Clinical Manifestations and Cytokine Profiles of the Th1, Th2, and Th17 Response Associated with SARS-CoV-2 Omicron Subvariants
Abstract
1. Introduction
2. Materials and Methods
2.1. Data Collection and Biological Samples
2.2. Genotyping Data Acquisition
2.3. Plasma Measurement of Cytokine Levels
2.4. Statistical Analysis
2.5. Ethical Aspects
3. Results
3.1. Demographic Characterization and Diagnostic Confirmation
3.2. Symptomatologic Analysis
3.3. Omicron Subvariants Identified in the Sample
3.4. Correlation of the Most Frequent Symptoms of the Positive Group with the Identified Variants
3.5. Comparison of Plasma Cytokine Levels Between SARS-CoV-2-Positive and -Negative Individuals
3.6. Association Between Clinical Symptoms and Plasma Cytokine Levels in Patients with Acute COVID-19
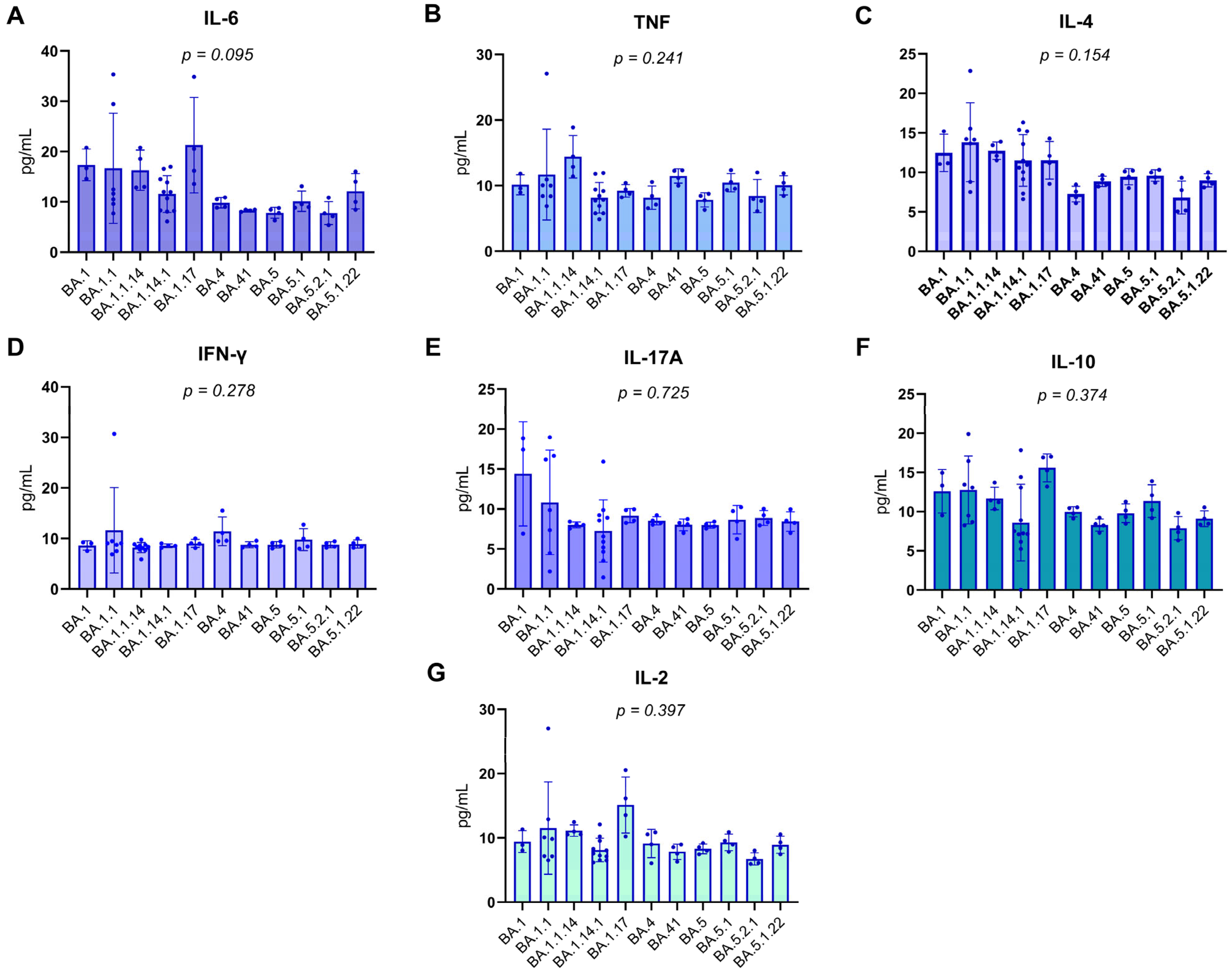
3.7. Correlation Between Cytokine Levels and Identified Omicron Subvariants
3.8. Cytokine Expression Profiles According to Omicron Subvariants, Inflammatory Network, and Symptom Burden
3.9. Assessment of the Influence of Comorbidities on Plasma Cytokine Concentrations
3.10. Assessment of the Influence of the Number of Doses of the COVID-19 Vaccine on the Frequency of Reported Symptoms
4. Discussion
5. Conclusions
Supplementary Materials
Author Contributions
Funding
Institutional Review Board Statement
Informed Consent Statement
Data Availability Statement
Acknowledgments
Conflicts of Interest
Abbreviations
| BA.1, BA.4, BA.5 | Specific subvariants of the SARS-CoV-2 Omicron variant |
| BD | Becton, Dickinson and Company |
| CBA | Cytometric Bead Array |
| CI | Confidence Interval |
| COVID-19 | Coronavirus Diseade 2019 |
| EDTA | Ethylenediaminetetraacetic acid |
| GISAID | Global Initiative on Sharing All Influenza Data |
| IFN-γ | Interferon gamma |
| IL | Interleukin |
| IQR | Interquartile Range |
| JASP | Jeffreys’s Amazing Statistics Program |
| PANGOLIN | Phylogenetic Assignment of Named Global Outbreak Lineages |
| RT-qPCR | Reverse Transcription Quantitative Polymerase Chain Reaction |
| SARS-CoV-2 | Severe Acute Respiratory Syndrome Coronavirus 2 |
| SD | Standard Derivation |
| Th1 | T helper type 1 |
| Th17 | T helper type 17 |
| Th2 | T helper type |
| TNF | Tumor Necrosis Factor |
| VOC | Variant of Concern |
References
- Gusev, E.; Sarapultsev, A.; Solomatina, L.; Chereshnev, V. SARS-CoV-2-Specific Immune Response and the Pathogenesis of COVID-19. Int. J. Mol. Sci. 2022, 23, 1716. [Google Scholar] [CrossRef]
- Wu, Y.; Chen, Y. Reduction and Functional Exhaustion of T Cells in Patients with Coronavirus Disease 2019 (COVID-19). Front. Immunol. 2020, 11, 827. [Google Scholar] [CrossRef]
