Electrolyte Concentration in Urine and Urinary Infection—Is There Any Relation?
Abstract
1. Introduction
2. Materials and Methods
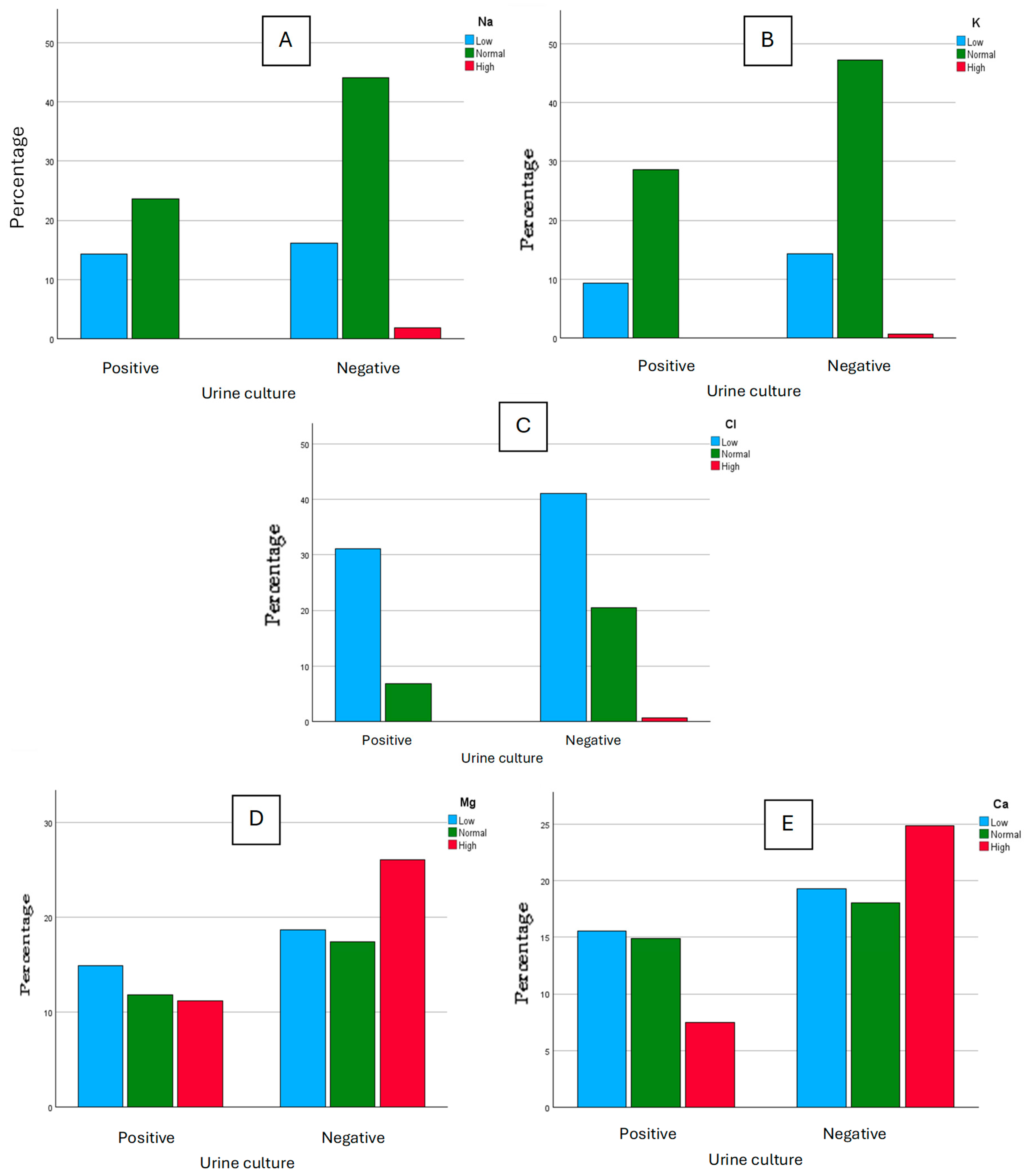
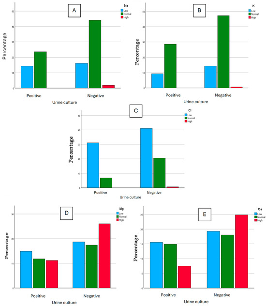
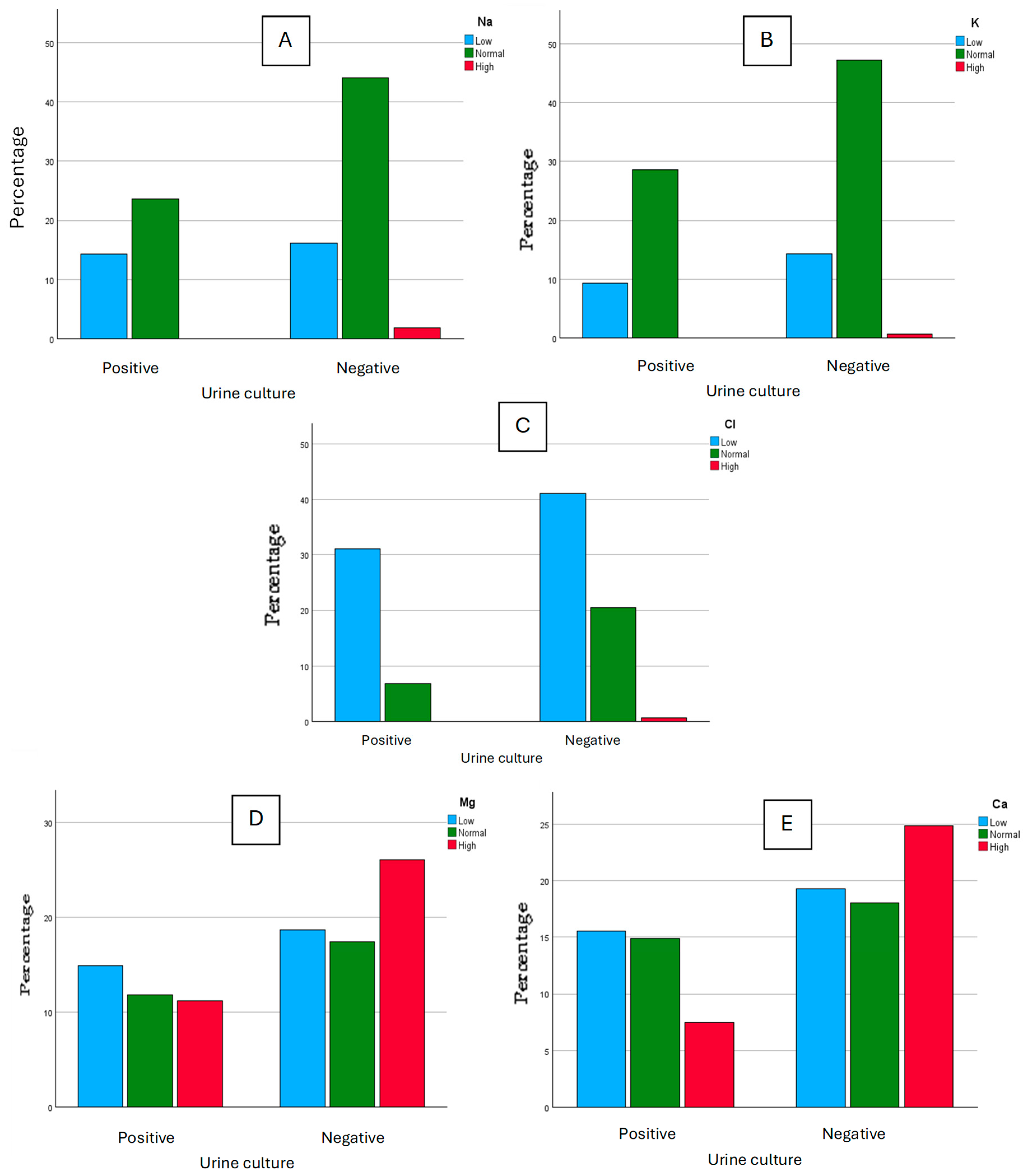
3. Results
4. Discussion
5. Conclusions
Supplementary Materials
Author Contributions
Funding
Institutional Review Board Statement
Informed Consent Statement
Data Availability Statement
Conflicts of Interest
Abbreviations
| Na | Sodium |
| K | Potassium |
| Cl | Chloride |
| Ca | Calcium |
| Mg | Magnesium |
| UTI | Urinary tract infection |
| E. coli | Escherichia coli |
| UPEC | Uropathogenic E. coli |
| ECDC | European Centre for Disease Control |
| S. aureus | Staphylococcus aureus |
| ESBL | Extended-spectrum β-lactamase |
References
- Flores-Mireles, A.L.; Walker, J.N.; Caparon, M.; Hultgren, S.J. Urinary tract infections: Epidemiology, mechanisms of infection and treatment options. Nat. Rev. Microbiol. 2015, 13, 269–284. [Google Scholar] [CrossRef] [PubMed]
- Sotelo, T.; Westney, O.L. Recurrent urinary tract infections in women. Curr. Womens Health Rep. 2003, 3, 313–318. [Google Scholar]
- Tullus, K.; Shaikh, N. Urinary tract infections in children. Lancet 2020, 395, 1659–1668. [Google Scholar] [CrossRef] [PubMed]
- Olin, S.J.; Bartges, J.W. Urinary tract infections: Treatment/comparative therapeutics. Vet. Clin. Small Anim. Pract. 2015, 45, 721–746. [Google Scholar] [CrossRef]
- Glaser, A.P.; Schaeffer, A.J. Urinary Tract Infection and Bacteriuria in Pregnancy. Urol. Clin. 2015, 42, 547–560. [Google Scholar] [CrossRef]
- Klein, R.D.; Hultgren, S.J. Urinary tract infections: Microbial pathogenesis, host-pathogen interactions and new treatment strategies. Nat. Rev. Microbiol. 2020, 18, 211–226. [Google Scholar] [CrossRef] [PubMed]
- McLellan, L.K.; Hunstad, D.A. Urinary Tract Infection: Pathogenesis and Outlook. Trends Mol. Med. 2016, 22, 946–957. [Google Scholar] [CrossRef]
- Gupta, K.; Hooton, T.M.; Naber, K.G.; Wullt, B.; Colgan, R.; Miller, L.G.; Moran, G.J.; Nicolle, L.E.; Raz, R.; Schaeffer, A.J.; et al. International Clinical Practice Guidelines for the Treatment of Acute Uncomplicated Cystitis and Pyelonephritis in Women: A 2010 Update by the Infectious Diseases Society of America and the European Society for Microbiology and Infectious Diseases. Clin. Infect. Dis. 2011, 52, e103–e120. [Google Scholar] [CrossRef] [PubMed]
