Combined Circulating microRNA and Inflammatory Cytokine Profiles Improve Disease-Stage Discrimination of Charcot Foot in Egyptian Patients with Type 2 Diabetes Mellitus
Abstract
1. Introduction
2. Subjects, Materials and Methods
2.1. Study Design and Participants
2.2. Inclusion and Exclusion Criteria for Patients’ Cohort
2.3. Inclusion and Exclusion Criteria for Healthy Control Participants
2.4. Blood Sampling
2.5. Determination of Serum Biomarkers (NLRP3, TNF-α, Casp-3, NF-Kβ, IL-1β and Serpin E2)
2.6. Fold Expression Level Estimation of Circulating miRNAs
2.7. Pre-Analytical Quality Control and Validation
2.8. Statistical Analysis
3. Results
3.1. Demographic Characteristics of the Studied Cohorts
3.2. Biochemical Characteristics Among the Control Group and the Diabetic Cohorts
3.3. Cytokine Biomarkers and miRNA Profiles Among the Control Group and Different Diabetic Cohorts
3.4. Parametric Linear Correlations in Between the Investigated Parameters Among Different Diabetic Cohorts
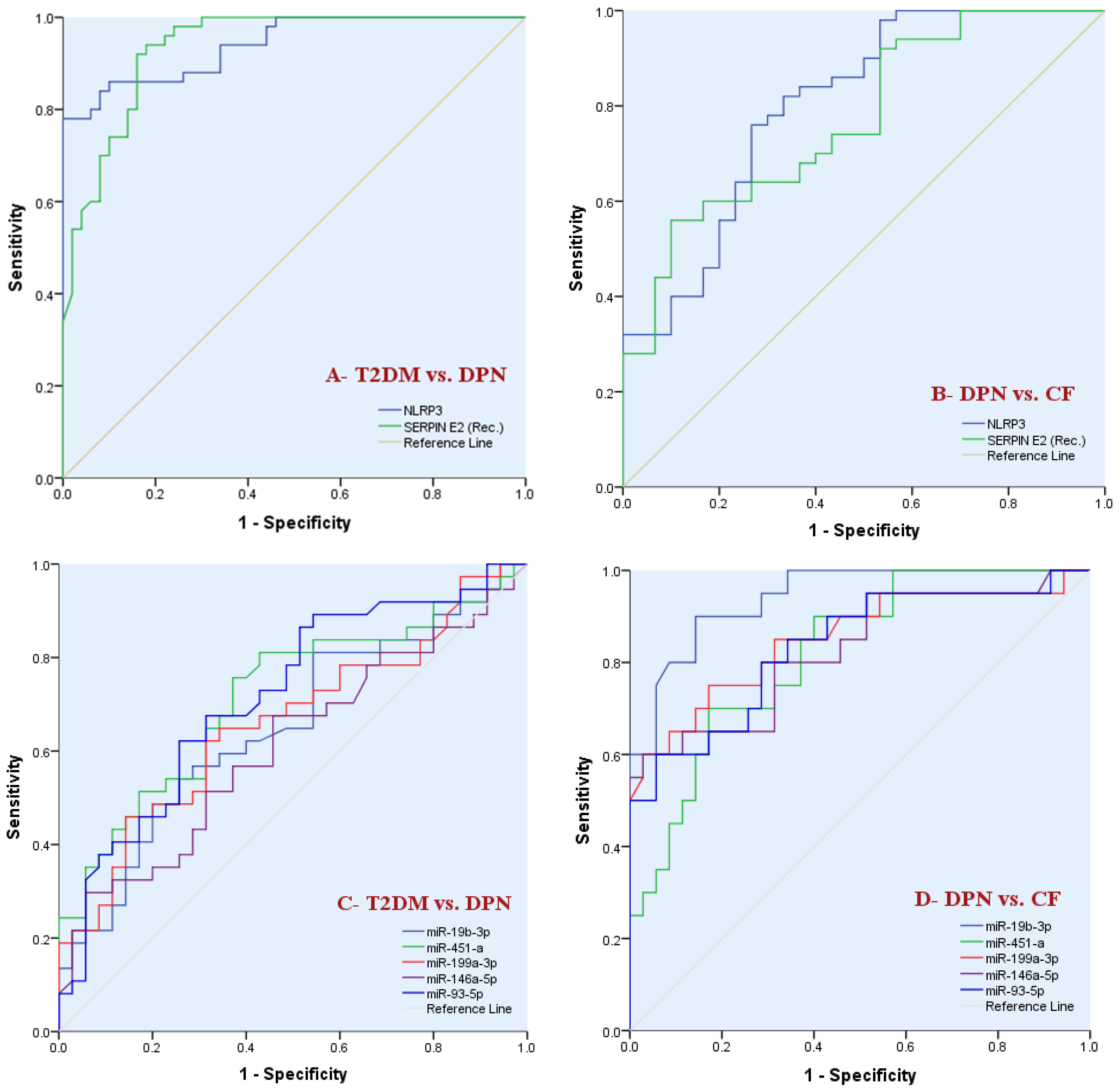
3.5. ROC Curve Analysis Evaluating the Discriminative Performance for Individual and Combined Biomarkers: NLRP3, Serpin E2 and the Circulating miRNAs Under Two Clinical Comparisons; T2DM vs. DPN Patients (Figure 3A,C) as Well as DPN vs. CF Patients (Figure 3B,D and Figure 4A–C)


4. Discussion
Limitations
5. Conclusions
Author Contributions
Funding
Institutional Review Board Statement
Informed Consent Statement
Data Availability Statement
Acknowledgments
Conflicts of Interest
Abbreviations
| ADA | American Diabetes Association |
| BMI | Body Mass Index |
| casp-3 | Caspase-3 |
| CF | Charcot Foot |
| CN | Charcot Neuroarthropathy |
| DBP | Diastolic Blood Pressure |
| DM | Diabetes Mellitus |
| DN | Diabetic Neuropathy |
| DPN | Diabetic Peripheral Neuropathy |
| FPG | Fasting Plasma Glucose |
| HbA1c | Glycated Hemoglobin |
| HDL-c | High-Density Lipoprotein Cholesterol |
| IL-1β | Interleukin-1β |
| IRAK | Interleukin-1 Receptor-Associated Kinase |
| JAK | Janus Kinase |
| LDL-c | Low-Density Lipoprotein Cholesterol |
| MAPK | Mitogen-Activated Protein Kinase |
| MCV | Motor Nerve Conduction Velocity |
| miRNAs | microRNAs |
| MRI | Magnetic Resonance Imaging |
| NCS | Nerve Conduction Study |
| NF-kβ | Nuclear Factor kappa-β |
| NIDE | National Institute for Diabetes and Endocrinology |
| NLRP3 | NOD-Like Receptor Pyrin Domain 3 |
| PI3K | Phosphoinositide 3-kinase |
| PKB | Protein kinase B |
| ROC | Receiver Operating Characteristic |
| SBP | Systolic Blood Pressure |
| SCV | Sensory Nerve Conduction Velocity |
| Serpin E2 | Serpin Peptidase Inhibitor, Clade E, Member 2 |
| STAT | Signal Transducer and Activator of Transcription |
| T2DM | Type 2 Diabetes Mellitus |
| TLR | Toll-Like Receptor |
| TNF-α | Tumor Necrosis factor-α |
| TRAF | TNF Receptor-Associated Factor |
References
- Kaur, P.; Kotru, S.; Singh, S.; Munshi, A. Role of miRNAs in diabetic neuropathy: Mechanisms and possible interventions. Mol. Neurobiol. 2022, 59, 1836–1849. [Google Scholar] [CrossRef] [PubMed]
- Fan, B.; Chopp, M.; Zhang, Z.G.; Liu, X.S. Emerging roles of microRNAs as biomarkers and therapeutic targets for diabetic neuropathy. Front. Neurol. 2020, 11, 558758. [Google Scholar] [CrossRef] [PubMed]
- Pasquier, J.; Ramachandran, V.; Abu-Qaoud, M.D.; Thomas, B.; Benurwar, M.J.; Chidiac, O.; Hoarau-Véchot, J.; Robay, A.; Fakhro, K.; Menzies, R.A.; et al. Differentially expressed circulating microRNAs in the development of acute diabetic Charcot foot. Epigenomics 2018, 10, 1267–1278. [Google Scholar] [CrossRef]