- Zhu, J.; Yamane, H.; Paul, W.E. Differentiation of Effector CD4 T Cell Populations. Annu. Rev. Immunol. 2010, 28, 445–489. [Google Scholar] [CrossRef]
- Mescher, M.F.; Curtsinger, J.M.; Agarwal, P.; Casey, K.A.; Gerner, M.; Hammerbeck, C.D.; Popescu, F.; Xiao, Z. Signals Required for Programming Effector and Memory Development by CD8+ T Cells. Immunol. Rev. 2006, 211, 81–92. [Google Scholar] [CrossRef] [PubMed]
- Gil-Etayo, F.J.; Suàrez-Fernández, P.; Cabrera-Marante, O.; Arroyo, D.; Garcinuño, S.; Naranjo, L.; Pleguezuelo, D.E.; Allende, L.M.; Mancebo, E.; Lalueza, A.; et al. T-Helper Cell Subset Response Is a Determining Factor in COVID-19 Progression. Front. Cell. Infect. Microbiol. 2021, 11, 624483. [Google Scholar] [CrossRef] [PubMed]
- Hu, B.; Huang, S.; Yin, L. The Cytokine Storm and COVID-19. J. Med. Virol. 2021, 93, 250–256. [Google Scholar] [CrossRef] [PubMed]
- Huang, C.; Wang, Y.; Li, X.; Ren, L.; Zhao, J.; Hu, Y.; Zhang, L.; Fan, G.; Xu, J.; Gu, X.; et al. Clinical Features of Patients Infected with 2019 Novel Coronavirus in Wuhan, China. Lancet 2020, 395, 497–506. [Google Scholar] [CrossRef]
- Zhu, Z.; Cai, T.; Fan, L.; Lou, K.; Hua, X.; Huang, Z.; Gao, G. Clinical Value of Immune-Inflammatory Parameters to Assess the Severity of Coronavirus Disease 2019. Int. J. Infect. Dis. 2020, 95, 332–339. [Google Scholar] [CrossRef]
- Del Valle, D.M.; Kim-Schulze, S.; Huang, H.-H.; Beckmann, N.D.; Nirenberg, S.; Wang, B.; Lavin, Y.; Swartz, T.H.; Madduri, D.; Stock, A.; et al. An Inflammatory Cytokine Signature Predicts COVID-19 Severity and Survival. Nat. Med. 2020, 26, 1636–1643. [Google Scholar] [CrossRef]
- Parsons, R.J.; Acharya, P. Evolution of the SARS-CoV-2 Omicron Spike. Cell Rep. 2023, 42, 113444. [Google Scholar] [CrossRef]
- Pucci, F.; Rooman, M. Prediction and Evolution of the Molecular Fitness of SARS-CoV-2 Variants: Introducing SpikePro. Viruses 2021, 13, 935. [Google Scholar] [CrossRef]
- Carabelli, A.M.; Peacock, T.P.; Thorne, L.G.; Harvey, W.T.; Hughes, J.; COVID-19 Genomics UK Consortium; De Silva, T.I.; Peacock, S.J.; Barclay, W.S.; De Silva, T.I.; et al. SARS-CoV-2 Variant Biology: Immune Escape, Transmission and Fitness. Nat. Rev. Microbiol. 2023, 21, 162–177. [Google Scholar] [CrossRef]
- Bazargan, M.; Elahi, R.; Esmaeilzadeh, A. OMICRON: Virology, Immunopathogenesis, and Laboratory Diagnosis. J. Gene Med. 2022, 24, e3435. [Google Scholar] [CrossRef]
- Shrestha, L.B.; Foster, C.; Rawlinson, W.; Tedla, N.; Bull, R.A. Evolution of the SARS-CoV-2 Omicron Variants BA.1 to BA.5: Implications for Immune Escape and Transmission. Rev. Med. Virol. 2022, 32, e2381. [Google Scholar] [CrossRef] [PubMed]
