Synthesis and In Vitro Photodynamic Activity of Cationic Boron Dipyrromethene-Based Photosensitizers Against Methicillin-Resistant Staphylococcus aureus
Abstract
1. Introduction
2. Materials and Methods
2.1. General Information
2.2. Synthesis of BODIPY Derivatives
2.3. Determination of Fluorescence Quantum Yields
2.4. Determination of Singlet Oxygen Quantum Yields
2.5. Bacterial Strains and Culture Conditions
2.6. In Vitro Photodynamic Minimal Bactericidal Concentration (PD-MBC) Studies
3. Results and Discussion
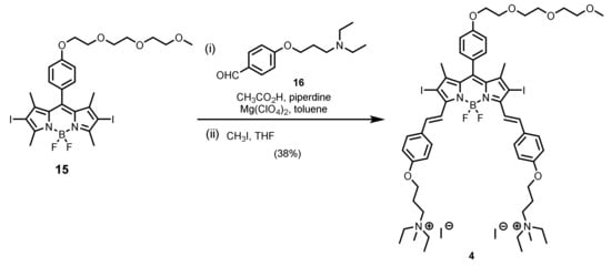
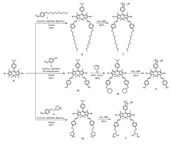
3.1. Synthesis of Cationic BODIPY Derivatives
3.2. Spectroscopic and Photophysical Properties
3.3. Assessment of In Vitro PD-MBC
4. Conclusions
Supplementary Materials
Author Contributions
Funding
Conflicts of Interest
Abbreviations
| 1H NMR | proton nuclear magnetic resonance |
| 13C{1H} NMR | proton-decoupled carbon-13 nuclear magnetic resonance |
| aPDT | antimicrobial photodynamic therapy |
| ATCC | American Type Culture Collection |
| BODIPY | boron dipyrromethene |
| CA | community-associated |
| CFU | colony-forming unit |
| CLSI | Clinical and Laboratory Standards Institute |
| DMF | N,N-dimethylformamide |
| DMSO | dimethyl sulfoxide |
| ESI | electrospray ionization |
| HA | hospital-associated |
| HRMS | high-resolution mass spectrum |
| MALDI-TOF | matrix-assisted laser-desorption/ionization time-of-flight |
| MBC | minimum bactericidal concentration |
| MHB | Mueller–Hinton broth |
| MRSA | methicillin-resistant Staphylococcus aureus |
| MSSA | Methicillin-sensitive Staphylococcus aureus |
| NIR | near-infrared |
| PBS | phosphate buffer saline |
| ROS | reactive oxygen species |
| THF | tetrahydrofuran |
| TLC | thin-layer chromatography |
| λmax | wavelength for absorption maxima |
| λem | emission wavelength |
| ε | extinction coefficient |
| ΦF | fluorescence quantum yield |
| ΦΔ | singlet oxygen quantum yield |
References
- Humphreys, H.; Coleman, D. Whole genome sequencing and the prevention and control of meticillin-resistant Staphylococcus aureus infection. J. Hosp. Infect. 2013, 85, 85–86. [Google Scholar] [PubMed]
- Chuang, Y.-Y.; Huang, Y.-C. Molecular epidemiology of community-associated meticillin-resistant Staphylococcus aureus in Asia. Lancet Infect. Dis. 2013, 13, 698–708. [Google Scholar] [CrossRef]
- Lowy, F.D. Staphylococcus aureus infections. N. Engl. J. Med. 1998, 339, 520–532. [Google Scholar] [PubMed]
- Jevons, M.P. Celbenin-resistant staphylococci. Br. Med. J. 1961, 1, 124–125. [Google Scholar]
- Deurenberg, R.H.; Stobberingh, E.E. The evolution of Staphylococcus aureus, Infection, genetics and evolution. J. Mol. Epidemiol. Evol. Genet. 2008, 8, 747–763. [Google Scholar] [CrossRef] [PubMed]