- American Diabetes Association. 11. Microvascular complications and foot care: Standards of medical care in diabetes—2019. Diabetes Care 2019, 42, S124–S138. [Google Scholar] [CrossRef]
- Rogers, L.C.; Frykberg, R.G.; Armstrong, D.G.; Boulton, A.J.; Edmonds, M.; Van, G.H.; Hartemann, A.; Game, F.; Jeffcoate, W.; Jirkovska, A.; et al. The Charcot foot in diabetes. J. Am. Podiatr. Med. Assoc. 2011, 101, 437–446. [Google Scholar] [CrossRef] [PubMed]
- Simeoli, R.; Fierabracci, A. Insights into the Role of MicroRNAs in the Onset and Development of Diabetic Neuropathy. Int. J. Mol. Sci. 2019, 20, 4627. [Google Scholar] [CrossRef]
- Bartel, D.P. MicroRNAs: Target recognition and regulatory functions. Cell 2009, 136, 215–233. [Google Scholar] [CrossRef]
- Iwakawa, H.O.; Tomari, Y. The functions of microRNAs: mRNA decay and translational repression. Trends Cell Biol. 2015, 25, 651–665. [Google Scholar] [CrossRef]
- Chen, X.; Liang, H.; Zhang, J.; Zen, K.; Zhang, C.Y. Secreted microRNAs: A new form of intercellular communication. Trends Cell Biol. 2012, 22, 125–132. [Google Scholar] [CrossRef]
- Joglekar, M.V.; Januszewski, A.S.; Jenkins, A.J.; Hardikar, A.A. Circulating microRNA biomarkers of diabetic retinopathy. Diabetes 2016, 65, 22–24. [Google Scholar] [CrossRef]
- Xourgia, E.; Papazafiropoulou, A.; Melidonis, A. Circulating microRNAs as biomarkers for diabetic neuropathy: A novel approach. World J. Exp. Med. 2018, 8, 18–23. [Google Scholar] [CrossRef]
- Massaro, J.D.; Polli, C.D.; e Silva, M.C.; Alves, C.C.; Passos, G.A.; Sakamoto-Hojo, E.T.; de Holanda Miranda, W.R.; Cezar, N.J.; Rassi, D.M.; Crispim, F.; et al. Post-transcriptional markers associated with clinical complications in Type 1 and Type 2 diabetes mellitus. Mol. Cell. Endocrinol. 2019, 490, 1–4. [Google Scholar] [CrossRef] [PubMed]
- Santos-Bezerra, D.P.; Santos, A.S.; Guimarães, G.C.; Admoni, S.N.; Perez, R.V.; Machado, C.G.; Pelaes, T.S.; Passarelli, M.; Machado, U.F.; Queiroz, M.S.; et al. Micro-RNAs 518d-3p and 618 are upregulated in individuals with type 1 diabetes with multiple microvascular complications. Front. Endocrinol. 2019, 10, 385. [Google Scholar] [CrossRef] [PubMed]
- Théry, C.; Zitvogel, L.; Amigorena, S. Exosomes: Composition, biogenesis and function. Nat. Rev. Immunol. 2002, 2, 569–579. [Google Scholar] [CrossRef]
- Rayner, K.J.; Hennessy, E.J. Extracellular communication via microRNA: Lipid particles have a new message. J. Lipid Res. 2013, 54, 1174–1181. [Google Scholar] [CrossRef]
- Shiwaku, K.; Anuurad, E.; Enkhmaa, B.; Kitajima, K.; Yamane, Y. Appropriate BMI for Asian populations. Lancet 2004, 363, 1077. [Google Scholar] [CrossRef]
- Barham, D.; Trinder, P. An improved colour reagent for the determination of blood glucose by the oxidase system. Analyst 1972, 97, 142–145. [Google Scholar] [CrossRef]
- Allain, C.C.; Poon, L.S.; Chan, C.S.; Richmond, W.; Fu, P.C. Enzymatic determination of total serum cholesterol. Clin. Chem. 1974, 20, 470–475. [Google Scholar] [CrossRef]
- McGowan, M.W.; Artiss, J.D.; Strandbergh, D.R.; Zak, B. A peroxidase-coupled method for the colorimetric determination of serum triglycerides. Clin. Chem. 1983, 29, 538–542. [Google Scholar] [CrossRef]
- Finley, P.R.; Schifman, R.B.; Williams, R.J.; Lichti, D.A. Cholesterol in high-density lipoprotein: Use of Mg2+/dextran sulfate in its enzymic measurement. Clin. Chem. 1978, 24, 931–933. [Google Scholar] [CrossRef]