- Jacobsen, H.; Cobos Jiménez, V.; Sitaras, I.; Bar-Zeev, N.; Čičin-Šain, L.; Higdon, M.M.; Deloria-Knoll, M. Post-Vaccination T Cell Immunity to Omicron. Front. Immunol. 2022, 13, 944713. [Google Scholar] [CrossRef] [PubMed]
- Da Silva, A.F.; da Silva Neto, A.M.; Aksenen, C.F.; Jeronimo, P.M.C.; Dezordi, F.Z.; Almeida, S.P.; Costa, H.M.P.; Salvato, R.S.; de Lima Campos, T.; da Luz Wallau, G.; et al. ViralFlow v1.0—A Computational Workflow for Streamlining Viral Genomic Surveillance. NAR Genom. Bioinform. 2024, 6, lqae056. [Google Scholar] [CrossRef]
- Dezordi, F.Z.; Neto, A.M.D.S.; Campos, T.D.L.; Jeronimo, P.M.C.; Aksenen, C.F.; Almeida, S.P.; Wallau, G.L.; on behalf of the Fiocruz COVID-19 Genomic Surveillance Network. ViralFlow: A Versatile Automated Workflow for SARS-CoV-2 Genome Assembly, Lineage Assignment, Mutations and Intrahost Variant Detection. Viruses 2022, 14, 217. [Google Scholar] [CrossRef] [PubMed]
- Khare, S.; Gurry, C.; Freitas, L.; Schultz, M.B.; Bach, G.; Diallo, A.; Akite, N.; Ho, J.; Tc Lee, R.; Yeo, W.; et al. GISAID’s Role in Pandemic Response. China CDC Wkly. 2021, 3, 1049–1051. [Google Scholar] [CrossRef]
- Menni, C.; Valdes, A.M.; Polidori, L.; Antonelli, M.; Penamakuri, S.; Nogal, A.; Louca, P.; May, A.; Figueiredo, J.C.; Hu, C.; et al. Symptom Prevalence, Duration, and Risk of Hospital Admission in Individuals Infected with SARS-CoV-2 during Periods of Omicron and Delta Variant Dominance: A Prospective Observational Study from the ZOE COVID Study. Lancet 2022, 399, 1618–1624. [Google Scholar] [CrossRef]
- Radhakrishnan, N.; Liu, M.; Idowu, B.; Bansari, A.; Rathi, K.; Magar, S.; Mundhra, L.; Sarmiento, J.; Ghaffar, U.; Kattan, J.; et al. Comparison of the Clinical Characteristics of SARS-CoV-2 Delta (B.1.617.2) and Omicron (B.1.1.529) Infected Patients from a Single Hospitalist Service. BMC Infect. Dis. 2023, 23, 747. [Google Scholar] [CrossRef]
- Han, Y.; Guo, J.; Li, X.; Zhong, Z. Differences in Clinical Characteristics between Coronavirus Disease 2019 (COVID-19) and Influenza: A Systematic Review and Meta-Analysis. Npj Prim. Care Respir. Med. 2025, 35, 8. [Google Scholar] [CrossRef]
- De Prost, N.; Audureau, E.; Préau, S.; Favory, R.; Guigon, A.; Bay, P.; Heming, N.; Gault, E.; Pham, T.; Chaghouri, A.; et al. Clinical Phenotypes and Outcomes Associated with SARS-CoV-2 Omicron Variants BA.2, BA.5 and BQ.1.1 in Critically Ill Patients with COVID-19: A Prospective, Multicenter Cohort Study. Intensive Care Med. Exp. 2023, 11, 48. [Google Scholar] [CrossRef] [PubMed]
- Chavda, V.; Bezbaruah, R.; Deka, K.; Nongrang, L.; Kalita, T. The Delta and Omicron Variants of SARS-CoV-2: What We Know So Far. Vaccines 2022, 10, 1926. [Google Scholar] [CrossRef] [PubMed]