- Vera, D.M.A.; Haynes, M.H.; Ball, A.R.; Dai, T.; Astrakas, C.; Kelso, M.J.; Hamblin, M.R.; Tegos, G.P. Strategies to Potentiate Antimicrobial Photoinactivation by Overcoming Resistant Phenotypes †. Photochem. Photobiol. 2012, 88, 499–511. [Google Scholar] [CrossRef]
- Dai, T.; Huang, Y.-Y.; Hamblin, M.R. Photodynamic therapy for localized infections—State of the art. Photodiagnosis Photodyn. Ther. 2009, 6, 170–188. [Google Scholar]
- Dai, T.; Fuchs, B.B.; Coleman, J.J.; Prates, R.A.; Astrakas, C.; Denis, T.G.S.; Ribeiro, M.S.; Mylonakis, E.; Hamblin, M.R.; Tegos, G.P. Concepts and Principles of Photodynamic Therapy as an Alternative Antifungal Discovery Platform. Front. Microbiol. 2012, 3, 21–26. [Google Scholar] [CrossRef]
- Denis, T.G.S.; Dai, T.; Izikson, L.; Astrakas, C.; Anderson, R.R.; Hamblin, M.R.; Tegos, G.P. All you need is light. Virulence 2011, 2, 509–520. [Google Scholar]
- Wainwright, M. ‘Safe’ photoantimicrobials for skin and soft-tissue infections. Int. J. Antimicrob. Agents 2010, 36, 14–18. [Google Scholar] [CrossRef]
- Hamblin, M.R. Antimicrobial photodynamic inactivation: A bright new technique to kill resistant microbes. Curr. Opin. Microbiol. 2016, 33, 67–73. [Google Scholar] [PubMed]
- Usacheva, M.N.; Teichert, M.C.; Biel, M.A. Comparison of the methylene blue and toluidine blue photobactericidal efficacy against gram-positive and gram-negative microorganisms. Lasers Surg. Med. 2001, 29, 165–173. [Google Scholar] [PubMed]
- Wainwright, M.; Crossley, K. Methylene Blue—A Therapeutic Dye for All Seasons? J. Chemother. 2002, 14, 431–443. [Google Scholar] [CrossRef] [PubMed]
- Liu, Y.; Qin, R.; Zaat, S.A.J.; Breukink, E.; Heger, M. Antibacterial photodynamic therapy: Overview of a promising approach to fight antibiotic-resistant bacterial infections. J. Clin. Trans. Res. 2015, 2, 21–26. [Google Scholar]
- Dai, T.; Tegos, G.P.; Zhiyentayev, T.; Mylonakis, E.; Hamblin, M.R. Photodynamic therapy for methicillin-resistant Staphylococcus aureus infection in a mouse skin abrasion model. Lasers Surg. Med. 2010, 42, 38–44. [Google Scholar] [CrossRef] [PubMed]
- Bartolomeu, M.; Rocha, S.; Cunha, Â.; Neves, M.G.P.M.S.; Faustino, M.A.F.; Almeida, A. Effect of Photodynamic Therapy on the Virulence Factors of Staphylococcus aureus. Front. Microbiol. 2016, 7, 5–10. [Google Scholar] [CrossRef]
- Moan, J.; Peng, Q. An outline of the hundred-year history of PDT. Photodyn. Ther. 2003, 23, 3591–3600. [Google Scholar]
- Lauro, F.M.; Pretto, P.; Covolo, L.; Jori, G.; Bertoloni, G. Photoinactivation of bacterial strains involved in periodontal diseases sensitized by porphycene-polylysine conjugates. Photochem. Photobiol. Sci. 2002, 1, 468–470. [Google Scholar]