- Friedewald, W.T.; Levy, R.I.; Fredrickson, D.S. Estimation of the concentration of low-density lipoprotein cholesterol in plasma, without use of the preparative ultracentrifuge. Clin. Chem. 1972, 18, 499–502. [Google Scholar] [CrossRef]
- ElSayed, N.A.; Aleppo, G.; Aroda, V.R.; Bannuru, R.R.; Brown, F.M.; Bruemmer, D.; Collins, B.S.; Hilliard, M.E.; Isaacs, D.; Johnson, E.L.; et al. Addendum. 2. Classification and diagnosis of diabetes: Standards of Care in Diabetes—2023. Diabetes Care 2023, 46, S19–S40, https://doi.org/10.2337/dc23-S002. Erratum in Diabetes Care 2023, 46, 1715. [Google Scholar] [CrossRef] [PubMed]
- Tesfaye, S.; Boulton, A.J.; Dyck, P.J.; Freeman, R.; Horowitz, M.; Kempler, P.; Lauria, G.; Malik, R.A.; Spallone, V.; Vinik, A.; et al. Diabetic neuropathies: Update on definitions, diagnostic criteria, estimation of severity, and treatments. Diabetes Care 2010, 33, 2285–2293, https://doi.org/10.2337/dc10-1303. Erratum in Diabetes Care 2010, 33, 2725. [Google Scholar] [CrossRef] [PubMed]
- Livak, K.J.; Schmittgen, T.D. Analysis of relative gene expression data using real-time quantitative PCR and the 2−ΔΔCT method. Methods 2001, 25, 402–408. [Google Scholar] [CrossRef]
- Ji, H.; Lu, Y.; Liu, G.; Zhao, X.; Xu, M.; Chen, M. Role of decreased expression of miR-155 and miR-146a in peripheral blood of type 2 diabetes mellitus patients with diabetic peripheral neuropathy. Diabetes Metab. Syndr. Obes. 2024, 17, 2747–2760. [Google Scholar] [CrossRef]
- Bansod, H.; Wanjari, A.; Dumbhare, O. A review on relationship between Charcot neuroarthropathy and diabetic patients. Cureus 2023, 15, e50988. [Google Scholar] [CrossRef]
- Sethi, Y.; Uniyal, N.; Vora, V.; Agarwal, P.; Murli, H.; Joshi, A.; Patel, N.; Chopra, H.; Hasabo, E.A.; Kaka, N. Hypertension the ‘missed modifiable risk factor’ for diabetic neuropathy: A systematic review. Curr. Probl. Cardiol. 2023, 48, 101581. [Google Scholar] [CrossRef]
- Zhu, J.; Hu, Z.; Luo, Y.; Liu, Y.; Luo, W.; Du, X.; Luo, Z.; Hu, J.; Peng, S. Diabetic peripheral neuropathy: Pathogenetic mechanisms and treatment. Front. Endocrinol. 2024, 14, 1265372. [Google Scholar] [CrossRef]
- Nashtahosseini, Z.; Eslami, M.; Paraandavaji, E.; Haraj, A.; Dowlat, B.F.; Hosseinzadeh, E.; Oksenych, V.; Naderian, R. Cytokine Signaling in Diabetic Neuropathy: A Key Player in Peripheral Nerve Damage. Biomedicines 2025, 13, 589. [Google Scholar] [CrossRef]
- Barnabei, L.; Laplantine, E.; Mbongo, W.; Rieux-Laucat, F.; Weil, R. NF-κB: At the borders of autoimmunity and inflammation. Front. Immunol. 2021, 12, 716469. [Google Scholar] [CrossRef]
- Liu, T.; Zhang, L.; Joo, D.; Sun, S.C. NF-κB signaling in inflammation. Signal Transduct. Target. Ther. 2017, 2, 17023. [Google Scholar] [CrossRef]
- Oeckinghaus, A.; Ghosh, S. The NF-κB family of transcription factors and its regulation. Cold Spring Harb. Perspect. Biol. 2009, 1, a000034. [Google Scholar] [CrossRef] [PubMed]
- Wang, Y.; Schmeichel, A.M.; Iida, H.; Schmelzer, J.D.; Low, P.A. Enhanced inflammatory response via activation of NF-κB in acute experimental diabetic neuropathy subjected to ischemia–reperfusion injury. J. Neurol. Sci. 2006, 247, 47–52. [Google Scholar] [CrossRef] [PubMed]
- Mittal, R.; Kumar, A.; Singh, D.P.; Bishnoi, M.; Nag, T.C. Ameliorative potential of rutin in combination with nimesulide in STZ model of diabetic neuropathy: Targeting Nrf2/HO-1/NF-kB and COX signaling pathway. Inflammopharmacology 2018, 26, 755–768. [Google Scholar] [CrossRef] [PubMed]