- Morris, C.P.; Eldesouki, R.E.; Sachithanandham, J.; Fall, A.; Norton, J.M.; Abdullah, O.; Gallagher, N.; Li, M.; Pekosz, A.; Klein, E.Y.; et al. Omicron Subvariants: Clinical, Laboratory, and Cell Culture Characterization. Clin. Infect. Dis. 2023, 76, 1276–1284. [Google Scholar] [CrossRef] [PubMed]
- Gomes, B.B.M.; Ferreira, N.N.; Garibaldi, P.M.M.; Dias, C.F.S.D.L.; Silva, L.N.; Almeida, M.A.A.L.D.S.; De Moraes, G.R.; Covas, D.T.; Kashima, S.; Calado, R.T.; et al. Impact of SARS-CoV-2 Variants on COVID-19 Symptomatology and Severity during Five Waves. Heliyon 2024, 10, e40113. [Google Scholar] [CrossRef]
- Kwok, K.O.; Wei, W.I.; Mcneil, E.B.; Tang, A.; Tang, J.W.-T.; Wong, S.Y.S.; Yeoh, E.K. Comparative Analysis of Symptom Profile and Risk of Death Associated with Infection by SARS-CoV-2 and Its Variants in Hong Kong. J. Med. Virol. 2024, 96, e29326. [Google Scholar] [CrossRef]
- Martonik, D.; Parfieniuk-Kowerda, A.; Rogalska, M.; Flisiak, R. The Role of Th17 Response in COVID-19. Cells 2021, 10, 1550. [Google Scholar] [CrossRef]
- Silva, M.J.A.; Ribeiro, L.R.; Lima, K.V.B.; Lima, L.N.G.C. Adaptive Immunity to SARS-CoV-2 Infection: A Systematic Review. Front. Immunol. 2022, 13, 1001198. [Google Scholar] [CrossRef]
- Liu, F.; Schmidt, R.H.; Reif, J.C.; Jiang, Y. Selecting Closely-Linked SNPs Based on Local Epistatic Effects for Haplotype Construction Improves Power of Association Mapping. G3 Genes Genomes Genet. 2019, 9, 4115–4126. [Google Scholar] [CrossRef]
- Chatterjee, S.; Bhattacharya, M.; Nag, S.; Dhama, K.; Chakraborty, C. A Detailed Overview of SARS-CoV-2 Omicron: Its Sub-Variants, Mutations and Pathophysiology, Clinical Characteristics, Immunological Landscape, Immune Escape, and Therapies. Viruses 2023, 15, 167. [Google Scholar] [CrossRef]
- Lee, N.; Cameron, P.; Yung, M.Y.; Leung, C.B.; Szeto, C.C. A Major Outbreak of Severe Acute Respiratory Syndrome in Hong Kong. N. Engl. J. Med. 2003, 348, 1986–1994. [Google Scholar] [CrossRef]
- Yu, M.; Zhu, Y.; Li, Y.; Chen, Z.; Li, Z.; Wang, J.; Li, Z.; Zhang, F.; Ding, J. Design of a Recombinant Multivalent Epitope Vaccine Based on SARS-CoV-2 and Its Variants in Immunoinformatics Approaches. Front. Immunol. 2022, 13, 884433. [Google Scholar] [CrossRef] [PubMed]
- Wang, H.; Liu, C.; Xie, X.; Niu, M.; Wang, Y.; Cheng, X.; Zhang, B.; Zhang, D.; Liu, M.; Sun, R.; et al. Multi-Omics Blood Atlas Reveals Unique Features of Immune and Platelet Responses to SARS-CoV-2 Omicron Breakthrough Infection. Immunity 2023, 56, 1410–1428.e8. [Google Scholar] [CrossRef] [PubMed]
- Wang, W.; Jin, Q.; Liu, R.; Zeng, W.; Zhu, P.; Li, T.; Wang, T.; Xiang, H.; Zhang, H.; Chen, Q.; et al. Virological Characteristics of SARS-CoV-2 Omicron BA.5.2.48. Front. Immunol. 2024, 15, 1427284. [Google Scholar] [CrossRef] [PubMed]