- Seifu, W.D.; Gebissa, A.D. Prevalence and antibiotic susceptibility of Uropathogens from cases of urinary tract infections (UTI) in Shashemene referral hospital, Ethiopia. BMC Infect. Dis. 2018, 18, 30. [Google Scholar] [CrossRef] [PubMed]
- Hitzeman, N.; Greer, D.; Carpio, E. Office-Based Urinalysis: A Comprehensive Review. Am. Fam. Physician 2022, 106, 27–35B. [Google Scholar] [PubMed]
- Dean, A.; Lee, D. Bedside Laboratory and Microbiologic Procedures. In Roberts and Hedges’ Clinical Procedures in Emergency Medicine, 6th ed.; Saunders: Philadelphia, PA, USA, 2014; pp. 1395–1422. [Google Scholar]
- Michno, M.; Sydor, A. Urinary tract infections in adults. Przegl. Lek. 2016, 73, 504–508. [Google Scholar] [PubMed]
- Cassini, A.; Högberg, L.D.; Plachouras, D.; Quattrocchi, A.; Hoxha, A.; Simonsen, G.S.; Colomb-Cotinat, M.; Kretzschmar, M.E.; Devleesschauwer, B.; Cecchini, M.; et al. Attributable deaths and disability-adjusted life-years caused by infections with antibiotic-resistant bacteria in the EU and the European Economic Area in 2015: A population-level modelling analysis. Lancet Infect. Dis. 2019, 19, 56–66. [Google Scholar] [CrossRef] [PubMed]
- de Kraker, M.E.A.; Stewardson, A.J.; Harbarth, S. Will 10 Million People Die a Year due to Antimicrobial Resistance by 2050? PLoS Med. 2016, 13, e1002184. [Google Scholar] [CrossRef]
- Mohsen, S.; Dickinson, J.A.; Somayaji, R. Update on the adverse effects of antimicrobial therapies in community practice. Can. Fam. Physician 2020, 66, 651–659. [Google Scholar] [PubMed]
- Patangia, D.V.; Anthony Ryan, C.; Dempsey, E.; Paul Ross, R.; Stanton, C. Impact of antibiotics on the human microbiome and consequences for host health. Microbiologyopen 2022, 11, e1260. [Google Scholar] [CrossRef] [PubMed]
- Gottschick, C.; Deng, Z.-L.; Vital, M.; Masur, C.; Abels, C.; Pieper, D.H.; Wagner-Döbler, I. The urinary microbiota of men and women and its changes in women during bacterial vaginosis and antibiotic treatment. Microbiome 2017, 5, 99. [Google Scholar] [CrossRef] [PubMed]
