Characterization of the Antinociceptive Activity from Stevia serrata Cav
Abstract
1. Introduction
2. Materials and Methods
2.1. Plant Material and Extraction
2.2. Essential Oil Chemical Composition
2.3. Animals
2.4. Drugs, Reagents and Treatments
2.5. Capsaicin- and Glutamate-Induced Nociception
2.6. Formalin-Induced Nociception
2.7. Hot Plate Test
2.8. Thermal Hyperalgesia
2.9. Mechanism of Action
2.10. Locomotor Performance and Spontaneous Activity Evaluation
2.11. Statistical Analysis
3. Results
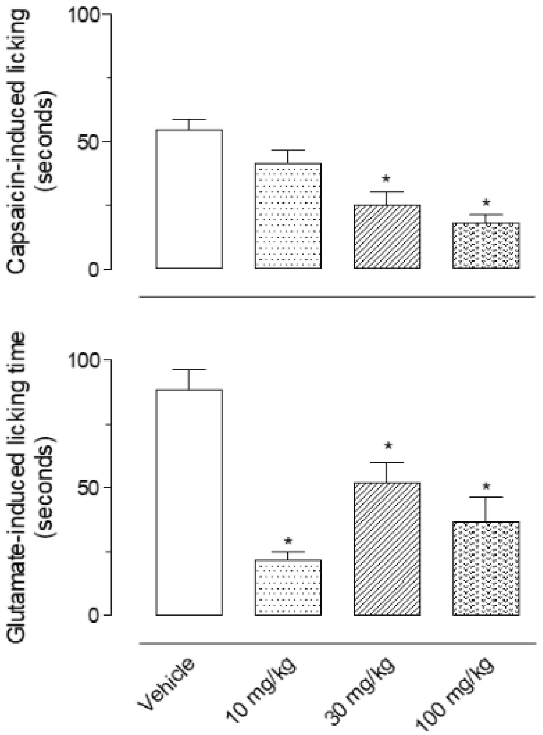
3.1. Effect of Essential Oil of Stevia Serrata on Capsaisin and Glutamate Induced-Licking
3.2. Effect of Essential Oil of Stevia Serrata on the Hot Plate Test
3.3. Effect of Essential Oil of Stevia Serrata on Formalin Induced-Licking
3.4. Effect of Essential Oil of Stevia Serrata in the Thermal Hyperalgesia Model
4. Discussion
5. Conclusions
Author Contributions
Funding
Acknowledgments
Conflicts of Interest
References
- Nash, D.L.; Williams, L.O. Flora of Guatemala. Fieldiana: Botany, Field Mus. Nat. Hist. 1976, 24, 125–126. [Google Scholar]
- Pruski, J.F.; Robinson, H. Asteraceae Bercht. & J. Presl, nom. cons. (Compositae Giseke, nom. alt.). Flora Mesoam. 2015, 5, 554–571. [Google Scholar]
- Simas, D.L.R.; Mérida-Reyes, M.S.; Muñoz-Wug, M.A.; Cordeiro, M.S.; Giorno, T.B.S.; Taracena, E.A.; Oliva-Hernández, B.E.; Martínez-Arévalo, J.V.; Fernandes, P.D.; Pérez-Sabino, J.F.; et al. Chemical composition and evaluation of antinociceptive activity of the essential oil of Stevia serrata Cav. from Guatemala. Nat. Prod. Res. 2017, 13, 1–3. [Google Scholar] [CrossRef]
- Adams, R.P. Identification of Essential Oil Components by Gas Chromatography/Quadrupole Mass Spectroscopy; Allured Publ. Corp.: Carol Stream, IL, USA, 2001. [Google Scholar]
- Giorno, T.B.S.; Ballard, Y.L.L.; Cordeiro, M.S.; Silva, B.V.; Pinto, A.C.; Fernandes, P.D. Central and peripheral antinociceptive activity of 3-(2-oxopropyl)-3-hydroxy-2-oxindoles. Pharmacol. Biochem. Behav. 2015, 135, 13–19. [Google Scholar] [CrossRef]
- Sakurada, T.; Sugiyama, A.; Sakurada, C.; Tanno, K.; Sakurada, S.; Kisara, K.; Hara, A.; Abiko, Y. Involvement of nitric oxide in spinally mediated capsaicin- and glutamate-induced behavioural responses in the mouse. Neurochem. Int. 1996, 29, 271–278. [Google Scholar] [CrossRef]
- Sahley, T.L.; Berntson, G.G. Antinociceptive effects of central and systemic administration of nicotine in the rat. Psychopharmacology 1979, 65, 279–283. [Google Scholar] [CrossRef]
- Matheus, M.E.; Berrondo, L.F.; Vieitas, E.C.; Menezes, F.S.; Fernandes, P.D. Evaluation of the antinociceptive properties from Brillantaisia palisotii Lindau stems extracts. J. Ethnopharmacol. 2005, 102, 377–381. [Google Scholar] [CrossRef]