- Taboada, B.I.; Zárate, S.; García-López, R.; Muñoz-Medina, J.E.; Gómez-Gil, B.; Herrera-Estrella, A.; Sanchez-Flores, A.; Salas-Lais, A.G.; Roche, B.; Martínez-Morales, G.; et al. SARS-CoV-2 Omicron Variants BA.4 and BA.5 Dominated the Fifth COVID-19 Epidemiological Wave in Mexico. Microb. Genom. 2023, 9, 001120. [Google Scholar] [CrossRef]
- Guo, Y.; Han, J.; Zhang, Y.; He, J.; Yu, W.; Zhang, X.; Wu, J.; Zhang, S.; Kong, Y.; Guo, Y.; et al. SARS-CoV-2 Omicron Variant: Epidemiological Features, Biological Characteristics, and Clinical Significance. Front. Immunol. 2022, 13, 877101. [Google Scholar] [CrossRef]
- Naveed Siddiqui, A.; Musharaf, I.; Gulumbe, B.H. The JN.1 Variant of COVID-19: Immune Evasion, Transmissibility, and Implications for Global Health. Ther. Adv. Infect. Dis. 2025, 12, 20499361251314763. [Google Scholar] [CrossRef]
- Gjorgjievska, M.; Mehandziska, S.; Stajkovska, A.; Pecioska-Dokuzovska, S.; Dimovska, A.; Durmish, I.; Ismail, S.; Pavlovska, T.; Stojchevska, A.; Amedi, H.; et al. Case Report: Omicron BA.2 Subvariant of SARS-CoV-2 Outcompetes BA.1 in Two Co-Infection Cases. Front. Genet. 2022, 13, 892682. [Google Scholar] [CrossRef]
- Sarkar, A.; Omar, S.; Alshareef, A.; Fanous, K.; Sarker, S.; Alroobi, H.; Zamir, F.; Yousef, M.; Zakaria, D. The Relative Prevalence of the Omicron Variant within SARS-CoV-2 Infected Cohorts in Different Countries: A Systematic Review. Hum. Vaccines Immunother. 2023, 19, 2212568. [Google Scholar] [CrossRef]
- Hasanvand, A. COVID-19 and the Role of Cytokines in This Disease. Inflammopharmacology 2022, 30, 789–798. [Google Scholar] [CrossRef]
- Castro-Trujillo, S.; Castro-Meneses, J.; Rojas, M.C.; Castro-Amaya, M.; Lastra, G.; Narváez, C.F. Regulatory Cytokines Modulate Early Isotype-Specific Response Associated with COVID-19 Survival. Front. Immunol. 2025, 16, 1543626. [Google Scholar] [CrossRef]
- Li, X.; Pakanati, V.; Liu, C.; Wang, T.; Morelli, D.; Korpak, A.; Baraff, A.; Isaacs, S.N.; Vittor, A.; Chang, K.-M.; et al. Peripheral Blood Cytokine Profiles Predict the Severity of SARS-CoV-2 Infection: An EPIC3 Study Analysis. BMC Infect. Dis. 2025, 25, 677. [Google Scholar] [CrossRef]
- Niedźwiedzka-Rystwej, P.; Majchrzak, A.; Kurkowska, S.; Małkowska, P.; Sierawska, O.; Hrynkiewicz, R.; Parczewski, M. Immune Signature of COVID-19: In-Depth Reasons and Consequences of the Cytokine Storm. Int. J. Mol. Sci. 2022, 23, 4545. [Google Scholar] [CrossRef] [PubMed]
- Najafi-Fard, S.; Petruccioli, E.; Farroni, C.; Petrone, L.; Vanini, V.; Cuzzi, G.; Salmi, A.; Altera, A.M.G.; Navarra, A.; Alonzi, T.; et al. Evaluation of the Immunomodulatory Effects of Interleukin-10 on Peripheral Blood Immune Cells of COVID-19 Patients: Implication for COVID-19 Therapy. Front. Immunol. 2022, 13, 984098. [Google Scholar] [CrossRef] [PubMed]
