GDF-15 Levels in Gouty Arthritis and Correlations with Decreasing Renal Function: A Clinical Study
Abstract
1. Introduction
2. Materials and Methods
2.1. Study Design and Participants
2.2. Eligibility Criteria
Medication Usage Profile
2.3. Sample Collection and Laboratory Analyses
Blood Sample Collection
2.4. Measurement of Serum GDF15 Levels
2.5. Statistical Analysis
3. Results
3.1. Comparison of Demographic and Clinical Data
3.2. Renal Function and Uric Acid Levels
3.3. Serum GDF-15 Levels
3.4. Biochemical Parameters
3.5. Hematological and Inflammatory Parameters
3.6. GDF-15 and Lab Correlations in Gout Phases
3.7. Multiple Regression Analysis
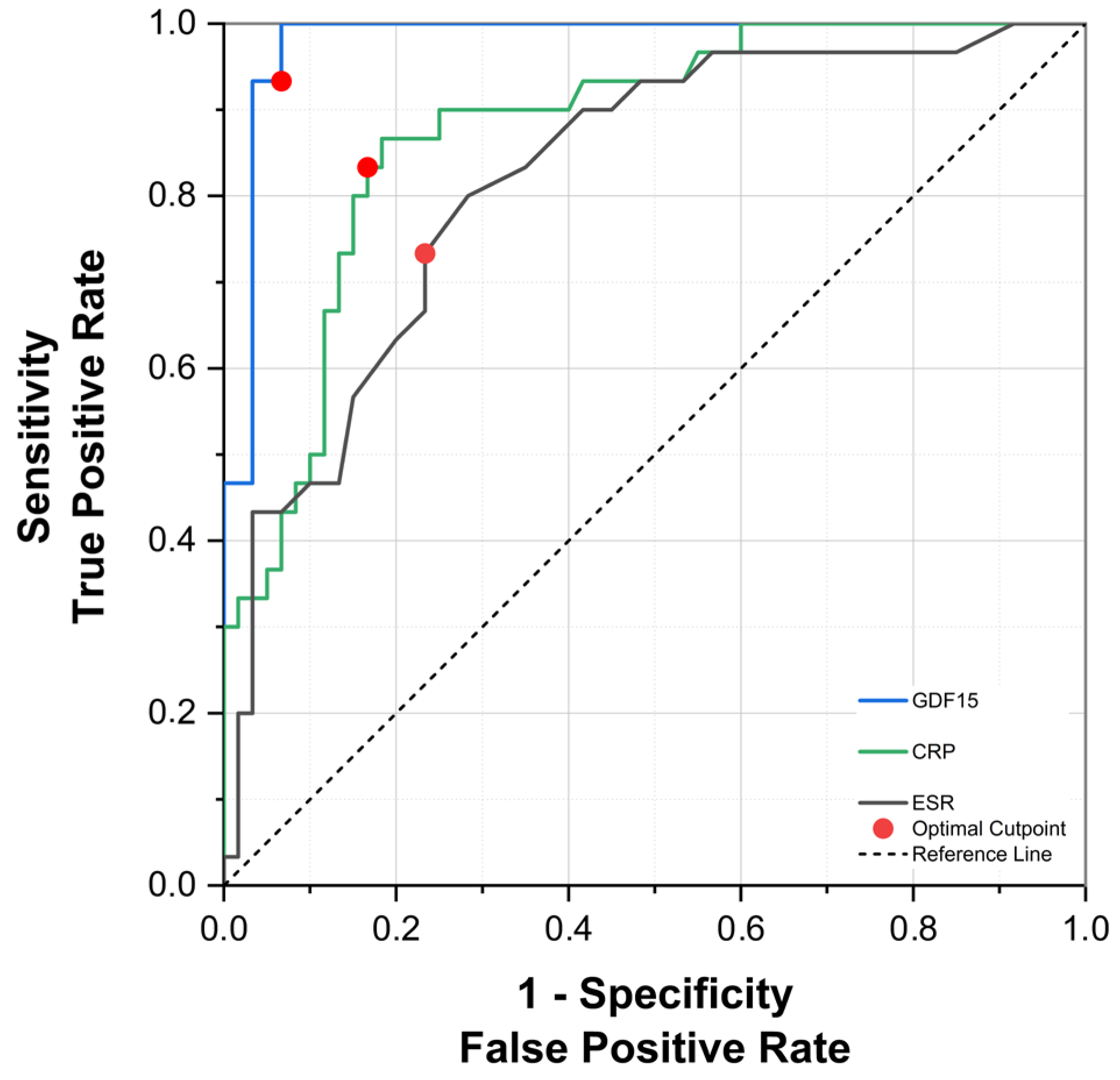
3.8. Evaluation of the Diagnostic Performance of GDF-15, CRP, and ESR
4. Discussion
5. Conclusions
Limitations
Author Contributions
Funding
Institutional Review Board Statement
Informed Consent Statement
Data Availability Statement
Acknowledgments
Conflicts of Interest
References
- Dehlin, M.; Jacobsson, L.; Roddy, E. Global epidemiology of gout: Prevalence, incidence, treatment patterns and risk factors. Nat. Rev. Rheumatol. 2020, 16, 380–390. [Google Scholar] [CrossRef] [PubMed]
- Keller, S.F.; Mandell, B.F. Management and Cure of Gouty Arthritis. Rheum. Dis. Clin. N. Am. 2022, 48, 479–492. [Google Scholar] [CrossRef]
- Keyßer, G. Die Gichtarthritis: Pathogenese, Diagnostik und Behandlung [Gout arthritis: Pathogenesis, diagnostics and treatment]. Dtsch. Med. Wochenschr. 2020, 145, 991–1005. [Google Scholar] [CrossRef] [PubMed]
- Dalbeth, N.; Gosling, A.L.; Gaffo, A.; Abhishek, A. Gout. Lancet 2021, 397, 1843–1855. [Google Scholar] [CrossRef] [PubMed]
- So, A.K.; Martinon, F. Inflammation in gout: Mechanisms and therapeutic targets. Nat. Rev. Rheumatol. 2017, 13, 639–647. [Google Scholar] [CrossRef]
- Schlesinger, N.; Pillinger, M.H.; Simon, L.S.; Lipsky, P.E. Interleukin-1β inhibitors for the management of acute gout flares: A systematic literature review. Arthritis Res. Ther. 2023, 25, 128. [Google Scholar] [CrossRef]
- Wang, X.; Yang, B.; Xiong, T.; Qiu, Y.; Qin, Y.; Liang, X.; Lu, D.; Yang, X. Identification of potential biomarkers of gout through weighted gene correlation network analysis. Front. Immunol. 2024, 15, 1367019. [Google Scholar] [CrossRef]
- Lodi, R.S.; Yu, B.; Xia, L.; Liu, F. Roles and Regulation of Growth differentiation factor-15 in the Immune and tumor microenvironment. Hum. Immunol. 2021, 82, 937–944. [Google Scholar] [CrossRef]