- Grinholc, M.; Rapacka-Zdonczyk, A.; Rybak, B.; Szabados, F.; Bielawski, K.P. Multiresistant Strains Are as Susceptible to Photodynamic Inactivation as Their Naïve Counterparts: Protoporphyrin IX-Mediated Photoinactivation Reveals Differences Between Methicillin-Resistant and Methicillin-Sensitive Staphylococcus aureus Strains. Photomed. Laser Surg. 2014, 32, 121–129. [Google Scholar] [CrossRef]
- Soncin, M.; Fabris, C.; Busetti, A.; Dei, D.; Nistri, D.; Roncucci, G.; Jori, G. Approaches to selectivity in the Zn(ii)–phthalocyanine-photosensitized inactivation of wild-type and antibiotic-resistant Staphylococcus aureus. Photochem. Photobiol. Sci. 2002, 1, 815–819. [Google Scholar]
- Embleton, M.L. Selective lethal photosensitization of methicillin-resistant Staphylococcus aureus using an IgG-tin (IV) chlorin e6 conjugate. J. Antimicrob. Chemother. 2002, 50, 857–864. [Google Scholar] [CrossRef] [PubMed]
- Darabpour, E.; Kashef, N.; Mashayekhan, S. Chitosan nanoparticles enhance the efficiency of methylene blue-mediated antimicrobial photodynamic inactivation of bacterial biofilms: An in vitro study. Photodiagnosis Photodyn. Ther. 2016, 14, 211–217. [Google Scholar] [CrossRef] [PubMed]
- Sharma, M.; Visai, L.; Bragheri, F.; Cristiani, I.; Gupta, P.K.; Speziale, P. Toluidine Blue-Mediated Photodynamic Effects on Staphylococcal Biofilms. Antimicrob. Agents Chemother. 2007, 52, 299–305. [Google Scholar] [CrossRef] [PubMed]
- Ribeiro, A.P.D.; Pavarina, A.C.; Dovigo, L.N.; Brunetti, I.L.; Bagnato, V.S.; Vergani, C.E.; Costa, C.A.D.S. Phototoxic effect of curcumin on methicillin-resistant Staphylococcus aureus and L929 fibroblasts. Lasers Med. Sci. 2012, 28, 391–398. [Google Scholar] [CrossRef] [PubMed]
- Makdoumi, K.; Bäckman, A. Photodynamic UVA-riboflavin bacterial elimination in antibiotic-resistant bacteria. Clin. Exp. Ophthalmol. 2016, 44, 582–586. [Google Scholar] [CrossRef]
- García, I.; Ballesta, S.; Gilaberte, Y.; Rezusta, A.; Pascual, Á. Antimicrobial photodynamic activity of hypericin against methicillin-susceptible and resistant Staphylococcus aureus biofilms. Future Microbiol. 2015, 10, 347–356. [Google Scholar] [CrossRef]
- Ziessel, R.; Ulrich, G.; Harriman, A. The Chemistry of Bodipy: A New El Dorado for Fluorescence Tools. Chem. Inform. 2007, 38, 12–18. [Google Scholar]
- Loudet, A.; Burgess, K. ChemInform Abstract: BODIPY Dyes and Their Derivatives: Syntheses and Spectroscopic Properties. ChemInform 2008, 39, 1–8. [Google Scholar] [CrossRef]
- Hendricks, J.A.; Keliher, E.J.; Wan, D.; Hilderbrand, S.A.; Weissleder, R.; Mazitschek, R. Synthesis of [18F]BODIPY: Bifunctional Reporter for Hybrid Optical/Positron Emission Tomography Imaging. Angew. Chem. 2012, 124, 4681–4684. [Google Scholar] [CrossRef]