- Mu, Z.P.; Wang, Y.G.; Li, C.Q.; Lv, W.S.; Wang, B.; Jing, Z.H.; Song, X.J.; Lun, Y.; Qiu, M.Y.; Ma, X.L. Association between tumor necrosis factor-α and diabetic peripheral neuropathy in patients with type 2 diabetes: A meta-analysis. Mol. Neurobiol. 2017, 54, 983–996. [Google Scholar] [CrossRef]
- Xue, T.; Zhang, X.; Xing, Y.; Liu, S.; Zhang, L.; Wang, X.; Yu, M. Advances about immunoinflammatory pathogenesis and treatment in diabetic peripheral neuropathy. Front. Pharmacol. 2021, 12, 748193. [Google Scholar] [CrossRef]
- Duan, Y.W.; Chen, S.X.; Li, Q.Y.; Zang, Y. Neuroimmune mechanisms underlying neuropathic pain: The potential role of TNF-α-necroptosis pathway. Int. J. Mol. Sci. 2022, 23, 7191. [Google Scholar] [CrossRef]
- Leung, L.; Cahill, C.M. TNF-α and neuropathic pain—A review. J. Neuroinflamm. 2010, 7, 27. [Google Scholar] [CrossRef]
- Choi, B.M.; Lee, S.H.; An, S.M.; Park, D.Y.; Lee, G.W.; Noh, G.J. The time-course and RNA interference of TNF-α, IL-6, and IL-1β expression on neuropathic pain induced by L5 spinal nerve transection in rats. Korean J. Anesthesiol. 2015, 68, 159–169, https://doi.org/10.4097/kjae.2015.68.2.159. Erratum in Korean J. Anesthesiol. 2015, 68, 311. [Google Scholar] [CrossRef]
- Boulton, A.J.; Armstrong, D.G.; Albert, S.F.; Frykberg, R.G.; Hellman, R.; Kirkman, M.S.; Lavery, L.A.; LeMaster, J.W.; Mills, J.L.; Mueller, M.J.; et al. Comprehensive foot examination and risk assessment: A report of the task force of the foot care interest group of the American Diabetes Association, with endorsement by the American Association of Clinical Endocrinologists. Diabetes Care 2008, 1, 1679–1685. [Google Scholar] [CrossRef] [PubMed]
- Jeffcoate, W.; Game, F. The Charcot foot reflects a response to injury that is critically distorted by preexisting nerve damage: An imperfect storm. Diabetes Care 2022, 45, 1691–1697. [Google Scholar] [CrossRef]
- Bobircă, A.; Musetescu, A.E.; Bordianu, A.; Pantea Stoian, A.; Salmen, T.; Marinescu, D.C.; Alexandru, C.; Florescu, A.; Radu, R.; Isac, S.; et al. Novel Biomarkers Predictive of Diabetic Charcot Foot—An Overview of the Literature. Life 2022, 12, 1944. [Google Scholar] [CrossRef] [PubMed]
- Jeffcoate, W.J.; Game, F.; Cavanagh, P.R. The role of proinflammatory cytokines in the cause of neuropathic osteoarthropathy (acute Charcot foot) in diabetes. Lancet 2005, 366, 2058–2061. [Google Scholar] [CrossRef] [PubMed]
- Zakariah, M.; Molele, R.A.; Mahdy, M.A.; Ibrahim, M.I.; McGaw, L.J. Regulation of spermatogenic cell apoptosis by the pro-apoptotic proteins in the testicular tissues of mammalian and avian species. Anim. Reprod. Sci. 2022, 247, 107158. [Google Scholar] [CrossRef] [PubMed]
- McIlwain, D.R.; Berger, T.; Mak, T.W. Caspase functions in cell death and disease. Cold Spring Harb. Perspect. Biol. 2015, 7, a026716, https://doi.org/10.1101/cshperspect.a008656. Erratum in Cold Spring Harb. Perspect. Biol. 2013, 5, a008656. [Google Scholar] [CrossRef] [PubMed]
- Yu, M.X.; Lei, B.; Song, X.; Huang, Y.M.; Ma, X.Q.; Hao, C.X.; Yang, W.H.; Pan, M.L. Compound XiongShao Capsule ameliorates streptozotocin-induced diabetic peripheral neuropathy in rats via inhibiting apoptosis, oxidative-nitrosative stress and advanced glycation end products. J. Ethnopharmacol. 2021, 268, 113560. [Google Scholar] [CrossRef]
