-6 inhibitors for treatment of rheumatoid arthritis: Past, present, and future. Arch. Pharmacal Res. 2015, 38, 575–584. [Google Scholar] [CrossRef]
 - Ho, L.J.; Luo, S.F.; Lai, J.H. Biological effects of interleukin-6: Clinical applications in autoimmune diseases and cancers. Biochem. Pharmacol. 2015, 97, 16–26. [Google Scholar]
 - Schmidt-Arras, D.; Rose-John, S. IL-6 pathway in the liver: From physiopathology to therapy. J. Hepatol. 2016, 64, 1403–1415. [Google Scholar] [PubMed]
 - Stojsavljević, S.; Gomerčić, P.M.; Virović, J.L.; Smirčić, D.L.; Duvnjak, M. Adipokines and proinflammatory cytokines, the key mediators in the pathogenesis of nonalcoholic fatty liver disease. World J. Gastroenterol. 2014, 20, 18070–18091. [Google Scholar] [CrossRef] [PubMed]
 - Hassan, W.; Ding, L.; Gao, R.Y.; Liu, J.; Shang, J. Interleukin-6 signal transduction and its role in hepatic lipid metabolic disorders. Cytokine 2014, 66, 133–142. [Google Scholar] [CrossRef] [PubMed]
 - Liu, B.; Li, M.; Zhou, Z.; Guan, X.; Xiang, Y. Can we use interleukin-6 (IL-6) blockade for coronavirus disease 2019 (COVID-19)-induced cytokine release syndrome (CRS)? J. Autoimmun. 2020, 10, 102452. [Google Scholar] [CrossRef]
 - Fu, B.; Xu, X.; Wei, H. Why tocilizumab could be an effective treatment for severe COVID-19? J. Transl. Med. 2020, 18, 164. [Google Scholar] [CrossRef] [PubMed]
 - Samoggia, A.; Riedel, B. Coffee consumption and purchasing behavior review: Insights for further research. Appetite 2018, 129, 70–81. [Google Scholar] [PubMed]
 - Bellou, V.; Belbasis, L.; Tzoulaki, I.; Evangelou, E. Risk factors for type 2 diabetes mellitus: An exposure-wide umbrella review of meta-analyses. PLoS ONE 2018, 13, e0194127. [Google Scholar] [CrossRef] [PubMed]
 - Rodríguez-Artalejo, F.; López-García, E. Coffee consumption and cardiovascular disease: A condensed review of epidemiological evidence and mechanisms. J. Agric. Food Chem. 2018, 66, 5257–5263. [Google Scholar] [CrossRef] [PubMed]
 - Miranda, J.; Monteiro, L.; Albuquerque, R.; Pacheco, J.J.; Khan, Z.; Lopez, J.; Warnakulasuryia, S. Coffee is protective against oral and pharyngeal cancer: A systematic review and meta-analysis. Med. Oral Patol. Oral Cir. Bucal 2017, 22, e554–e561. [Google Scholar] [CrossRef]
 - Wadhawan, M.; Anand, A.C. Coffee and liver disease. J. Clin. Exp. Hepatol. 2016, 6, 40–46. [Google Scholar] [CrossRef]
 - Hall, S.; Desbrow, B.; Anoopkumar-Dukie, S.; Davey, A.K.; Arora, D.; McDermott, C.; Schubert, M.M.; Perkins, A.V.; Kiefel, M.J.; Grant, G.D. A review of the bioactivity of coffee, caffeine and key coffee constituents on inflammatory responses linked to depression. Food Res. Int. 2015, 76, 626–636. [Google Scholar]
 - Park, J.B. NMR confirmation and hplc quantification of Javamide-I and Javamide-II in green coffee extract products available in the market. Int. J. Anal. Chem. 2017, 2017, 1927983. [Google Scholar] [CrossRef]