- Adela, R.; Banerjee, S.K. GDF-15 as a Target and Biomarker for Diabetes and Cardiovascular Diseases: A Translational Prospective. J. Diabetes Res. 2015, 2015, 490842. [Google Scholar] [CrossRef]
- Reyes, J.; Yap, G.S. Emerging Roles of Growth Differentiation Factor 15 in Immunoregulation and Pathogenesis. J. Immunol. 2023, 210, 5–11. [Google Scholar] [CrossRef]
- Chung, H.K.; Ryu, D.; Kim, K.S.; Chang, J.Y.; Kim, Y.K.; Yi, H.-S.; Kang, S.G.; Choi, M.J.; Lee, S.E.; Jung, S.-B.; et al. Growth differentiation factor 15 is a myomitokine governing systemic energy homeostasis. J. Cell Biol. 2016, 216, 149–165. [Google Scholar] [CrossRef]
- He, Y.W.; He, C.S. Association of Growth and Differentiation Factor 15 in Rheumatoid Arthritis. J. Inflamm. Res. 2022, 15, 1173–1181. [Google Scholar] [CrossRef]
- Yanai, H.; Adachi, H.; Hakoshima, M.; Katsuyama, H. Molecular Biological and Clinical Understanding of the Pathophysiology and Treatments of Hyperuricemia and Its Association with Metabolic Syndrome, Cardiovascular Diseases and Chronic Kidney Disease. Int. J. Mol. Sci. 2021, 22, 9221. [Google Scholar] [CrossRef]
- Méndez Landa, C.E. Renal Effects of Hyperuricemia. Contrib. Nephrol. 2018, 192, 8–16. [Google Scholar] [CrossRef] [PubMed]
- Delrue, C.; Speeckaert, R.; Delanghe, J.R.; Speeckaert, M.M. Growth differentiation factor 15 (GDF-15) in kidney diseases. Adv. Clin. Chem. 2023, 114, 1–46. [Google Scholar] [CrossRef] [PubMed]
- Neogi, T.; Jansen, T.L.; Dalbeth, N.; Fransen, J.; Schumacher, H.R.; Berendsen, D.; Brown, M.; Choi, H.; Edwards, N.L.; Janssens, H.J.; et al. 2015 Gout classification criteria: An American College of Rheumatology/European League Against Rheumatism collaborative initiative. Ann. Rheum. Dis. 2015, 74, 1789–1798. [Google Scholar] [CrossRef] [PubMed]
- World Medical Association. World Medical Association Declaration of Helsinki: Ethical principles for medical research involving human subjects. JAMA 2013, 310, 2191–2194. [Google Scholar] [CrossRef]
- Liu, X.; Essien, A.E.; Lu, W.; Jin, H.; Pan, L.; Li, Y.; Xiao, W. Growth differentiation factor 15 as a potential diagnostic biomarker for rheumatoid arthritis: A systematic review. Bone Jt. Res. 2025, 14, 389–397. [Google Scholar] [CrossRef]
- Xu, W.D.; Huang, Q.; Yang, C.; Li, R.; Huang, A.F. GDF-15: A Potential Biomarker and Therapeutic Target in Systemic Lupus Erythematosus. Front. Immunol. 2022, 13, 926373. [Google Scholar] [CrossRef]