- Rarani, F.Z.; Rashidi, B.; Jafari Najaf Abadi, M.H.; Hamblin, M.R.; Reza Hashemian, S.M.; Mirzaei, H. Cytokines and microRNAs in SARS-CoV-2: What Do We Know? Mol. Ther. Nucleic Acids 2022, 29, 219–242. [Google Scholar] [CrossRef] [PubMed]
- Qudus, M.S.; Tian, M.; Sirajuddin, S.; Liu, S.; Afaq, U.; Wali, M.; Liu, J.; Pan, P.; Luo, Z.; Zhang, Q.; et al. The Roles of Critical Pro-inflammatory Cytokines in the Drive of Cytokine Storm during SARS-CoV-2 Infection. J. Med. Virol. 2023, 95, e28751. [Google Scholar] [CrossRef]
- Wu, W.; Dietze, K.K.; Gibbert, K.; Lang, K.S.; Trilling, M.; Yan, H.; Wu, J.; Yang, D.; Lu, M.; Roggendorf, M.; et al. TLR Ligand Induced IL-6 Counter-Regulates the Anti-Viral CD8+ T Cell Response during an Acute Retrovirus Infection. Sci. Rep. 2015, 5, 10501. [Google Scholar] [CrossRef]
- Sun, J.; Dodd, H.; Moser, E.K.; Sharma, R.; Braciale, T.J. CD4+ T Cell Help and Innate-Derived IL-27 Induce Blimp-1-Dependent IL-10 Production by Antiviral CTLs. Nat. Immunol. 2011, 12, 327–334. [Google Scholar] [CrossRef]
- Karnowski, A.; Chevrier, S.; Belz, G.T.; Mount, A.; Emslie, D.; D’Costa, K.; Tarlinton, D.M.; Kallies, A.; Corcoran, L.M. B and T Cells Collaborate in Antiviral Responses via IL-6, IL-21, and Transcriptional Activator and Coactivator, Oct2 and OBF-1. J. Exp. Med. 2012, 209, 2049–2064. [Google Scholar] [CrossRef]
- Zhang, H.; Yang, P.; Gu, X.; Sun, Y.; Zhang, R.; Zhang, D.; Zhang, J.; Wang, Y.; Ma, C.; Liu, M.; et al. Health Outcomes One Year after Omicron Infection among 12,789 Adults: A Community-Based Cross-Sectional Study. Lancet Reg. Health West. Pac. 2025, 56, 101507. [Google Scholar] [CrossRef]
- You, L.; Zhang, L.; Ouyang, S.; Gao, B.; Li, Y.; Li, J.; Wu, N.; Wang, H.; Sun, S.; Li, J.; et al. Multiple Infections with Omicron Variants Increase Breadth and Potency of Omicron-Specific Neutralizing Antibodies. Cell Discov. 2025, 11, 49. [Google Scholar] [CrossRef]
- McMahon, W.C.; Kwatra, G.; Nunes, M.C.; Izu, A.; Koen, A.L.; Greffrath, J.; Shalekoff, S.; Tiemessen, C.T.; Shinde, V.; Bennett, C.; et al. T-Cell Responses Induced by SARS-CoV-2 Index-Virus Nanoparticle Protein Vaccine to the Ancestral and Omicron Variants 6 Months Following Primary Vaccination. Commun. Med. 2025, 5, 220. [Google Scholar] [CrossRef]
- Fantini, J.; Yahi, N.; Colson, P.; Chahinian, H.; La Scola, B.; Raoult, D. The Puzzling Mutational Landscape of the SARS-2-variant Omicron. J. Med. Virol. 2022, 94, 2019–2025. [Google Scholar] [CrossRef]