- Wu, F.; Miao, X.; Chen, J.; Sun, Y.; Liu, Z.; Tao, Y.; Yu, W. Down-regulation of GAP-43 by inhibition of caspases-3 in a rat model of neuropathic pain. Int. J. Clin. Exp. Pathol. 2012, 5, 948–955. [Google Scholar]
- Zhang, H.; Li, N.; Li, Z.; Li, Y.; Yu, Y.; Zhang, L. The involvement of caspases in neuroinflammation and neuronal apoptosis in chronic pain and potential therapeutic targets. Front. Pharmacol. 2022, 13, 898574. [Google Scholar] [CrossRef]
- Papanas, N.; Maltezos, E. Etiology, pathophysiology and classifications of the diabetic Charcot foot. Diabet. Foot Ankle 2013, 4, 20872. [Google Scholar] [CrossRef]
- Al Mamun, A.; Shao, C.; Geng, P.; Wang, S.; Xiao, J. Pyroptosis in diabetic peripheral neuropathy and its therapeutic regulation. J. Inflamm. Res. 2024, 17, 3839–3864. [Google Scholar] [CrossRef]
- Wu, S.; Yang, Y.; Zhang, M.; Khan, A.U.; Dai, J.; Ouyang, J. Serpin peptidase inhibitor, clade E, member 2 in physiology and pathology: Recent advancements. Front. Mol. Biosci. 2024, 11, 1334931. [Google Scholar] [CrossRef]
- Li, Y.B.; Wu, Q.; Liu, J.; Fan, Y.Z.; Yu, K.F.; Cai, Y. miR-199a-3p is involved in the pathogenesis and progression of diabetic neuropathy through downregulation of SerpinE2. Mol. Med. Rep. 2017, 16, 2417–2424. [Google Scholar] [CrossRef]
- Omouendze, P.L.; Henry, V.J.; Porte, B.; Dupre, N.; Carmeliet, P.; Gonzalez, B.J.; Marret, S.; Leroux, P. Hypoxia-ischemia or excitotoxin-induced tissue plasminogen activator-dependent gelatinase activation in mice neonate brain microvessels. PLoS ONE 2013, 8, e71263. [Google Scholar] [CrossRef] [PubMed]
- Fang, L.L.; Wang, X.H.; Sun, B.F.; Zhang, X.D.; Zhu, X.H.; Yu, Z.J.; Luo, H. Expression, regulation and mechanism of action of the miR-17-92 cluster in tumor cells. Int. J. Mol. Med. 2017, 40, 1624–1630. [Google Scholar] [CrossRef] [PubMed]
- Rajabinejad, M.; Asadi, G.; Ranjbar, S.; Varmaziar, F.R.; Karimi, M.; Salari, F.; Karaji, A.G.; Rezaiemanesh, A.; Hezarkhani, L.A. The MALAT1-H19/miR-19b-3p axis can be a fingerprint for diabetic neuropathy. Immunol. Lett. 2022, 245, 69–78. [Google Scholar] [CrossRef] [PubMed]
- Tang, Y.; Zhang, Y.C.; Chen, Y.; Xiang, Y.; Shen, C.X.; Li, Y.G. The role of miR-19b in the inhibition of endothelial cell apoptosis and its relationship with coronary artery disease. Sci. Rep. 2015, 5, 15132. [Google Scholar] [CrossRef]
- Wang, F.X.; Mu, G.; Yu, Z.H.; Qin, Z.S.; Zhao, X.; Shi, Z.A.; Fan, X.; Liu, L.; Chen, Y.; Zhou, J. MiR-451 in Inflammatory Diseases: Molecular Mechanisms, Biomarkers, and Therapeutic Applications—A Comprehensive Review Beyond Oncology. Curr. Issues Mol. Biol. 2025, 47, 127. [Google Scholar] [CrossRef]
- Meng, W.; Li, Y.; Chai, B.; Liu, X.; Ma, Z. miR-199a: A tumor suppressor with noncoding RNA network and therapeutic candidate in lung cancer. Int. J. Mol. Sci. 2022, 23, 8518. [Google Scholar] [CrossRef]
- Wang, H.; Wang, Z.; Tang, Q. Reduced expression of microRNA-199a-3p is associated with vascular endothelial cell injury induced by type 2 diabetes mellitus. Exp. Ther. Med. 2018, 16, 3639–3645. [Google Scholar] [CrossRef]
- Li, L.; Chen, X.P.; Li, Y.J. MicroRNA-146a and human disease. Scand. J. Immunol. 2010, 71, 227–231. [Google Scholar] [CrossRef]
- Feng, Y.; Chen, L.; Luo, Q.; Wu, M.; Chen, Y.; Shi, X. Involvement of microRNA-146a in diabetic peripheral neuropathy through the regulation of inflammation. Drug Des. Devel. Ther. 2018, 12, 171–177. [Google Scholar] [CrossRef] [PubMed]
