Development of a Multifunctional Bioerodible Nanocomposite Containing Metronidazole and Curcumin to Apply on L-PRF Clot to Promote Tissue Regeneration in Dentistry
Abstract
1. Introduction
2. Experimental Section
2.1. Materials
2.2. Evaluation of CUR Solubility in Lipid Mixtures
2.3. Preparation of CUR-Loaded NLC
2.4. Preparation of CUR-Loaded NLC Dispersion Enriched in Metronidazole
2.5. Characterization of Nanostructured Lipid Carriers
2.5.1. Particle Size, Polydispersity Index, and Zeta Potential Analysis
2.5.2. Morphology by Scanning Electron Microscopy (SEM) and Transmission Electron Microscopy (TEM)
2.5.3. Entrapment Efficacy (EE) of NLC
- (a)
- Dialysis assay: dialysis tube (molecular weight cut off, MWCO, 12–14000 Daltons, Visking Dialysis Membrane—Medicell Membranes Ltd., London, UK) was pre-activated, filled by 1 mL of NLC dispersion, and submerged in 350 mL of distilled water, keeping it protected from the light at room temperature and under gentle magnetic stirring. After 24 h, both the dispersion inside the tube and the external aqueous phase were analysed by UV-Vis analysis.
- (b)
- Ultrafiltration assay: 0.45 mL of fresh NLC dispersion were placed in the upper chamber of a centrifugal filter tube (Ultrafree-MC, Millipore, cut-off 10,000 NMWL, and 30,000 NMWL) and then centrifuged (Microfuge 22R, Beckman coulter™, Brea, CA, USA) at 8000 rpm at 4 °C for 30 min. The aqueous solution collected at the bottom of the tube was subjected to UV-Vis analysis to determine the free CUR content [32].
2.6. Preparation of Sponges Loaded with Metronidazole and Curcumin Nanostructured Lipid Carriers
2.7. Quantitative Determination of CUR and MTR in the Sponges
2.8. Hygroscopic Measurement of Sponges
2.9. Differential Scanning Calorimetry (DSC) Analysis
2.10. Sponges Porosity Determination
2.11. ABTS Free Radical Cation Scavenging Assay on Sponges
2.12. Preparation of Minitablets
2.13. Swelling Test
2.14. In Vitro CUR and MTR Release Studies
2.15. Ex Vivo Permeation/Penetration Studies of CUR and MTR from Minitablets through L-PRF Membrane
2.16. Ex Vivo Permeation/Penetration Studies of CUR and MTR from Minitablets and Sponges through Porcine Buccal Mucosae
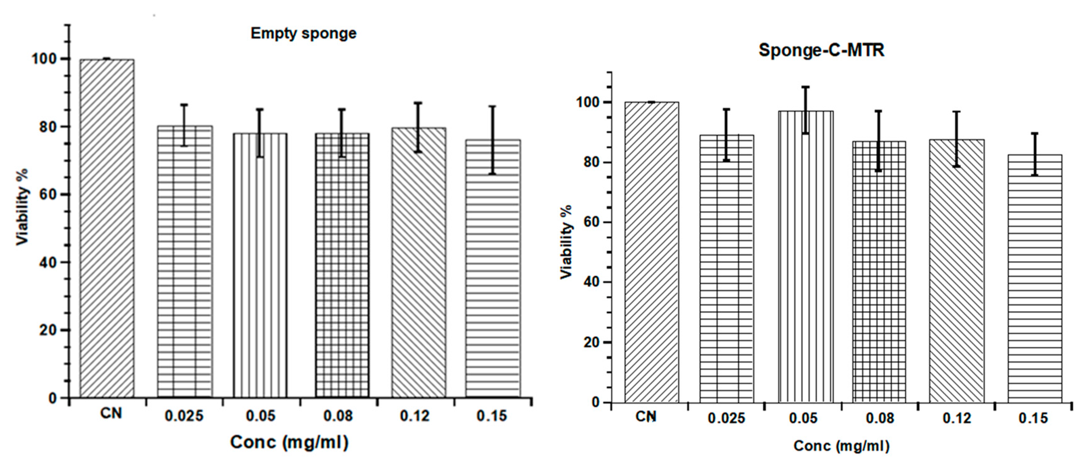
2.17. MTT Cell Viability Assay
2.18. Drugs Quantification by UV-Vis Methods
2.19. Data Analysis
3. Results
3.1. NLCs Characterization
3.2. Sponges Loaded with MTR and CUR-NLCs Formulation and Characterization
4. Conclusions
Author Contributions
Funding
Acknowledgments
Conflicts of Interest
References
- Roberts, G.; Scully, C.; Shotts, R.; Dental, E.; Health, O.; Sciences, C. Toolbox. Chief Eng. 2002, 67, 49. [Google Scholar]
- Whetman, J.; Mealey, B.L. Effect of Healing Time on New Bone Formation After Tooth Extraction and Ridge Preservation with Demineralized Freeze-Dried Bone Allograft: A Randomized Controlled Clinical Trial. J. Periodontol. 2016, 87, 1022–1029. [Google Scholar] [CrossRef]