- Firestein, G.S.; McInnes, I.B.; Koretzky, G.; Mikuls, T.; Neogi, T.; O’Dell, J.R. Firestein and Kelley’s Textbook of Rheumatology, 12th ed.; Elsevier Inc.: Amsterdam, The Netherlands, 2025. [Google Scholar]
- Kingsbury, S.R.; Conaghan, P.G.; McDermott, M.F. The role of the NLRP3 inflammasome in gout. J. Inflamm. Res. 2011, 4, 39–49. [Google Scholar] [CrossRef]
- Dinarello, C.A. Interleukin-1 in the pathogenesis and treatment of inflammatory diseases. Blood 2011, 117, 3720–3732. [Google Scholar] [CrossRef]
- Smolen, J.S.; Aletaha, D.; McInnes, I.B. Rheumatoid arthritis. Lancet 2016, 388, 2023–2038. [Google Scholar] [CrossRef]
- El Sabbagh, A.; El Shebiny, E.; Badr, E.; Zahran, E.; El Shabacy, F.; Wahb, R.; Shoeib, S.; Elnoamany, S.; Mohamed, S. Growth differentiation factor 15: A possible link between rheumatoid arthritis and atherosclerosis. Menoufia Med. J. 2023, 35, 1787–1793. [Google Scholar] [CrossRef]
- Wan, Y.; Fu, J. GDF15 as a key disease target and biomarker: Linking chronic lung diseases and ageing. Mol. Cell. Biochem. 2024, 479, 453–466. [Google Scholar] [CrossRef] [PubMed]
- Macedo, M.B.; Gunnarsson, I.; Zickert, A.; Svenungsson, E.; Lood, C. Plasma levels of GDF-15 are associated with arterial thrombosis and nephritis in systemic lupus erythematosus. Ann. Rheum. Dis. 2024, 83 (Suppl. S1), 1815–1816. [Google Scholar] [CrossRef]
- Carlsson, A.C.; Nowak, C.; Lind, L.; Östgren, C.J.; Nyström, F.H.; Sundström, J.; Carrero, J.J.; Riserus, U.; Ingelsson, E.; Fall, T.; et al. Growth differentiation factor 15 (GDF-15) is a potential biomarker of both diabetic kidney disease and future cardiovascular events in cohorts of individuals with type 2 diabetes: A proteomics approach. Upsala J. Med. Sci. 2020, 125, 37–43. [Google Scholar] [CrossRef] [PubMed]
- Na, K.R.; Kim, Y.H.; Chung, H.K.; Yeo, M.K.; Ham, Y.R.; Jeong, J.Y.; Kim, K.S.; Lee, K.W.; Choi, D.E. Growth differentiation factor 15 as a predictor of adverse renal outcomes in patients with immunoglobulin A nephropathy. Intern. Med. J. 2017, 47, 1393–1399. [Google Scholar] [CrossRef]
- Ham, Y.R.; Song, C.H.; Bae, H.J.; Jeong, J.Y.; Yeo, M.K.; Choi, D.E.; Na, K.R.; Lee, K.W. Growth Differentiation Factor-15 as a Predictor of Idiopathic Membranous Nephropathy Progression: A Retrospective Study. Dis. Markers 2018, 2018, 1463940. [Google Scholar] [CrossRef]