- Buchan, D.W.A.; Minneci, F.; Nugent, T.C.O.; Bryson, K.; Jones, D.T. Scalable Web Services for the PSIPRED Protein Analysis Workbench. Nucleic Acids Res. 2013, 41, W349–W357. [Google Scholar] [CrossRef] [PubMed]
- Ma, K.C.; Shirk, P.; Lambrou, A.S.; Hassell, N.; Zheng, X.; Payne, A.B.; Ali, A.R.; Batra, D.; Caravas, J.; Chau, R.; et al. Genomic Surveillance for SARS-CoV-2 Variants: Circulation of Omicron Lineages—United States, January 2022–May 2023. MMWR Morb. Mortal. Wkly. Rep. 2023, 72, 651–656. [Google Scholar] [CrossRef] [PubMed]
- Beraud, G.; Bouetard, L.; Civljak, R.; Michon, J.; Tulek, N.; Lejeune, S.; Millot, R.; Garchet-Beaudron, A.; Lefebvre, M.; Velikov, P.; et al. Impact of Vaccination on the Presence and Severity of Symptoms in Hospitalized Patients with an Infection of the Omicron Variant (B.1.1.529) of the SARS-CoV-2 (Subvariant BA.1). Clin. Microbiol. Infect. 2023, 29, 642–650. [Google Scholar] [CrossRef] [PubMed]
- Batra, L.; Saxena, D.; Poddar, T.; Zahin, M.; Amraotkar, A.; Bezold, M.M.; Kitterman, K.T.; Deitz, K.A.; Lasnik, A.B.; Keith, R.J.; et al. Mucosal and Serum Neutralization Immune Responses Elicited by COVID-19 mRNA Vaccination in Vaccinated and Breakthrough-Infection Individuals: A Longitudinal Study from Louisville Cohort. Vaccines 2025, 13, 559. [Google Scholar] [CrossRef]
- Huang, C.; Hu, X.; Wang, D.; Gong, R.; Wang, Q.; Ren, F.; Wu, Y.; Chen, J.; Xiong, X.; Li, H.; et al. Multi-Cohort Study on Cytokine and Chemokine Profiles in the Progression of COVID-19. Sci. Rep. 2024, 14, 10324. [Google Scholar] [CrossRef]





| Characteristics (n = 115) | RT-qPCR | p-Value * | |
|---|---|---|---|
| Positive n = 40 (%) | Negative n = 75 (%) | ||
| Age Range (years) | 0.707 | ||
| <25 | 2 (5.0) | 7 (9.3) | |
| 25–50 | 30 (75.0) | 53 (70.7) | |
| >50 | 8 (20.0) | 15 (20.0) | |
| Sex | 0.624 | ||
| Male | 9 (22.5) | 20 (26.7) | |
| Female | 31 (77.5) | 55 (73.3) | |
| Comorbidity | 0.029 | ||
| Yes | 16 (40.0) | 21 (28.0) | |
| No | 24 (60.0) | 54 (72.0) | |
| Symptoms | |||
| Pharyngitis | 33 (82.5) | 36 (48.0) | 0.136 |
| Cough | 29 (72.5) | 11 (14.7) | 0.626 |
| Fever | 22 (55.0) | 28 (37.3) | 0.626 |
| Nasal discharge | 32 (80.0) | 42 (56.0) | 0.528 |
| Fatigue | 23 (57.5) | 27 (36.0) | 0.528 |
| Headache | 31 (77.5) | 40 (53.3) | 0.528 |
| Joint pain | 15 (37.5) | 12 (16.0) | 0.212 |
| Muscle pain | 21 (52.5) | 29 (38.6) | 0.840 |
| Painful breathing | 7 (17.5) | 3 (4.0) | 0.212 |
| Dyspnea | 6 (15.0) | 10 (13.3) | 0.913 |
| Diarrhea | 7 (17.5) | 10 (13.3) | 0.913 |
| Chills | 23 (57.5) | 12 (16.0) | 0.014 |
| Abdominal pain | 8 (20.0) | 9 (12.0) | 0.685 |
| Loss of taste | 10 (25.0) | 9 (12.0) | 0.528 |
| Loss of smell | 5 (12.5) | 7 (9.33) | 0.913 |
| Emesis | 3 (7.5) | 8 (10.6) | 0.626 |