- Lombardi, T.; Bernardello, F.; Berton, F.; Porrelli, D.; Rapani, A.; Piloni, A.C.; Fiorillo, L.; DI Lenarda, R.; Stacchi, C.; Tozum, T. Efficacy of Alveolar Ridge Preservation after Maxillary Molar Extraction in Reducing Crestal Bone Resorption and Sinus Pneumatization: A Multicenter Prospective Case-Control Study. Biomed Res. Int. 2018, 2018, 9352130. [Google Scholar] [CrossRef] [PubMed]
- Trombelli, L.; Farina, R.; Marzola, A.; Bozzi, L.; Liljenberg, B.; Lindhe, J. Modeling and remodeling of human extraction sockets. J. Clin. Periodontol. 2008, 35, 630–639. [Google Scholar] [CrossRef] [PubMed]
- Schropp, L. Bone healing and soft tissue contour changes following single-tooth extraction: A clinical and radiographic 12-month prospective study. J. Prosthet. Dent. 2004, 91, 92. [Google Scholar] [CrossRef]
- Barone, A.; Ricci, M.; Calvo-Guirado, J.L.; Covani, U. Bone remodelling after regenerative procedures around implants placed in fresh extraction sockets: An experimental study in Beagle dogs. Clin. Oral Implants Res. 2011, 22, 1131–1137. [Google Scholar] [CrossRef] [PubMed]
- Albanese, A.; Licata, M.E.; Polizzi, B.; Campisi, G. Platelet-rich plasma (PRP) in dental and oral surgery: From the wound healing to bone regeneration. Immun. Ageing 2013, 10, 23. [Google Scholar] [CrossRef]
- Moraschini, V.; Barboza, E.S.P. Effect of autologous platelet concentrates for alveolar socket preservation: A systematic review. Int. J. Oral Maxillofac. Surg. 2015, 44, 632–641. [Google Scholar] [CrossRef]
- Tabrizi, R.; Karagah, T.; Shahidi, S.; Zare, N. Does platelet-rich plasma enhance healing in the idiopathic bone cavity? A single-blind randomized clinical trial. Int. J. Oral Maxillofac. Surg. 2015, 44, 1175–1180. [Google Scholar] [CrossRef]
- Simonpieri, A.; Del Corso, M.; Sammartino, G.; Dohan Ehrenfest, D.M. The Relevance of Choukroun’s Platelet-Rich Fibrin and Metronidazole During Complex Maxillary Rehabilitations Using Bone Allograft. Part II: Implant Surgery, Prosthodontics, and Survival. Implant Dent. 2009, 18, 220–229. [Google Scholar] [CrossRef]
- Dohan, D.M.; Choukroun, J.; Diss, A.; Dohan, S.L.; Dohan, A.J.J.; Mouhyi, J.; Gogly, B. Platelet-rich fibrin (PRF): A second-generation platelet concentrate. Part III: Leucocyte activation: A new feature for platelet concentrates? Oral Surgery Oral Med. Oral Pathol. Oral Radiol. Endodontol. 2006, 101, e51–e55. [Google Scholar] [CrossRef] [PubMed]
- Del Corso, M.; Mazor, Z.; Rutkowski, J.L.; Ehrenfest, D.M.D. The Use of Leukocyte- and Platelet-Rich Fibrin During Immediate Postextractive Implantation and Loading for the Esthetic Replacement of a Fractured Maxillary Central Incisor. J. Oral Implantol. 2012, 38, 181–187. [Google Scholar] [CrossRef] [PubMed]