- Sammons, M.J.; Raval, P.; Davey, P.T.; Rogers, D.; Parson, A.A.; Bingham, S. Carrageenan-induced thermal hyperalgesia in the mouse: Role of nervegrowth factor and the mitogen-activated protein kinase pathway. Brain Res. 2000, 876, 48–54. [Google Scholar] [CrossRef]
- Otuki, M.F.; Ferreira, J.; Lima, F.V.; Meyre-Silva, C.; Malheiros, A.; Muller, L.A.; Cani, G.S.; Santos, A.R.; Yunes, R.A.; Calixto, J.B. Antinociceptive properties of mixture of alphaamyrin and beta-amyrin triterpenes: Evidence for participation of protein kinase C and protein kinase A pathways. J. Pharmacol. Exp. Ther. 2005, 313, 310–318. [Google Scholar] [CrossRef]
- Tabarelli, Z.; Berlese, D.B.; Sauzem, P.D.; Rubin, M.A.; Missio, T.P.; Teixeira, M.V.; Sinhorin, A.P.; Martins, M.A.P.; Zanatta, N.; Bonacorso, H.G.; et al. Antinociceptive effect of novel pyrazolines in mice. Braz. J. Med. Biol. Res. 2004, 37, 1531–1540. [Google Scholar] [CrossRef][Green Version]
- Pinheiro, M.M.G.; Bessa, S.O.; Fingolo, C.E.; Kuster, R.M.; Matheus, M.E.; Menezes, F.S.; Fernandes, P.D. Antinociceptive activity of fractions from Couroupita guianensis Aubl. leaves. J. Ethnopharmacol. 2010, 127, 407–413. [Google Scholar] [CrossRef]
- Pinheiro, M.M.G.; Radulović, N.S.; Miltojević, A.B.; Boylan, F.; Fernandes, P.D. Antinociceptive esters of N-methylanthranilic acid: Mechanism of action in heat-mediated pain. Eur. J. Pharmacol. 2014, 727, 106–114. [Google Scholar] [CrossRef]
- Barros, H.M.T.; Tannhauser, M.A.L.; Tannhauser, S.L.; Tannhauser, M. Enhanced detection of hyperactivity after drug withdrawal with a simple modification of the open-field apparatus. J. Pharmacol. Methods 1991, 26, 269–275. [Google Scholar] [CrossRef]
- Carsten, E. Responses of rat spinal dorsal horn neurons to intracutaneous microinjection of histamine, capsaicin, and other irritants. J. Neurophysiol. 1997, 77, 2499–2514. [Google Scholar] [CrossRef]
- Carnevale, V.; Rohacs, T. TRPV1: A Target for Rational Drug Design. Pharmaceuticals 2016, 9, 52. [Google Scholar] [CrossRef]
- Hong, Y.; Abbott, F.V. Behavioural effects of intraplantar injection of inflammatory mediators in the rat. Neuroscience 1994, 63, 827–836. [Google Scholar] [CrossRef]
- Zhuo, M. Ionotropic glutamate e receptors contribute to pain transmission and chronic pain. Neuropharmacology 2017, 112, 228–234. [Google Scholar] [CrossRef]
- Millan, M.J. The induction of pain: An integrative review. Prog. Neurobiol. 1999, 57, 1–164. [Google Scholar] [CrossRef]
- Beirith, A.; Santos, A.R.S.; Calixto, J.B. Mechanisms underlying the nociception and paw oedema caused by injection of glutamate into the mouse paw. Brain Res. 2002, 924, 219–228. [Google Scholar] [CrossRef]
- Julius, D.; Basbaum, A. Molecular mechanisms of nociception. Nature 2001, 413, 203–210. [Google Scholar] [CrossRef]