- Wang, G.F.; Xu, N. Expression and clinical significance of microRNA 146a in peripheral blood mononuclear cells from type 2 diabetic neuropathy patients. Int. J. Clin. Exp. Med. 2018, 11, 7165–7173. [Google Scholar]
- Angelescu, M.A.; Andronic, O.; Dima, S.O.; Popescu, I.; Meivar-Levy, I.; Ferber, S.; Lixandru, D. miRNAs as biomarkers in diabetes: Moving towards precision medicine. Int. J. Mol. Sci. 2022, 23, 12843. [Google Scholar] [CrossRef] [PubMed]
- Liu, X.S.; Fan, B.; Szalad, A.; Jia, L.; Wang, L.; Wang, X.; Pan, W.; Zhang, L.; Zhang, R.; Hu, J.; et al. MicroRNA-146a mimics reduce the peripheral neuropathy in type 2 diabetic mice. Diabetes 2017, 66, 3111–3121. [Google Scholar] [CrossRef]
- Vila-Navarro, E.; Fernandez-Castañer, E.; Rovira-Rigau, M.; Raimondi, G.; Vila-Casadesus, M.; Lozano, J.J.; Soubeyran, P.; Iovanna, J.; Castells, A.; Fillat, C.; et al. MiR-93 is related to poor prognosis in pancreatic cancer and promotes tumor progression by targeting microtubule dynamics. Oncogenesis 2020, 9, 43. [Google Scholar] [CrossRef]
- Chen, X.; Yang, H.; Zhou, X.; Zhang, L.; Lu, X. MiR-93 targeting EphA4 promotes neurite outgrowth from spinal cord neurons. J. Mol. Neurosci. 2016, 58, 517–524. [Google Scholar] [CrossRef]
- Lattanzi, A.; Gentner, B.; Corno, D.; Di Tomaso, T.; Mestdagh, P.; Speleman, F.; Naldini, L.; Gritti, A. Dynamic activity of miR-125b and miR-93 during murine neural stem cell differentiation in vitro and in the subventricular zone neurogenic niche. PLoS ONE 2013, 8, e67411. [Google Scholar] [CrossRef]
- Yan, X.T.; Ji, L.J.; Wang, Z.; Wu, X.; Wang, Q.; Sun, S.; Lu, J.M.; Zhang, Y. MicroRNA-93 alleviates neuropathic pain through targeting signal transducer and activator of transcription 3. Int. Immunopharmacol. 2017, 46, 156–162. [Google Scholar] [CrossRef]
- Saha, P.; Yarra, S.S.; Arruri, V.; Mohan, U.; Kumar, A. Exploring the role of miRNA in diabetic neuropathy: From diagnostics to therapeutics. Naunyn Schmiedebergs Arch. Pharmacol. 2025, 398, 1129–1144. [Google Scholar] [CrossRef]


| Parameters | Control Group (No. = 43) | T2DM Group (No. = 50) | DPN Group (No. = 50) | CF Group (No. = 30) |
|---|---|---|---|---|
| Age (year) | 50.70 ± 1 | 52.72 ± 0.69 | 53.66 ± 0.73 | 53.53 ± 1.21 |
| Disease Duration (years) | 0 ± 0 | 3.60 A ± 0.26 | 16.62 AB ± 0.84 | 15.17 AB ± 0.98 |
| BMI (Kg/m2) | 28.61 ± 0.83 | 32.20 A ± 0.96 | 32.53 A ± 0.80 | 33.11 A ± 1.09 |
| SEX (M/F) | 17/26 | 23/27 NS | 25/25 NS | 16/14 NS |
| SBP (mmHg) | 115.81 ± 0.95 | 119.60 ± 1.24 | 137.20 AB ± 1.03 | 128.00 ABC ± 2.11 |
| DBP (mmHg) | 76.16 ± 0.74 | 76.80 ± 1.01 | 91.60 AB ± 1.00 | 83.27 ABC ± 1.61 |
| Parameters | Control Group (No. = 43) | T2DM Group (No. = 50) | DPN Group (No. = 50) | CF Group (No. = 30) |
|---|---|---|---|---|
| FPG (mg/dL) | 92.16 ± 1.39 | 168.26 A ± 8.62 | 258.52 AB ± 9.76 | 280.77 AB ± 20.14 |
| HbA1c (%) | 5.34 ± 0.05 | 7.00 A ± 0.13 | 8.90 AB ± 0.20 | 9.89 ABC ± 0.37 |
| Cholesterol (mg/dL) | 193.95 ± 5.08 | 207.18 ± 5.92 | 211.46 ± 6.55 | 163.60 ABC ± 6.90 |
| TGs (mg/dL) | 146.70 ± 12.70 | 164.64 ± 7.85 | 182.00 B ± 6.15 | 131.07 C ± 11.39 |
| HDL-c (mg/dL) | 47.44 ± 1.17 | 48.98 ± 1.39 | 39.70 AB ± 0.94 | 45.20 C ± 2.09 |
| LDL-c (mg/dL) | 126.00 ± 3.89 | 129.26 ± 4.37 | 135.20 ± 6.21 | 94.53 ABC ± 4.80 |
| SCV (m/s) | NA | 37.18 ± 0.48 | 31.28 * ± 0.60 | NA |
| MCV (m/s) | NA | 61.06 ± 0.90 | 34.12 * ± 0.56 | NA |