- Van Der Weijden, F.; Dell’Acqua, F.; Slot, D.E. Alveolar bone dimensional changes of post-extraction sockets in humans: A systematic review. J. Clin. Periodontol. 2009, 36, 1048–1058. [Google Scholar] [CrossRef] [PubMed]
- Radhakrishnan, S.; Nagarajan, S.; Belaid, H.; Farha, C.; Iatsunskyi, I.; Coy, E.; Soussan, L.; Huon, V.; Bares, J.; Belkacemi, K.; et al. Fabrication of 3D printed antimicrobial polycaprolactone scaffolds for tissue engineering applications. Mater. Sci. Eng. C 2021, 118, 111525. [Google Scholar] [CrossRef]
- Sato, S.; Fonseca, M.J.V.; Del Ciampo, J.O.; Jabor, J.R.; Pedrazzi, V. Metronidazole-containing gel for the treatment of periodontitis: An in vivo evaluation. Braz. Oral Res. 2008, 22, 145–150. [Google Scholar] [CrossRef]
- Haris, M.; Panickal, D.M. Role of Metronidazole as a Local Drug Delivery in the Treatment of Periodontitis:A Review. Int. J. Oral Health Med. Res. 2017, 3, 141–145. [Google Scholar] [CrossRef]
- Rajagopalan, A.; Thomas, D.J.T. Effectiveness of Metronidazole as Local Drug Delivery in Periodontal Diseases—A Review. IOSR J. Dent. Med. Sci. 2014, 13, 25–28. [Google Scholar] [CrossRef]
- Domazetovic, V.; Marcucci, G.; Iantomasi, T.; Brandi, M.L.; Vincenzini, M.T. Oxidative stress in bone remodeling: Role of antioxidants. Clin. Cases Miner. Bone Metab. 2017, 14, 209–216. [Google Scholar] [CrossRef]
- Akbik, D.; Ghadiri, M.; Chrzanowski, W.; Rohanizadeh, R. Curcumin as a wound healing agent. Life Sci. 2014, 116, 1–7. [Google Scholar] [CrossRef]
- Fotedar, V.; Fotedar, S.; Seam, R.K.; Gupta, M.K. Oral Cancer and Chemoprevention. Int. J. Pharm. Sci. Invent. 2013, 2, 16–20. [Google Scholar]
- Shehzad, A.; Qureshi, M.; Anwar, M.N.; Lee, Y.S. Multifunctional Curcumin Mediate Multitherapeutic Effects. J. Food Sci. 2017, 82, 2006–2015. [Google Scholar] [CrossRef] [PubMed]
- Maulina, T.; Diana, H.; Cahyanto, A.; Amaliya, A. The efficacy of curcumin in managing acute inflammation pain on the post-surgical removal of impacted third molars patients: A randomised controlled trial. J. Oral Rehabil. 2018, 45, 677–683. [Google Scholar] [CrossRef]
- Nagpal, M.; Sood, S. Role of curcumin in systemic and oral health: An overview. J. Nat. Sci. Biol. Med. 2013, 4, 3–7. [Google Scholar] [CrossRef] [PubMed]
- Mitic, A.; Todorovic, K.; Stojiljkovic, N.; Stojanovic, N.; Ilic, S.; Todorovic, A.; Stojnev, S. Beneficial effects of curcumin on the wound-healing process after tooth extraction. Nat. Prod. Commun. 2017, 12, 1905–1908. [Google Scholar] [CrossRef]
- Rohanizadeh, R.; Deng, Y.; Verron, E. Therapeutic actions of curcumin in bone disorders. Bonekey Rep. 2016, 5, 1–7. [Google Scholar] [CrossRef]
- Patel, D. Nanostructured Lipid Carriers (NLC)-Based Gel for Topical Delivery of Aceclofenac: Preparation, Characterization and In Vivo Evaluation. Sci. Pharm. 2012, 80, 749–764. [Google Scholar] [CrossRef] [PubMed]
- Swain, S.; Beg, S.; Babu, S.M. Liposheres as a Novel Carrier for Lipid Based Drug Delivery: Current and Future Directions. Recent Pat. Drug Deliv. Formul. 2016, 10, 59–71. [Google Scholar] [CrossRef]