- Nair, V.; Robinson-Cohen, C.; Smith, M.R.; Bellovich, K.A.; Bhat, Z.Y.; Bobadilla, M.; Brosius, F.; de Boer, I.H.; Essioux, L.; Formentini, I.; et al. Growth Differentiation Factor-15 and Risk of CKD Progression. J. Am. Soc. Nephrol. 2017, 28, 2233–2240. [Google Scholar] [CrossRef]
- Ratnam, N.M.; Peterson, J.M.; Talbert, E.E.; Ladner, K.J.; Rajasekera, P.V.; Schmidt, C.R.; Dillhoff, M.E.; Swanson, B.J.; Haverick, E.; Kladney, R.D.; et al. NF-κB regulates GDF-15 to suppress macrophage surveillance during early tumor development. J. Clin. Investig. 2017, 127, 3796–3809. [Google Scholar] [CrossRef]
- Song, H.; Chen, Q.; Xie, S.; Huang, J.; Kang, G. GDF-15 prevents lipopolysaccharide-mediated acute lung injury via upregulating SIRT1. Biochem. Biophys. Res. Commun. 2020, 526, 439–446. [Google Scholar] [CrossRef]
- Kim, S.K. The Mechanism of the NLRP3 Inflammasome Activation and Pathogenic Implication in the Pathogenesis of Gout. J. Rheum. Dis. 2022, 29, 140–153. [Google Scholar] [CrossRef]
- Komaba, H. Renoprotection by GDF-15 and Klotho: Birds of a feather flock together. Kidney Int. 2022, 101, 1112–1115. [Google Scholar] [CrossRef]
- Lasaad, S.; Crambert, G. GDF15, an Emerging Player in Renal Physiology and Pathophysiology. Int. J. Mol. Sci. 2024, 25, 5956. [Google Scholar] [CrossRef]
- Zhang, X.; Wang, S.; Chong, N.; Chen, D.; Shu, J.; Sun, J.; Sun, Z.; Wang, R.; Wang, Q.; Xu, Y. GDF-15 alleviates diabetic nephropathy via inhibiting NEDD4L-mediated IKK/NF-κB signalling pathways. Int. Immunopharmacol. 2024, 128, 111427. [Google Scholar] [CrossRef] [PubMed]
- Valiño-Rivas, L.; Cuarental, L.; Ceballos, M.I.; Pintor-Chocano, A.; Perez-Gomez, M.V.; Sanz, A.B.; Ortiz, A.; Sanchez-Niño, M.D. Growth differentiation factor-15 preserves Klotho expression in acute kidney injury and kidney fibrosis. Kidney Int. 2022, 101, 1200–1215. [Google Scholar] [CrossRef] [PubMed]
- Tang, Y.; Liu, T.; Sun, S.; Peng, Y.; Huang, X.; Wang, S.; Zhou, Z. Role and Mechanism of Growth Differentiation Factor 15 in Chronic Kidney Disease. J. Inflamm. Res. 2024, 17, 2861–2871. [Google Scholar] [CrossRef] [PubMed]
- Du, L.; Zong, Y.; Li, H.; Wang, Q.; Xie, L.; Yang, B.; Pang, Y.; Zhang, C.; Zhong, Z.; Gao, J. Hyperuricemia and its related diseases: Mechanisms and advances in therapy. Signal Transduct. Target. Ther. 2024, 9, 212. [Google Scholar] [CrossRef]