- Foxman, B.; Buxton, M. Alternative approaches to conventional treatment of acute uncomplicated urinary tract infection in women. Curr. Infect. Dis. Rep. 2013, 15, 124–129. [Google Scholar] [CrossRef] [PubMed]
- Jameson, J.L.; Fauci, A.; Kasper, D.; Hauser, S.; Longo, D.; Loscalzo, J. Harrison’s Principles of Internal Medicine, 17th ed.; Parts 2 Section 7, Part 7 Section 2, and Part 12; McGraw-Hill Companies, Inc.: New York, NY, USA, 2018. [Google Scholar]
- Newlands, A.F.; Roberts, L.; Maxwell, K.; Kramer, M.; Price, J.L.; Finlay, K.A. The Recurrent Urinary Tract Infection Symptom Scale: Development and validation of a patient-reported outcome measure. BJUI Compass 2023, 4, 285–297. [Google Scholar] [CrossRef] [PubMed]
- Das, S. Natural therapeutics for urinary tract infections—A review. Futur. J. Pharm. Sci. 2020, 6, 64. [Google Scholar] [CrossRef] [PubMed]
- Hisano, M.; Bruschini, H.; Nicodemo, A.C.; Srougi, M. Cranberries and lower urinary tract infection prevention. Clinics 2012, 67, 661–667. [Google Scholar] [CrossRef] [PubMed]
- Lee, D.S.; Lee, S.-J.; Choe, H.-S. Community-Acquired Urinary Tract Infection by Escherichia coli in the Era of Antibiotic Resistance. Biomed. Res. Int. 2018, 2018, 7656752. [Google Scholar] [CrossRef] [PubMed]
- Aslanian, N.L.; Babaian, L.A.; Eripian, G.Z.; Grigorian, D.Z. Rhythms of electrolyte excretion in healthy people. Lab. Delo 1989, 9, 21–23. [Google Scholar]
- Strasinger, S. Análisis de Orina y de los Líquidos Corporales, 6th ed.; Panamericana: Madrid, Spain, 2016. [Google Scholar]
- Ferrão, A.R.; Pestana, P.; Borges, L.; Palmeira-de-Oliveira, R.; Palmeira-de-Oliveira, A.; Martinez-de-Oliveira, J. Quantification of Ions in Human Urine—A Review for Clinical Laboratories. Biomedicines 2024, 12, 1848. [Google Scholar] [CrossRef] [PubMed]
- Wu, H.; Huang, R.; Fan, J.; Luo, N.; Yang, X. Low potassium disrupt intestinal barrier and result in bacterial translocation. J. Transl. Med. 2022, 20, 309. [Google Scholar] [CrossRef]
- Okada, Y.; Irimajiri, A.; Inouye, A. Permeability properties and intracellular ion concentrations of epithelial cells in rat duodenum. Biochim. Biophys. Acta Biomembr. 1976, 436, 15–24. [Google Scholar] [CrossRef] [PubMed]
- Swaminathan, R. Magnesium Metabolism and its Disorders. Clin. Biochem. Rev. 2003, 24, 47. [Google Scholar]