- Murgia, D.; Angellotti, G.; D’Agostino, F.; De Caro, V. Bioadhesive Matrix Tablets Loaded with Lipophilic Nanoparticles as Vehicles for Drugs for Periodontitis Treatment: Development and Characterization. Polymers 2019, 11, 1801. [Google Scholar] [CrossRef]
- Hazzah, H.A.; Farid, R.M.; Nasra, M.M.A.; EL-Massik, M.A.; Abdallah, O.Y. Lyophilized sponges loaded with curcumin solid lipid nanoparticles for buccal delivery: Development and characterization. Int. J. Pharm. 2015, 492, 248–257. [Google Scholar] [CrossRef]
- Qian, Z.; Dai, M.; Zheng, X.; Xu, X.; Kong, X.; Li, X.; Guo, G.; Luo, F.; Zhao, X.; Wei, Y.Q. Chitosan-alginate sponge: Preparation and application in curcumin delivery for dermal wound healing in rat. J. Biomed. Biotechnol. 2009, 2009. [Google Scholar] [CrossRef]
- Almeida, H.; Lobão, P.; Frigerio, C.; Fonseca, J.; Silva, R.; Sousa Lobo, J.M.; Amaral, M.H. Preparation, characterization and biocompatibility studies of thermoresponsive eyedrops based on the combination of nanostructured lipid carriers (NLC) and the polymer Pluronic F-127 for controlled delivery of ibuprofen. Pharm. Dev. Technol. 2017, 22, 336–349. [Google Scholar] [CrossRef] [PubMed]
- Shi, F.; Zhao, J.-H.; Liu, Y.; Wang, Z.; Zhang, Y.-T.; Feng, N.-P. Preparation and characterization of solid lipid nanoparticles loaded with frankincense and myrrh oil. Int. J. Nanomed. 2012, 7, 2033–2043. [Google Scholar] [CrossRef]
- Ho, M.-H.; Kuo, P.-Y.; Hsieh, H.-J.; Hsien, T.-Y.; Hou, L.-T.; Lai, J.-Y.; Wang, D.-M. Preparation of porous scaffolds by using freeze-extraction and freeze-gelation methods. Biomaterials 2004, 25, 129–138. [Google Scholar] [CrossRef]
- Contardi, M.; Heredia-Guerrero, J.A.; Guzman-Puyol, S.; Summa, M.; Benítez, J.J.; Goldoni, L.; Caputo, G.; Cusimano, G.; Picone, P.; Di Carlo, M.; et al. Combining dietary phenolic antioxidants with polyvinylpyrrolidone: Transparent biopolymer films based on p-coumaric acid for controlled release. J. Mater. Chem. B 2019, 7, 1384–1396. [Google Scholar] [CrossRef]
- Ng, S.-F.; Rouse, J.; Sanderson, D.; Eccleston, G. A Comparative Study of Transmembrane Diffusion and Permeation of Ibuprofen across Synthetic Membranes Using Franz Diffusion Cells. Pharmaceutics 2010, 2, 209–223. [Google Scholar] [CrossRef]
- Wang, D.-P.; Yeh, M.-K. Degradation kinetics of metronidazole in solution. J. Pharm. Sci. 1993, 82, 95–98. [Google Scholar] [CrossRef]
- Bruschi, M.L. Mathematical models of drug release. In Strategies to Modify the Drug Release from Pharmaceutical Systems; Elsevier: Boston, MA, USA, 2015; pp. 63–86. ISBN 978-0-08-100092-2. [Google Scholar]
- De Caro, V.; Giandalia, G.; Siragusa, M.G.; Sutera, F.M.; Giannola, L.I. New prospective in treatment of Parkinson’s disease: Studies on permeation of ropinirole through buccal mucosa. Int. J. Pharm. 2012, 429, 78–83. [Google Scholar] [CrossRef]