 - Park, J.B. Finding potent sirt inhibitor in coffee: Isolation, confirmation and synthesis of Javamide-II (N-Caffeoyltryptophan) as Sirt1/2 inhibitor. PLoS ONE 2016, 11, e0150392. [Google Scholar] [CrossRef]
 - Park, J.B. In silico screening and in vitro activity measurement of javamide analogues as potential p38 MAPK Inhibitors. Int. J. Mol. Sci. 2017, 18, 2704. [Google Scholar] [CrossRef]
 - Park, J.B. Javamide-II found in coffee is better than caffeine at suppressing TNF-α production in PMA/PHA-Treated lymphocytic jurkat cells. J. Agric. Food Chem. 2018, 66, 6782–6789. [Google Scholar] [CrossRef] [PubMed]
 - Park, J.B. Javamide-I-O-methyl ester increases p53 acetylation and induces cell death via activating caspase 3/7 in monocytic THP-1 cells. Phytomedicine 2016, 23, 1647–1652. [Google Scholar] [CrossRef] [PubMed]
 - Del Campo, J.A.; Gallego, P.; Grande, L. Role of inflammatory response in liver diseases: Therapeutic strategies. World J. Hepatol. 2018, 10, 1–7. [Google Scholar] [CrossRef] [PubMed]
 - Sugimoto, M.; Inoue, T.; Yamashita, M.; Takeshita, K.; Nakaike, S. KE-758, an active metabolite of the new anti-rheumatic drug KE-298, suppresses production of tumor necrosis factor-alpha and interleukin-1beta in THP-1, a human monocyte cell line. Drugs Exp. Clin. Res. 2002, 28, 197–205. [Google Scholar]
 - Moreira, D.M.; da Silva, R.L.; Vieira, J.L.; Fattah, T.; Lueneberg, M.E.; Gottschall, C.A. Role of vascular inflammation in coronary artery disease: Potential of anti-inflammatory drugs in the prevention of atherothrombosis. Inflammation and anti-inflammatory drugs in coronary artery disease. Am. J. Cardiovasc. Drugs 2015, 15, 1–11. [Google Scholar] [CrossRef]
 - Jang, C.H.; Choi, J.H.; Byun, M.S.; Jue, D.M. Chloroquine Inhibits production of TNF-α, IL-1β and IL-6 from lipopolysaccharide-stimulated human monocytes/macrophages by different modes. Rheumatology 2006, 45, 703–710. [Google Scholar] [CrossRef]
 - Quatromoni, J.G.; Eruslanov, E. Tumor-associated macrophages: Function, phenotype, and link to prognosis in human lung cancer. Am. J. Transl. Res. 2012, 4, 376–389. [Google Scholar]
 - Wang, T.T.; Schoene, N.W.; Milner, J.A.; Kim, Y.S. Broccoli-derived phytochemicals indole-3-carbinol and 3,3′-diindolylmethane exerts concentration-dependent pleiotropic effects on prostate cancer cells: Comparison with other cancer preventive phytochemicals. Mol. Carcinog. 2012, 51, 244–256. [Google Scholar]
 - Totzke, J.; Gurbani, D.; Raphemot, R.; Hughes, P.F.; Bodoor, K.; Carlson, D.A.; Loiselle, D.R.; Bera, A.K.; Eibschutz, L.S.; Perkins, M.M.; et al. Takinib, a selective TAK1 inhibitor, broadens the therapeutic efficacy of TNF-α inhibition for cancer and autoimmune disease. Cell Chem. Biol. 2017, 24, 1029–1039. [Google Scholar] [CrossRef]
 - Li, X.N.; Su, J.; Zhao, L.; Xiang, J.B.; Wang, W.; Liu, F.; Li, H.Y.; Zhong, J.T.; Bai, X.; Sun, L.K. The p38 MAPK inhibitor JLU1124 inhibits the inflammatory response induced by lipopolysaccharide through the MAPK-NF-κB pathway in RAW264.7 macrophages. Int. Immunopharmacol. 2013, 17, 785–792. [Google Scholar]