| Level | Parameters | Control Group (No. = 43) | T2DM Group (No. = 50) | DPN Group (No. = 50) | CF Group (No. = 30) |
|---|---|---|---|---|---|
| Serum concentration cytokine levels | CASP-3 (pg/mL) | 694.25 ± 9.75 | 804.74 ± 32.14 | 2884.94 AB ± 168.57 | 1154.04 ABC ± 80.89 |
| TNF-α (pg/mL) | 158.92 ± 7.20 | 182.31 ± 5.98 | 398.35 AB ± 29.45 | 261.50 AB ± 13.42 | |
| IL-1β (pg/mL) | 78.76 ± 1.40 | 83.72 ± 2.07 | 178.72 AB ± 11.79 | 103.99 ABC ± 4.65 | |
| NF-kβ (pg/mL) | 1532.40 ± 43.41 | 1974.15 ± 101.91 | 5327.47 AB ± 213.49 | 2560.85 AC ± 207.11 | |
| NLRP3 (pg/mL) | 1464.72 ± 56.13 | 1951.11 A ± 87.37 | 4318.18 AB ± 272.15 | 2488.20 AC ± 223.97 | |
| Serpin E2 (pg/mL) | 1852.02 ± 73.59 | 1703.21 ± 63.31 | 1071.92 AB ± 26.58 | 1420.06 ABC ± 84.90 | |
| Fold expression miRNA levels | miR-19b-3p | 1.33 ± 0.24 | 0.23 A ± 0.03 | 0.12 A ± 0.02 | 0.91 BC ± 0.16 |
| miR-451-a | 1.32 ± 0.26 | 0.24 A ± 0.04 | 0.09 AB ± 0.02 | 0.40 AC ± 0.10 | |
| miR-199a-3p | 1.75 ± 0.28 | 0.37 A ± 0.06 | 0.13 A ± 0.02 | 1.57 BC ± 0.32 | |
| miR-146a-5p | 1.54 ± 0.22 | 0.26 A ± 0.04 | 0.15 A ± 0.02 | 1.65 BC ± 0.46 | |
| miR-93-5p | 1.88 ± 0.37 | 0.24 A ± 0.04 | 0.09 AB ± 0.02 | 0.99 C ± 0.25 |
| Comparison | T2DM Group (No. = 50) | DPN Group (No. = 50) | CF Group (No. = 30) | ||
|---|---|---|---|---|---|
| r | r | r | |||
| Caspase-3 | vs. | FPG | 0.30 * | −0.31 * | NS |
| SCV | −0.28 * | NS | NS | ||
| IL-1β | 0.33 * | 0.31 * | NS | ||
| NLRP3 | 0.28 * | NS | NS | ||
| NF-kβ | 0.39 * | 0.41 ** | 0.39 * | ||
| TNF-α | vs. | IL-1β | NS | 0.53 ** | NS |
| NF-kβ | NS | 0.39 ** | NS | ||
| Serpin E2 | NS | −0.34 ** | NS | ||
| IL-1β | vs. | FPG | 0.33 * | NS | NS |
| LDL-c | −0.32 * | NS | NS | ||
| NF-kβ | 0.34 * | 0.43 ** | NS | ||
| NLRP3 | NS | NS | −0.43 * | ||
| NF-kβ | vs. | HbA1c | 0.42 ** | NS | NS |
| Cholesterol | −0.34 * | NS | NS | ||
| LDL-c | −0.38 * | NS | NS | ||
| SCV | −0.44 ** | NS | NS | ||
| Serpin E2 | NS | NS | 0.43 * | ||
| NLRP3 | vs. | FPG | 0.38 * | NS | NS |
| BMI | NS | 0.35 * | NS | ||
| HDL-c | NS | 0.3 * | NS | ||
| Serpin E2 | −0.35 * | NS | NS | ||
| Serpin E2 | vs. | TG | NS | −0.31 * | NS |
| BMI | NS | NS | 0.42 * | ||
| miR-19b-3p | vs. | HDL-c | −0.3 * | NS | NS |
| miR-451-a | 0.92 ** | 0.85 ** | NS | ||
| miR-199a-3p | 0.79 ** | 0.58 ** | 0.75 ** | ||
| miR-146a-5p | 0.84 ** | 0.62 ** | 0.86 ** | ||
| miR-93-5p | 0.89 ** | 0.85 ** | 0.81 ** | ||
| miR-451-a | vs. | Cholesterol | NS | −0.34 * | NS |
| LDL-c | NS | −0.36 * | NS | ||
| miR-199a-3p | 0.62 ** | 0.53 ** | NS | ||
| miR-146a-5p | 0.71 ** | 0.56 ** | NS | ||
| miR-93-5p | 0.87 ** | 0.75 ** | NS | ||
| miR-199a-3p | vs. | LDL-c | NS | −0.3 * | NS |
| SCV | −0.33 * | NS | NS | ||
| miR-146a-5p | 0.92 ** | 0.73 ** | 0.86 ** | ||
| miR-93-5p | 0.74 ** | 0.62 ** | 0.81 ** | ||
| miR-146a-5p | vs. | Serpin E2 | NS | NS | 0.45 * |
| miR-93-5p | 0.78 ** | NS | 0.81 ** | ||
| Parameter | No. | AUC ± SEM | 95% CI | Optimal Cut-Off | Sn (%) | Sp (%) | p-Value | ||
|---|---|---|---|---|---|---|---|---|---|
| (A) | |||||||||
| 1-cytokine inflammatory biomarkers | NLRP3 | 80 | 0.80 ± 0.05 | [0.70–0.90] | 3004.4 * | 76% | 73.3% | 0.000 | |
| Serpin E2 | 80 | 0.77 ± 0.05 | [0.67–0.87] | 1089.2 * | 56% | 90% | 0.000 | ||
| Predicted combined panel score | - | 0.90 ± 0.04 | [0.83–0.97] | 0.49 * | 88% | 83.3% | 0.000 | ||
| 2-plasma miRNA signature | miR-19b-3p | 80 | 0.94 ± 0.03 | [0.89–1.00] | 1.11 ** | 90% | 85.7% | 0.000 | |
| miR-451-a | 80 | 0.82 ± 0.06 | [0.71–0.93] | 0.59 ** | 70% | 82.9% | 0.000 | ||