- Lee, T.H.; Chen, J.J.; Wu, C.Y.; Yang, C.W.; Yang, H.Y. Hyperuricemia and Progression of Chronic Kidney Disease: A Review from Physiology and Pathogenesis to the Role of Urate-Lowering Therapy. Diagnostics 2021, 11, 1674. [Google Scholar] [CrossRef]





| Parameters | Control (n = 60) Median (IQR) | Acute Gout Attack (n = 30) Median (IQR) | Intercritical Gout (n = 30) Median (IQR) | p-Value (Kruskal–Wallis/Chi-Square Test) |
|---|---|---|---|---|
| Sex (% Female, % Male, n) | 25% (15), 75% (45) | 23.3% (7), 76.7% (23) | 30% (9), 70% (21) | p > 0.05 1 |
| Age (Years) | 53 (10.5) | 67.5 * (18.5) | 60 * (18.5) | p = 0.001 2 |
| Height (cm) | 167.5 (9) | 170.5 (10) | 170 (9) | p = 0.275 2 |
| Weight (kg) | 80.5 (11.7) | 86.5 * (10) | 85 * (9.5) | p = 0.025 2 |
| BMI (kg/m2) | 27.7 (5.2) | 28.9 (6.84) | 30.4 (4.52) | p = 0.086 2 |
| Hyperlipidemia (%/n) | 10% (6) | 46.6% (14) | 38.4% (10) | p < 0.05 1 |
| Coronary artery disease (%/n) | 8.3% (5) | 29.4% (10) | 30.7% (8) | p < 0.05 1 |
| Heart failure (%/n) | - | 17.6 (6) | 19.2% (5) | |
| Chronic kidney disease (%/n) | - | 11.7% (5) | 15.3% (4) | |
| Diabetes mellitus (%n) | - | 8.82% (3) | 19.2% (5) | |
| Hypertension (%/n) | 21.6% (13) | 8.82% (3) | 15.3% (4) | p = 0.32 1 |
| Parameters | Control (n = 60) Median (IQR) | Acute Gout Attack (n = 30) Median (IQR) | Intercritical Gout (n = 30) Median (IQR) | p-Value (Kruskal–Wallis) |
|---|---|---|---|---|
| Creatinine (mg/dL) | 0.77 (0.2) | 1.04 * (0.37) | 0.92 * (0.29) | p = 0.001 |
| BUN (mg/dL) | 29 (14) | 43.5 * (24.75) | 35 * (18.5) | p = 0.001 |
| eGFR (mL/min/1.73 m2) | 97 (20.7) | 68.5 * (34.5) | 80 *,# (24.5) | p = 0.001 |
| Uric Acid (mg/dL) | 4.95 (1.8) | 7.25 * (2.95) | 6.7 * (2.2) | p = 0.001 |
| Parameters | Control (n = 60) Median (IQR) | Acute Gout Attack (n = 30) Median (IQR) | Intercritical Gout (n = 30) Median (IQR) | p-Value (Kruskal–Wallis) |
|---|---|---|---|---|
| Glucose (mg/dL) | 94.5 (12.5) | 98.5 (19.7) | 94 (14) | p = 0.280 |
| Albumin (g/L) | 46.1 (3.2) | 43.5 * (4.4) | 45 * (4.8) | p = 0.002 |
| Cholesterol (mg/dL) | 215 (53.2) | 222.5 (59.2) | 203 (75.5) | p = 0.570 |
| Triglyceride (mg/dL) | 124 (92.4) | 148.5 (94) | 151 (92) | p = 0.073 |
| HDL (mg/dL) | 53.7 (16.9) | 47.8 * (10.9) | 44.5 * (14.9) | p = 0.004 |
| LDL (mg/dL) | 141 (47) | 145.5 (47.5) | 134 (43.5) | p = 0.492 |
| CRP (mg/L) | 1.7 (3.9) | 8.8 * (9.2) | 2.51 # (1.51) | p = 0.001 |
| Parameters | Control (n = 60) Median (IQR) | Acute Gout Attack (n = 30) Median (IQR) | Intercritical Gout (n = 30) Median (IQR) | p-Value (Kruskal–Wallis) |