- Ortiz, M.J.; Agarrabeitia, A.R.; Duran-Sampedro, G.; Prieto, J.B.; Lopez, T.A.; Massad, W.A.; Montejano, H.A.; García, N.A.; Arbeloa, I.L. Synthesis and functionalization of new polyhalogenated BODIPY dyes. Study of their photophysical properties and singlet oxygen generation. Tetrahedron 2012, 68, 1153–1162. [Google Scholar] [CrossRef]
- Frimannsson, D.O.; Grossi, M.; Murtagh, J.; Paradisi, F.; O’Shea, D.F. Light Induced Antimicrobial Properties of a Brominated Boron Difluoride (BF2) Chelated Tetraarylazadipyrromethene Photosensitizer. J. Med. Chem. 2010, 53, 7337–7343. [Google Scholar] [CrossRef]
- Carpenter, B.; Situ, X.; Scholle, F.; Bartelmess, J.; Weare, W.; Ghiladi, R. Antiviral, Antifungal and Antibacterial Activities of a BODIPY-Based Photosensitizer. Molecules 2015, 20, 10604–10621. [Google Scholar] [CrossRef] [PubMed]
- Martinez, S.R.; Palacios, Y.B.; Heredia, D.A.; Agazzi, M.L.; Durantini, A.M. Phenotypic resistance in photodynamic inactivation unravelled at the single bacterium level. ACS Infect. Dis. 2019, 5, 1624–1633. [Google Scholar] [CrossRef] [PubMed]
- Jung, H.S.; Han, J.; Shi, H.; Koo, S.; Singh, H.; Kim, H.-J.; Sessler, J.L.; Lee, J.Y.; Kim, J.-H.; Kim, J.S. Overcoming the limits of hypoxia in photodynamic therapy: A carbonic anhydrase IX-targeted approach. J. Am. Chem. Soc. 2017, 139, 7595–7602. [Google Scholar] [CrossRef] [PubMed]
- Jeyakumar, K.; Chand, D.K. Ring-opening reactions of epoxides catalyzed by molybdenum(VI) dichloride dioxide. Synthesis 2008, 5, 807–819. [Google Scholar]
- He, H.; Ng, D.K.P. A ratiometric near-infrared pH-responsive fluorescent dye based on distyryl BODIPY. Org. Biomol. Chem. 2011, 9, 2610–2613. [Google Scholar] [CrossRef]
- Amombo, G.M.O.; Kramer, T.; Monte, F.L.; Göring, S.; Fach, M.; Smith, S.; Kolb, S.; Schubenel, R.; Baumann, K.; Schmidt, B. Modification of a promiscuous inhibitor shifts the inhibition from γ-secretase to FLT-3. Bioorg. Med. Chem. Lett. 2012, 22, 7634–7640. [Google Scholar] [CrossRef]
- Wang, Q.; Ng, D.K.P.; Lo, P.-C. Functional aza-boron dipyrromethenes for subcellular imaging and organelle-specific photodynamic therapy. J. Mater. Chem. B 2018, 6, 3285–3296. [Google Scholar] [CrossRef]
- Eaton, D.F. Reference materials for fluorescence measurement. Pure Appl. Chem. 1988, 60, 1107–1114. [Google Scholar] [CrossRef]
- Maree, M.D.; Kuznetsova, N.; Nyokong, T.J. Silicon octaphenoxyphthalocyanines: Photostability and singlet oxygen quantum yields. J. Photochem. Photobiol. A Chem. 2001, 140, 117–125. [Google Scholar] [CrossRef]
- Ross, J.I.; Eady, E.A.; Cove, J.H.; Cunliffe, W.J.; Baumberg, S.; Wootton, J.C. Inducible erythromycin resistance in staphlyococci is encoded by a member of the ATP-binding transport super-gene family. Mol. Microbiol. 1990, 4, 1207–1214. [Google Scholar] [CrossRef] [PubMed]