| miR-199a-3p | 80 | 0.85 ± 0.06 | [0.74–0.97] | 0.78 ** | 75% | 82.9% | 0.000 | ||
| miR-146a-5p | 80 | 0.83 ± 0.06 | [0.71–0.95] | 1.27 ** | 60% | 97.1% | 0.000 | ||
| miR-93-5p | 80 | 0.83 ± 0.06 | [0.72–0.95] | 1.12 ** | 60% | 94.3% | 0.000 | ||
| Predicted combined panel score | miR-451-a and miR-146a-5p | - | 0.90 ± 0.05 | [0.80–0.99] | 0.54 ** | 76% | 95% | 0.000 | |
| miR-451-a and miR-199a-3p | - | 0.91 ± 0.04 | [0.83–1.00] | 0.49 ** | 78% | 97% | 0.000 | ||
| (B) | |||||||||
| 1-cytokine markers | NLRP3 | 100 | 0.94 ± 0.02 | [0.90–0.98] | 2965.20 # | 78% | 100% | 0.000 | |
| Serpin E2 | 100 | 0.94 ± 0.02 | [0.89–0.98] | 1297.00 # | 82% | 94% | 0.000 | ||
| 2-plasma miRNA signature | miR-19b-3p | 100 | 0.65 ± 0.06 | [0.52–0.78] | 0.10 ## | 100% | 88.6% | 0.028 | |
| miR-451-a | 100 | 0.72 ± 0.06 | [0.60–0.84] | 0.04 ## | 75.7% | 62.9% | 0.002 | ||
| miR-199a-3p | 100 | 0.66 ± 0.06 | [0.54–0.79] | 0.20 ## | 45.9% | 85.7% | 0.019 | ||
| miR-146a-5p | 100 | 0.61 ± 0.07 | [0.48–0.74] | 0.25 ## | 29.7% | 94.3% | 0.108 | ||
| miR-93-5p | 100 | 0.72 ± 0.06 | [0.60–0.84] | 0.06 ## | 62.2% | 74.3% | 0.002 | ||
Disclaimer/Publisher’s Note: The statements, opinions and data contained in all publications are solely those of the individual author(s) and contributor(s) and not of MDPI and/or the editor(s). MDPI and/or the editor(s) disclaim responsibility for any injury to people or property resulting from any ideas, methods, instructions or products referred to in the content. |
© 2026 by the authors. Licensee MDPI, Basel, Switzerland. This article is an open access article distributed under the terms and conditions of the Creative Commons Attribution (CC BY) license.
Share and Cite
Hamed, H.I.; Amin, I.N.; Hassan, S.B.; Amin, A.I.; Emara, I.A.; Ahmed, H.R.; Mubarak, L.S.; Abd El Aziz, S.M.; Elatreby, A.A.E.; El Sabawy, A.M.; et al. Combined Circulating microRNA and Inflammatory Cytokine Profiles Improve Disease-Stage Discrimination of Charcot Foot in Egyptian Patients with Type 2 Diabetes Mellitus. Biomedicines 2026, 14, 750. https://doi.org/10.3390/biomedicines14040750
Hamed HI, Amin IN, Hassan SB, Amin AI, Emara IA, Ahmed HR, Mubarak LS, Abd El Aziz SM, Elatreby AAE, El Sabawy AM, et al. Combined Circulating microRNA and Inflammatory Cytokine Profiles Improve Disease-Stage Discrimination of Charcot Foot in Egyptian Patients with Type 2 Diabetes Mellitus. Biomedicines. 2026; 14(4):750. https://doi.org/10.3390/biomedicines14040750
Chicago/Turabian StyleHamed, Heba Ibrahim, Ihab Nabil Amin, Salwa Bakr Hassan, Ashraf Ismail Amin, Ibrahim Ali Emara, Heba Ramadan Ahmed, Lamis Safwat Mubarak, Shaimaa M. Abd El Aziz, Ahmed Abd Elrahman Elatreby, Ahmed Mohamed El Sabawy, and et al. 2026. "Combined Circulating microRNA and Inflammatory Cytokine Profiles Improve Disease-Stage Discrimination of Charcot Foot in Egyptian Patients with Type 2 Diabetes Mellitus" Biomedicines 14, no. 4: 750. https://doi.org/10.3390/biomedicines14040750
APA StyleHamed, H. I., Amin, I. N., Hassan, S. B., Amin, A. I., Emara, I. A., Ahmed, H. R., Mubarak, L. S., Abd El Aziz, S. M., Elatreby, A. A. E., El Sabawy, A. M., Saad, A. A., Algammal, M. G., & Akabawy, A. M. A. (2026). Combined Circulating microRNA and Inflammatory Cytokine Profiles Improve Disease-Stage Discrimination of Charcot Foot in Egyptian Patients with Type 2 Diabetes Mellitus. Biomedicines, 14(4), 750. https://doi.org/10.3390/biomedicines14040750