- Kurien, B.T.; Singh, A.; Matsumoto, H.; Scofield, R.H. Improving the solubility and pharmacological efficacy of curcumin by heat treatment. Assay Drug Dev. Technol. 2007, 5, 567–576. [Google Scholar] [CrossRef]
- Kharat, M.; Du, Z.; Zhang, G.; McClements, D.J. Physical and Chemical Stability of Curcumin in Aqueous Solutions and Emulsions: Impact of pH, Temperature, and Molecular Environment. J. Agric. Food Chem. 2017, 65, 1525–1532. [Google Scholar] [CrossRef]
- Naksuriya, O.; van Steenbergen, M.J.; Torano, J.S.; Okonogi, S.; Hennink, W.E. A Kinetic Degradation Study of Curcumin in Its Free Form and Loaded in Polymeric Micelles. AAPS J. 2016, 18, 777–787. [Google Scholar] [CrossRef]
- Severino, P.; Pinho, S.C.; Souto, E.B.; Santana, M.H.A. Polymorphism, crystallinity and hydrophilic-lipophilic balance of stearic acid and stearic acid-capric/caprylic triglyceride matrices for production of stable nanoparticles. Colloids Surf. B Biointerfaces 2011, 86, 125–130. [Google Scholar] [CrossRef] [PubMed]
- Togashi, N.; Shiraishi, A.; Nishizaka, M.; Matsuoka, K.; Endo, K.; Hamashima, H.; Inoue, Y. Antibacterial activity of long-chain fatty alcohols against Staphylococcus aureus. Molecules 2007, 12, 139–148. [Google Scholar] [CrossRef] [PubMed]
- Shetty, A.V.; Thirugnanam, S.; Dakshinamoorthy, G.; Kajdacsy-balla, A.; Gnanasekar, M. 18 α -glycyrrhetinic acid targets prostate cancer cells by down-regulating inflammation-related genes. Int. J. Oncol. 2011, 635–640. [Google Scholar] [CrossRef]
- Long, D.R.; Mead, J.; Hendricks, J.M.; Hardy, M.E.; Voyich, J.M. aureus Survival and Attenuates Virulence Gene Expression. Antimicrob. Agents Chemother. 2013, 57, 241–247. [Google Scholar] [CrossRef]
- Damle, M. Glycyrrhiza glabra (Liquorice)—A potent medicinal herb. Int. J. Herb. Med. 2014, 2, 132–136. [Google Scholar]
- Haghshenas, V.; Fakhari, S.; Mirzaie, S.; Rahmani, M.; Farhadifar, F.; Jalili, A. Glycyrrhetinic Acid Inhibits Cell Growth and Induces Apoptosis in Ovarian Cancer A2780 Cells. Adv. Pharm. Bull. 2014, 4, 437–441. [Google Scholar] [CrossRef]
- Tanideh, N.; Rokhsari, P.; Mehrabani, D.; Mohammadi, S. The Healing Effect of Licorice on Pseudomonas aeruginosa Infected Burn Wounds in Experimental Rat Model. World J. Plast. Surg. 2014, 3, 99–106. [Google Scholar]
- Wang, Y.-J.; Pan, M.-H.; Cheng, A.-L.; Lin, L.-I.; Ho, Y.-S.; Hsieh, C.-Y.; Lin, J.-K. Stability of curcumin in buffer solutions and characterization of its degradation products. J. Pharm. Biomed. Anal. 1997, 15, 1867–1876. [Google Scholar] [CrossRef]
- Bhupinder, K.; Newton, M.J. Impact of Pluronic F-68 vs Tween 80 on Fabrication and Evaluation of Acyclovir SLNs for Skin Delivery. Recent Pat. Drug Deliv. Formul. 2016, 10, 207–221. [Google Scholar] [CrossRef]