- Szallasi, A.; Blumberg, P.M. Vanilloid (capsaicin) receptors and mechanisms. Pharmacol. Rev. 1999, 51, 159–212. [Google Scholar]
- Afrah, A.W.; Stiller, C.O.; Olgart, L.; Brodin, E.; Gustafsson, H. Involvement of spinal Nmethyl- D-aspartate receptors in capsaicin-induced in vivo release of substance P in the rat dorsal horn. Neurosci. Lett. 2001, 316, 83–86. [Google Scholar] [CrossRef]
- Medvedeva, Y.V.; Kim, M.S.; Usachev, Y.M. Mechanisms of prolonged presynaptic Ca2þ signaling and glutamate release induced by TRPV1 activation in rat sensory neurons. J. Neurosci. 2008, 28, 5295–5311. [Google Scholar] [CrossRef]
- Rosland, J.H.; Tjolsen, A.; Maehle, B.; Hole, D.K. The formalin test in mice. Effect of the formalin concentration. Pain 1990, 42, 235–242. [Google Scholar] [CrossRef]
- Matthes, H.W.; Maldonado, R.; Simonin, F.; Valverde, O.; Slowe, S.; Kitchen, I.; Befort, K.; Dierich, A.; Le Meur, M.; Dollé, P.; et al. Loss of morphine-induced analgesia, reward effect and withdrawal symptoms in mice lacking the m-opioid-receptor gene. Nature 1996, 383, 819–823. [Google Scholar] [CrossRef]
- Romberg, R.; Sarton, E.; Teppema, L.; Matthes, H.W.; Kieffer, B.L.; Dahan, A. Comparison of morphine-6-glucuronide and morphine on respiratory depressant and antinociceptive responses in wild type and m-opioid receptor deficient mice. Br. J. Anaesth. 2003, 91, 862–870. [Google Scholar] [CrossRef]
- Henriques, M.G.M.O.; Silva, P.M.R.; Martins, M.A.; Flores, C.A.; Cunha, F.Q.; Assreuy-Filho, J.; Cordeiro, R.S.B. Mouse paw edema. A new model for inflammation. Bras. J. Med. Biol. Res. 1987, 20, 243–249. [Google Scholar]
- Orav, A.; Raal, A.; Arak, E. Content and composition of the essential oil of Chamomilla recutita (L.) Rauschert from some European countries. Nat. Prod. Res. 2010, 24, 48–55. [Google Scholar] [CrossRef]
- Raal, A.; Orav, A.; Püssa, T.; Valner, C.; Malmiste, B.; Arak, E. Content of essential oil, terpenoids and polyphenols in commercial chamomile (Chamomilla recutita L. Rauschert) teas from different countries. Food Chem. 2012, 131, 632–638. [Google Scholar] [CrossRef]
- Flemming, M.; Kraus, B.; Rascle, A.; Jürgenliemk, G.; Fuchs, S.; Fürst, R.; Heilmann, J. Revisited anti-inflammatory activity of matricine in vitro: Comparison with chamazulene. Fitoterapia 2015, 106, 122–128. [Google Scholar] [CrossRef]
- Calderón, J.S.; Quijano, L.; Gómez, F.; Ríos, T. Prochamazulene sesquiterpene lactones from Stevia serrata. Phytochemistry 1989, 28, 3526–3527. [Google Scholar] [CrossRef]
- Safayhi, H.; Sabieraj, J.; Sailer, E.R.; Ammon, H.P. Chamazulene: An antioxidant-type inhibitor of leukotriene B4 formation. Planta Med. 1994, 60, 410–413. [Google Scholar] [CrossRef] [PubMed]
