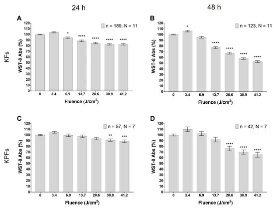
Experimental Study on Blue Light Interaction with Human Keloid-Derived Fibroblasts
Magni, G.; Banchelli, M.; Cherchi, F.; Coppi, E.; Fraccalvieri, M.; Rossi, M.; Tatini, F.; Pugliese, A.M.; Rossi Degl’Innocenti, D.; Alfieri, D.; Matteini, P.; Pini, R.; Pavone, F.S.; Rossi, F. Experimental Study on Blue Light Interaction with Human Keloid-Derived Fibroblasts. Biomedicines 2020, 8, 573. https://doi.org/10.3390/biomedicines8120573
Magni G, Banchelli M, Cherchi F, Coppi E, Fraccalvieri M, Rossi M, Tatini F, Pugliese AM, Rossi Degl’Innocenti D, Alfieri D, Matteini P, Pini R, Pavone FS, Rossi F. Experimental Study on Blue Light Interaction with Human Keloid-Derived Fibroblasts. Biomedicines. 2020; 8(12):573. https://doi.org/10.3390/biomedicines8120573
Chicago/Turabian StyleMagni, Giada, Martina Banchelli, Federica Cherchi, Elisabetta Coppi, Marco Fraccalvieri, Michele Rossi, Francesca Tatini, Anna M. Pugliese, Duccio Rossi Degl’Innocenti, Domenico Alfieri, Paolo Matteini, Roberto Pini, Francesco S. Pavone, and Francesca Rossi. 2020. "Experimental Study on Blue Light Interaction with Human Keloid-Derived Fibroblasts" Biomedicines 8, no. 12: 573. https://doi.org/10.3390/biomedicines8120573