| Cytokine | Comorbidity (m *) | p-Value | |
|---|---|---|---|
| Yes n = 16 | No n = 24 | ||
| IL-17A | 9.75 | 9.95 | 0.614 a |
| TNF | 9.85 | 10.34 | 0.784 a |
| IFN-y | 10.02 | 11.93 | 0.370 a |
| IL-10 | 10.61 | 10.7 | 0.467 b |
| IL6 | 14.00 | 12.71 | 0.856 a |
| IL-4 | 9.99 | 10.9 | 0.237 b |
| IL-2 | 9.35 | 10.23 | 0.705 a |
Disclaimer/Publisher’s Note: The statements, opinions and data contained in all publications are solely those of the individual author(s) and contributor(s) and not of MDPI and/or the editor(s). MDPI and/or the editor(s) disclaim responsibility for any injury to people or property resulting from any ideas, methods, instructions or products referred to in the content. |
© 2025 by the authors. Licensee MDPI, Basel, Switzerland. This article is an open access article distributed under the terms and conditions of the Creative Commons Attribution (CC BY) license (https://creativecommons.org/licenses/by/4.0/).
Share and Cite
Barreto, M.A.; Cruz, A.M.S.; Volle, D.M.; Júnior, W.D.d.C.; Costa, I.B.; Nunes, J.A.L.; de Sousa, A.C.P.; Lima, I.K.M.; Nogami, P.Y.; Borges, I.R.; et al. Clinical Manifestations and Cytokine Profiles of the Th1, Th2, and Th17 Response Associated with SARS-CoV-2 Omicron Subvariants. Biomedicines 2025, 13, 2128. https://doi.org/10.3390/biomedicines13092128
Barreto MA, Cruz AMS, Volle DM, Júnior WDdC, Costa IB, Nunes JAL, de Sousa ACP, Lima IKM, Nogami PY, Borges IR, et al. Clinical Manifestations and Cytokine Profiles of the Th1, Th2, and Th17 Response Associated with SARS-CoV-2 Omicron Subvariants. Biomedicines. 2025; 13(9):2128. https://doi.org/10.3390/biomedicines13092128
Chicago/Turabian StyleBarreto, Matheus Amorim, Amanda Mendes Silva Cruz, Delana Melo Volle, Wanderley Dias das Chagas Júnior, Iran Barros Costa, Juliana Abreu Lima Nunes, Aline Collares Pinheiro de Sousa, Izabel Keller Moreira Lima, Patrícia Yuri Nogami, Iami Raiol Borges, and et al. 2025. "Clinical Manifestations and Cytokine Profiles of the Th1, Th2, and Th17 Response Associated with SARS-CoV-2 Omicron Subvariants" Biomedicines 13, no. 9: 2128. https://doi.org/10.3390/biomedicines13092128
APA StyleBarreto, M. A., Cruz, A. M. S., Volle, D. M., Júnior, W. D. d. C., Costa, I. B., Nunes, J. A. L., de Sousa, A. C. P., Lima, I. K. M., Nogami, P. Y., Borges, I. R., Cruz, L. R. d. C., Nobre, P. F. d. R., Junior, E. T. d. P., Siqueira, J. A. M., Carmo, V. F. B. d., Oliveira, D. d. S., Resque, H. R., Costa, M. R. M. d., Sousa, R. C. M., ... Brasil-Costa, I. (2025). Clinical Manifestations and Cytokine Profiles of the Th1, Th2, and Th17 Response Associated with SARS-CoV-2 Omicron Subvariants. Biomedicines, 13(9), 2128. https://doi.org/10.3390/biomedicines13092128