- Ip, M.; Yung, R.W.H.; Ng, T.K.; Luk, W.K.; Tse, C.; Hung, P.; Enright, M.; Lyon, D.J. Contemporary Methicillin-Resistant Staphylococcus aureus Clones in Hong Kong. J. Clin. Microbiol. 2005, 43, 5069–5073. [Google Scholar] [PubMed]
- Li, J.; Wang, L.; Ip, M.; Sun, M.; Sun, J.; Huang, G.; Wang, C.; Deng, L.; Zheng, Y.; Fu, Z.; et al. Molecular and Clinical Characteristics of Clonal Complex 59 Methicillin-Resistant Staphylococcus aureus Infections in Mainland China. PLoS ONE 2013, 8, e70602. [Google Scholar] [CrossRef] [PubMed]
- Wong, J.; Ip, M.; Tang, A.; Wei, V.; Wong, S.; Riley, S.; Read, J.; Kwok, K. Prevalence and risk factors of community-associated methicillin-resistant Staphylococcus aureus (CA-MRSA) carriage in Asia-Pacific region from 2000 to 2016: A systematic review and meta-analysis. Int. J. Infect. Dis. 2018, 73, 135–136. [Google Scholar]
- Clinical and Laboratory Standards Institute (CLSI). Performance Standards for Antimicrobial Susceptibility Testing, 29th ed.; CLSI supplement M100; Clinical and Laboratory Standards Institute: Wayne, PA, USA, 2019. [Google Scholar]
- Wang, D.; Liu, R.; Chen, C.; Wang, S.; Chang, J.; Wu, C.; Zhu, H.; Waclawik, E.R. Synthesis, photophysical and electrochemical properties of aza-boron-diquinomethene complexes. Dye. Pigment. 2013, 99, 240–249. [Google Scholar]



| Compound | λmax/nm (log ε) | λem/nm a | ΦF a,b | ΦΔ c,d |
|---|---|---|---|---|
| 1 | 319 (4.47), 384 (4.68), 441 (4.18), 672 (4.95) | 704 | 0.35 | 0.09 |
| 2 | 317 (4.21), 389 (4.39), 454 (3.91), 680 (4.68) | 719 | 0.30 | 0.07 |
| 3 | 320 (4.16), 386 (4.36), 443 (3.87), 674 (4.64) | 707 | 0.42 | 0.08 |
| 4 | 316 (4.28), 379 (4.40), 446 (4.03), 661 (4.60) | 690 | 0.21 | 0.54 |
| 5 | 439 (3.66), 665 (4.48) | 679 | 0.01 | 0.42 |
| MRSA Type | MRSA Strain | Compound 1 | Compound 2 | Compound 3 | Compound 4 | Compound 5 | Methylene Blue | ||||||
|---|---|---|---|---|---|---|---|---|---|---|---|---|---|
| PDT (µM) | No PDT (µM) | PDT (µM) | No PDT (µM) | PDT (µM) | No PDT (µM) | PDT (µM) | No PDT (µM) | PDT (µM) | No PDT (µM) | PDT (µM) | No PDT (µM) | ||
| ATCC | 43300 | >100 a | >100 | >100 | >100 | >100 | >100 | >100 | >100 | 25 | >100 | 625 | >2500 b |
| ATCC | BAA 42 | >100 | >100 | >100 | >100 | >100 | >100 | >100 | >100 | 12.5 | 50–100 | 625 | >2500 |
| ATCC | BAA 43 | >100 | >100 | >100 | >100 | >100 | >100 | >100 | >100 | 25 | >100 | 312.5–625 | >2500 |
| ATCC | BAA 44 | >100 | >100 | >100 | >100 | >100 | >100 | >100 | >100 | 12.5–25 | >100 | 312.5–625 | >2500 |
| Mutant | AAC(6’)-APH(2’’) | >100 | >100 | >100 | >100 | >100 | >100 | >100 | >100 | 25–50 | >100 | 625–1250 | >2500 |
| Mutant | RN4220 /pUL5054 | >100 | >100 | >100 | >100 | >100 | >100 | >100 | >100 | 12.5–25 | 50 | 1250-2500 | >2500 |