 - Thalhamer, T.; McGrath, M.A.; Harnett, M.M. MAPKs and their relevance to arthritis and inflammation. Rheumatology 2008, 47, 409–414. [Google Scholar] [CrossRef] [PubMed]
 - Sreekanth, G.P.; Chuncharunee, A.; Sirimontaporn, A.; Panaampon, J.; Noisakran, S.; Yenchitsomanus, P.T.; Limjindaporn, T. SB203580 modulates p38 MAPK signaling and dengue virus-induced liver injury by reducing MAPKAPK2, HSP27, and ATF2 phosphorylation. PLoS ONE 2016, 11, e0149486. [Google Scholar] [CrossRef] [PubMed]
 - Kole, L.; Giri, B.; Manna, S.K.; Pal, B.; Ghosh, S. Biochanin-A, an isoflavon, showed anti-proliferative and anti-inflammatory activities through the inhibition of iNOS expression, p38-MAPK and ATF-2 phosphorylation and blocking NFκB nuclear translocation. Eur. J. Pharmacol. 2011, 653, 8–15. [Google Scholar] [CrossRef] [PubMed]
 - Tindberg, N.; Porsmyr-Palmertz, M.; Simi, A. Contribution of MAP kinase pathways to the activation of ATF-2 in human neuroblastoma cells. Neurochem. Res. 2000, 25, 527–531. [Google Scholar] [CrossRef]
 - Park, J.B.; Wang, T.T.Y. Methyl (E)-(3-(3,4-dihydroxyphenyl)acryloyl) tryptophanate can suppress MCP-1 expression by inhibiting p38 MAP kinase and NF-κB in LPS-stimulated differentiated THP-1 cells. Eur. J. Pharmacol. 2017, 810, 149–155. [Google Scholar] [CrossRef]
 - Gordon, J.W.; Shaw, J.A.; Kirshenbaum, L.A. Multiple facets of NF-κB in the heart: To be or not to NF-κB. Circ. Res. 2011, 108, 1122–1132. [Google Scholar] [CrossRef]
 - Karin, M. NF-kappaB as a critical link between inflammation and cancer. Cold Spring Harb. Perspect. Biol. 2009, 1, a000141. [Google Scholar] [CrossRef]
 - Ponnappan, U. Regulation of transcription factor NF kappa B in immune senescence. Front. Biosci. 1998, 3, d152–d168. [Google Scholar] [CrossRef][Green Version]
 - Berghe, W.V.; Vermeulen, L.; De Wilde, G.; De Bosscher, K.; Boone, E.; Haegeman, G. Signal transduction by tumor necrosis factor and gene regulation of the inflammatory cytokine interleukin-6. Biochem. Pharmacol. 2000, 60, 1185–1195. [Google Scholar] [CrossRef]
 - Giannitrapani, L.; Soresi, M.; Balasus, D.; Licata, A.; Montalto, G. Genetic association of interleukin-6 polymorphism (−174 G/C) with chronic liver diseases and hepatocellular carcinoma. World J. Gastroenterol. 2013, 19, 2449–2455. [Google Scholar] [CrossRef]
 - Taniguchi, K.; Karin, M. IL-6 and related cytokines as the critical lynchpins between inflammation and cancer. Semin. Immunol. 2014, 26, 54–74. [Google Scholar] [CrossRef] [PubMed]
 - Kern, L.; Mittenbühler, M.J.; Vesting, A.J.; Ostermann, A.L.; Wunderlich, C.M.; Wunderlich, F.T. Obesity-Induced TNF-α and IL-6 Signaling: The missing link between obesity and inflammation-driven liver and colorectal cancers. Cancers 2018, 11, E24. [Google Scholar] [CrossRef] [PubMed]
 - Chen, X.; Zhao, B.; Qu, Y.; Chen, Y.; Xiong, J.; Feng, Y.; Men, D.; Huang, Q.; Liu, Y.; Yang, B.; et al. Detectable serum SARS-CoV-2 viral load (RNAaemia) is closely correlated with drastically elevated interleukin 6 (IL-6) level in critically ill COVID-19 patients. Clin. Infect. Dis. 2020, 17, ciaa449. [Google Scholar] [CrossRef]