- Gordon, D.; Groutz, A.; Ascher-Landsberg, J.; Lessing, J.B.; David, M.P.; Razz, O. Double-blind, placebo-controlled study of magnesium hydroxide for treatment of sensory urgency and detrusor inst ability: Preliminary results. BJOG An Int. J. Obstet. Gynaecol. 1998, 105, 667–669. [Google Scholar] [CrossRef] [PubMed]
- Montgomery, B.S.I.; Thomas, P.J.; Fry, C.H. The Actions of Extracellular Magnesium on Isolated Human Detrusor Muscle Function. Br. J. Urol. 1992, 70, 262–268. [Google Scholar] [CrossRef]
- Geesey, G.G.; Wigglesworth-Cooksey, B.; Cooksey, K.E. Influence of calcium and other cations on surface adhesion of bacteria and diatoms: A review. Biofouling 2000, 15, 195–205. [Google Scholar] [CrossRef] [PubMed]
- Larsen, N.; Nissen, P.; Willats, W.G.T. The effect of calcium ions on adhesion and competitive exclusion of Lactobacillus ssp. and E. coli O138. Int. J. Food Microbiol. 2007, 114, 113–119. [Google Scholar] [CrossRef] [PubMed]
- Matsuo, T.; Ito, H.; Mitsunari, K.; Ohba, K.; Miyata, Y. Relationship between Urinary Calcium Excretion and Lower Urinary Tract Symptoms. Metabolites 2022, 12, 229. [Google Scholar] [CrossRef] [PubMed]
- Roche Diagnostics, United States of America. Manesium Gen.2; Roche Diagnostics: Indianapolis, IN, USA, 2019. [Google Scholar]
- Roche Diagnostics, United States of America. Ca2; Roche Diagnostics: Indianapolis, IN, USA, 2013. [Google Scholar]
- Roche Diagnostic, United States of Americas. ISE Indirect Na-K-Cl forGen.2; Roche Diagnostics: Indianapolis, IN, USA, 2016. [Google Scholar]
- Hill, J.H.; White, E.C. Sodium Chloride Media for the Separation of Certain Gram-Positive Cocci From Gram-Negative Bacilli. J. Bacteriol. 1929, 18, 43–57. [Google Scholar] [CrossRef]
- Nguyen, N.-Y.T.; Grelling, N.; Wetteland, C.L.; Rosario, R.; Liu, H. Antimicrobial Activities and Mechanisms of Magnesium Oxide Nanoparticles (nMgO) against Pathogenic Bacteria, Yeasts, and Biofilms. Sci. Rep. 2018, 8, 16260. [Google Scholar] [CrossRef]
- Liu, Y.; Han, R.; Wang, J.; Yang, P.; Wang, F.; Yang, B. Magnesium Sensing Regulates Intestinal Colonization of Enterohemorrhagic Escherichia coli O157:H7. MBio 2020, 11, 10-1128, Epub ahead of print. [Google Scholar] [CrossRef] [PubMed]