- Fonsêca, D.V.; Salgado, P.R.R.; Carvalho, F.L.; Salvadori, M.G.S.S.; Antonia Penha, A.R.S.; Leite, F.C.; Borges, C.J.S.; Piuvezam, M.R.; Pordeus, L.C.M.; Damiao, P.; et al. Nerolidol exhibits antinociceptive and anti-inflammatory activity: Involvement of the GABAergic system and proinflammatory cytokines. Fund Clin. Pharmacol. 2016, 30, 14–22. [Google Scholar] [CrossRef] [PubMed]
- Basile, A.C.; Sertie, J.A.; Freitas, P.C.D.; Zanini, A.C. Anti-inflammatory activity of oleoresin from Brazilian Copaiba. J. Ethnopharmacol. 1988, 22, 101–109. [Google Scholar] [CrossRef]
- Gomes, N.M.; Rezende, C.M.; Fontes, S.P.; Matheus, M.E.; Fernandes, P.D. Antinociceptive activity of Amazonian Copaiba oils. J. Ethnopharmacol. 2007, 109, 486–492. [Google Scholar] [CrossRef]
- Paiva, L.A.F.; Gurgel, L.A.; Silva, R.M.; Tome, A.R.; Gramosa, N.V.; Silveira, E.R.; Santos, F.A.; Rao, V.S.N. Anti-inflammatory effect of kaurenoic acid, a diterpene from Copaifera langsdorfii on acetic acid-induced colitis in rats. Vasc. Pharmacol. 2004, 39, 303–307. [Google Scholar] [CrossRef]
- Gomes, N.M.; Rezende, C.R.; Fontes, S.P.; Matheus, M.E.; Pinto, A.C.; Fernandes, P.D. Characterization of the antinociceptive and anti-inflammatory activities of fractions obtained from Copaifera multijuga Hayne. J. Ethnopharmacol. 2010, 128, 177–183. [Google Scholar] [CrossRef]




© 2020 by the authors. Licensee MDPI, Basel, Switzerland. This article is an open access article distributed under the terms and conditions of the Creative Commons Attribution (CC BY) license (http://creativecommons.org/licenses/by/4.0/).
Share and Cite
Cordeiro, M.S.; Simas, D.L.R.; Pérez-Sabino, J.F.; Mérida-Reyes, M.S.; Muñoz-Wug, M.A.; Oliva-Hernández, B.E.; da Silva, A.J.R.; Fernandes, P.D.; Giorno, T.B.S. Characterization of the Antinociceptive Activity from Stevia serrata Cav. Biomedicines 2020, 8, 79. https://doi.org/10.3390/biomedicines8040079
Cordeiro MS, Simas DLR, Pérez-Sabino JF, Mérida-Reyes MS, Muñoz-Wug MA, Oliva-Hernández BE, da Silva AJR, Fernandes PD, Giorno TBS. Characterization of the Antinociceptive Activity from Stevia serrata Cav. Biomedicines. 2020; 8(4):79. https://doi.org/10.3390/biomedicines8040079
Chicago/Turabian StyleCordeiro, Millena S., Daniel L. R. Simas, Juan F. Pérez-Sabino, Max S. Mérida-Reyes, Manuel A. Muñoz-Wug, Bessie E. Oliva-Hernández, Antônio J. R. da Silva, Patricia D. Fernandes, and Thais B. S. Giorno. 2020. "Characterization of the Antinociceptive Activity from Stevia serrata Cav" Biomedicines 8, no. 4: 79. https://doi.org/10.3390/biomedicines8040079
APA StyleCordeiro, M. S., Simas, D. L. R., Pérez-Sabino, J. F., Mérida-Reyes, M. S., Muñoz-Wug, M. A., Oliva-Hernández, B. E., da Silva, A. J. R., Fernandes, P. D., & Giorno, T. B. S. (2020). Characterization of the Antinociceptive Activity from Stevia serrata Cav. Biomedicines, 8(4), 79. https://doi.org/10.3390/biomedicines8040079