- de Oliveira, H.P.; Tavares, G.F.; Nogueiras, C.; Rieumont, J. Physico-chemical analysis of metronidazole encapsulation processes in Eudragit copolymers and their blending with amphiphilic block copolymers. Int. J. Pharm. 2009, 380, 55–61. [Google Scholar] [CrossRef]
- Dallmann, A.; Solodenko, J.; Ince, I.; Eissing, T. Applied Concepts in PBPK Modeling: How to Extend an Open Systems Pharmacology Model to the Special Population of Pregnant Women. CPT Pharmacomet. Syst. Pharmacol. 2018, 7, 419–431. [Google Scholar] [CrossRef] [PubMed]
- Casale, M.; Moffa, A.; Vella, P.; Sabatino, L.; Capuano, F.; Salvinelli, B.; Lopez, M.A.; Carinci, F.; Salvinelli, F. Hyaluronic acid: Perspectives in dentistry. A systematic review. Int. J. Immunopathol. Pharmacol. 2016, 29, 572–582. [Google Scholar] [CrossRef] [PubMed]
- Contardi, M.; Heredia-Guerrero, J.A.; Perotto, G.; Valentini, P.; Pompa, P.P.; Spanò, R.; Goldoni, L.; Bertorelli, R.; Athanassiou, A.; Bayer, I.S. Transparent ciprofloxacin-povidone antibiotic films and nanofiber mats as potential skin and wound care dressings. Eur. J. Pharm. Sci. 2017, 104, 133–144. [Google Scholar] [CrossRef]
- Rabasco Alvarez, A.M.; González Rodríguez, M.L. Lipids in pharmaceutical and cosmetic preparations. Grasas y Aceites 2000, 51, 74–96. [Google Scholar] [CrossRef]
- De Caro, V.; Murgia, D.; Seidita, F.; Bologna, E.; Alotta, G.; Zingales, M.; Campisi, G. Enhanced In Situ Availability of Aphanizomenon Flos-Aquae Constituents Entrapped in Buccal Films for the Treatment of Oxidative Stress-Related Oral Diseases: Biomechanical Characterization and In Vitro/Ex Vivo Evaluation. Pharmaceutics 2019, 11, 35. [Google Scholar] [CrossRef]
- Olsson, C.; Jansson, H.; Swenson, J. The Role of Trehalose for the Stabilization of Proteins. J. Phys. Chem. B 2016, 120, 4723–4731. [Google Scholar] [CrossRef] [PubMed]
- Sanad, R.A.-B.; Abdel-Bar, H.M. Chitosan–hyaluronic acid composite sponge scaffold enriched with Andrographolide-loaded lipid nanoparticles for enhanced wound healing. Carbohydr. Polym. 2017, 173, 441–450. [Google Scholar] [CrossRef]
- Wang, C.; Luo, W.; Li, P.; Li, S.; Yang, Z.; Hu, Z.; Liu, Y.; Ao, N. Preparation and evaluation of chitosan/alginate porous microspheres/Bletilla striata polysaccharide composite hemostatic sponges. Carbohydr. Polym. 2017, 174, 432–442. [Google Scholar] [CrossRef]
- Loh, Q.L.; Choong, C. Three-Dimensional Scaffolds for Tissue Engineering Applications: Role of Porosity and Pore Size. Tissue Eng. Part B Rev. 2013, 19, 485–502. [Google Scholar] [CrossRef]
- Kramschuster, A.; Turng, L.-S. Fabrication of Tissue Engineering Scaffolds. In Handbook of Biopolymers and Biodegradable Plastics; Ebnesajjad, S., Ed.; Elsevier: Boston, MA, USA, 2013; pp. 427–446. ISBN 978-1-4557-2834-3. [Google Scholar]
- De Caro, V.; Ajovalasit, A.; Sutera, F.M.; Murgia, D.; Sabatino, M.A.; Dispenza, C. Development and Characterization of an Amorphous Solid Dispersion of Furosemide in the Form of a Sublingual Bioadhesive Film to Enhance Bioavailability. Pharmaceutics 2017, 9, 22. [Google Scholar] [CrossRef]