- Zumerle, S.; Calì, B.; Munari, F.; Angioni, R.; Di Virgilio, F.; Molon, B.; Viola, A. Intercellular Calcium Signaling Induced by ATP Potentiates Macrophage Phagocytosis. Cell Rep. 2019, 27, 1–10.e4. [Google Scholar] [CrossRef]
- Bouillot, S.; Reboud, E.; Huber, P. Functional Consequences of Calcium Influx Promoted by Bacterial Pore-Forming Toxins. Toxins 2018, 10, 387. [Google Scholar] [CrossRef]
- Zaloga, G.P. The Multifactorial Basis for Hypocalcemia During Sepsis. Ann. Intern. Med. 1987, 107, 36. [Google Scholar] [CrossRef]


| Frequency | Percentage | ||
|---|---|---|---|
| Urine culture | Polymicrobial culture | 17 | 9.7 |
| Positive | 61 | 34.9 | |
| Negative | 97 | 55.4 | |
| Total | 175 | 100.0 | |
| Urine Culture | Mean | Standard Deviation | |
|---|---|---|---|
| Potassium (mmol/L) | Positive | 43.07 | 22.17 |
| Negative | 48.65 | 28.14 | |
| Sodium (mmol/L) | Positive | 64.66 | 44.71 |
| Negative | 91.37 | 60.33 | |
| Chlorite (mmol/L) | Positive | 63.43 | 45.44 |
| Negative | 89.32 | 58.38 | |
| Magnesium (mg/dL) | Positive | 4.13 | 2.93 |
| Negative | 5.31 | 3.73 | |
| Calcium (mg/dL) | Positive | 4.50 | 4.48 |
| Negative | 7.47 | 7.15 |
| Sample | Moment | Culture | Ions | ||||
|---|---|---|---|---|---|---|---|
| Cl (mmol/L) | K (mmol/L) | Na (mmol/L) | Ca (mg/dL) | Mg (mg/dL) | |||
| 1 | T0 | Negative | 89.0 | 47.3 | 92.0 | 7.8 | 5.7 |
| T1 | 89.1 | 47.3 | 92.0 | 7.6 | 5.7 | ||
| Plate inoculation | Positive > 105 CFU/mL | ||||||
| 2 | T0 | Negative | 82.8 | 35.7 | 82.0 | 2.4 | 2.7 |
| T1 | 82.9 | 36.5 | 82.0 | 2.7 | 4.4 | ||
| Plate inoculation | Positive > 105 CFU/mL | ||||||
| 3 | T0 | Negative | 153.0 | 116.0 | 121.0 | 7.8 | 6.1 |
| T1 | 154.0 | 119.0 | 122.0 | 8.0 | 6.2 | ||
| Plate inoculation | Positive > 105 CFU/mL | ||||||
| 4 | T0 | Negative | 114.0 | 14.8 | 120.0 | 9.0 | 4.9 |
| T1 | 116.0 | 15.1 | 121.0 | 9.6 | 4.9 | ||
| Plate inoculation | Negative | ||||||
| 5 | T0 | Negative | 101.0 | 48.3 | 102.0 | 17.9 | 7.3 |
| T1 | 103.0 | 51.4 | 99.0 | 18.2 | 7.5 | ||
| Plate inoculation | Positive > 105 CFU/mL | ||||||
| 6 | T0 | Negative | 29.3 | 108.0 | 42.0 | 7.0 | 5.7 |
| T1 | 31.0 | 113.0 | 38.0 | 7.4 | 5.6 | ||
| Plate inoculation | Positive > 105 CFU/mL | ||||||
| 7 | T0 | Negative | 128.0 | 23.1 | 138.0 | 7.4 | 4.7 |
| T1 | 130.0 | 23.8 | 136.0 | 7.6 | 5.0 | ||