 - Baumgart, D.C.; Sandborn, W.J. Inflammatory bowel disease: Clinical aspects and established and evolving therapies. Lancet 2007, 369, 1641–1657. [Google Scholar] [CrossRef]
 - Alten, R.; Maleitzke, T. Tocilizumab: A novel humanized anti-interleukin 6 (IL-6) receptor antibody for the treatment of patients with non-RA systemic, inflammatory rheumatic diseases. Ann. Med. 2013, 45, 357–363. [Google Scholar] [CrossRef]
 - Yusof, M.Y.; Emery, P. Targeting interleukin-6 in rheumatoid arthritis. Drugs 2013, 73, 341–356. [Google Scholar] [CrossRef]
 - Raimondo, M.G.; Biggioggero, M.; Crotti, C.; Becciolini, A.; Favalli, E.G. Profile of sarilumab and its potential in the treatment of rheumatoid arthritis. Drug Des. Dev. Ther. 2017, 11, 1593–1603. [Google Scholar] [CrossRef]
 - Katsanos, K.H.; Papadakis, K.A. Inflammatory bowel disease: Updates on molecular targets for biologics. Gut Liver 2017, 11, 455–463. [Google Scholar]
 - Terajima, M.; Inoue, T.; Magari, K.; Yamazaki, H.; Higashi, Y.; Mizuhara, H. Anti-inflammatory effect and selectivity profile of AS1940477, a novel and potent p38 mitogen-activated protein kinase inhibitor. Eur. J. Pharmacol. 2013, 698, 455–462. [Google Scholar] [CrossRef]
 - Salgado, E.; Maneiro, J.R.; Carmona, L.; Gomez-Reino, J.J. Safety profile of protein kinase inhibitors in rheumatoid arthritis: Systematic review and meta-analysis. Ann. Rheum. Dis. 2014, 73, 871–882. [Google Scholar] [CrossRef]
 - Norman, P. Investigational p38 inhibitors for the treatment of chronic obstructive pulmonary disease. Expert Opin. Investig. Drugs 2015, 24, 383–392. [Google Scholar] [CrossRef] [PubMed]
 







© 2020 by the authors. Licensee MDPI, Basel, Switzerland. This article is an open access article distributed under the terms and conditions of the Creative Commons Attribution (CC BY) license (http://creativecommons.org/licenses/by/4.0/).
Share and Cite
Park, J.B.; Peters, R.; Pham, Q.; Wang, T.T.Y. Javamide-II Inhibits IL-6 without Significant Impact on TNF-alpha and IL-1beta in Macrophage-Like Cells. Biomedicines 2020, 8, 138. https://doi.org/10.3390/biomedicines8060138
Park JB, Peters R, Pham Q, Wang TTY. Javamide-II Inhibits IL-6 without Significant Impact on TNF-alpha and IL-1beta in Macrophage-Like Cells. Biomedicines. 2020; 8(6):138. https://doi.org/10.3390/biomedicines8060138
Chicago/Turabian StylePark, Jae B., Renee Peters, Quynhchi Pham, and Thomas T. Y. Wang. 2020. "Javamide-II Inhibits IL-6 without Significant Impact on TNF-alpha and IL-1beta in Macrophage-Like Cells" Biomedicines 8, no. 6: 138. https://doi.org/10.3390/biomedicines8060138
APA StylePark, J. B., Peters, R., Pham, Q., & Wang, T. T. Y. (2020). Javamide-II Inhibits IL-6 without Significant Impact on TNF-alpha and IL-1beta in Macrophage-Like Cells. Biomedicines, 8(6), 138. https://doi.org/10.3390/biomedicines8060138
        