- Zhang, Y.; Huo, M.; Zhou, J.; Zou, A.; Li, W.; Yao, C.; Xie, S. DDSolver: An add-in program for modeling and comparison of drug dissolution profiles. AAPS J. 2010, 12, 263–271. [Google Scholar] [CrossRef] [PubMed]
- Cano-Duran, J.; Pena-Cardelles, J.; Ortega-Concepcion, D.; Paredes-Rodriguez, V.; Garcia-Riart, M.; Lopez-Quiles, J. The role of Leucocyte-rich and platelet-rich fibrin (L-PRF) in the treatment of the medication-related osteonecrosis of the jaws (MRONJ). J. Clin. Exp. Dent. 2017, 9, e1051–e1059. [Google Scholar] [CrossRef]
- Kulkarni, U.; Mahalingam, R.; Pather, I.; Li, X.; Jasti, B. Porcine buccal mucosa as in vitro model: Effect of biological and experimental variables. J. Pharm. Sci. 2010, 99, 1265–1277. [Google Scholar] [CrossRef] [PubMed]
- Attari, F.; Zahmatkesh, M.; Aligholi, H.; Mehr, S.E.; Sharifzadeh, M.; Gorji, A.; Mokhtari, T.; Khaksarian, M.; Hassanzadeh, G. Curcumin as a double-edged sword for stem cells: Dose, time and cell type-specific responses to curcumin. DARU J. Pharm. Sci. 2015, 23, 2703–2706. [Google Scholar] [CrossRef] [PubMed]














| SAMPLE | CUR (g) | GA (g) | HEXA (g) | IP (g) | HEXA: IP | Appearance |
|---|---|---|---|---|---|---|
| MIX1 | 0.08 | 0.10 | 0.49 | 0.33 | 60:40 | Opalescent |
| MIX2 | 0.08 | 0.10 | 0.41 | 0.41 | 50:50 | Opalescent |
| Mix3 | 0.05 | 0.10 | 0.51 | 0.34 | 60:40 | Opalescent |
| MIX4 | 0.05 | 0.10 | 0.425 | 0.425 | 50:50 | Opalescent |
| Mix5 | 0.08 | 0.03 | 0.53 | 0.36 | 60:40 | Opalescent |
| MIX6 | 0.08 | 0.03 | 0.445 | 0.445 | 50:50 | Opalescent |
| Mix7 | 0.05 | 0.03 | 0.55 | 0.37 | 60:40 | Clear |
| Sample | Amount of Mix7 (mg) | Tw80 (mg) | F-68 (mg) |
|---|---|---|---|
| M7-100-T | 100 | 200 | - |
| M7-200-T | 200 | 200 | - |
| M7-300-T | 300 | 200 | - |
| M7-100-TP | 100 | 200 | 200 |
| M7-200-TP | 200 | 200 | 200 |
| M7-300-TP | 300 | 200 | 200 |
| Samples | Z-Average (nm) | PDI | Z-Potential (mV) |
|---|---|---|---|
| M7-100-T | 121.8± 15.44 | 0.372 | −20.5 ± 6.8 |
| M7-100-TP | 117.9 ± 32.81 | 0.290 | −19.5 ± 5.1 |
| M7-200-T | 88.5 ± 8.68 | 0.733 | −19.5 ± 6.44 |
| M7-200-TP | 182.2 ± 36.88 | 0.265 | −13.5 ± 7.95 |
| M7-300-T | 689.4 ± 17.08 | 0.709 | −20.5 ± 5.87 |
| M7-300-TP | 157.0 ± 25.52 | 0.403 | −25.5 ± 7.79 |
| M7-300-TP-MTR | 112.0 ± 28.56 | 0.337 | −24.0 ± 5.32 |
| Composition of Each Batch of Composite Sponges (mg) | ||||||||
|---|---|---|---|---|---|---|---|---|
| CUR-NLC | MTR | HyNa | PVP-K90 | TRH | Tw80 | P-68 | Buffer Salts | |
| Sponge-A | M7-300-TP | 0 | 50 | 8 | 300 | 200 | 200 | 57 |
| Sponge-A-MTR | M7-300-TP-MTR | 150 | 50 | 8 | 300 | 200 | 200 | 57 |
| Sponge-B | M7-300-TP | 0 | 100 | 16 | 600 | 200 | 200 | 57 |
| Sponge-B-MTR | M7-300-TP-MTR | 150 | 100 | 16 | 600 | 200 | 200 | 57 |