|---|---|---|---|---|
| WBC (103/µL) | 6.5 (2) | 7.35 * (3.34) | 6.63 # (2.2) | p = 0.014 |
| ESR (mm/1 h) | 8 (9) | 17 * (16.5) | 12 # (12) | p = 0.001 |
| LYM (103/µL) | 2.1 (0.7) | 2.23 (1.05) | 2.34 (0.96) | p = 0.482 |
| MON (103/µL) | 0.4 (0.1) | 0.49 * (0.16) | 0.44 (0.18) | p = 0.034 |
| NEU (103/µL) | 3.7 (1.8) | 4.34 * (2.28) | 3.59 # (1.32) | p = 0.004 |
| Hb (g/dL) | 14 (1.9) | 14.2 (2.2) | 14.9 (2.2) | p = 0.114 |
| PLT (103/µL) | 259.5 (90) | 243 (67) | 241 (61) | p = 0.657 |
| IMG (103/µL) | 0.01 (0.01) | 0.02 * (0.02) | 0.01 # (0.01) | p = 0.04 |
| NLR | 1.7 (1.02) | 2.2 * (1.09) | 1.51 # (0.78) | p = 0.005 |
| MLR | 0.19 (0.11) | 0.23 (0.14) | 0.21 (0.1) | p = 0.081 |
| PLR | 119.5 (55.03) | 113.9 (61.03) | 103.3 (47.5) | p = 0.377 |
| SII | 46.1 (132.3) | 59.1 (34.6) | 45.6 (29.1) | p = 0.380 |
Disclaimer/Publisher’s Note: The statements, opinions and data contained in all publications are solely those of the individual author(s) and contributor(s) and not of MDPI and/or the editor(s). MDPI and/or the editor(s) disclaim responsibility for any injury to people or property resulting from any ideas, methods, instructions or products referred to in the content. |
© 2025 by the authors. Licensee MDPI, Basel, Switzerland. This article is an open access article distributed under the terms and conditions of the Creative Commons Attribution (CC BY) license (https://creativecommons.org/licenses/by/4.0/).
Share and Cite
Cure, O.; Yigit, E.; Huner Yigit, M.; Uzun, H. GDF-15 Levels in Gouty Arthritis and Correlations with Decreasing Renal Function: A Clinical Study. Biomedicines 2025, 13, 1767. https://doi.org/10.3390/biomedicines13071767
Cure O, Yigit E, Huner Yigit M, Uzun H. GDF-15 Levels in Gouty Arthritis and Correlations with Decreasing Renal Function: A Clinical Study. Biomedicines. 2025; 13(7):1767. https://doi.org/10.3390/biomedicines13071767
Chicago/Turabian StyleCure, Osman, Ertugrul Yigit, Merve Huner Yigit, and Hakki Uzun. 2025. "GDF-15 Levels in Gouty Arthritis and Correlations with Decreasing Renal Function: A Clinical Study" Biomedicines 13, no. 7: 1767. https://doi.org/10.3390/biomedicines13071767
APA StyleCure, O., Yigit, E., Huner Yigit, M., & Uzun, H. (2025). GDF-15 Levels in Gouty Arthritis and Correlations with Decreasing Renal Function: A Clinical Study. Biomedicines, 13(7), 1767. https://doi.org/10.3390/biomedicines13071767