| CA c | W44 | >100 | >100 | >100 | >100 | >100 | >100 | >100 | >100 | 12.5–25 | 50–100 | 2500 | >2500 |
| CA | W45 | >100 | >100 | >100 | >100 | >100 | >100 | >100 | >100 | 12.5–25 | 50 | 1250–2500 | >2500 |
| CA | W46 | >100 | >100 | >100 | >100 | >100 | >100 | >100 | >100 | 25 | >100 | 2500 | >2500 |
| CA | W47 | >100 | >100 | >100 | >100 | >100 | >100 | >100 | >100 | 25 | 50–100 | 2500 | >2500 |
| CA | W48 | >100 | >100 | >100 | >100 | >100 | >100 | >100 | >100 | 12.5–25 | 50 | 2500 | >2500 |
| HA d | W231 | >100 | >100 | >100 | >100 | >100 | >100 | >100 | >100 | 50–100 | >100 | 2500 | >2500 |
| HA | W232 | >100 | >100 | >100 | >100 | >100 | >100 | >100 | >100 | 50 | >100 | 2500 | >2500 |
| HA | W233 | >100 | >100 | >100 | >100 | >100 | >100 | >100 | >100 | 25–50 | >100 | 2500 | >2500 |
| HA | W234 | >100 | >100 | >100 | >100 | >100 | >100 | >100 | >100 | 25–50 | >100 | 2500 | >2500 |
| HA | W235 | >100 | >100 | >100 | >100 | >100 | >100 | >100 | >100 | 50 | >100 | 2500 | >2500 |
© 2020 by the authors. Licensee MDPI, Basel, Switzerland. This article is an open access article distributed under the terms and conditions of the Creative Commons Attribution (CC BY) license (http://creativecommons.org/licenses/by/4.0/).
Share and Cite
Dharmaratne, P.; Wong, R.C.H.; Wang, J.; Lo, P.-C.; Wang, B.; Chan, B.C.L.; Lau, K.-M.; Lau, C.B.S.; Fung, K.-P.; Ip, M.; et al. Synthesis and In Vitro Photodynamic Activity of Cationic Boron Dipyrromethene-Based Photosensitizers Against Methicillin-Resistant Staphylococcus aureus. Biomedicines 2020, 8, 140. https://doi.org/10.3390/biomedicines8060140
Dharmaratne P, Wong RCH, Wang J, Lo P-C, Wang B, Chan BCL, Lau K-M, Lau CBS, Fung K-P, Ip M, et al. Synthesis and In Vitro Photodynamic Activity of Cationic Boron Dipyrromethene-Based Photosensitizers Against Methicillin-Resistant Staphylococcus aureus. Biomedicines. 2020; 8(6):140. https://doi.org/10.3390/biomedicines8060140
Chicago/Turabian StyleDharmaratne, Priyanga, Roy C. H. Wong, Jun Wang, Pui-Chi Lo, Baiyan Wang, Ben C. L. Chan, Kit-Man Lau, Clara B. S. Lau, Kwok-Pui Fung, Margaret Ip, and et al. 2020. "Synthesis and In Vitro Photodynamic Activity of Cationic Boron Dipyrromethene-Based Photosensitizers Against Methicillin-Resistant Staphylococcus aureus" Biomedicines 8, no. 6: 140. https://doi.org/10.3390/biomedicines8060140
APA StyleDharmaratne, P., Wong, R. C. H., Wang, J., Lo, P.-C., Wang, B., Chan, B. C. L., Lau, K.-M., Lau, C. B. S., Fung, K.-P., Ip, M., & Ng, D. K. P. (2020). Synthesis and In Vitro Photodynamic Activity of Cationic Boron Dipyrromethene-Based Photosensitizers Against Methicillin-Resistant Staphylococcus aureus. Biomedicines, 8(6), 140. https://doi.org/10.3390/biomedicines8060140