| Plate inoculation | Positive > 105 CFU/mL | ||||||
| 8 | T0 | Negative | 153.0 | 90.2 | 135.0 | 6.2 | 7.6 |
| T1 | 156.0 | 96.8 | 135.0 | 6.5 | 7.7 | ||
| Plate inoculation | Positive > 105 CFU/mL | ||||||
| 9 | T0 | Negative | 69.7 | 121.0 | 47.0 | 0.6 | 5.0 |
| T1 | 68.9 | 128.0 | 42.0 | 0.5 | 4.7 | ||
| Plate inoculation | Negative | ||||||
| 10 | T0 | Negative | 11.2 | 16.5 | 36.0 | 2.5 | 3.0 |
| T1 | 11.5 | 17.4 | 38.0 | 2.7 | 2.8 | ||
| Plate inoculation | Positive > 105 CFU | ||||||
Disclaimer/Publisher’s Note: The statements, opinions and data contained in all publications are solely those of the individual author(s) and contributor(s) and not of MDPI and/or the editor(s). MDPI and/or the editor(s) disclaim responsibility for any injury to people or property resulting from any ideas, methods, instructions or products referred to in the content. |
© 2025 by the authors. Licensee MDPI, Basel, Switzerland. This article is an open access article distributed under the terms and conditions of the Creative Commons Attribution (CC BY) license (https://creativecommons.org/licenses/by/4.0/).
Share and Cite
Ferrão, A.R.; Pestana, P.; Borges, L.; Palmeira-de-Oliveira, R.; Palmeira-de-Oliveira, A.; Martinez-de-Oliveira, J. Electrolyte Concentration in Urine and Urinary Infection—Is There Any Relation? Biomedicines 2025, 13, 253. https://doi.org/10.3390/biomedicines13020253
Ferrão AR, Pestana P, Borges L, Palmeira-de-Oliveira R, Palmeira-de-Oliveira A, Martinez-de-Oliveira J. Electrolyte Concentration in Urine and Urinary Infection—Is There Any Relation? Biomedicines. 2025; 13(2):253. https://doi.org/10.3390/biomedicines13020253
Chicago/Turabian StyleFerrão, Ana Rita, Paula Pestana, Lígia Borges, Rita Palmeira-de-Oliveira, Ana Palmeira-de-Oliveira, and José Martinez-de-Oliveira. 2025. "Electrolyte Concentration in Urine and Urinary Infection—Is There Any Relation?" Biomedicines 13, no. 2: 253. https://doi.org/10.3390/biomedicines13020253
APA StyleFerrão, A. R., Pestana, P., Borges, L., Palmeira-de-Oliveira, R., Palmeira-de-Oliveira, A., & Martinez-de-Oliveira, J. (2025). Electrolyte Concentration in Urine and Urinary Infection—Is There Any Relation? Biomedicines, 13(2), 253. https://doi.org/10.3390/biomedicines13020253