| Sponge-C | M7-300-TP | 0 | 160 | 24 | 400 | 200 | 200 | 57 |
| Sponge-C-MTR | M7-300-TP-MTR | 150 | 160 | 24 | 400 | 200 | 200 | 57 |
| MTR | CUR | |||||||
|---|---|---|---|---|---|---|---|---|
| Parameters | k | n or m | r2 | c2 | k | n or m | r2 | c2 |
Zero-order | 1.60 × 10−3 | too low | 6.78 × 10−2 | 2.42 × 10−4 | 0.798 | 4.15 × 10−4 | ||
First-order a | 1.60 × 10−5 | too low | 6.76 × 10−2 | 2.43 × 10−6 | 0.799 | 4.15 × 10−4 | ||
First-order with Fmax b | 2.30 × 10−2 | Fmax = 0.261 | 0.994 | 2.01 × 10−4 | 8.21 × 10−3 | Fmax = 0.055 | 0.990 | 2.03 × 10−5 |
Higuchi c | 2.065 × 10−2 | 0.735 | 9.32 × 10−3 | 3.00 × 10−3 | 0.929 | 1.47 × 10−4 | ||
Korsmeyer–Peppas d | 4.77 × 10−2 | 0.32788 | 0.916 | 2.96 × 10−3 | 1.54 × 10−3 | 0.6355 | 0.961 | 8.01 × 10−5 |
Peppas–Sahlin e | k1= 2.16 × 10−2 k2= −5.43 × 10−6 | 0.54138 | 0.992 | 2.86 × 10−4 | k1 = 3.47 × 10−4 k2 = −9.54 × 10−7 | 1.0354 | 0.993 | 1.54 × 10−5 |
Publisher’s Note: MDPI stays neutral with regard to jurisdictional claims in published maps and institutional affiliations. |
© 2020 by the authors. Licensee MDPI, Basel, Switzerland. This article is an open access article distributed under the terms and conditions of the Creative Commons Attribution (CC BY) license (http://creativecommons.org/licenses/by/4.0/).
Share and Cite
Murgia, D.; Angellotti, G.; Conigliaro, A.; Carfi Pavia, F.; D'Agostino, F.; Contardi, M.; Mauceri, R.; Alessandro, R.; Campisi, G.; De Caro, V. Development of a Multifunctional Bioerodible Nanocomposite Containing Metronidazole and Curcumin to Apply on L-PRF Clot to Promote Tissue Regeneration in Dentistry. Biomedicines 2020, 8, 425. https://doi.org/10.3390/biomedicines8100425
Murgia D, Angellotti G, Conigliaro A, Carfi Pavia F, D'Agostino F, Contardi M, Mauceri R, Alessandro R, Campisi G, De Caro V. Development of a Multifunctional Bioerodible Nanocomposite Containing Metronidazole and Curcumin to Apply on L-PRF Clot to Promote Tissue Regeneration in Dentistry. Biomedicines. 2020; 8(10):425. https://doi.org/10.3390/biomedicines8100425
Chicago/Turabian StyleMurgia, Denise, Giuseppe Angellotti, Alice Conigliaro, Francesco Carfi Pavia, Fabio D'Agostino, Marco Contardi, Rodolfo Mauceri, Riccardo Alessandro, Giuseppina Campisi, and Viviana De Caro. 2020. "Development of a Multifunctional Bioerodible Nanocomposite Containing Metronidazole and Curcumin to Apply on L-PRF Clot to Promote Tissue Regeneration in Dentistry" Biomedicines 8, no. 10: 425. https://doi.org/10.3390/biomedicines8100425
APA StyleMurgia, D., Angellotti, G., Conigliaro, A., Carfi Pavia, F., D'Agostino, F., Contardi, M., Mauceri, R., Alessandro, R., Campisi, G., & De Caro, V. (2020). Development of a Multifunctional Bioerodible Nanocomposite Containing Metronidazole and Curcumin to Apply on L-PRF Clot to Promote Tissue Regeneration in Dentistry. Biomedicines, 8(10), 425. https://doi.org/10.3390/biomedicines8100425

